Skip Content
You are currently on the new version of our website. Access the old version .

1,135 Results Found

  • Article
  • Open Access
18 Citations
4,507 Views
14 Pages

7 December 2018

A zeolite/TiO2 composite (ZTC) was applied to prepare a high-quality photocatalytic cement-based material (PCM). The acetone degradation experiment and micro measurements including XRD(X-Ray Diffractometer), SEM-EDS(Scanning Electron Microscope-Energ...

  • Article
  • Open Access
5 Citations
2,688 Views
12 Pages

20 April 2021

A flower-like TiO2-based composite (denoted as Zn-Ti-6) was prepared using a flower-like zinc oxide template for adsorption–photocatalytic degradation of high-chroma methylene blue. The reaction took place in an alkaline environment following hydroch...

  • Article
  • Open Access
7 Citations
2,789 Views
13 Pages

Optical and Structural Properties of Composites Based on Poly(urethane) and TiO2 Nanowires

  • Malvina Stroe,
  • Teodora Burlanescu,
  • Mirela Paraschiv,
  • Adam Lőrinczi,
  • Elena Matei,
  • Romeo Ciobanu and
  • Mihaela Baibarac

20 February 2023

This article’s objective is the synthesis of new composites based on thermoplastic polyurethane (TPU) and TiO2 nanowires (NWs) as free-standing films, highlighting their structural and optical properties. The free-standing TPU–TiO2 NW fil...

  • Review
  • Open Access
56 Citations
7,762 Views
18 Pages

9 October 2017

TiO2-based composites have been paid significant attention in the photocatalysis field. The size, crystallinity and nanomorphology of TiO2 materials have an important effect on the photocatalytic efficiency. The synthesis and photocatalytic activity...

  • Article
  • Open Access
18 Citations
3,127 Views
19 Pages

Evaluating Different TiO2 Nanoflower-Based Composites for Humidity Detection

  • Musa Mohamed Zahidi,
  • Mohamad Hafiz Mamat,
  • Mohd Firdaus Malek,
  • Muhamad Kamil Yaakob,
  • Mohd Khairul Ahmad,
  • Suriani Abu Bakar,
  • Azmi Mohamed,
  • A Shamsul Rahimi A Subki and
  • Mohamad Rusop Mahmood

3 August 2022

Unique three-dimensional (3D) titanium dioxide (TiO2) nanoflowers (TFNA) have shown great potential for humidity sensing applications, due to their large surface area-to-volume ratio and high hydrophilicity. The formation of a composite with other ma...

  • Article
  • Open Access
5 Citations
2,573 Views
12 Pages

The organic–inorganic composites F70-TiO2, based on fullerene with carboxyl group derivatives and TiO2 semiconductor, have been designed and constructed to become an optical-functional photocatalyst via the facile sol–gel method. The comp...

  • Article
  • Open Access
11 Citations
2,365 Views
14 Pages

21 September 2023

This paper studies the photocatalytic performance of graphene-based titanium dioxide (TiO2) on cementitious composites for the decomposition of Escherichia coli (E. coli) under visible light. Graphene-based TiO2 was first synthesized through a hydrot...

  • Article
  • Open Access
5 Citations
1,833 Views
14 Pages

Nanohybrid Composites Based on TiO2 and Single-Walled Carbon Nanohorns as Promising Catalysts for Photodegradation of Amoxicillin

  • Radu Cercel,
  • Andreea Androne,
  • Cristina Stefania Florica,
  • Adam Lőrinczi,
  • Constantin Serbschi and
  • Mihaela Baibarac

6 October 2023

In this work, applications of nanohybrid composites based on titanium dioxide (TiO2) with anatase crystallin phase and single-walled carbon nanohorns (SWCNHs) as promising catalysts for the photodegradation of amoxicillin (AMOX) are reported. In this...

  • Review
  • Open Access
152 Citations
12,471 Views
33 Pages

11 October 2019

Applications of heterogeneous photocatalytic processes based on semiconductor particles in cement-based materials have received great attention in recent years to enhance the aesthetic durability of buildings and reducing global environmental polluti...

  • Article
  • Open Access
43 Citations
7,047 Views
10 Pages

9 June 2017

Mn-doped TiO2 loaded on wood-based activated carbon fiber (Mn/TiO2-WACF) was prepared by sol–gel and impregnation method using MnSO4·H2O as manganese source. The structure of Mn/TiO2–WACF was characterized by SEM, XRD, FTIR, N2 adsorption and UV–Vis,...

  • Article
  • Open Access
6 Citations
2,818 Views
22 Pages

15 November 2021

We have synthesized sulfonamide based nano-composites of SiO2 and TiO2 for selective and sensitive determination of toxic metal ion Hg2+ in aqueous medium. Nano-composites (11) and (12) were morphologically characterized with FT-IR, solid state NMR,...

  • Article
  • Open Access
33 Citations
8,382 Views
16 Pages

Use of Novel Cardanol-Porphyrin Hybrids and Their TiO2-Based Composites for the Photodegradation of 4-Nitrophenol in Water

  • Giuseppe Vasapollo,
  • Giuseppe Mele,
  • Roberta Del Sole,
  • Iolanda Pio,
  • Jun Li and
  • Selma Elaine Mazzetto

7 July 2011

Cardanol, a well known hazardous byproduct of the cashew industry, has been used as starting material for the synthesis of useful differently substituted “cardanol-based” porphyrins and their zinc(II), copper(II), cobalt(II) and Fe(III) complexes. No...

  • Article
  • Open Access
30 Citations
6,635 Views
17 Pages

Visible Light Driven Photoanodes for Water Oxidation Based on Novel r-GO/β-Cu2V2O7/TiO2 Nanorods Composites

  • Shuang Shuang,
  • Leonardo Girardi,
  • Gian Andrea Rizzi,
  • Andrea Sartorel,
  • Carla Marega,
  • Zhengjun Zhang and
  • Gaetano Granozzi

This paper describes the preparation and the photoelectrochemical performances of visible light driven photoanodes based on novel r-GO/β-Cu2V2O7/TiO2 nanorods/composites. β-Cu2V2O7 was deposited on both fluorine doped tin oxide (FTO) and TiO2 nanorod...

  • Article
  • Open Access
17 Citations
7,378 Views
15 Pages

Studying the Physical and Chemical Properties of Polydimethylsiloxane Matrix Reinforced by Nanostructured TiO2 Supported on Mesoporous Silica

  • Sari Katz,
  • Noa Lachman,
  • Nir Hafif,
  • Lilach Rosh,
  • Alexander Pevzner,
  • Amir Lybman,
  • Tal Amitay-Rosen,
  • Ido Nir and
  • Hadar Rotter

25 December 2022

In this study, a reactive adsorbent filler was integrated into a polymeric matrix as a novel reactive protective barrier without undermining its mechanical, thermal, and chemical properties. For this purpose, newly synthesized TiO2/MCM/polydimethylsi...

  • Article
  • Open Access
59 Citations
6,164 Views
16 Pages

Controlled Synthesis and Microstructural Properties of Sol-Gel TiO2 Nanoparticles for Photocatalytic Cement Composites

  • Elena Cerro-Prada,
  • Sara García-Salgado,
  • M. Ángeles Quijano and
  • Fernando Varela

25 December 2018

Titania nanoparticles are intensely studied for photodegradation applications. Control of nanoscale morphology and microstructural properties of these materials is critical for photocatalytic performance. Uniform anatase-type TiO2 nanoparticles were...

  • Article
  • Open Access
4 Citations
2,337 Views
14 Pages

Polymeric Floating Photocatalysts Based on PE/TiO2 Composites for the Removal of Organic Pollutants in Water

  • Valentina N. Panchenko,
  • Mikhail A. Matsko,
  • Dmitry S. Selishchev and
  • Denis V. Kozlov

Polymeric floating photocatalysts based on polyethylene (PE)/TiO2 compositions were synthesized by in situ ethylene polymerization in the presence of a titanium–magnesium catalyst synthesized by the sequential deposition of a magnesium–al...

  • Article
  • Open Access
21 Citations
5,285 Views
6 Pages

7 June 2017

A gray TiO2/SrTiO3 composite nanocrystalline sensor with narrow band-gap was successfully prepared through a facile wet chemical method. The precursor was calcined in N2 flow under atmospheric pressure and thereafter, a humidity sensor based on the c...

  • Article
  • Open Access
3 Citations
1,363 Views
18 Pages

High Optical Performance TiO₂- and SiO₂-Based Composites with CuO and SrO Additions

  • Mioara Zagrai,
  • Izabell Craciunescu,
  • Alexandrina Nan,
  • Septimiu Tripon,
  • Alexandru Turza and
  • Vasile Rednic

5 April 2025

Our research aims to determine the optical properties of binary composites based on TiO2 and SiO2 oxides combined with additional metal oxides such as CuO and SrO. The inclusion of CuO and SrO together with TiO2 and SiO2 nanoparticles is driven by th...

  • Article
  • Open Access
132 Citations
12,042 Views
18 Pages

TiO2 and PEEK Reinforced 3D Printing PMMA Composite Resin for Dental Denture Base Applications

  • Sheng-Gui Chen,
  • Junzhong Yang,
  • Yong-Guang Jia,
  • Bingheng Lu and
  • Li Ren

22 July 2019

The future of manufacturing applications in three-dimensional (3D) printing depends on the improvement and the development of materials suitable for 3D printing technology. This study aims to develop an applicable and convenient protocol for light-cu...

  • Review
  • Open Access
9 Citations
5,407 Views
20 Pages

12 March 2018

The integration of graphene-based material and TiO2 can greatly enhance the photodegradation efficiency toward contaminants in the environment. As the morphology of TiO2 varies from a 0D nanoparticle (NP) and a 1D Nanotube (NT)/Nanowire (NW) to a 2D...

  • Article
  • Open Access
6 Citations
2,690 Views
9 Pages

Solar-Blind Photodetector Based on NaTaO3/TiO2 Composite Film with Enhanced Photoelectric Performance

  • Min Zhang,
  • Zhenjiang Li,
  • Yunfei Zhao,
  • Zhaofeng Wu,
  • Jun Zhang,
  • Linyu Yang,
  • Shuying Wang and
  • Shiqing Li

28 September 2021

In this study, ultraviolet detectors based on NaTaO3/TiO2 were fabricated with enhanced detection performance towards solar-blind (200–280 nm) light. A TiO2 seed layer was introduced and served as a buffer layer between the fluorine tin oxide (FTO)-c...

  • Article
  • Open Access
9 Citations
2,804 Views
18 Pages

Antimicrobial Properties of TiO2 Microparticles Coated with Ca- and Cu-Based Composite Layers

  • Razvan Bucuresteanu,
  • Monica Ionita,
  • Viorel Chihaia,
  • Anton Ficai,
  • Roxana-Doina Trusca,
  • Cornelia-Ioana Ilie,
  • Andrei Kuncser,
  • Alina-Maria Holban,
  • Grigore Mihaescu and
  • Lia-Mara Ditu
  • + 5 authors

The ability of TiO2 to generate reactive oxygen species under UV radiation makes it an efficient candidate in antimicrobial studies. In this context, the preparation of TiO2 microparticles coated with Ca- and Cu-based composite layers over which Cu(I...

  • Review
  • Open Access
1,179 Views
39 Pages

Ultrasonic-Assisted Fabrication of TiO2-Based Composite Photocatalysts for Enhanced Photocatalysis of Organic Pollutants: A Review

  • Jenny Hui Foong Chau,
  • Ethan Dern Huang Kong,
  • Jing Chang Chia,
  • Chin Wei Lai,
  • Joon Ching Juan,
  • Yue Li,
  • Ping Xiang,
  • Irfan Anjum Badruddin and
  • Amit Kumar

27 October 2025

Water contamination and the global energy crisis are two of the most significant challenges in the world. Titanium dioxide (TiO2) has garnered attention due to its promising photocatalytic performance. However, its wide band gap energy limits its eff...

  • Article
  • Open Access
1 Citations
1,671 Views
10 Pages

29 October 2021

High temperature lubricating composites have been widely used in aerospace and other high-tech industries. In the actual application process, high temperature oxidation resistance is a very importance parameter. In this paper, BaO/TiO2-enhanced NiAl-...

  • Article
  • Open Access
8 Citations
3,966 Views
11 Pages

Behavior and Mechanism of High-Temperature Stability between Tial-Based Alloy and Y2O3-Al2O3 Composite Crucibles

  • Qingling Li,
  • Huarui Zhang,
  • Yongshuang Cui,
  • Chunlei Yang,
  • Ming Gao,
  • Jinpeng Li and
  • Hu Zhang

28 June 2018

In this work, Y2O3 based composite crucibles with different Al2O3 contents were designed and characterized. The stability behaviors and interaction mechanisms between molten Ti-47Al-2Cr-2Nb alloy and Y2O3-Al2O3 composite crucibles were investigated a...

  • Article
  • Open Access
6 Citations
2,769 Views
13 Pages

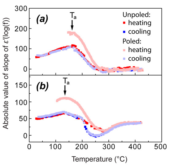
A Research on Delayed Thermal Depolarization, Electric Properties, and Stress in (Bi0.5Na0.5)TiO3-Based Ceramic Composites

  • Xingru Zhang,
  • Yinan Xiao,
  • Chao Yang,
  • Yuandong Wu,
  • Min Wen,
  • Junke Jiao,
  • Rui Li,
  • Liyuan Sheng and
  • Wenchang Tan

28 April 2022

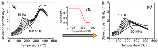
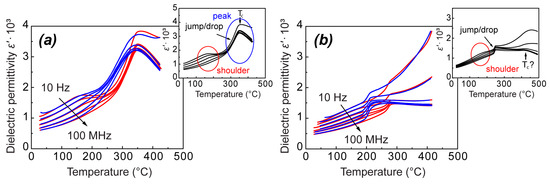
Depolarization behavior is one of the main shortcomings of (Bi0.5Na0.5)TiO3-based ceramics. Considering the undesirable efficiency of traditional modification methods, in this paper a series of 0–3 type ceramic composites 0.85(Bi0.5Na0.5)TiO3-0...

  • Article
  • Open Access
21 Citations
2,614 Views
16 Pages

Enhanced Energy Storage Performance in Na0.5Bi0.5TiO3-Based Relaxor Ferroelectric Ceramics via Compositional Tailoring

  • Yuleng Jiang,
  • Xiang Niu,
  • Wei Liang,
  • Xiaodong Jian,
  • Hongwei Shi,
  • Feng Li,
  • Yang Zhang,
  • Ting Wang,
  • Weiping Gong and
  • Shengguo Lu
  • + 4 authors

25 August 2022

Owing to the high power density, excellent operational stability and fast charge/discharge rate, and environmental friendliness, the lead-free Na0.5Bi0.5TiO3 (NBT)-based relaxor ferroelectrics exhibit great potential in pulsed power capacitors. Herei...

  • Article
  • Open Access
519 Views
21 Pages

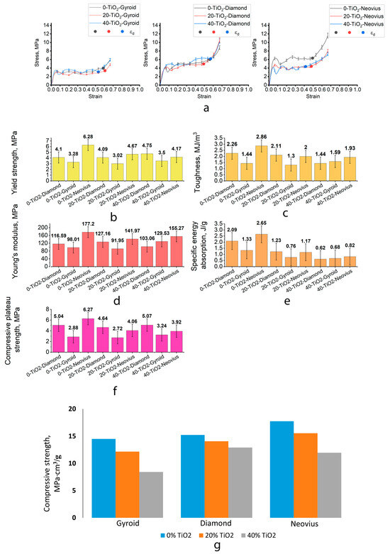
Biomimetic Design and Extrusion-Based 3D Printing of TiO2 Filled Composite Sphere Scaffolds: Energy-Absorbing and Electromagnetic Properties

  • Marsel Akhmatnabiev,
  • Alexander Petrov,
  • Mikhail Timoshenko,
  • Maxim Sychov,
  • Semyon Diachenko,
  • Maxim Arsentev,
  • Alexander Bakulin,
  • Ekaterina Skorb and
  • Michael Nosonovsky

1 December 2025

The development of composite materials with tunable dielectric properties that preserve mechanical performance is essential for next-generation radio engineering devices. In this study, composite filaments based on acrylonitrile–butadiene&ndash...

  • Article
  • Open Access
13 Citations
3,616 Views
26 Pages

RETRACTED: Polymeric Solar Cell with 19.69% Efficiency Based on Poly(o-phenylene diamine)/TiO2 Composites

  • M. Sh. Zoromba,
  • M. H. Abdel-Aziz,
  • A. R. Ghazy,
  • N. Salah and
  • A. F. Al-Hossainy

23 February 2023

Conducting poly orthophenylene diamine polymer (PoPDA) was synthesized via the oxidative polymerization route. A poly(o-phenylene diamine) (PoPDA)/titanium dioxide nanoparticle mono nanocomposite [PoPDA/TiO2]MNC was synthesized using the sol–gel meth...

  • Article
  • Open Access
20 Citations
3,793 Views
15 Pages

6 October 2023

In this study, we report on the room-temperature characteristics of an impedance-type humidity sensor based on porous tin oxide/titanium oxide (SnO2/TiO2) composite ceramics modified with Mo and Zn. The SnO2/TiO2-based composites synthesized in the s...

  • Article
  • Open Access
78 Citations
10,392 Views
14 Pages

Preparation and Characterization of Polymer Composite Materials Based on PLA/TiO2 for Antibacterial Packaging

  • Edwin A. Segura González,
  • Dania Olmos,
  • Miguel Ángel Lorente,
  • Itziar Vélaz and
  • Javier González-Benito

9 December 2018

Polymer composite materials based on polylactic acid (PLA) filled with titanium dioxide (TiO2) nanoparticles were prepared. The aim of this work was to investigate the antibacterial action of TiO2 against a strain of E. coli (DH5α) to obtain in...

  • Review
  • Open Access
119 Citations
9,490 Views
44 Pages

Recent Achievements in Development of TiO2-Based Composite Photocatalytic Materials for Solar Driven Water Purification and Water Splitting

  • Klara Perović,
  • Francis M. dela Rosa,
  • Marin Kovačić,
  • Hrvoje Kušić,
  • Urška Lavrenčič Štangar,
  • Fernando Fresno,
  • Dionysios D. Dionysiou and
  • Ana Loncaric Bozic

15 March 2020

Clean water and the increased use of renewable energy are considered to be two of the main goals in the effort to achieve a sustainable living environment. The fulfillment of these goals may include the use of solar-driven photocatalytic processes th...

  • Editorial
  • Open Access
6 Citations
2,025 Views
6 Pages

9 February 2022

The field of materials sciences has always been strongly interconnected with the most significant technological developments in the modern era, and such an interconnection is absolutely evident at least since the 1950s revolution of electronics and m...

  • Article
  • Open Access
5 Citations
1,930 Views
20 Pages

Investigation of Microstructure and Physical Characteristics of Eco-Friendly Piezoelectric Composite Thin Films Based on Chitosan and Ln2O3-Doped Na0.5Bi0.5TiO3-BaTiO3 Nanoparticles

  • Jacem Zidani,
  • Moneim Zannen,
  • Antonio Da Costa,
  • Oumayma Mlida,
  • Arash Jamali,
  • Mustapha Majdoub,
  • Mimoun El Marssi,
  • Anthony Ferri and
  • Abdelilah Lahmar

31 October 2024

This paper investigates the synthesis and characterization of eco-friendly piezoelectric composite thin films composed of chitosan and Ln2O3-doped Na0.5Bi0.5TiO3-BaTiO3 (NBT-BT) nanoparticles. The films were fabricated using a solution-casting techni...

  • Article
  • Open Access
17 Citations
3,129 Views
12 Pages

Investigation of Electromechanical Properties on 3-D Printed Piezoelectric Composite Scaffold Structures

  • Tutu Sebastian,
  • Miriam Bach,
  • Andreas Geiger,
  • Tony Lusiola,
  • Lucjan Kozielski and
  • Frank Clemens

9 October 2021

Piezoelectric composites with 3-3 connectivity gathered attraction due to their potential application as an acoustic transducer in medical imaging, non-destructive testing, etc. In this contribution, piezoelectric composites were fabricated with a ma...

  • Commentary
  • Open Access
68 Citations
9,324 Views
10 Pages

Reinforced Materials Based on Chitosan, TiO2 and Ag Composites

  • Khairul Anuar Mat Amin and
  • Marc in het Panhuis

16 February 2012

This study investigates the mechanical reinforcement of chitosan with TiO2 and Ag nanoparticles, as well as their water vapour transmission rates and water resistance behaviour. The mechanical properties of chitosan were improved by addition of TiO2...

  • Review
  • Open Access
84 Citations
14,348 Views
30 Pages

Photocatalytic CO2 Reduction Using TiO2-Based Photocatalysts and TiO2 Z-Scheme Heterojunction Composites: A Review

  • Zia Ur Rehman,
  • Muhammad Bilal,
  • Jianhua Hou,
  • Faheem K. Butt,
  • Junaid Ahmad,
  • Saif Ali and
  • Asif Hussain

23 March 2022

Photocatalytic CO2 reduction is a most promising technique to capture CO2 and reduce it to non-fossil fuel and other valuable compounds. Today, we are facing serious environmental issues due to the usage of excessive amounts of non-renewable energy r...

  • Article
  • Open Access
45 Citations
4,231 Views
20 Pages

Novel Hybrid Composites Based on PVA/SeTiO2 Nanoparticles and Natural Hydroxyapatite for Orthopedic Applications: Correlations between Structural, Morphological and Biocompatibility Properties

  • Simona Cavalu,
  • Luminita Fritea,
  • Marcel Brocks,
  • Katia Barbaro,
  • Gelu Murvai,
  • Traian Octavian Costea,
  • Iulian Antoniac,
  • Claudio Verona,
  • Martina Romani and
  • Julietta V. Rau
  • + 2 authors

1 May 2020

The properties of poly(vinyl alcohol) (PVA)-based composites recommend this material as a good candidate for the replacement of damaged cartilage, subchondral bone, meniscus, humeral joint and other orthopedic applications. The manufacturing process...

  • Article
  • Open Access
20 Citations
3,376 Views
25 Pages

Fabrication of Naturally Derived Chitosan and Ilmenite Sand-Based TiO2/Fe2O3/Fe-N-Doped Graphitic Carbon Composite for Photocatalytic Degradation of Methylene Blue under Sunlight

  • Amavin Mendis,
  • Charitha Thambiliyagodage,
  • Geethma Ekanayake,
  • Heshan Liyanaarachchi,
  • Madara Jayanetti and
  • Saravanamuthu Vigneswaran

Fabrication of chitosan and ilmenite sand-based novel photocatalysts through the catalytic graphitization of chitosan is reported. Nanocomposites consisted of TiO2, Fe2O3 and Fe nanoparticles dispersed on a nitrogen-doped graphitic carbon framework....

  • Article
  • Open Access
2 Citations
2,136 Views
15 Pages

Composites Based on Electrodeposited WO3 and TiO2 Nanoparticles for Photoelectrochemical Water Splitting

  • Ramunas Levinas,
  • Elizabeth Podlaha,
  • Natalia Tsyntsaru and
  • Henrikas Cesiulis

8 October 2024

Photoelectrochemically active WO3 films were fabricated by electrodeposition from an acidic (pH 2), hydrogen-peroxide-containing electrolyte at −0.5 V vs. SCE. WO3-TiO2 composites were then synthesized under the same conditions, but with 0.2 g/...

  • Article
  • Open Access
7 Citations
2,541 Views
17 Pages

TiO2–Alginate–Chitosan-Based Composites for Skin Tissue Engineering Applications

  • Emma Bobu,
  • Kata Saszet,
  • Zsejke-Réka Tóth,
  • Emőke Páll,
  • Tamás Gyulavári,
  • Lucian Baia,
  • Klara Magyari and
  • Monica Baia

22 May 2024

The UV-B component of sunlight damages the DNA in skin cells, which can lead to skin cancer and premature aging. Therefore, it is necessary to use creams that also contain UV-active substances. Many sunscreens contain titanium dioxide due to its capa...

  • Feature Paper
  • Article
  • Open Access
12 Citations
3,261 Views
20 Pages

Photocatalytic Activity of Nanocoatings Based on Mixed Oxide V-TiO2 Nanoparticles with Controlled Composition and Size

  • Miguel Sanchez Mendez,
  • Alex Lemarchand,
  • Mamadou Traore,
  • Christian Perruchot,
  • Capucine Sassoye,
  • Mohamed Selmane,
  • Mehrdad Nikravech,
  • Mounir Ben Amar and
  • Andrei Kanaev

29 November 2021

V-TiO2 photocatalyst with 0 ≤ V ≤ 20 mol% was prepared via the sol–gel method based on mixed oxide titanium–vanadium nanoparticles with size and composition control. The mixed oxide vanadium–titanium oxo-alkoxy nanonoparticles...

  • Article
  • Open Access
17 Citations
3,485 Views
16 Pages

Multifunctional Composite Coatings Based on Photoactive Metal-Oxide Nanopowders (MgO/TiO2) in Hydrophobic Polymer Matrix for Stone Heritage Conservation

  • Victor Fruth,
  • Ligia Todan,
  • Cosmin Iulian Codrea,
  • Iuliana Poenaru,
  • Simona Petrescu,
  • Ludmila Aricov,
  • Madalina Ciobanu,
  • Luiza Jecu,
  • Rodica Mariana Ion and
  • Luminita Predoana

30 September 2021

Multifunctional composite coatings composed of metal oxide nanoparticles dispersed in polymer matrices are an advanced solution to solve the problem of stone heritage deterioration. Their innovative design is meant to be stable, durable, transparent,...

  • Article
  • Open Access
15 Citations
2,696 Views
9 Pages

Electrochemical Corrosion Behavior of Ni–TiO2 Composite Coatings Electrodeposited from a Deep Eutectic Solvent-Based Electrolyte

  • Vyacheslav S. Protsenko,
  • Tetyana E. Butyrina,
  • Lina S. Bobrova,
  • Sergiy A. Korniy and
  • Felix I. Danilov

The need to develop new electrochemical energy storage and conversion devices requires the creation of new, available, low-cost and high-performance electrocatalytic materials, which can be produced as coatings by electrodeposition technique. The ele...

  • Article
  • Open Access
25 Citations
6,149 Views
19 Pages

Elucidating the Photocatalytic Behavior of TiO2-SnS2 Composites Based on Their Energy Band Structure

  • Marin Kovacic,
  • Jozefina Katic,
  • Hrvoje Kusic,
  • Ana Loncaric Bozic and
  • Mirjana Metikos Hukovic

19 June 2018

TiO2-SnS2 composite semiconducting photocatalysts with different building component ratios were prepared by hydrothermal synthesis (TiO2-SnS2-HT) and by immobilization of commercial TiO2 and SnS2 particles (TiO2-SnS2-COMM). The band gap values, which...

  • Review
  • Open Access
2 Citations
5,544 Views
32 Pages

6 September 2021

Anatase TiO2 are the most widely used photocatalysts because of their unique electronic, optical and catalytic properties. Surface chemistry plays a very important role in the various applications of anatase TiO2 especially in the catalysis, photocat...

  • Article
  • Open Access
6 Citations
2,845 Views
14 Pages

Simultaneous Li-Doping and Formation of SnO2-Based Composites with TiO2: Applications for Perovskite Solar Cells

  • Nagisa Hattori,
  • Kazuhiro Manseki,
  • Yuto Hibi,
  • Naohide Nagaya,
  • Norimitsu Yoshida,
  • Takashi Sugiura and
  • Saeid Vafaei

14 May 2024

Tin oxide (SnO2) has been recognized as one of the beneficial components in the electron transport layer (ETL) of lead–halide perovskite solar cells (PSCs) due to its high electron mobility. The SnO2-based thin film serves for electron extracti...

  • Review
  • Open Access
39 Citations
8,698 Views
37 Pages

Modified Nano-TiO2 Based Composites for Environmental Photocatalytic Applications

  • Shuo Wang,
  • Zhu Ding,
  • Xue Chang,
  • Jun Xu and
  • Dan-Hong Wang

8 July 2020

TiO2 probably plays the most important role in photocatalysis due to its excellent chemical and physical properties. However, the band gap of TiO2 corresponds to the Ultraviolet (UV) region, which is inactive under visible irradiation. At present, Ti...

  • Article
  • Open Access
21 Citations
7,039 Views
17 Pages

6 January 2024

This study explores the depollution activity of a photocatalytic cementitious composite comprising various compositions of n-TiO2 and CaCO3. The photocatalytic activity of the CaCO3–TiO2 composite material is assessed for the aqueous photodegra...

  • Article
  • Open Access
7 Citations
2,938 Views
8 Pages

The Phosphate-Based Composite Materials Filled with Nano-Sized BaTiO3 and Fe3O4: Toward the Unfired Multiferroic Materials

  • Artyom Plyushch,
  • Jan Macutkevič,
  • Aliaksei Sokal,
  • Konstantin Lapko,
  • Alexander Kudlash,
  • Dzmitry Adamchuk,
  • Vitaly Ksenevich,
  • Dzmitry Bychanok,
  • Algirdas Selskis and
  • Juras Banys
  • + 1 author

30 December 2020

The composite material filled with nano-sized BaTiO3 and Fe3O4 was designed and studied. The aluminium phosphate ceramics was used as a matrix. The XRD analysis demonstrates only the crystalline structure of the fillers used. The thermogravimetric an...

of 23