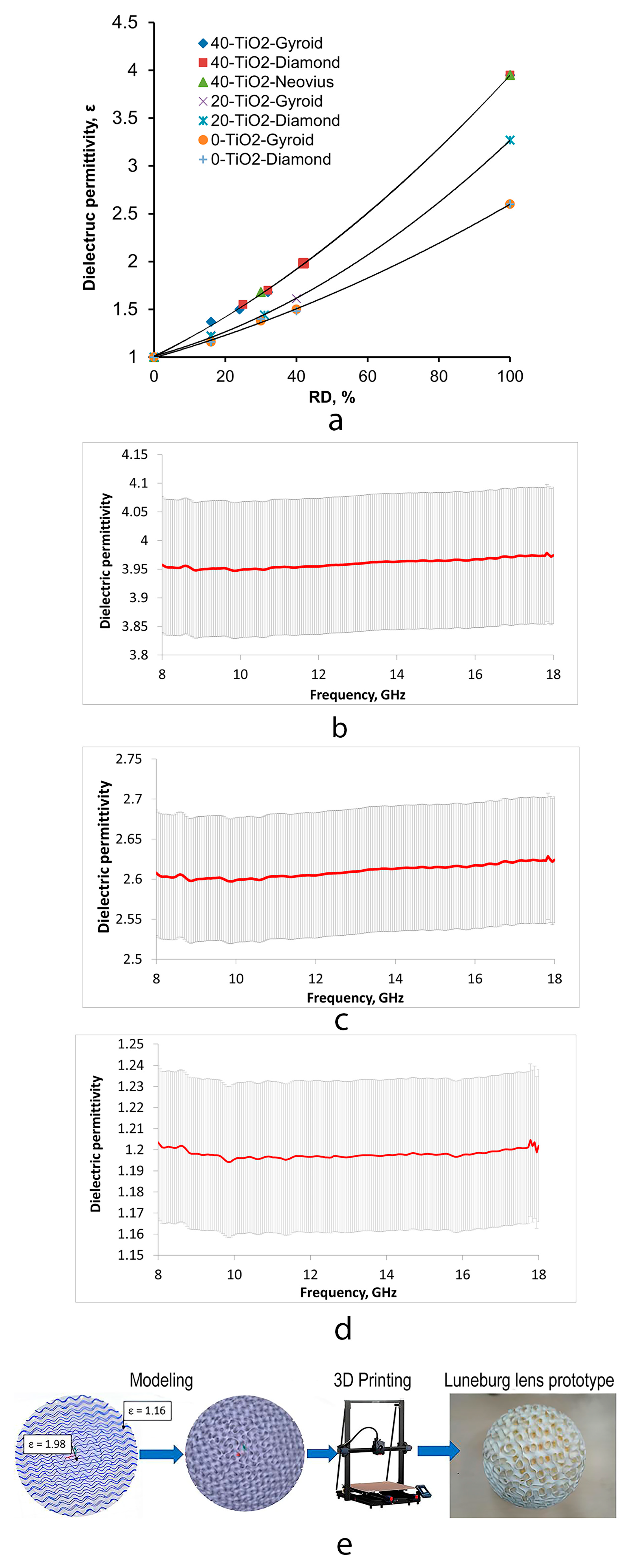
Biomimetic Design and Extrusion-Based 3D Printing of TiO2 Filled Composite Sphere Scaffolds: Energy-Absorbing and Electromagnetic Properties
Abstract
Share and Cite
Akhmatnabiev, M.; Petrov, A.; Timoshenko, M.; Sychov, M.; Diachenko, S.; Arsentev, M.; Bakulin, A.; Skorb, E.; Nosonovsky, M. Biomimetic Design and Extrusion-Based 3D Printing of TiO2 Filled Composite Sphere Scaffolds: Energy-Absorbing and Electromagnetic Properties. Biomimetics 2025, 10, 804. https://doi.org/10.3390/biomimetics10120804
Akhmatnabiev M, Petrov A, Timoshenko M, Sychov M, Diachenko S, Arsentev M, Bakulin A, Skorb E, Nosonovsky M. Biomimetic Design and Extrusion-Based 3D Printing of TiO2 Filled Composite Sphere Scaffolds: Energy-Absorbing and Electromagnetic Properties. Biomimetics. 2025; 10(12):804. https://doi.org/10.3390/biomimetics10120804
Chicago/Turabian StyleAkhmatnabiev, Marsel, Alexander Petrov, Mikhail Timoshenko, Maxim Sychov, Semyon Diachenko, Maxim Arsentev, Alexander Bakulin, Ekaterina Skorb, and Michael Nosonovsky. 2025. "Biomimetic Design and Extrusion-Based 3D Printing of TiO2 Filled Composite Sphere Scaffolds: Energy-Absorbing and Electromagnetic Properties" Biomimetics 10, no. 12: 804. https://doi.org/10.3390/biomimetics10120804
APA StyleAkhmatnabiev, M., Petrov, A., Timoshenko, M., Sychov, M., Diachenko, S., Arsentev, M., Bakulin, A., Skorb, E., & Nosonovsky, M. (2025). Biomimetic Design and Extrusion-Based 3D Printing of TiO2 Filled Composite Sphere Scaffolds: Energy-Absorbing and Electromagnetic Properties. Biomimetics, 10(12), 804. https://doi.org/10.3390/biomimetics10120804

