Composites Based on Electrodeposited WO3 and TiO2 Nanoparticles for Photoelectrochemical Water Splitting
Abstract
1. Introduction
2. Materials and Methods
2.1. Composite Electrodeposition
2.2. Structural and Surface Morphology Characterization
2.3. PEC Characterization
3. Results and Discussion
3.1. Structure and Surface Morphology
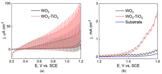
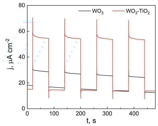
3.2. Photoelectrochemical Characterization
3.3. IMPS Study
4. Conclusions
Author Contributions
Funding
Institutional Review Board Statement
Informed Consent Statement
Data Availability Statement
Conflicts of Interest
References
- Turner, J.A. Sustainable Hydrogen Production. Science 2004, 305, 972–974. [Google Scholar] [CrossRef] [PubMed]
- Bard, A.J.; Fox, M.A. Artificial Photosynthesis: Solar Splitting of Water to Hydrogen and Oxygen. Acc. Chem. Res. 1995, 28, 141–145. [Google Scholar] [CrossRef]
- Walter, M.G.; Warren, E.L.; McKone, J.R.; Boettcher, S.W.; Mi, Q.; Santori, E.A.; Lewis, N.S. Solar Water Splitting Cells. Chem. Rev. 2010, 110, 6446–6473. [Google Scholar] [CrossRef]
- Corby, S.; Rao, R.R.; Steier, L.; Durrant, J.R. The Kinetics of Metal Oxide Photoanodes from Charge Generation to Catalysis. Nat. Rev. Mater. 2021, 6, 1136–1155. [Google Scholar] [CrossRef]
- Holmes-Gentle, I.; Tembhurne, S.; Suter, C.; Haussener, S. Kilowatt-Scale Solar Hydrogen Production System Using a Concentrated Integrated Photoelectrochemical Device. Nat. Energy 2023, 8, 586–596. [Google Scholar] [CrossRef]
- Fujishima, A.; Honda, K. Electrochemical Photolysis of Water at a Semiconductor Electrode. Nature 1972, 238, 37–38. [Google Scholar] [CrossRef]
- Thompson, T.L.; Yates, J.T. Surface Science Studies of the Photoactivation of TiO2 New Photochemical Processes. Chem. Rev. 2006, 106, 4428–4453. [Google Scholar] [CrossRef] [PubMed]
- Yagi, M.; Maruyama, S.; Sone, K.; Nagai, K.; Norimatsu, T. Preparation and Photoelectrocatalytic Activity of a Nano-Structured WO3 Platelet Film. J. Solid State Chem. 2008, 181, 175–182. [Google Scholar] [CrossRef]
- Amano, F.; Li, D.; Ohtani, B. Tungsten(VI) Oxide Flake-Wall Film Electrodes for Photoelectrochemical Oxygen Evolution from Water. ECS Trans. 2010, 28, 127–133. [Google Scholar] [CrossRef]
- Bamwenda, G.R.; Arakawa, H. The Visible Light Induced Photocatalytic Activity of Tungsten Trioxide Powders. Appl. Catal. A Gen. 2001, 210, 181–191. [Google Scholar] [CrossRef]
- González-Borrero, P.P.; Sato, F.; Medina, A.N.; Baesso, M.L.; Bento, A.C.; Baldissera, G.; Persson, C.; Niklasson, G.A.; Granqvist, C.G.; Ferreira Da Silva, A. Optical Band-Gap Determination of Nanostructured WO3 Film. Appl. Phys. Lett. 2010, 96, 061909. [Google Scholar] [CrossRef]
- Wu, H.; Xu, M.; Da, P.; Li, W.; Jia, D.; Zheng, G. WO3–Reduced Graphene Oxide Composites with Enhanced Charge Transfer for Photoelectrochemical Conversion. Phys. Chem. Chem. Phys. 2013, 15, 16138. [Google Scholar] [CrossRef] [PubMed]
- Wang, G.; Ling, Y.; Wang, H.; Yang, X.; Wang, C.; Zhang, J.Z.; Li, Y. Hydrogen-Treated WO3 Nanoflakes Show Enhanced Photostability. Energy Environ. Sci. 2012, 5, 6180. [Google Scholar] [CrossRef]
- Momeni, M.M.; Nazari, Z. Easy Synthesis of Titania–Tungsten Trioxide Nanocomposite Films by Anodising Method for Solar Water Splitting. Mater. Sci. Technol. 2016, 32, 855–862. [Google Scholar] [CrossRef]
- Zhang, X.; Liu, F.; Huang, Q.-L.; Zhou, G.; Wang, Z.-S. Dye-Sensitized W-Doped TiO2 Solar Cells with a Tunable Conduction Band and Suppressed Charge Recombination. J. Phys. Chem. C 2011, 115, 12665–12671. [Google Scholar] [CrossRef]
- Lv, K.; Li, J.; Qing, X.; Li, W.; Chen, Q. Synthesis and Photo-Degradation Application of WO3/TiO2 Hollow Spheres. J. Hazard. Mater. 2011, 189, 329–335. [Google Scholar] [CrossRef]
- Sotelo-Vazquez, C.; Quesada-Cabrera, R.; Ling, M.; Scanlon, D.O.; Kafizas, A.; Thakur, P.K.; Lee, T.; Taylor, A.; Watson, G.W.; Palgrave, R.G.; et al. Evidence and Effect of Photogenerated Charge Transfer for Enhanced Photocatalysis in WO3/TiO2 Heterojunction Films: A Computational and Experimental Study. Adv. Funct. Mater. 2017, 27, 1605413. [Google Scholar] [CrossRef]
- Zhang, L.; Guo, J.; Hao, B.; Ma, H. WO3/TiO2 Heterojunction Photocatalyst Prepared by Reactive Magnetron Sputtering for Rhodamine B Dye Degradation. Opt. Mater. 2022, 133, 113035. [Google Scholar] [CrossRef]
- Gao, L.; Gan, W.; Qiu, Z.; Zhan, X.; Qiang, T.; Li, J. Preparation of Heterostructured WO3/TiO2 Catalysts from Wood Fibers and Its Versatile Photodegradation Abilities. Sci. Rep. 2017, 7, 1102. [Google Scholar] [CrossRef]
- Székely, I.; Kovács, Z.; Rusu, M.; Gyulavári, T.; Todea, M.; Focșan, M.; Baia, M.; Pap, Z. Tungsten Oxide Morphology-Dependent Au/TiO2/WO3 Heterostructures with Applications in Heterogenous Photocatalysis and Surface-Enhanced Raman Spectroscopy. Catalysts 2023, 13, 1015. [Google Scholar] [CrossRef]
- Castro, I.A.; Byzynski, G.; Dawson, M.; Ribeiro, C. Charge Transfer Mechanism of WO3/TiO2 Heterostructure for Photoelectrochemical Water Splitting. J. Photochem. Photobiol. A Chem. 2017, 339, 95–102. [Google Scholar] [CrossRef]
- Yoon, D.-H.; Biswas, M.R.U.D.; Sakthisabarimoorthi, A. Composite Nanostructures of Black TiO2/WO3 on rGO Nanosheets for Photoelectrochemical Water Splitting. Diam. Relat. Mater. 2022, 129, 109363. [Google Scholar] [CrossRef]
- Liu, K.-I.; Perng, T.-P. Fabrication of Flower-Like WO3/TiO2 Core–Shell Nanoplates by Atomic Layer Deposition for Improved Photoelectrochemical Water-Splitting Activity. ACS Appl. Energy Mater. 2020, 3, 4238–4244. [Google Scholar] [CrossRef]
- Yadav, M.; Yadav, A.; Fernandes, R.; Popat, Y.; Orlandi, M.; Dashora, A.; Kothari, D.C.; Miotello, A.; Ahuja, B.L.; Patel, N. Tungsten-Doped TiO2/Reduced Graphene Oxide Nano-Composite Photocatalyst for Degradation of Phenol: A System to Reduce Surface and Bulk Electron-Hole Recombination. J. Environ. Manag. 2017, 203, 364–374. [Google Scholar] [CrossRef] [PubMed]
- Ki, S.J.; Park, Y.-K.; Kim, J.-S.; Lee, W.-J.; Lee, H.; Jung, S.-C. Facile Preparation of Tungsten Oxide Doped TiO2 Photocatalysts Using Liquid Phase Plasma Process for Enhanced Degradation of Diethyl Phthalate. Chem. Eng. J. 2019, 377, 120087. [Google Scholar] [CrossRef]
- Balta, Z.; Simsek, E.B. Insights into the Photocatalytic Behavior of Carbon-Rich Shungite-Based WO3/TiO2 Catalysts for Enhanced Dye and Pharmaceutical Degradation. New Carbon. Mater. 2020, 35, 371–383. [Google Scholar] [CrossRef]
- Patil, S.M.; Deshmukh, S.P.; More, K.V.; Shevale, V.B.; Mullani, S.B.; Dhodamani, A.G.; Delekar, S.D. Sulfated TiO2/WO3 Nanocomposite: An Efficient Photocatalyst for Degradation of Congo Red and Methyl Red Dyes under Visible Light Irradiation. Mater. Chem. Phys. 2019, 225, 247–255. [Google Scholar] [CrossRef]
- Hepel, M.; Hazelton, S. Photoelectrocatalytic Degradation of Diazo Dyes on Nanostructured WO3 Electrodes. Electrochim. Acta 2005, 50, 5278–5291. [Google Scholar] [CrossRef]
- Martins, A.S.; Cordeiro-Junior, P.J.M.; Bessegato, G.G.; Carneiro, J.F.; Zanoni, M.V.B.; Lanza, M.R.D.V. Electrodeposition of WO3 on Ti Substrate and the Influence of Interfacial Oxide Layer Generated in Situ: A Photoelectrocatalytic Degradation of Propyl Paraben. Appl. Surf. Sci. 2019, 464, 664–672. [Google Scholar] [CrossRef]
- Georgieva, J.; Armyanov, S.; Valova, E.; Philippidis, N.; Poulios, I.; Sotiropoulos, S. Photoelectrocatalytic Activity of Electrosynthesised Tungsten Trioxide- Titanium Dioxide Bi-Layer Coatings for the Photooxidation of Organics. J. Adv. Oxid. Technol. 2008, 11, 300–307. [Google Scholar] [CrossRef]
- Wang, X.; Li, Z.; Shi, J.; Yu, Y. One-Dimensional Titanium Dioxide Nanomaterials: Nanowires, Nanorods, and Nanobelts. Chem. Rev. 2014, 114, 9346–9384. [Google Scholar] [CrossRef] [PubMed]
- Sherkar, T.S.; Momblona, C.; Gil-Escrig, L.; Ávila, J.; Sessolo, M.; Bolink, H.J.; Koster, L.J.A. Recombination in Perovskite Solar Cells: Significance of Grain Boundaries, Interface Traps, and Defect Ions. ACS Energy Lett. 2017, 2, 1214–1222. [Google Scholar] [CrossRef]
- Rodríguez-Gutiérrez, I.; Djatoubai, E.; Su, J.; Vega-Poot, A.; Rodríguez-Gattorno, G.; Souza, F.L.; Oskam, G. An Intensity-Modulated Photocurrent Spectroscopy Study of the Charge Carrier Dynamics of WO3/BiVO4 Heterojunction Systems. Sol. Energy Mater. Sol. Cells 2020, 208, 110378. [Google Scholar] [CrossRef]
- Pauporté, T. A Simplified Method for WO3 Electrodeposition. J. Electrochem. Soc. 2002, 149, C539. [Google Scholar] [CrossRef]
- Meulenkamp, E.A. Mechanism of WO3 Electrodeposition from Peroxy-Tungstate Solution. J. Electrochem. Soc. 1997, 144, 1664–1671. [Google Scholar] [CrossRef]
- Wang, Y.; Meng, Z.; Chen, H.; Li, T.; Zheng, D.; Xu, Q.; Wang, H.; Liu, X.Y.; Guo, W. Pulsed Electrochemical Deposition of Porous WO3 on Silver Networks for Highly Flexible Electrochromic Devices. J. Mater. Chem. C 2019, 7, 1966–1973. [Google Scholar] [CrossRef]
- Kim, C.-H.; Kim, Y.-S.; Choi, J.-Y.; Lee, I.-S.; Cha, B.-C.; Kim, D.-W.; Lee, J. Enhancement of Electrochromic Properties Using Nanostructured Amorphous Tungsten Trioxide Thin Films. RSC Adv. 2022, 12, 35320–35327. [Google Scholar] [CrossRef]
- Boruah, P.J.; Khanikar, R.R.; Bailung, H. Synthesis and Characterization of Oxygen Vacancy Induced Narrow Bandgap Tungsten Oxide (WO3−x) Nanoparticles by Plasma Discharge in Liquid and Its Photocatalytic Activity. Plasma Chem. Plasma Process 2020, 40, 1019–1036. [Google Scholar] [CrossRef]
- Liu, Y.; Wygant, B.R.; Kawashima, K.; Mabayoje, O.; Hong, T.E.; Lee, S.-G.; Lin, J.; Kim, J.-H.; Yubuta, K.; Li, W.; et al. Facet Effect on the Photoelectrochemical Performance of a WO3/BiVO4 Heterojunction Photoanode. Appl. Catal. B Environ. 2019, 245, 227–239. [Google Scholar] [CrossRef]
- Székely, I.; Kovács, G.; Baia, L.; Danciu, V.; Pap, Z. Synthesis of Shape-Tailored WO3 Micro-/Nanocrystals and the Photocatalytic Activity of WO3/TiO2 Composites. Materials 2016, 9, 258. [Google Scholar] [CrossRef]
- Sun, H.; Song, F.; Zhou, C.; Wan, X.; Jin, Y.; Dai, Y.; Zheng, J.; Yao, S.; Yang, Y. Lattice-Water-Induced Acid Sites in Tungsten Oxide Hydrate for Catalyzing Fructose Dehydration. Catal. Commun. 2021, 149, 106254. [Google Scholar] [CrossRef]
- Zhou, Z.; Chen, Z.; Ma, D.; Wang, J. Porous WO3·2H2O Film with Large Optical Modulation and High Coloration Efficiency for Electrochromic Smart Window. Sol. Energy Mater. Sol. Cells 2023, 253, 112226. [Google Scholar] [CrossRef]
- Martín, A.J.; Maffiotte, C.; Chaparro, A.M. Mechanisms for the Growth of Thin Films of WO3 and Bronzes from Suspensions of WO3 Nanoparticles. ECS Trans. 2015, 64, 43–56. [Google Scholar] [CrossRef]
- Mineo, G.; Ruffino, F.; Mirabella, S.; Bruno, E. Investigation of WO3 Electrodeposition Leading to Nanostructured Thin Films. Nanomaterials 2020, 10, 1493. [Google Scholar] [CrossRef]
- Yang, B.; Miao, P.; Cui, J. Characteristics of Amorphous WO3 Thin Films as Anode Materials for Lithium-Ion Batteries. J. Mater. Sci: Mater. Electron. 2020, 31, 11071–11076. [Google Scholar] [CrossRef]
- Nguyen, H.T.T.; Truong, T.H.; Nguyen, T.D.; Dang, V.T.; Vu, T.V.; Nguyen, S.T.; Cu, X.P.; Nguyen, T.T.O. Ni-Doped WO3 Flakes-Based Sensor for Fast and Selective Detection of H2S. J. Mater. Sci: Mater. Electron. 2020, 31, 12783–12795. [Google Scholar] [CrossRef]
- Vasilopoulou, M.; Soultati, A.; Georgiadou, D.G.; Stergiopoulos, T.; Palilis, L.C.; Kennou, S.; Stathopoulos, N.A.; Davazoglou, D.; Argitis, P. Hydrogenated Under-Stoichiometric Tungsten Oxide Anode Interlayers for Efficient and Stable Organic Photovoltaics. J. Mater. Chem. A 2014, 2, 1738–1749. [Google Scholar] [CrossRef]
- Wei, Z.; Zhao, M.; Yang, Z.; Duan, X.; Jiang, G.; Li, G.; Zhang, F.; Hao, Z. Oxygen Vacancy-Engineered Titanium-Based Perovskite for Boosting H2O Activation and Lower-Temperature Hydrolysis of Organic Sulfur. Proc. Natl. Acad. Sci. USA 2023, 120, e2217148120. [Google Scholar] [CrossRef] [PubMed]
- Malikov, I.F.; Lyadov, N.M.; Salakhov, M.K.; Tagirov, L.R. Anion Doping of Tungsten Oxide with Nitrogen: Reactive Magnetron Synthesis, Crystal Structure, Valence Composition, and Optical Properties. Crystals 2024, 14, 109. [Google Scholar] [CrossRef]
- Frankcombe, T.J.; Liu, Y. Interpretation of Oxygen 1s X-ray Photoelectron Spectroscopy of ZnO. Chem. Mater. 2023, 35, 5468–5474. [Google Scholar] [CrossRef]
- Xu, Y.; Wu, S.; Wan, P.; Sun, J.; Hood, Z.D. Introducing Ti3+ Defects Based on Lattice Distortion for Enhanced Visible Light Photoreactivity in TiO2 Microspheres. RSC Adv. 2017, 7, 32461–32467. [Google Scholar] [CrossRef]
- Li, J.; Li, W.; Dong, H.; Li, N.; Guo, X.; Wang, L. Enhanced Performance in Hybrid Perovskite Solar Cell by Modification with Spinel Lithium Titanate. J. Mater. Chem. A 2015, 3, 8882–8889. [Google Scholar] [CrossRef]
- Sun, S.; Li, H.; Xu, Z.J. Impact of Surface Area in Evaluation of Catalyst Activity. Joule 2018, 2, 1024–1027. [Google Scholar] [CrossRef]
- Diao, J.; Yuan, W.; Qiu, Y.; Cheng, L.; Guo, X. A Hierarchical Oxygen Vacancy-Rich WO3 with “Nanowire-Array-on-Nanosheet-Array” Structure for Highly Efficient Oxygen Evolution Reaction. J. Mater. Chem. A 2019, 7, 6730–6739. [Google Scholar] [CrossRef]
- Le Formal, F.; Sivula, K.; Grätzel, M. The Transient Photocurrent and Photovoltage Behavior of a Hematite Photoanode under Working Conditions and the Influence of Surface Treatments. J. Phys. Chem. C 2012, 116, 26707–26720. [Google Scholar] [CrossRef]
- Ponomarev, E.A.; Peter, L.M. A Generalized Theory of Intensity Modulated Photocurrent Spectroscopy (IMPS). J. Electroanal. Chem. 1995, 396, 219–226. [Google Scholar] [CrossRef]
- Grigioni, I.; Polo, A.; Nomellini, C.; Vigni, L.; Poma, A.; Dozzi, M.V.; Selli, E. Nature of Charge Carrier Recombination in CuWO4 Photoanodes for Photoelectrochemical Water Splitting. ACS Appl. Energy Mater. 2023, 6, 10020–10029. [Google Scholar] [CrossRef]
- Nozik, A.J. Photoelectrochemistry: Applications to Solar Energy Conversion. Annu. Rev. Phys. Chem. 1978, 29, 189–222. [Google Scholar] [CrossRef]










| WO3 | WO3-TiO2 | |||||
|---|---|---|---|---|---|---|
| E, V | ωLF, Rad s−1 | H’LF, µA cm−2 W−1 m2 | jh, µA cm−2 W−1 m2 | ωLF, Rad s−1 | H’LF, µA cm−2 W−1 m2 | jh, µA cm−2 W−1 m2 |
| 0.6 | 69.6 | 0.058 | 0.135 | 546.2 | 0.004 | 0.511 |
| 0.8 | 37.0 | 0.097 | 0.208 | 271.3 | 0.010 | 0.867 |
| 1.0 | 26.4 | 0.180 | 0.276 | 162.7 | 0.284 | 1.208 |
| 1.2 | 26.4 | 0.330 | 0.378 | 124.0 | 1.028 | 1.653 |
Disclaimer/Publisher’s Note: The statements, opinions and data contained in all publications are solely those of the individual author(s) and contributor(s) and not of MDPI and/or the editor(s). MDPI and/or the editor(s) disclaim responsibility for any injury to people or property resulting from any ideas, methods, instructions or products referred to in the content. |
© 2024 by the authors. Licensee MDPI, Basel, Switzerland. This article is an open access article distributed under the terms and conditions of the Creative Commons Attribution (CC BY) license (https://creativecommons.org/licenses/by/4.0/).
Share and Cite
Levinas, R.; Podlaha, E.; Tsyntsaru, N.; Cesiulis, H. Composites Based on Electrodeposited WO3 and TiO2 Nanoparticles for Photoelectrochemical Water Splitting. Materials 2024, 17, 4914. https://doi.org/10.3390/ma17194914
Levinas R, Podlaha E, Tsyntsaru N, Cesiulis H. Composites Based on Electrodeposited WO3 and TiO2 Nanoparticles for Photoelectrochemical Water Splitting. Materials. 2024; 17(19):4914. https://doi.org/10.3390/ma17194914
Chicago/Turabian StyleLevinas, Ramunas, Elizabeth Podlaha, Natalia Tsyntsaru, and Henrikas Cesiulis. 2024. "Composites Based on Electrodeposited WO3 and TiO2 Nanoparticles for Photoelectrochemical Water Splitting" Materials 17, no. 19: 4914. https://doi.org/10.3390/ma17194914
APA StyleLevinas, R., Podlaha, E., Tsyntsaru, N., & Cesiulis, H. (2024). Composites Based on Electrodeposited WO3 and TiO2 Nanoparticles for Photoelectrochemical Water Splitting. Materials, 17(19), 4914. https://doi.org/10.3390/ma17194914

