Journal Description
Scientia Pharmaceutica
Scientia Pharmaceutica
is an international, peer-reviewed, open access journal related to the pharmaceutical sciences, published quarterly online. It is the official journal of the Austrian Pharmaceutical Society (ÖPhG). Society members receive discounts on the article processing charges.
- Open Access— free for readers, with article processing charges (APC) paid by authors or their institutions.
- High Visibility: indexed within Scopus, ESCI (Web of Science), Embase, CAPlus / SciFinder, and other databases.
- Journal Rank: CiteScore - Q2 (Pharmaceutical Science)
- Rapid Publication: manuscripts are peer-reviewed and a first decision is provided to authors approximately 22.8 days after submission; acceptance to publication is undertaken in 3.1 days (median values for papers published in this journal in the second half of 2025).
- Recognition of Reviewers: reviewers who provide timely, thorough peer-review reports receive vouchers entitling them to a discount on the APC of their next publication in any MDPI journal, in appreciation of the work done.
- Journal Clusters-Pharmaceutical Science: Scientia Pharmaceutica, Marine Drugs, Pharmaceuticals, Pharmaceutics, Pharmacy, Future Pharmacology, Pharmacoepidemiology, Drugs and Drug Candidates and Journal of Pharmaceutical and BioTech Industry.
Impact Factor:
2.5 (2024);
5-Year Impact Factor:
3.3 (2024)
Latest Articles
Synthesis, Characterization, Antioxidant and Antimicrobial Potentials of Novel Organometallic Compounds Derived from Quercetin
Sci. Pharm. 2026, 94(2), 26; https://doi.org/10.3390/scipharm94020026 - 27 Mar 2026
Abstract
►
Show Figures
Quercetin, one of the most abundant flavonoids in nature, has attracted the attention of many researchers due to its chemical and biological properties. A series of metal–quercetin complexes (Cu2+, Co2+, Zn2+, Sn2+, Al3+,
[...] Read more.
Quercetin, one of the most abundant flavonoids in nature, has attracted the attention of many researchers due to its chemical and biological properties. A series of metal–quercetin complexes (Cu2+, Co2+, Zn2+, Sn2+, Al3+, Cd2+ and Mg2+) were synthesized and systematically characterized by Fourier transform infrared spectroscopy (FTIR), UV-visible spectroscopy (UV–Vis) and nuclear magnetic resonance (NMR). These analyses confirmed that the complexes predominantly form through coordination with the 4-carbonyl group and adjacent phenolic hydroxyls. This induces measurable shifts in the ν(C=O), ν(O–H), and π→π* transition bands relative to free quercetin. The antioxidant capacity of the complexes was evaluated using 2,2-Diphenyl-1-Picrylhydrazyl (DPPH•) radical scavenging method, 2,2′-Azinobis(3-Ethylbenzothiazoline-6-Sulfonic Acid) (ABTS•)+ radical activity, and Ferric Reducing Antioxidant Power (FRAP) assay. Several complexes exhibited higher radical scavenging efficiency than quercetin, with inhibition percentages exceeding 80% in the DPPH• and ABTS•+ assays. Others showed reduced activity due to the masking of redox-active hydroxyl groups during metal coordination. FRAP results corroborated these trends, indicating metal-dependent modulation of reducing power. Antimicrobial evaluation revealed that selected complexes were more active than free quercetin, particularly against Staphylococcus aureus and Candida spp., with minimum inhibitory concentrations (MICs) ranging from 75–250 μg mL−1. Overall, metal complexation significantly alters the electronic structure and biological behavior of quercetin, highlighting the potential of metal–flavonoid complexes as multifunctional antioxidants and antimicrobials.
Full article
Open AccessArticle
Blue Light-Based Method to Induce Oxidative Stress on Rabbit Corneal Epithelial (RCE) Cells: Development and Validation
by
Valentina Paganini, Mariacristina Di Gangi, Patrizia Chetoni, Silvia Tampucci, Daniela Monti and Susi Burgalassi
Sci. Pharm. 2026, 94(1), 25; https://doi.org/10.3390/scipharm94010025 - 21 Mar 2026
Abstract
Daily exposure to blue light emitted by digital devices has raised concerns about oxidative stress-mediated damage to the ocular surface. Despite growing interest, validated in vitro models to study blue light-induced oxidative stress in corneal epithelial cells remain limited. A reproducible in vitro
[...] Read more.
Daily exposure to blue light emitted by digital devices has raised concerns about oxidative stress-mediated damage to the ocular surface. Despite growing interest, validated in vitro models to study blue light-induced oxidative stress in corneal epithelial cells remain limited. A reproducible in vitro method was developed using rabbit corneal epithelial (RCE) cells exposed to blue LED light (405 nm). Irradiation parameters were optimized to induce oxidative stress without causing overt cytotoxicity. Cellular viability, intracellular ROS production, and mitochondrial oxidative stress were assessed. The model was validated using reference antioxidants (ascorbic acid and oleuropein), oleuropein formulated in a drug-in-cyclodextrin-in-liposome system (OLE-DCL), and two commercial ophthalmic formulations applied before or after irradiation. Blue light irradiation at 4.57 W/m2 for 30 min significantly increased intracellular and mitochondrial ROS levels while preserving cell viability, indicating sublethal photo-oxidative stress. Ascorbic acid effectively suppressed ROS generation, whereas free oleuropein showed reduced efficacy, likely due to photosensitivity. OLE-DCL significantly enhanced antioxidant activity under irradiation. The model also discriminated between protective and restorative treatment strategies. This study establishes a validated in vitro blue light-induced oxidative stress model for corneal epithelial cells, suitable for screening antioxidant compounds, formulations, and application strategies relevant to ocular surface protection.
Full article
(This article belongs to the Special Issue Innovative Perspectives in Ocular Drug Research)
►▼
Show Figures

Figure 1
Open AccessReview
Cytotoxic Potential of Diterpenoids from the Genus Croton Against Breast Cancer Cell Lines: A Comprehensive Review
by
José Jailson Lima Bezerra, Mateus Araújo da Luz, Aline Peres Ferreira, Joseilton Franco França, Tatiana Porto Santos, Anderson Angel Vieira Pinheiro and Maria da Conceição de Menezes Torres
Sci. Pharm. 2026, 94(1), 24; https://doi.org/10.3390/scipharm94010024 - 21 Mar 2026
Abstract
►▼
Show Figures
Globally, breast cancer is one of the most prevalent tumors in women and remains a major concern due to its high mortality rate. Although treatment options for this disease have evolved over the years, there are still many cases of recurrence and metastasis.
[...] Read more.
Globally, breast cancer is one of the most prevalent tumors in women and remains a major concern due to its high mortality rate. Although treatment options for this disease have evolved over the years, there are still many cases of recurrence and metastasis. In this context, considering the importance of evaluating less aggressive and more efficient therapeutic alternatives to aid in the treatment of breast cancer, the present study critically discusses the cytotoxic effects of diterpenoids isolated from Croton species (Euphorbiaceae). The articles were retrieved from different databases, from the first report published in 2005 to October 2025. A total of 115 diterpenoids were isolated from 15 Croton species and investigated against different breast cancer cell lines (MDA-MB-231, MCF-7, and MDA-MB-468). These compounds mainly belong to the kaurane group (40%), followed by clerodane (14%), tigliane (12%), and abietane (10%). Of this total, only 25 compounds showed promising results (IC50 = < 10 µM). The mechanisms of action of the compounds crokokaugenoid A, kongensin A, kongensin D, ent-16β,17α-dihydroxykaurane, and lauicyclone A have been reported. These compounds likely act by inducing apoptosis, autophagy, cell cycle arrest, inhibition of cell migration and invasion, and DNA fragmentation in breast cancer cell lines. To date, no randomized clinical trials have been conducted using Croton diterpenoids for the treatment of breast cancer. Therefore, further studies on the modulation of the immune response by these natural products are essential to better understand their immunotherapeutic activity in the tumor microenvironment during breast cancer progression.
Full article

Figure 1
Open AccessArticle
Fucoidan–Chitosan Polyelectrolyte Complex as a Marine-Derived Colloidal Carrier Platform for Photoprotective Agents
by
Katherine González-Berrio and Miguel Ángel Puertas-Mejía
Sci. Pharm. 2026, 94(1), 23; https://doi.org/10.3390/scipharm94010023 - 19 Mar 2026
Abstract
►▼
Show Figures
Brown algae are a valuable source of bioactive secondary metabolites, particularly polyphenols and sulfated polysaccharides with photoprotective and antioxidant activities. Among them, fucoidan stands out for its biocompatibility, biodegradability, and demonstrated photoprotective effects, mainly through antioxidant and anti-photoaging properties, making it a promising
[...] Read more.
Brown algae are a valuable source of bioactive secondary metabolites, particularly polyphenols and sulfated polysaccharides with photoprotective and antioxidant activities. Among them, fucoidan stands out for its biocompatibility, biodegradability, and demonstrated photoprotective effects, mainly through antioxidant and anti-photoaging properties, making it a promising natural component for UV-protective formulations. This study developed polyelectrolyte complex sub-micron particles based on fucoidan and chitosan (F/Cs) to encapsulate quercetin (Q) as a natural UV-active antioxidant. Fucoidan from Sargassum filipendula was extracted and fractionated by ultrafiltration. An RCBD was used to optimize pH and F/Cs mass ratio. The optimal blank formulation (F/Cs = 1:1, pH 5.0) yielded sub-micron colloidal carriers with a mean hydrodynamic diameter of 421 ± 23 nm (PDI 0.252 ± 0.059) with ζ = +43.5 ± 1.6 mV. Quercetin-loaded particles (F/Cs/Q = 1:1:0.5) presented 915 ± 87 nm (PDI 0.278 ± 0.093) and ζ = +54.6 ± 1.2 mV. UV–Vis spectra evidenced UVB and partial UVA absorption for fucoidan and broad UVA/UVB coverage for quercetin, preserved upon encapsulation. Antioxidant activity was retained post-encapsulation (EC50, DPPH: 0.094 mg/mL; ABTS: 0.0749 mg/mL). These results demonstrate the potential of fucoidan–chitosan colloidal systems as multifunctional, biodegradable carriers for natural photoprotective agents, supporting their application in next-generation dermatological and cosmeceutical formulations.
Full article

Graphical abstract
Open AccessArticle
Strength and Structure: The Role of Different Hydrogel Matrices in Determining the Textural Properties of Jojoba Oil Bigels
by
Yoana Sotirova
Sci. Pharm. 2026, 94(1), 22; https://doi.org/10.3390/scipharm94010022 - 6 Mar 2026
Abstract
►▼
Show Figures
Jojoba oil is a well-established skin-beneficial liquid wax with high value in topical formulations. Bigels, as preferred semi-solid dosage forms, serve as versatile platforms by incorporating hydrogels and oleogels to leverage their advantages and address their limitations. In this study, jojoba oil bigels
[...] Read more.
Jojoba oil is a well-established skin-beneficial liquid wax with high value in topical formulations. Bigels, as preferred semi-solid dosage forms, serve as versatile platforms by incorporating hydrogels and oleogels to leverage their advantages and address their limitations. In this study, jojoba oil bigels were developed using sorbitan monostearate (20%, w/w) as an oleogelator and different hydrophilic bases, 1% Carbomer 940, 6% methylcellulose, or 20% Poloxamer 407 gel, with all concentrations expressed relative to the corresponding phase. Nine bigels were obtained by varying hydrogel-to-oleogel ratios (90:10–70:30). They were evaluated in terms of their organoleptic, microstructural, and textural characteristics. Both the hydrogel matrix type and the phase proportion impacted the studied properties. Carbomer bigels displayed the highest spreadability, methylcellulose formulations showed the greatest adhesiveness, and poloxamer systems exhibited maximum firmness and cohesiveness, with a comparatively more homogeneous phase distribution. The increase in oleogel content enhanced firmness and cohesiveness while modulating spreadability and adhesiveness in a hydrogel-dependent manner. Moreover, all designed formulations remained physically stable after centrifugation, but only those containing 80% carbomer gel or 70% or 80% poloxamer gel preserved their mechanical characteristics without significant changes after freeze-thawing. Besides identifying three promising biphasic dermal drug delivery platforms, these findings reinforce the tunability of bigels through the careful component selection.
Full article

Figure 1
Open AccessReview
Once-Monthly and Extended-Interval Incretin-, Amylin-, and THRβ-Targeting Therapies for Type 2 Diabetes and Obesity: Clinical Evidence and Development Pipelines
by
Héctor Iván Saldívar-Cerón
Sci. Pharm. 2026, 94(1), 21; https://doi.org/10.3390/scipharm94010021 - 4 Mar 2026
Abstract
Once-monthly injectable therapies targeting glucagon-like peptide-1 (GLP-1), glucose-dependent insulinotropic polypeptide (GIP), and adjacent metabolic pathways are moving from a conceptual goal to a plausible next step for type 2 diabetes (T2D) and obesity. The most clinically advanced program is maridebart cafraglutide (MariTide), a
[...] Read more.
Once-monthly injectable therapies targeting glucagon-like peptide-1 (GLP-1), glucose-dependent insulinotropic polypeptide (GIP), and adjacent metabolic pathways are moving from a conceptual goal to a plausible next step for type 2 diabetes (T2D) and obesity. The most clinically advanced program is maridebart cafraglutide (MariTide), a long-acting GLP-1 receptor agonist conjugated to an Fc-containing scaffold that also mediates sustained GIP receptor antagonism. Across phase 2 trials, once-monthly maridebart has produced clinically meaningful weight loss (~12–16% in adults without diabetes; ~8–12% in those with T2D), together with HbA1c reductions of ~1.2–1.6 percentage points, with a safety profile broadly consistent with GLP-1-based therapy. An exploratory every-8-weeks regimen showed attenuated efficacy, suggesting that monthly dosing may represent a practical lower boundary for maintaining therapeutic exposure and metabolic effect in this format. Beyond maridebart, a rapidly expanding pipeline—including ultra-long-acting GLP-1 analogs, dual GLP-1/GIP agonists, long-acting GIPR antagonists, amylin receptor agonists, and emerging thyroid hormone receptor beta (THRβ) agonists—is actively testing monthly regimens or induction-to-monthly maintenance strategies; however, most readouts remain early and are frequently limited to conference presentations or sponsor communications. Accordingly, much of the pipeline evidence should be interpreted as early-phase and non-peer-reviewed, and therefore hypothesis-generating. Key uncertainties include long-term durability, cardiometabolic outcomes, immunogenicity, and interindividual variability in response, which will ultimately determine how once-monthly regimens integrate with established weekly standards in routine care.
Full article
(This article belongs to the Topic Research in Pharmacological Therapies, 2nd Edition)
►▼
Show Figures

Graphical abstract
Open AccessArticle
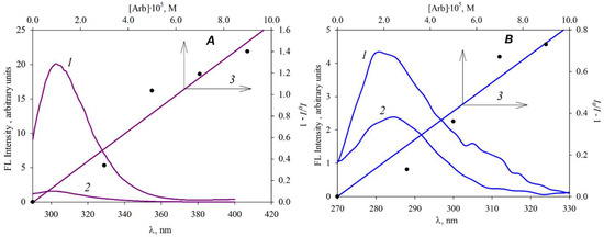
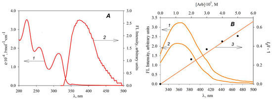
MD + QC Methodology for Studying the Interaction of Bioactive Molecules with Amino Acids: The Case of Arbidol Interaction with Aromatic Amino Acids and Its Spectral-Luminescent Validation
by
Sophia S. Borisevich, Edward M. Khamitov, Gulshat A. Masyagutova, Olga I. Yarovaya and Sergey L. Khursan
Sci. Pharm. 2026, 94(1), 20; https://doi.org/10.3390/scipharm94010020 - 4 Mar 2026
Abstract
A comprehensive MD + QC methodology was developed and applied to evaluate various aspects of Arbidol interactions with functional amino acids of surface proteins of influenza virus and SARS-CoV-2. The spatial structure, solvation features, conformational behavior of Arb AA (AA–Trp, Tyr, Phe, and
[...] Read more.
A comprehensive MD + QC methodology was developed and applied to evaluate various aspects of Arbidol interactions with functional amino acids of surface proteins of influenza virus and SARS-CoV-2. The spatial structure, solvation features, conformational behavior of Arb AA (AA–Trp, Tyr, Phe, and Val) complexes were established, and the statistics of intermolecular interactions in the complex were described. It was found that Arb can participate in strong and long-lived π-π stacking interactions with aromatic amino acids. The binding energy (BE) of Arbidol and amino acids in aqueous solution was estimated using an explicit solvation model, QTAIM analysis and correlation of BE vs. total electron density at the bond critical points of the complex. Theoretical calculations were validated by experimental studies of fluorescence (FL) quenching of aromatic AA by Arbidol. Spectral-fluorescent properties of Arbidol hydrochloride in aqueous solutions were studied, and the luminescence quantum yield for the electronically excited state of Arb was determined.
Full article
(This article belongs to the Special Issue Computer-Aided Drug Design and Molecular Synthesis)
►▼
Show Figures

Graphical abstract
Open AccessReview
The Significance of Solid Lipid Nanoparticles (SLNs) and Nanostructured Lipid Carriers (NLCs) in the Treatment of Atopic Dermatitis
by
Christophor Lazov, Krassimira Yoncheva and Marta Slavkova
Sci. Pharm. 2026, 94(1), 19; https://doi.org/10.3390/scipharm94010019 - 18 Feb 2026
Abstract
►▼
Show Figures
Lipid nanoparticles have been a subject of intense scientific interest in recent years due to their inherent biocompatibility, versatile delivery routes, drug loading and potential large-scale production. Solid lipid nanoparticles (SLNs) and nanostructured lipid carriers (NLCs) are matrix lipid nanoparticles that differ in
[...] Read more.
Lipid nanoparticles have been a subject of intense scientific interest in recent years due to their inherent biocompatibility, versatile delivery routes, drug loading and potential large-scale production. Solid lipid nanoparticles (SLNs) and nanostructured lipid carriers (NLCs) are matrix lipid nanoparticles that differ in their lipid composition and, specifically, the presence of liquid lipid in the latter. Their production is straightforward and relatively inexpensive. They provide an additional specific advantage for dermal delivery in the treatment of atopic dermatitis, as they can carry various drugs and even ameliorate the skin condition on their own. The chronic character and the observed predominance of atopic dermatitis in the pediatric population further justify the utility of improved therapeutic strategies and the application of SLNs and NLCs specifically. Therefore, in the current review, we aimed to systematically collect the available literature on this topic and to evaluate where we stand in terms of scientific and practical knowledge. The observations show significant potential for clinical translation for both SLNs and NLCs in the near future. However, some key limitations were identified and discussed. The novelty of this review lies in its systematic consolidation and critical discussion of SLNs and NLCs specifically in the context of atopic dermatitis.
Full article

Figure 1
Open AccessReview
Cobalamin Metabolism Is a Key Process of Breast Cancer Cells That Offers New Ways for Diagnosis and Treatment
by
Jorge L. Gutierrez-Pajares, Isabel Gómez-Betancur and Francisco León
Sci. Pharm. 2026, 94(1), 18; https://doi.org/10.3390/scipharm94010018 - 17 Feb 2026
Abstract
►▼
Show Figures
Cobalamin, also known as vitamin B12, is an essential cofactor involved in one-carbon metabolism, mitochondrial function, and epigenetic regulation. As humans rely entirely on dietary intake of cobalamin paired with a highly coordinated absorption and transportation system, disruptions to this metabolic process can
[...] Read more.
Cobalamin, also known as vitamin B12, is an essential cofactor involved in one-carbon metabolism, mitochondrial function, and epigenetic regulation. As humans rely entirely on dietary intake of cobalamin paired with a highly coordinated absorption and transportation system, disruptions to this metabolic process can have profound health consequences. Breast cancer, the most frequently diagnosed malignancy among women worldwide, exhibits distinct metabolic adaptations, including altered cobalamin uptake and dependency on B12-driven biochemical pathways. This review summarizes the molecular mechanisms governing cobalamin metabolism, with a focus on absorption, transport, and intracellular processes relevant to breast cancer biology. We then examine how breast cancer cells reprogram these pathways. Finally, we evaluate emerging pharmaceutical strategies that target cobalamin metabolism, including B12-based imaging probes, cobalamin-conjugated drug delivery systems, and inhibitors of B12-dependent enzymes. Although these approaches show promise, further research is needed to define subtype-specific metabolic signatures, optimize cobalamin-mediated drug targeting, and clarify how systemic B12 status influences therapeutic response. By integrating biochemical, epidemiological, and translational perspectives, this review outlines how cobalamin-centered strategies may contribute to more precise diagnostic and therapeutic options for breast cancer.
Full article

Figure 1
Open AccessArticle
Mechanistic Insights into the Anticancer Activity of the Crotalicidin-Derived Ctn-2 Peptide in Triple-Negative Breast Cancer
by
Ana María Sepúlveda, Marcela Manrique-Moreno, Sofía Echeverri-Gaviria and Gloria A. Santa-González
Sci. Pharm. 2026, 94(1), 17; https://doi.org/10.3390/scipharm94010017 - 14 Feb 2026
Abstract
►▼
Show Figures
Triple-negative breast cancer is the subtype with the worst prognosis and has limited treatment options. Bioactive peptides are a promising alternative, having demonstrated antitumor properties with a mechanism of action involving the cell membrane. In this study, we evaluated the Ctn-2 peptide, a
[...] Read more.
Triple-negative breast cancer is the subtype with the worst prognosis and has limited treatment options. Bioactive peptides are a promising alternative, having demonstrated antitumor properties with a mechanism of action involving the cell membrane. In this study, we evaluated the Ctn-2 peptide, a fragment of crotalicidin (Ctn), which has shown antitumor activity with highly lytic characteristics but is not selective in non-tumor cells. We evaluated the antitumor activity of the peptide Ctn-2 in triple-negative breast cancer cells and its selectivity over non-tumoral cells. Comparative analyses with LTX-315 and biophysical studies on model membranes indicate that Ctn-2 preferentially interacts with cancer-associated lipids. Functional assays further show that its action involves controlled membrane disruption and associated cellular responses. We also examined the combined effect of Ctn-2 and doxorubicin, finding that Ctn-2 selectively enhanced cytotoxicity in tumor cells and potentiated the activity of conventional chemotherapy. Overall, the results indicate that Ctn-2 is a membrane-active peptide with selective antitumor potential and the ability to improve chemotherapeutic efficacy.
Full article

Graphical abstract
Open AccessReview
Mucuna pruriens: A Dietary Supplement with Balancing Properties That Can Limit Neurological Disorders and Associated Depressive States
by
Malika Mekhalfi and Sabine Berteina-Raboin
Sci. Pharm. 2026, 94(1), 16; https://doi.org/10.3390/scipharm94010016 - 11 Feb 2026
Abstract
Mucuna pruriens (M. pruriens) is a legume that attracts researchers for its benefits and has been used for centuries in Ayurvedic medicine. While its effectiveness has long been recognized, in-depth studies have shown that its activity is mainly due to its
[...] Read more.
Mucuna pruriens (M. pruriens) is a legume that attracts researchers for its benefits and has been used for centuries in Ayurvedic medicine. While its effectiveness has long been recognized, in-depth studies have shown that its activity is mainly due to its high levodopa (L-Dopa) content, but not exclusively. It also contains other structures that can improve its effectiveness and reduce the side effects encountered when using synthetic L-Dopa. Similarly, other molecules that selectively inhibit certain enzymes are present. Various methods of varying effectiveness have been used to extract the active ingredients, and recently, progress has been made in extraction methods. Clinical studies already exist demonstrating its therapeutic benefits, similar to those of synthetic L-Dopa, for several conditions, and showing the limitations of certain side effects such as dyskinesias. Further studies and clinical trials are still needed, but this plant could be a very good alternative in countries that do not have or no longer have access to certain drugs. This legume can be grown without difficulty in these countries, as it has the advantage of being resistant to drastic climatic conditions.
Full article
(This article belongs to the Special Issue Pharmaceutical Applications of Heterocyclic Compounds)
►▼
Show Figures

Figure 1
Open AccessArticle
Spectral Characterization of Prospidium Chloride Using Complementary Analytical Techniques
by
Antoniy A. Kladiev, Elena V. Uspenskaya, Mikhail G. Baryshev, Vasilii A. Ivlev, Vasilii G. Vasil’ev, Samvel S. Barsegyan and Ainaz Safdari
Sci. Pharm. 2026, 94(1), 15; https://doi.org/10.3390/scipharm94010015 - 5 Feb 2026
Abstract
►▼
Show Figures
The clinical efficacy of chemotherapy against rapidly proliferating cells stimulates both the development of new agents and the reassessment of established drugs. Spectroscopic methods (UV, FT-IR, and 1H NMR) were applied to characterize prospidium chloride and related substances. The FT-IR spectrum of
[...] Read more.
The clinical efficacy of chemotherapy against rapidly proliferating cells stimulates both the development of new agents and the reassessment of established drugs. Spectroscopic methods (UV, FT-IR, and 1H NMR) were applied to characterize prospidium chloride and related substances. The FT-IR spectrum of prospidium chloride, arising from vibrational transitions within the alkyl fragments of the dispirotripiperazinium cation, is reported with band assignments. Electronic transitions between molecular orbitals are analyzed using quantum–mechanical selection rules (Laporte and spin selection rules). The n→σ* transition (ΔS = 0) corresponds to the absorption maximum at λmax = 282 ± 0.40 nm (ε = 3.89 ± 0.08 L·mol−1·cm−1). A 1H NMR spectrum (700 MHz) was used to assign chemical shifts δ (ppm), J-coupling constants (Hz), and gauche conformational features of prospidium chloride and its dihydroxy and epoxy impurities. Quantitative 1H NMR (qNMR) was applied to determine the content of the active pharmaceutical ingredient and related substances. The methods provide complementary structural information for the characterization of prospidium chloride.
Full article

Figure 1
Open AccessArticle
Virtual Screening Targeting LasR and Elastase of Pseudomonas aeruginosa Followed by In Vitro Antibacterial Evaluation
by
Nerlis Pájaro-Castro, Paulina Valenzuela-Hormazábal, Erick Díaz-Morales, Kenia Hoyos, Karina Caballero-Gallardo and David Ramírez
Sci. Pharm. 2026, 94(1), 14; https://doi.org/10.3390/scipharm94010014 - 4 Feb 2026
Abstract
►▼
Show Figures
Pseudomonas aeruginosa is a Gram-negative pathogen with a remarkable capacity to acquire multiple resistance mechanisms, severely limiting current therapeutic options. Consequently, the identification of new antimicrobial agents remains a critical priority. In this study, an integrated in silico-guided strategy was applied to identify
[...] Read more.
Pseudomonas aeruginosa is a Gram-negative pathogen with a remarkable capacity to acquire multiple resistance mechanisms, severely limiting current therapeutic options. Consequently, the identification of new antimicrobial agents remains a critical priority. In this study, an integrated in silico-guided strategy was applied to identify small molecules with antibacterial potential against P. aeruginosa, targeting the quorum-sensing regulator LasR (PDB ID: 2UV0) and elastase (PDB ID: 1U4G). Pharmacophore modeling was performed for both targets, followed by ligand-based virtual screening, structure-based virtual screening (SBVS), and MM-GBSA (Molecular Mechanics-Generalized Born Surface Area) binding free energy calculations. Top-ranked compounds based on predicted binding affinity were selected for in vitro cytotoxicity and antibacterial evaluation. Antimicrobial activity was assessed against three P. aeruginosa strains: an American Type Culture Collection (ATCC) reference strain, a clinically susceptible isolate, and an extensively drug-resistant (XDR) clinical isolate. SBVS yielded docking scores ranging from −6.96 to −12.256 kcal/mol, with MM-GBSA binding free energies between −18.554 and −88.00 kcal/mol. Minimum inhibitory concentration (MIC) assays revealed that MolPort-001-974-907, MolPort-002-099-073, MolPort-008-336-135, and MolPort-008-339-179 exhibited MIC values of 62.5 µg/mL against the ATCC strain, indicating weak-to-moderate antibacterial activity consistent with early-stage hit compounds. MolPort-008-336-135 showed the most favorable activity against the clinically susceptible isolate, with an MIC of 62.5 µg/mL, while maintaining HepG2 cell viability above 70% at this concentration and an half-maximal inhibitory concentration (IC50) greater than 500 µg/mL. In contrast, all tested compounds displayed MIC values above 62.5 µg/mL against the XDR isolate, reflecting limited efficacy against highly resistant strains. Overall, these results demonstrate the utility of in silico-driven approaches for the identification of antibacterial hit compounds targeting LasR and elastase, while highlighting the need for structure–activity relationship optimization to improve potency, selectivity, and activity against multidrug-resistant P. aeruginosa.
Full article

Figure 1
Open AccessCommunication
Drug Responsiveness in Patient-Derived Rectal Organoids Correlates with Clinical Response in CF Subjects: A Real-Life Analysis
by
Karina Kleinfelder, Paola Lecca, Roberta Valeria Latorre, Chiara Mortali, Sara Casati, Sofia Vanerio, Claudio Sorio and Paola Melotti
Sci. Pharm. 2026, 94(1), 13; https://doi.org/10.3390/scipharm94010013 - 4 Feb 2026
Abstract
►▼
Show Figures
Pharmacological modulators of CFTR have significantly changed the cystic fibrosis (CF) phenotype of subjects affected by this multi-organ disease. Here, we evaluated the CFTR function analysis (short-circuit chamber in colonoids) in response to Elexacaftor/Tezacaftor/Ivacaftor (ETI) with the clinical benefits of in vivo treatment
[...] Read more.
Pharmacological modulators of CFTR have significantly changed the cystic fibrosis (CF) phenotype of subjects affected by this multi-organ disease. Here, we evaluated the CFTR function analysis (short-circuit chamber in colonoids) in response to Elexacaftor/Tezacaftor/Ivacaftor (ETI) with the clinical benefits of in vivo treatment with ETI in ten CF subjects. We found that the functional response of ETI-corrected PDROS significantly correlated with the absolute change in the sweat chloride test. Thus, our work reinforces the use of organoid-derived human intestinal monolayers to guide clinicians in selecting CFTR-targeted therapies.
Full article

Figure 1
Open AccessArticle
Standardized Hericium erinaceus Extract Powder Improves Scopolamine-Induced Cognitive Deficits via BDNF-Mediated Neuroplasticity
by
Seon-Hyeok Kim, Se Jeong Kim, Eun Ji Ko, Hae Ran Lee, Seong Min Hong, Se Hwan Ryu, Dae Hee Lee, Young Guk Kim, Jeong Yun Yu, Jae Kang Lee, Mi Kyeong Lee and Sun Yeou Kim
Sci. Pharm. 2026, 94(1), 12; https://doi.org/10.3390/scipharm94010012 - 23 Jan 2026
Abstract
Alzheimer’s disease and related neurodegenerative disorders are associated with progressive cognitive decline, primarily driven by cholinergic dysfunction and impaired synaptic signaling. Hericium erinaceus, also known as lion’s mane mushroom, has been reported to promote neuronal differentiation and synaptic plasticity. In this study,
[...] Read more.
Alzheimer’s disease and related neurodegenerative disorders are associated with progressive cognitive decline, primarily driven by cholinergic dysfunction and impaired synaptic signaling. Hericium erinaceus, also known as lion’s mane mushroom, has been reported to promote neuronal differentiation and synaptic plasticity. In this study, a standardized H. erinaceus extract powder (HEP) was prepared from fruiting bodies and quantified using hericene A as a marker compound. The neuroprotective effects of HEP were then evaluated in both cellular and animal models of scopolamine-induced cognitive dysfunction. Pretreatment of SH-SY5Y human neuroblastoma cells with HEP (5–25 μg/mL) significantly improved cell viability and reduced scopolamine-induced apoptosis, while enhancing the activation of neuroplasticity-related signaling proteins, including brain-derived neurotrophic factor (BDNF), cAMP response element-binding protein (CREB), and extracellular signal-regulated kinase (ERK). In vivo, oral administration of HEP (300 mg/kg) to scopolamine-treated ICR mice markedly improved cognitive performance, increasing the recognition index to 63.8% compared with 41.6% in the scopolamine group, and enhancing spontaneous alternation in the Y-maze test to 59.6%. These cognitive improvements were accompanied by preserved hippocampal neuronal structure and increased BDNF immunoreactivity. Additionally, HEP improved cholinergic function by restoring serum acetylcholine levels and reducing acetylcholinesterase activity. Collectively, these findings suggest that standardized HEP exerts neuroprotective and cognition-enhancing effects via modulation of cholinergic markers and activation of BDNF-mediated neuroplasticity, highlighting its potential as a functional food ingredient or nutraceutical for preventing cognitive decline related to cholinergic dysfunction.
Full article
(This article belongs to the Topic Functional Foods and Nutraceuticals in Health and Disease)
►▼
Show Figures

Figure 1
Open AccessArticle
Synthesis, Antimicrobial and Antiproliferative Activity of 1-Trifluoromethylphenyl-3-(4-arylthiazol-2-yl)thioureas
by
Sreenivas Avula, Satish Koppireddi, Micky D. Tortorella and Cleopatra Neagoie
Sci. Pharm. 2026, 94(1), 11; https://doi.org/10.3390/scipharm94010011 - 19 Jan 2026
Abstract
This study reports the exclusive and rapid synthesis of twenty-four derivatives of 1-((mono/bis)trifluoromethyl)phenyl-3-(4-arylthiazol-2-yl)thioureas (series 7, 9 and 11), along with their antimicrobial activities against Candida albicans, Mycobacterium smegmatis and seven additional bacterial strains. The anticancer potential of these compounds was
[...] Read more.
This study reports the exclusive and rapid synthesis of twenty-four derivatives of 1-((mono/bis)trifluoromethyl)phenyl-3-(4-arylthiazol-2-yl)thioureas (series 7, 9 and 11), along with their antimicrobial activities against Candida albicans, Mycobacterium smegmatis and seven additional bacterial strains. The anticancer potential of these compounds was evaluated against various human cancer cell lines, including A549 (lung adenocarcinoma), HeLa (cervical carcinoma), IMR32 (neuroblastoma), MCF-7 (breast adenocarcinoma), HCT116 (colon cancer) and DU145 (prostate cancer). Among these, 1-(3,5-bistrifluoromethylphenyl)-3-(thiazol-2-yl)thiourea (7i) and 1-(4-trifluoromethylphenyl)-3-(4-(3-chlorophenyl)thiazol-2-yl)thiourea (11h) demonstrated significant antimicrobial activity against M. luteus, S. aureus, S. aureus 1 and C. albicans. Additionally, 1-(4-(3-chlorophenyl)thiazol-2-yl)-3-(3-trifluoromethylphenyl)thiourea (9g) and 1-(4-trifluoromethylphenyl)-3-(4-(2-fluorophenyl)thiazol-2-yl)thiourea (11g) showed activity against Mycobacterium smegmatis. The bioassay tests indicated that many of the thiourea derivatives exhibited moderate activity against the A549, HeLa, MCF-7 and HCT116 cancer cell lines.
Full article
(This article belongs to the Special Issue Pharmaceutical Applications of Heterocyclic Compounds)
►▼
Show Figures

Figure 1
Open AccessArticle
Phytomedicines for Mental Disorders in Hungary—Questionnaire and Phytochemical Analysis of Herbal OTC Products
by
Tibor Rák, Edit Ormai and Györgyi Horváth
Sci. Pharm. 2026, 94(1), 10; https://doi.org/10.3390/scipharm94010010 - 15 Jan 2026
Abstract
Mental health disorders, particularly anxiety and insomnia, are increasingly prevalent worldwide, prompting interest in herbal-based complementary therapies. This study surveyed 168 Hungarian healthcare professionals to evaluate their knowledge and recommendations regarding herbal sedatives and analyzed seven commonly suggested OTC products available in Hungary,
[...] Read more.
Mental health disorders, particularly anxiety and insomnia, are increasingly prevalent worldwide, prompting interest in herbal-based complementary therapies. This study surveyed 168 Hungarian healthcare professionals to evaluate their knowledge and recommendations regarding herbal sedatives and analyzed seven commonly suggested OTC products available in Hungary, using thin-layer chromatography (TLC) and UV–Vis spectrophotometry according to the European Pharmacopoeia. The survey revealed that 86.9% of respondents recommend herbal products for nervous system complaints, with Valeriana officinalis and Melissa officinalis being the preferred ingredients. Herbal teas and traditional herbal medicines were the most frequently suggested product categories. Laboratory analysis confirmed the presence of marker compounds in all tested products; however, significant variability in active ingredient concentrations was observed. One homeopathic product contained an unidentified alkaloid-like compound, raising safety concerns. Essential oil yields from tea mixtures also varied markedly, and some products did not meet pharmacopoeial standards for hypericin content. These findings highlight the popularity of phytotherapy among healthcare professionals and the need for stricter quality control of OTC herbal sedatives. Future research should include multi-batch analyses and clinical trials to establish robust evidence for efficacy and safety.
Full article
(This article belongs to the Topic Natural Products and Drug Discovery—2nd Edition)
►▼
Show Figures

Figure 1
Open AccessReview
Computational Workflow for Chemical Compound Analysis: From Structure Generation to Molecular Docking
by
Jesus Magdiel García-Díaz, Asbiel Felipe Garibaldi-Ríos, Martha Patricia Gallegos-Arreola, Filiberto Gutiérrez-Gutiérrez, Jorge Iván Delgado-Saucedo, Moisés Martínez-Velázquez and Ana María Puebla-Pérez
Sci. Pharm. 2026, 94(1), 9; https://doi.org/10.3390/scipharm94010009 - 13 Jan 2026
Abstract
Drug discovery is a complex and expensive process in which only a small proportion of candidate molecules reach clinical approval. Computational methods, particularly computer-aided drug design (CADD), have become fundamental to accelerate and optimize early stages of discovery by integrating chemical, biological, and
[...] Read more.
Drug discovery is a complex and expensive process in which only a small proportion of candidate molecules reach clinical approval. Computational methods, particularly computer-aided drug design (CADD), have become fundamental to accelerate and optimize early stages of discovery by integrating chemical, biological, and pharmacokinetic information into predictive models. This review outlines a complete computational workflow for chemical compound analysis, covering molecular structure generation, database selection, evaluation of absorption, distribution, metabolism, excretion and toxicity (ADMET), target prediction, and molecular docking. It focuses on freely accessible and web-based tools that enable reproducible, cost-effective, and scalable in silico studies. Key platforms such as PubChem, ChEMBL, RDKit, SwissADME, TargetNet, and SwissDock are highlighted as examples of how different resources can be integrated to support rational compound design and prioritization. The article also discusses essential methodological principles, data curation strategies, and common limitations in virtual screening and docking analyses. Finally, it explores future directions in computational drug discovery, including the incorporation of artificial intelligence, multi-omics integration, and quantum simulations, to enhance predictive accuracy and translational relevance.
Full article
(This article belongs to the Topic Bioinformatics in Drug Design and Discovery—2nd Edition)
►▼
Show Figures

Figure 1
Open AccessArticle
Astaxanthin as a Natural Photoprotective Agent: In Vitro and In Silico Approach to Explore a Multi-Targeted Compound
by
Aida Lahmar, Balkis Abdelaziz, Nahla Gouader, Abir Salek, Imen Waer and Leila Chekir Ghedira
Sci. Pharm. 2026, 94(1), 8; https://doi.org/10.3390/scipharm94010008 - 13 Jan 2026
Abstract
►▼
Show Figures
Ultraviolet B radiation is a major cause of skin aging, cellular senescence, and inflammaging, mediated by the excessive production of reactive oxygen species (ROS) and induction of apoptosis. This study evaluated the photo-protective effects of astaxanthin, one of the strongest natural antioxidants, in
[...] Read more.
Ultraviolet B radiation is a major cause of skin aging, cellular senescence, and inflammaging, mediated by the excessive production of reactive oxygen species (ROS) and induction of apoptosis. This study evaluated the photo-protective effects of astaxanthin, one of the strongest natural antioxidants, in UVB-treated keratinocytes. The antioxidant capacity of astaxanthin was evaluated using ABTS, DPPH, and NBT/riboflavin/SOD assays. HaCaT cells were exposed to 30 mJ/cm2 of UVB radiation. Photoprotective effects and accumulated ROS were evaluated in UVB-irradiated HaCaT cells by MTT and DCFH-DA assays. Nitric oxide levels were quantified using the Griess reagent. Apoptosis was assessed by dual staining using acridine orange/ethidium bromide, lysosomal integrity by acridine orange uptake, and cell migration by scratch assay. Cell adhesion was assessed on ECM-coated Nunc plates. Finally, we formulated a 0.5% astaxanthin-enriched cream. Astaxanthin mitigated UVB-induced damage by reducing intracellular ROS levels by 3.7-fold, decreasing nitric oxide production to 29.8 ± 7.7% at the highest concentration, and maintaining lysosomal integrity. The carotenoid significantly enhanced cell viability, increasing it from 60.64 ± 8.3% in UV-treated cells to 102.1 ± 3.22% at 40 µM. Moreover, treated cells showed a significant reduction (p < 0.001) in the apoptotic rate (37.7 ± 3.1 vs. 87.7 ± 3.8 in UVB-irradiated cells, as evidenced by reduced chromatin condensation and nuclear fragmentation. Astaxanthin also enhanced tissue repair, as evidenced by increased cell migration and adhesion to several extracellular matrix (ECM) proteins (poly-L-lysine, laminin, fibrinogen, vitronectin and collagen I). In silico molecular docking predicted strong binding affinities between astaxanthin and key cellular targets, including JAK2 (−9.9 kcal/mol, highest affinity), STAT3, FAK, COX-2, NF-k-B, MMP2, and MMP9. The formulated cream demonstrated an in vitro SPF of 7.2 ± 2.5. Astaxanthin acts as a multifunctional photoprotective compound, providing a strong rationale for its incorporation into cosmetic and dermatological formulations, as further supported by the successful formulation and in vitro SPF estimation of an astaxanthin-enriched cream.
Full article

Figure 1
Open AccessArticle
Pineapple-Derived Sodium Carboxymethylcellulose: Physicochemical Basis for Hydrogel Formulation
by
Mateo Pérez-R, G. Orozco, A. González-Ruiz and Miriam V. Flores-Merino
Sci. Pharm. 2026, 94(1), 7; https://doi.org/10.3390/scipharm94010007 - 8 Jan 2026
Abstract
►▼
Show Figures
The synthesis of sodium carboxymethylcellulose (NaCMC) from lignocellulosic pineapple stubble provides a renewable alternative to conventional cellulose sources for pharmaceutical applications. This study aimed to obtain NaCMC from pineapple biomass, characterize it according to pharmacopoeial specifications, and formulate hydrogels as a physicochemical proof-of-concept
[...] Read more.
The synthesis of sodium carboxymethylcellulose (NaCMC) from lignocellulosic pineapple stubble provides a renewable alternative to conventional cellulose sources for pharmaceutical applications. This study aimed to obtain NaCMC from pineapple biomass, characterize it according to pharmacopoeial specifications, and formulate hydrogels as a physicochemical proof-of-concept for future drug delivery and tissue regeneration applications. NaCMC was successfully synthesized and met the requirements of the Mexican Pharmacopoeia. Hydrogels were prepared by blending NaCMC with gelatin and crosslinking with citric acid. Spectroscopic, morphological, and thermal analyses confirmed the structural equivalence between pineapple-derived NaCMC (NaCMC-Pi) and commercial NaCMC (NaCMC-Co). Swelling and gel fraction studies showed that NaCMC-Pi hydrogels exhibited a higher gel fraction, indicating a more crosslinked network, which corresponded to lower swelling capacity but higher thermal stability compared to NaCMC-Co hydrogels. Overall, these results demonstrate that pineapple stubble is a viable source of pharmaceutical-grade NaCMC and that the resulting hydrogels provide a robust physicochemical basis for future biomedical validation. The use of agro-industrial residues additionally offers a complementary sustainability benefit without compromising pharmaceutical performance.
Full article

Figure 1
Journal Menu
► ▼ Journal MenuJournal Browser
► ▼ Journal BrowserHighly Accessed Articles
Latest Books
E-Mail Alert
News
Topics
Topic in
Cancers, IJMS, Pharmaceuticals, Pharmaceutics, Sci. Pharm., Current Oncology, Molecules
Recent Advances in Anticancer Strategies, 2nd Edition
Topic Editors: Hassan Bousbaa, Zhiwei HuDeadline: 31 May 2026
Topic in
CIMB, Molecules, Pharmaceuticals, Pharmaceutics, Sci. Pharm.
Challenges and Opportunities in Drug Delivery Research, 2nd Edition
Topic Editors: Lenuta Profire, Ioana Mirela VasincuDeadline: 30 June 2026
Topic in
Cancers, CIMB, Current Oncology, Sci. Pharm., Antibodies, IJMS, IJTM
Antibody-Mediated Therapy and Other Emerging Therapies in Cancer Treatment
Topic Editors: Won Sup Lee, Yaewon Yang, Seil GoDeadline: 31 July 2026
Topic in
Biomedicines, IJMS, Sci. Pharm., Molecules, Future Pharmacology, Biomolecules
Natural Products and Drug Discovery—2nd Edition
Topic Editors: Sonia Piacente, Marta MenegazziDeadline: 30 September 2026
Conferences
Special Issues
Special Issue in
Sci. Pharm.
Monoclonal Antibodies in the Treatment of Diseases: Focus on Stability, Storage, and Administration
Guest Editor: Stefano RugaDeadline: 31 May 2026
Special Issue in
Sci. Pharm.
Anticancer Potential of Natural Products
Guest Editor: Yulin RenDeadline: 31 May 2026
Special Issue in
Sci. Pharm.
Pharmaceutical Applications of Heterocyclic Compounds
Guest Editor: Thierry BessonDeadline: 31 May 2026
Special Issue in
Sci. Pharm.
Computer-Aided Drug Design and Molecular Synthesis
Guest Editors: Osvaldo Santos-Filho, Arthur Eugen KümmerleDeadline: 31 May 2026




