Abstract
Ultraviolet B radiation is a major cause of skin aging, cellular senescence, and inflammaging, mediated by the excessive production of reactive oxygen species (ROS) and induction of apoptosis. This study evaluated the photo-protective effects of astaxanthin, one of the strongest natural antioxidants, in UVB-treated keratinocytes. The antioxidant capacity of astaxanthin was evaluated using ABTS, DPPH, and NBT/riboflavin/SOD assays. HaCaT cells were exposed to 30 mJ/cm2 of UVB radiation. Photoprotective effects and accumulated ROS were evaluated in UVB-irradiated HaCaT cells by MTT and DCFH-DA assays. Nitric oxide levels were quantified using the Griess reagent. Apoptosis was assessed by dual staining using acridine orange/ethidium bromide, lysosomal integrity by acridine orange uptake, and cell migration by scratch assay. Cell adhesion was assessed on ECM-coated Nunc plates. Finally, we formulated a 0.5% astaxanthin-enriched cream. Astaxanthin mitigated UVB-induced damage by reducing intracellular ROS levels by 3.7-fold, decreasing nitric oxide production to 29.8 ± 7.7% at the highest concentration, and maintaining lysosomal integrity. The carotenoid significantly enhanced cell viability, increasing it from 60.64 ± 8.3% in UV-treated cells to 102.1 ± 3.22% at 40 µM. Moreover, treated cells showed a significant reduction (p < 0.001) in the apoptotic rate (37.7 ± 3.1 vs. 87.7 ± 3.8 in UVB-irradiated cells, as evidenced by reduced chromatin condensation and nuclear fragmentation. Astaxanthin also enhanced tissue repair, as evidenced by increased cell migration and adhesion to several extracellular matrix (ECM) proteins (poly-L-lysine, laminin, fibrinogen, vitronectin and collagen I). In silico molecular docking predicted strong binding affinities between astaxanthin and key cellular targets, including JAK2 (−9.9 kcal/mol, highest affinity), STAT3, FAK, COX-2, NF-k-B, MMP2, and MMP9. The formulated cream demonstrated an in vitro SPF of 7.2 ± 2.5. Astaxanthin acts as a multifunctional photoprotective compound, providing a strong rationale for its incorporation into cosmetic and dermatological formulations, as further supported by the successful formulation and in vitro SPF estimation of an astaxanthin-enriched cream.
1. Introduction
The skin serves as the first line of defense against external agents and ultraviolet (UV) radiation [1]. Cells are altered structurally and functionally by UV radiation. Skin aging and pigmentation, including melasma, as well as skin cancers like melanoma, squamous cell carcinoma, and basal cell carcinoma, are all examples of UV-induced skin damage. The two types of UV rays, UVA (320–400 nm) and UVB (280–320 nm), pass through the epidermis and reach the dermis [2]. UVB rays are thought to be the most harmful because they directly target skin cell DNA and produce more reactive oxygen species (ROS) and inflammatory intermediates [3]. The DNA, proteins, and lipids of human cells are harmed by ROS, which include hydrogen peroxide, superoxide radicals, hydroxyl radicals, and singlet oxygen. One of the main causes of skin aging is ROS, which also induce inflammation and keratinocyte apoptosis [4]. Current photo-protection strategies, predominantly reliant on topical sunscreens, remain inadequate due to inconsistent full-spectrum coverage [5]. Inorganic filters such as zinc oxide and titanium dioxide provide reliable UVA/UVB blockade but are marred by aesthetic drawbacks like visible white casts. Furthermore, organic filters like avobenzone exhibit photolability under UV exposure, undergoing rapid photodegradation that generates reactive byproducts. This instability has raised environmental concerns, as avobenzone and related organic UV filters like oxybenzone accumulate in marine ecosystems and contribute to coral reef toxicity by promoting bleaching, DNA damage, and impaired larval development [6,7]. Epidemiologically, UVB drives basal and squamous cell carcinomas (5.4 million cases annually in the US), while UVA predominates in melanoma etiology, with global incidence escalating 4–6% yearly and exceeding 325,000 new cases [8].
Astaxanthin, a striking red-orange pigment naturally synthesized by microalgae, yeasts, and some marine species, is appealing to scientists and health enthusiasts due to its potent antioxidant activity [9]. Astaxanthin is among the most powerful natural antioxidants, with promising applications in nutrition, cosmetology, and medicine, protecting humans effectively against damage caused by free radicals [10]. This natural carotenoid C40H52O4 consists of two terminal β-ionone rings connected by a long chain molecule with hydroxyl (OH) and keto (C=O) groups at the 3 and 4 positions on each ring, which creates a polar–nonpolar–polar arrangement that allows it to be integrated in cell membranes, which is thought to contribute to its biological activity and potent antioxidant property [11].
Astaxanthin exhibits multiple pharmacological activities, including protection against UV-induced cellular damage, relief from chronic inflammatory diseases, support for the immune system, reduction of metabolic syndrome, protection for the heart, benefits for diabetes management, prevention of nerve damage, anti-aging effects on the skin, anticancer properties, and reduction of cell membrane peroxidation [12,13,14,15,16,17]. By inhibiting inflammatory mediators and having direct and downstream effects at various stages of the oxidative stress cascade, astaxanthin has been demonstrated to enhance dermal health [18]. The effects of astaxanthin on skin photoaging have been documented in several clinical studies [18,19,20]. Supplementing with astaxanthin has also been shown to improve elasticity, decrease transepidermal water loss, and enhance the appearance of crow’s feet wrinkles [21].
While it is known that astaxanthin protects against reactive oxygen species (ROS) and oxidative stress, the exact protein targets and signaling pathways are not fully understood. Indeed, research done on the microalgae Haematococcus pluvialis demonstrates that astaxanthin could chelate metal ions and create neutral radicals, mitigating the photodamage through dissipating of excitation energy of chlorophyll. However, this mechanism requires further investigation in mammalian and human cells [22].
Astaxanthin is well documented as a potent antioxidant protecting against UV-induced oxidative stress and apoptosis in keratinocytes, reducing cytotoxicity and inflammatory mediator expression after UVB exposure [23]. However, specific studies directly addressing astaxanthin’s effects on cell adhesion in UV-exposed skin cells are still limited. Most data focus on its antioxidant and anti-apoptotic roles rather than adhesion molecule modulation explicitly in UV-exposed contexts. Although the full molecular details are still being mapped, astaxanthin modulates UV-induced cell survival and inflammation mainly through antioxidant reduction of ROS, inhibiting intrinsic apoptotic signaling (BAX/caspase 3/PARP) and suppressing pro-inflammatory NF-κB pathways [23]. One promising but not fully elucidated photoprotection pathway to study is the role of astaxanthin in modulating the Janus kinase 2/signal transducer and activator of transcription 3 (JAK2/STAT3) signaling pathway in UV-exposed skin cells. While the JAK2/STAT3 pathway is well characterized in inflammation, cell survival, and immune regulation, its molecular interaction with astaxanthin remains insufficiently characterized [24].
The objective of this study is to investigate the photo-protective effects of astaxanthin against UVB-induced cellular damage in HaCaT keratinocytes. The work aims to evaluate its antioxidant capacity through in vitro radical scavenging assays and to assess its photoprotective properties, including cytoprotection, anti-apoptotic activity, modulation of oxidative stress, as well as its influence on cell adhesion and migration. To complement the experimental findings, an in silico molecular docking analysis was performed to predict the interactions between astaxanthin and key cellular targets (JAK2, STAT3, FAK, COX-2, NF-κB, MMP2, and MMP9), thereby elucidating its possible mechanisms of action as a multifunctional natural photoprotective compound.
2. Materials and Methods
2.1. Reagents
Astaxanthin was purchased from Sigma-Aldrich Inc. (Taufkirchen, Germany). DCFH-DA, 2, 2-diphenyl-1-picrylhydrazyl and ABTS were purchased from Fluka (Steinheim, Germany).
2.2. Antioxidant Capacity
- DPPH radical scavenging activity assay
Astaxanthin solutions (2.5–80 µM) were prepared by serial dilution in 80% ethanol. Subsequently, 100 µL of each diluted sample was mixed with an equal volume (100 µL) of freshly prepared DPPH (2,2-diphenyl-1-picrylhydrazyl) solution at a concentration of 40 μg/mL. The mixtures were placed in the dark at room temperature for 30 min. A blank was prepared using 100 µL of DPPH solution and 100 µL of 80% ethanol. After incubation, the absorbance of each sample was measured at 570 nm using a Biochrom Asys UVM 340 microplate reader (Biochrom Ltd., Cambridge, UK) [25]. To enable a concentration-independent evaluation of antioxidant activity, the stoichiometric coefficient (n) was calculated. This coefficient represents the number of radical molecules neutralized by a single molecule of antioxidant.
- ABTS radical scavenging activity assay
The ABTS assay was assessed according to Re et al. [26]. The method involves generating the ABTS•+ radical cation by mixing 7 mM ABTS with 45 mM potassium persulfate and incubating the mixture for 12 h in the dark [26]. Before use, we diluted the radical solution with water until its absorbance at 734 nm was approximately 0.700 ± 0.01. Subsequently, 900 µL of the ABTS•+ solution was mixed with 100 µL of either astaxanthin or Trolox standard solution. After incubating for 30 min at room temperature, absorbance was measured at 734 nm. The number of radical molecules neutralized by a single molecule of astaxanthin was estimated.
- NBT/Riboflavin/SOD test
Antioxidant activity was further evaluated using the NBT/riboflavin assay, which measures inhibition of superoxide radical (O2•−) formation. The reaction mixture (3 mL) contained 100 μL of the astaxanthin or solvent (as a blank), EDTA (0.12 mM), NBT (1.5 mM), phosphate buffer (0.067 M, pH 7.4), and riboflavin (0.12 mM). Then, 5 μL of superoxide dismutase (SOD) was added for the positive control. Absorbance was read at 560 nm. The reduction of formazan formation compared to the control indicated the superoxide scavenging activity of astaxanthin [27].
2.3. Cell Line
HaCaT cells were kindly provided by Professor José Luis from the Institute of Neurophysiopathology, Aix-Marseille University. Cells were cultured in a controlled humidified atmosphere containing 5% CO2 and 95% air, maintained at 37 °C.
2.4. Cell Proliferation
HaCaT cells were seeded into 96-well plates at a density of 1 × 104 supernatant cells per well and exposed to increasing concentrations of astaxanthin (0–80 µM). Cell viability was evaluated with the MTT assay by estimating metabolically active cells. Data were expressed as percentage viability compared to untreated cells.
2.5. UVB Radiation
Cells were pretreated with different concentrations of astaxanthin for 2 h before UVB irradiation. The UVB irradiation was conducted at an energy dose of 30 mJ/cm2 using a Vilber-Lourmat VL-4LC UV lamp (8 W, 230 V, 50/60 Hz, Vilber Lourmat, Collégien, France). The dose of 30 mJ/cm2 was selected because it provides a reproducible, sublethal oxidative stress model in HaCaT keratinocytes and is widely used in photoprotection studies [28,29,30]. Before experiments, the irradiance at the cell surface was measured with a calibrated UV radiometer (VLX-3W, Vilber Lourmat, Collégien, France) at the culture plane. Exposure time was calculated using the following Formula (2):
Before each experiment, the irradiance at the cell surface in 75 cm2 flasks was measured with a calibrated UV radiometer (VLX-3W, Vilber) at the culture plane. For our experiment, the irradiance at the cell surface was 1.5 mW/cm2, corresponding to an exposure time of 20 s for the 30 mJ/cm2 dose. All irradiations were performed with the culture medium removed. Following irradiation, fresh medium was added, and cells were incubated at 37 °C for the indicated periods. Thereafter, cells were either processed for analysis or maintained in culture as required.
2.6. Wound Healing
To evaluate cell migration, HaCaT cells were seeded in 6-well plates (4 × 105 cells/well) and cultured to confluence. A linear scratch was induced using sterile pipette tip across the cell monolayer. Cells were pretreated with different concentrations of astaxanthin for 2 h before UVB irradiation. The cells were subsequently incubated for 24 h. Photos were taken immediately following the scratching assay (T0) and after 24 h (T24). The analysis of scratch closure was estimated using image J software (Version 1.54g, National Institutes of Health, USA).
The wound closure percentage was calculated using the following Formula (3):
2.7. Cell Adhesion Assay
HaCaT cell suspensions were pre-incubated with astaxanthin at concentrations of 20 and 40 µM, followed by exposure to UVB. Subsequent to treatment, the cells were plated into Nunc multiwell plates that had been pre-coated with extracellular matrix proteins (vitronectin, fibrinogen, laminin, collagen I, and poly-L-lysine). The cells were allowed to adhere for 1 h at 37 °C. Cells were allowed to adhere for 1 h at 37 °C, then fixed and stained with 0.1% crystal violet solution [31]. The absorbance was measured at 600 nm.
The adhesion rate was calculated according to this Formula (4).
2.8. Assessment of Intracellular ROS Production
2,7-diacetyl dichlorofluorescein (DCFH-DA) was utilized to quantify intracellular reactive oxygen species (ROS) levels in HaCaT cells. Following the seeding of cells at a density of 5 × 105, the cells were treated with designated concentrations of astaxanthin and incubated for 48 h. Subsequently, a 5 μL aliquot of a 25 μM DCFH-DA solution was introduced to each well. After an additional incubation period of one hour, fluorescence measurements were obtained using a microplate reader (Biotek, Winooski, VT, USA), employing an excitation wavelength of 485 nm and an emission wavelength of 538 nm [32].
2.9. Cellular Lysosomal Enzyme Activity
Cells at a density of 2 × 105/well were plated in 96-well plates and incubated for 24 h at 37 °C in a humidified atmosphere with 5% CO2. Then, 100 μL of the test sample was added to the wells. The negative control contained 100 μL of complete DMEM instead of the sample [33]. After 48 h of incubation, adherent cells were harvested using 20 μL of 1% Triton X-100, 10 μL of 100 mM p-nitrophenyl phosphate (acid phosphatase substrate), and 50 μL of citrate buffer. This mixture was incubated at 37 °C with 5% CO2 for 30 min, after which 150 μL of borate solution was added to each well. Acid phosphatase activity was measured at 405 nm, and lysosomal inhibition (%) was estimated as follows: Formula (5).
2.10. Measurement of Nitric Oxide (NO) Production
Nitric oxide (NO) levels were assessed by measuring nitrite (NO2) formed from NO reacting with oxygen. In this protocol, 100 μL of cell supernatant containing nitrites was incubated with Griess reagent for 15 min at 37 °C. Originally gray, the reagent turns pinkish-purple upon reaction with nitrite, and this color change was measured spectrophotometrically at 570 nm. Negative controls included 100 μL of complete DMEM instead of astaxanthin.
2.11. Acridine Orange/Ethidium Bromide (AO/EtBr) Staining
The apoptosis-inducing effects of UVB radiation on HaCaT cells were assessed using dual acridine orange/ethidium bromide (AO/EtBr) staining. In brief, HaCaT cells were seeded at a density of 5 × 105 and subjected to pretreatment with varying concentrations of astaxanthin for 2 h before UVB exposure. After 24 h, cells were harvested, washed, and subsequently stained with a mixture of AO and EtBr. Fluorescence images were acquired using a Zeiss microscope (Zeiss, Oberkochen, Germany). For each condition, three independent samples (100 cells/sample) were analyzed [34].
3. Molecular Docking Procedure
Molecular docking simulations were carried out using AutoDock 4.2. Protein structures of JAK2, STAT3, FAK, COX-2, NF-κB, MMP2, and MMP9 were obtained from the RCSB Protein Data Bank https://www.rcsb.org (accessed on 26 October 2025).
All of the compound geometries were optimized (3D viewer) using ACD. PDBQT formats of the tested ligands were then prepared by adding Gasteiger charges, and the grid maps were constructed. All proteins were prepared by removing water molecules and non-essential ligands while retaining metal ions (Zn2+, Ca2+). Binding energies were expressed in kcal/mol, and the best binding conformations were visualized using Discovery Studio Visualizer (BIOVIA) in both 2D and 3D formats. Docking simulations were performed at physiological pH (~7.4), with ligand ionization assigned at neutral pH and protein protonation states automatically set by AutoDock-Tools (Version1.5.6rc3, The Scripps Research Institute, La Jolla, CA, USA).
To validate the molecular docking protocol, a redocking experiment was performed. The co-crystallized ligand of the target protein was removed and re-docked into its binding site using the same docking parameters as for all tested compounds. The similarity between the experimental and predicted poses was evaluated by calculating the RMSD.
3.1. Formulation of a Cream Based on the Astaxanthin and Estimation of the Sun Protection Factor (SPF) In Vitro
The Sun Protection Factor (SPF) of astaxanthin was determined using a cream formulation containing 0.1% astaxanthin. The list of ingredients used for the cream formulation was as follows: water (37.35 g), paraffinum liquidum (5 g), Isopentyldiol (2.5 g), polyacrylamide and C13-14 Isoparaffin and Laureth-7 (3 g), Peg-40 hydrogenated castor oil (1 g), polyacrylate Crosspolymer-6 (0.25 g), phenoxyethanol (0.4 g), tocopheryl acetate (0.5 g), and astaxanthin (0.05 g).
The SPF values for astaxanthin-based cream and base were determined using the spectrophotometric method described by [35]. Absorbance was recorded between 290 and 320 nm, and SPF was calculated using the Sayre Equation (6).
- EE(λ): represents the erythemal effect spectrum;
- I(λ): denotes the solar intensity spectrum;
- (λ): is the absorbance of the tested sample at each wavelength;
- CF: corresponds to the correction factor, which is equal to 10.
3.2. Statistical Analysis
All data were presented as the mean value ± standard error of the mean (SEM). Statistical analyses were performed using GraphPad Prism® software version 6.01. When appropriate, Dunnett’s tests were conducted following one-way analysis of variance (ANOVA) to compare the datasets. Differences with a p-value less than 0.05 were considered statistically significant. The results shown represent at least three independent experiments carried out on separate days.
3.3. Antioxidant Activity of Astaxanthin
The stoichiometric coefficients, defined as the number of free radicals consumed per molecule of astaxanthin, were evaluated for the reactions with ABTS•+ and DPPH• radicals (Figure 1A,B). The results demonstrate that astaxanthin exhibits a high radical-scavenging capacity toward both radical systems. The stoichiometric coefficients obtained with ABTS•+ were higher than those estimated with DPPH•, demonstrating a more efficient interaction between astaxanthin and the ABTS•+ radical (the mean stoichiometric coefficient for ABTS•+ was 5.83 ± 0.25 and for DPPH• 3.23 ± 0.25). This difference can be attributed to the hydrophilic nature of ABTS•+, allowing better accessibility to the reactive sites of astaxanthin, compared to the more hydrophobic and sterically hindered DPPH• radical. Furthermore, the antioxidant ability of astaxanthin was assessed using the NBT/riboflavin/SOD assay. Astaxanthin exhibited a marked inhibitory effect on superoxide production, indicating its strong ability to scavenge reactive oxygen species, particularly superoxide radicals.
Figure 1.
Antioxidant potential of astaxanthin. The stoichiometric coefficients (defined as the number of free radicals consumed per molecule of the tested compound) were determined for the reactions of ABTS•+ and DPPH• radicals (A,B). The antioxidant capacity of astaxanthin was evaluated by the NBT/riboflavin/SOD assay and expressed as percentage inhibition of superoxide anion generation (C). Data are presented as mean ± SD of three independent experiments.
3.4. Effect of Astaxanthin on HaCaT Cell Viability
Exposure of HaCaT cells to astaxanthin (0–80 µM) did not significantly reduce cell viability compared with untreated controls. Even at the highest concentration, viability reduction did not exceed 10% and remained statistically insignificant. These findings demonstrate that astaxanthin exhibits good biocompatibility with keratinocytes (Figure 2).
Figure 2.
Astaxanthin effect on cell viability and against UV-induced cytotoxicity. (A) astaxanthin at concentrations of 0, 10, 20, 40, and 80 µM was applied to cells for 24 h, and viability was assessed using the MTT assay. (B) Cells pre-incubated with astaxanthin (20 and 40 µg/mL) for 2 h were irradiated with UV (30 mJ/cm2) and then further incubated for 24 h. Viability was determined by MTT assay. Values represent mean ± SEM. ### p < 0.001 vs. control (Co); * p < 0.05, *** p < 0.001 vs. UV-exposed cells.
3.5. Protective Effect of Astaxanthin on UVB-Induced Cytotoxicity
As shown in Figure 2, UVB irradiation reduced HaCaT cell viability to 60.64 ± 8.3%. Pretreatment with astaxanthin significantly restored cell viability in a dose-dependent manner. Cell viability increased by over 30% (102.1 ± 3.22%) at the highest concentration in comparison to UV controls (p < 0.001). This demonstrates that astaxanthin can effectively mitigate UV-induced cytotoxicity in keratinocytes. Furthermore, as astaxanthin concentrations increased, cell viability increased, suggesting that when astaxanthin concentrations were at or above 20 µM, its protective effect on HaCaT cells was pronounced. Therefore, 20 and 40 µM were selected for subsequent experiments to evaluate photoprotective effects.
3.6. Effect of Astaxanthin on UVB-Treated Cell Migration
Cell migration was evaluated using the scratch assay. UVB exposure significantly reduced the migration rate to 31.2 ± 1.5% after 24 h (Figure 3). However, pretreatment with astaxanthin markedly enhanced scratch closure compared to UVB-only controls. Cells pretreated with 20 and 40 µM astaxanthin exhibited higher migration rates (41.6 ± 1.2 and 55.28 ± 2.33%) than UVB-exposed controls.
Figure 3.
Effect of astaxanthin on the migration of HaCaT cells. Cells were pre-treated with 20 or 40 µM of astaxanthin for 2 h. (A) Photos were taken immediately after scratch (T0) and at 24 h after the treatment. Following UVB exposure (30 mJ/cm2), migration was assessed after 24 h. (B) The area of astaxanthin-treated cells and untreated cells was measured using ImageJ (Version 1.54g, National Institutes of Health, USA). Dashed lines indicate the initial wound boundary. Scale bar = 100 µm. Results are expressed as mean ± SEM. Statistical significance was determined by one-way ANOVA with Dunnett’s post-hoc test. ### p < 0.001 vs. control (Co); ** p < 0.01, *** p < 0.001 vs. UV-exposed cells.
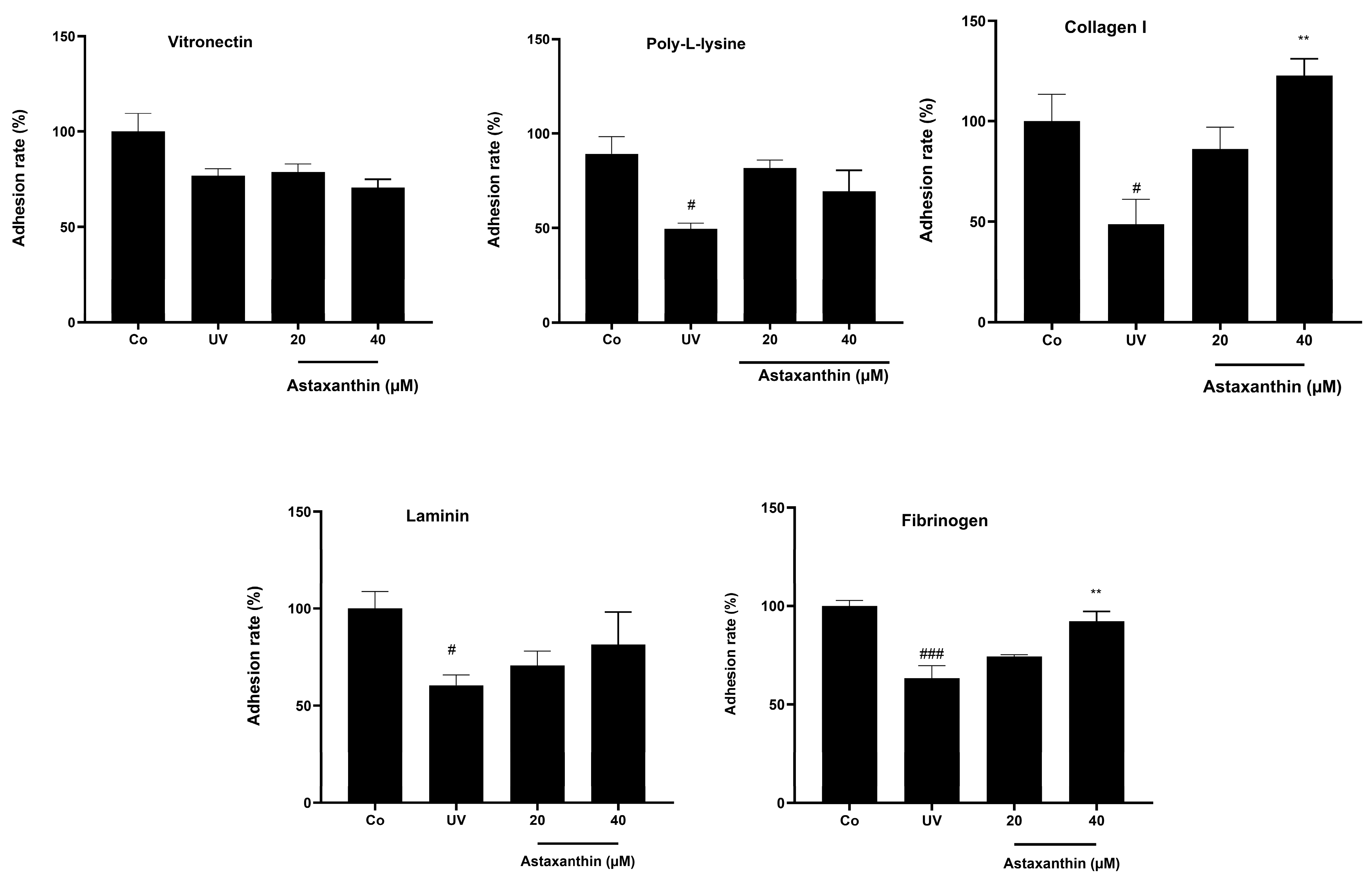
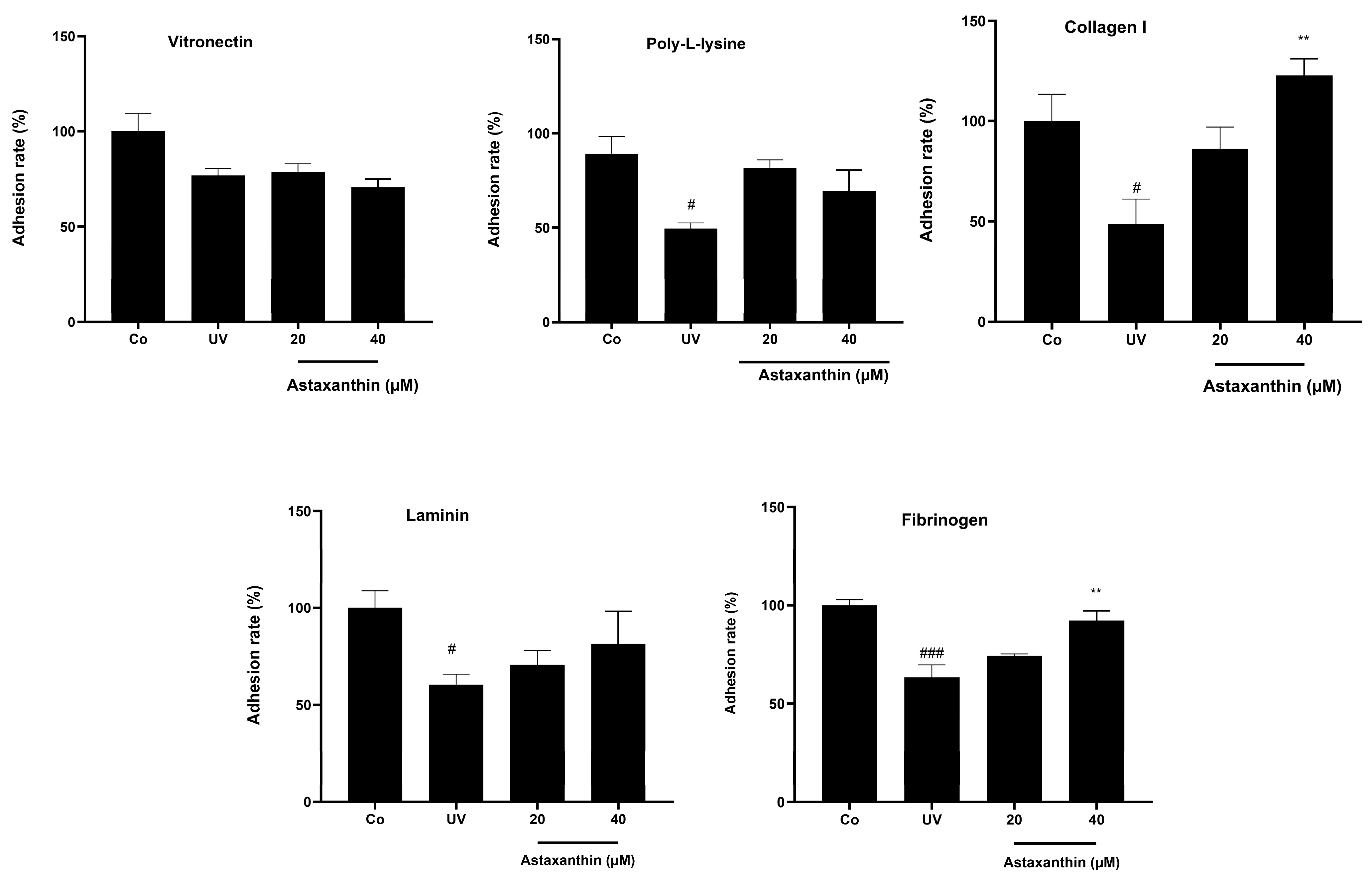
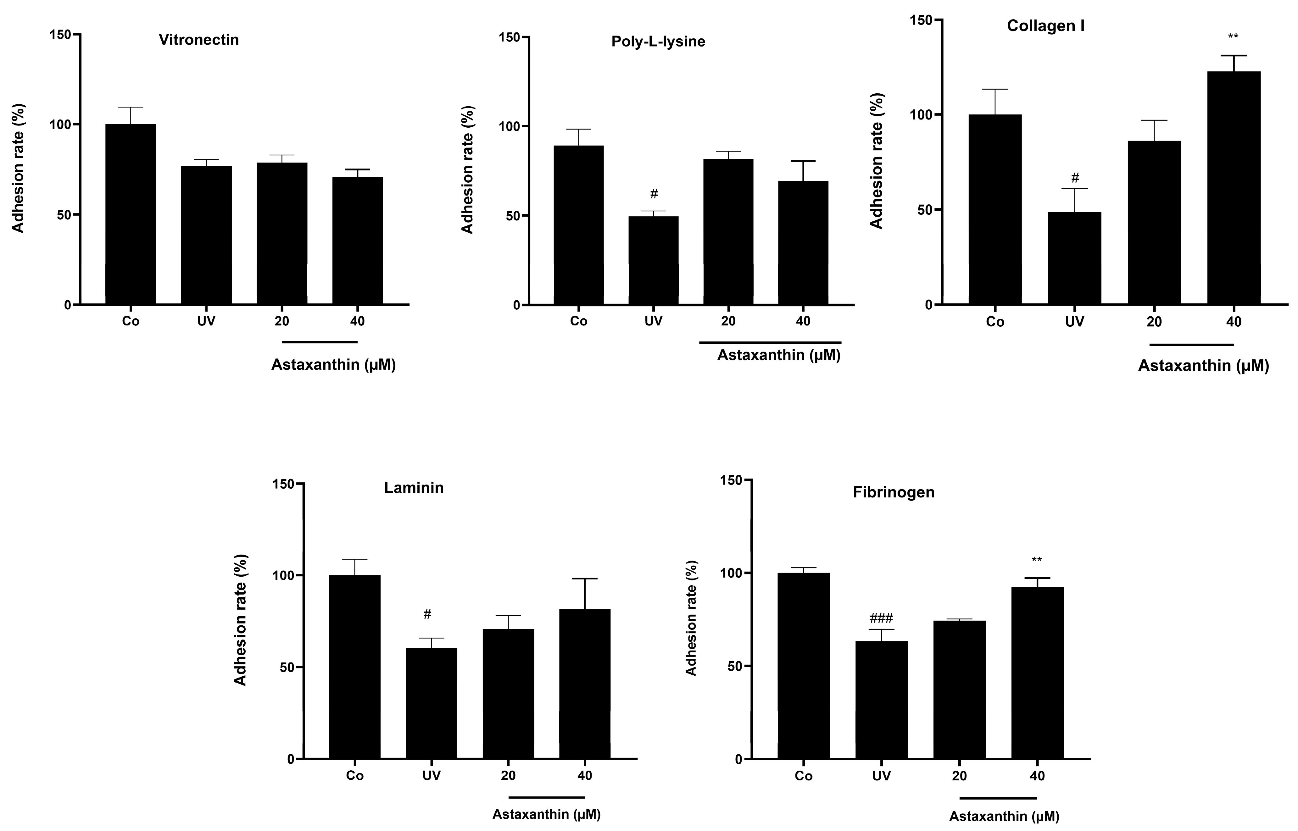
3.7. Effect of Astaxanthin on Cell Adhesion
The effect of astaxanthin on HaCaT cell adhesion following UVB exposure was assessed using plates coated with various ECM (poly-L-lysine, laminin, fibrinogen, vitronectin, and collagen I). As shown in Figure 4, exposure of cells to UVB radiation induced a significant decrease in their adhesion ability on most of the extracellular matrix proteins, indicating a disruption of membrane integrity and blocking adhesion receptors. The greatest reduction occurred with poly-L-lysine, laminin, fibrinogen, and collagen I. Pretreatment with astaxanthin significantly restored adhesion to all tested proteins. Nevertheless, pretreatment of cells with astaxanthin significantly alleviated cell adhesion to tested proteins. On poly-L-lysine, UVB reduced adhesion to 49.5 ± 5.3%, whereas 40 µM astaxanthin pretreatment increased it to 69.2 ± 11.3%. Comparable results were obtained with laminin, where UVB treatment reduced adhesion to approximately 60.4 ± 9.1%, while incubation with astaxanthin at 20 and 40 µM significantly improved cell attachment (70.6 ± 7.4 and 81.4 ± 16.7, respectively). Interestingly, adhesion to collagen I increased beyond control levels (122.8 ± 8.2%) after treatment with 40 µM astaxanthin. No significant change was observed in vitronectin, where adhesion remained consistent across all groups.
Figure 4.
Effect of astaxanthin on UVB-induced alterations in HaCaT cell adhesion to extracellular matrix (ECM) proteins. HaCaT cell suspensions were pre-treated with astaxanthin extract (20 and 40 µM) at 37 °C before UVB exposure. Following irradiation, cells were seeded into ECM protein-coated Nunc multiwell plates (vitronectin, fibrinogen, laminin, collagen IV, or poly-L-lysine). After incubation, non-adherent cells were removed, and adhesion rate was estimated. The results are expressed as the mean ± SEM. # p < 0.05, ### p < 0.001 vs. Co group, ** p < 0.01.
3.8. Effect of Astaxanthin Against UV-Induced Apoptosis
Acridine orange/ethidium bromide staining (Figure 5) revealed that astaxanthin reduced UVB-induced apoptosis in HaCaT keratinocytes. UVB-irradiated cells exhibited typical apoptotic features such as chromatin condensation, nuclear fragmentation, and orange-red fluorescence. However, cells treated with 40 µM astaxanthin showed a marked reduction in the apoptotic rate (37.7 ± 3.1 vs. 87.7 ± 3.8 in UVB-irradiated cells). This protective effect was confirmed by the predominant presence of uniform green fluorescence, indicating intact nuclei and preserved membrane integrity. These findings indicate that astaxanthin exerts cytoprotective effects by inhibiting UVB-induced apoptotic signaling.
Figure 5.
Astaxanthin mitigates UV-induced cell death. Cells were pre-treated with astaxanthin (0, 20, and 40 µM) for 2 h, exposed to UV irradiation (30 mJ/cm2), and further incubated for 24 h. Cell apoptosis and death were assessed by acridine orange/ethidium bromide (AO/EtBr) staining and examined by fluorescence microscopy. Viable cells exhibit green fluorescence, early apoptotic cells show bright green nuclei with chromatin condensation, late apoptotic cells appear orange, and necrotic cells show red fluorescence. (A) Untreated control cells, (B) UV-irradiated cells, (C) Cells pre-treated with astaxanthin (20 µM) and exposed to UV, (D) Cells pre-treated with astaxanthin (40 µM) and exposed to UV, (E) Percentage of viable and apoptotic cells. Scale bar = 5 µm. Data are expressed as mean ± SEM. ### p < 0.01 vs. Co group, *** p < 0.001 vs. UV-treated cells.
3.9. Effects of Astaxanthin Supplementation on UVB-Induced ROS Production in HaCaT Cells
To confirm the antioxidant potential of astaxanthin in HaCaT keratinocytes, cells were pretreated with astaxanthin (20 and 40 µM) and subsequently exposed to UVB irradiation (30 mJ/cm2). Quantitative analysis revealed a significant reduction in intracellular ROS levels in astaxanthin-treated groups compared with UVB-only cells. Specifically, UVB exposure increased ROS production to 1207 ± 267 AU, whereas pretreatment with 20 µM and 40 µM astaxanthin reduced ROS levels to 319.2 ± 136.2 and 212 ± 57 AU, respectively (p < 0.001 vs. UVB group). These results demonstrate a clear and statistically significant antioxidant effect of astaxanthin under UVB-induced oxidative stress (Figure 6).
Figure 6.
Effect of astaxanthin on lysosomal activity, NO and ROS production of keratinocyte following UVB exposure. Keratinocytes were pre-incubated with astaxanthin (25 and 50 µg/mL) for 2 h, then exposed to UVB irradiation (30 mJ/cm2). (A) Lysosomal activity was evaluated as an indicator of cellular metabolic function and recovery. (B) Nitric oxide (NO) production was quantified to assess oxidative stress response. (C) To assess ROS production, 5 μL of 25 μM 2′, 7′-dichlorofluorescein diacetate DCFH-DA was added to each well. Fluorescence was determined between 538 nm (emission) and 485 nm (excitation). Results were analyzed using a one-way ANOVA, followed by Dunnett’s post-hoc test to compare treated cells with the untreated ones and UV-treated cells. ### p < 0.001 vs. Co group; ** p < 0.01, *** p < 0.001 vs. UV-treated cells.
3.10. Effect of Astaxanthin on Nitric Oxide Production in UV-Treated HaCaT Cells
Nitric oxide (NO) production was significantly increased in UVB-irradiated HaCaT cells, reaching 61.9 ± 19.6% of the control, consistent with inflammation-associated iNOS activation. Pretreatment with astaxanthin significantly attenuated this increase in a dose-dependent manner, reducing NO levels to 45.2 ± 6.7% with 20 µM and 29.8 ± 7.7% with 40 µM astaxanthin (p < 0.001 vs. UVB group). These results indicate that astaxanthin effectively reduces UVB-induced nitrosative stress, restoring NO production (Figure 6).
3.11. Effect of Astaxanthin on Lysosomal Stability in UV-Treated HaCaT Cells
UVB exposure induced marked lysosomal destabilization in HaCaT cells, as reflected by a significant decrease in lysosomal fluorescence intensity, reaching 63.4 ± 9.8% of the control (Figure 6). Pretreatment with astaxanthin effectively prevented this disruption increasing fluorescence levels to 81.6 ± 6.7% with 20 µM and 88.4 ± 6.7% with 40 µM astaxanthin (p < 0.01 vs. UVB group). These data demonstrate that astaxanthin preserves lysosomal membrane integrity and maintains organelle function under UVB-induced oxidative stress.
4. Molecular Docking
Docking simulations were performed to predict astaxanthin interactions with proteins, showing high binding affinity for JAK2 (PDB: 4BBE) with a binding energy of −9.9 kcal/mol. Astaxanthin established hydrogen bonds and electrostatic interactions with Lys882, Asp994, Glu898, and Leu98. This kind of binding may potentially interfere with kinase activity (Table 1). Similarly, binding to STAT3 (PDB: 6NJS) occurred with −7.3 kcal/mol affinity, involving residues Arg609, Lys591, and Ser636 within the SH2 domain (Figure 7). When it comes to proteins responsible for cell adhesion and movement, FAK (PDB: 4Q9S) showed a binding energy of −8.3 kcal/mol and interacted with Lys454, Asp564, Leu567, and Gly563 inside its ATP-binding site. The anti-inflammatory enzyme COX-2 (PDB: 5IKR) also showed strong binding at −8.6 kcal/mol, forming interactions with Arg120, Tyr355, Ser530, and His90. Similarly, NF-κB (PDB: 1NFI) showed a binding energy of −8.7 kcal/mol, interacting with Lys221, Glu260, Ser276, and Asp243. The matrix metalloproteinases, MMP2 (PDB: 1CK7) and MMP9 (PDB: 1L6J), both showed solid affinities, at −8.8 and −9.0 kcal/mol, respectively. For MMP2, key residues included His403, Glu404, His409, and Leu397; for MMP9, His401, Glu402, His405, and Leu188 participated in Zn2+ coordination (Figure 8). The docking model was validated through a redocking study, yielding an RMSD between 1.22–2.25 Å, which is within the accepted threshold for reliable pose prediction. The binding affinity obtained from the redocking simulation was consistent with the expected range for the native ligand. These results validate the docking procedure and confirm that the protocol is suitable for reliable prediction of ligand-protein interactions.
Table 1.
Binding energy, involved residues, and predicted effect between astaxanthin and target proteins with photoprotective effect.


Figure 7.
2D and 3D interaction profiles of astaxanthin with JAK2, STAT3, FAK, and COX-2 2D and 3D dimensional representations of the binding interactions between astaxanthin and the active sites of (A) JAK2 (PDB: 4BBE), (B) STAT3 (PDB: 6NJS), (C) FAK (PDB: 4Q9S), and (D) COX-2 (PDB: 5IKR). Astaxanthin is shown in green stick representation, while the surrounding amino acid residues are displayed as colored lines. The protein surface is colored according to electrostatic potential, with red indicating negatively charged regions, blue indicating positively charged regions, and neutral regions shown in yellow.

Figure 8.
2D and 3D binding interactions of astaxanthin with NF-κB, MMP2, and MMP9. 2D and 3D dimensional representations of the binding interactions between astaxanthin (A) NF-κB p65 (PDB: 1NFI), (B) MMP2 (PDB: 1CK7), and (C) MMP9 (PDB: 1L6J). Astaxanthin is shown in green stick representation, while the surrounding amino acid residues are displayed as colored lines. The protein surface is colored according to electrostatic potential, with red indicating negatively charged regions, blue indicating positively charged regions, and neutral regions shown in yellow.
5. Assessment of SPF Value of a Cream Enriched with 0.5% Astaxanthin
The base cream exhibited an SPF of 1.1 ± 0.1, whereas the astaxanthin-enriched cream reached an SPF of 7.2 ± 2.5 (Figure 9).
Figure 9.
Visual appearance and SPF determination of formulated creams. The figure shows the formulated creams containing 0.5% astaxanthin extract and the base formulation. The Sun Protection Factor (SPF) was determined spectrophotometrically according to the Sayre equation: SPF = CF × ∑[EE(λ) × I(λ) × Abs(λ)], where EE(λ) represents the erythemal effect spectrum, I(λ) the solar intensity spectrum, Abs(λ) the sample absorbance, and CF the correction factor (equal to 10). Data are expressed as mean ± SEM (n = 3).
6. Discussion
Antioxidants are widely used to counteract premature skin aging. Several compounds with known photoprotective properties are now employed as sustainable cosmetic ingredients, like coenzyme Q10, tocopherol, ascorbic acid, ergothioneine, Zn(II) glycine, epigallocatechin gallate, lycopene, β-carotene, and resveratrol [36]. Astaxanthin has been extensively studied as a potent antioxidant capable of protecting the skin from UV-induced damage. A UVB dose of 30 mJ/cm2 has been widely used in HaCaT photoprotection and oxidative stress studies because it reliably induces oxidative damage and early apoptotic signaling while preserving a sufficient number of viable cells for downstream assay.
Our results demonstrated that astaxanthin exerts marked cytoprotective effects in human keratinocytes subjected to UVB-induced oxidative stress. Radical scavenging assays confirmed astaxanthin’s high antioxidant capacity, consistent with its conjugated polyene structure that efficiently quenches singlet oxygen and peroxyl radicals [37]. These results agree with recent findings ranking astaxanthin among the most potent carotenoids for reactive oxygen species neutralization [38].
In the current study, HaCaT cells showed a significant decrease in viability after UV exposure, consistent with oxidative stress-mediated apoptosis. However, astaxanthin increased survival in a dose-dependent manner, which supports its protective effect against UV cytotoxicity.
Our observations corroborate previous studies showing that astaxanthin enhances skin cell proliferation by mitigating oxidative stress and modulating growth-related signaling pathways. In addition, it has been reported that astaxanthin activates pro-survival and mitogenic pathways such as PI3K/Akt. Its anti-inflammatory properties also contributed to creating a favorable microenvironment for cell proliferation by reducing pro-inflammatory cytokines [39].
A key mechanistic finding of this study was the significant decrease in NO levels in UVB-exposed cells pretreated with astaxanthin. Increased NO is a characteristic of UV-stressed and inflamed cells, mainly due to the induction of iNOS. Astaxanthin reduced oxidative and nitrosative stress, as evidenced by the attenuation of NO production. This observation is in line with previous reports suggesting that astaxanthin may downregulate iNOS and COX-2 expression [40].
Astaxanthin also preserved lysosomal integrity, shedding light on its cytoprotective mechanism. Lysosomes are particularly sensitive to oxidative stress, and their destabilization may initiate apoptosis. UVB exposure destabilized lysosomes, whereas astaxanthin maintained their stability, suggesting ROS restriction and possible activation of Nrf2-mediated antioxidant defense pathways [41]. Similar results have been reported in HaCaT cells exposed to airborne pollutants, in which astaxanthin restored redox homeostasis [42].
Our data demonstrated that astaxanthin enhances cell migration and adhesion to various extracellular matrix (ECM) proteins, including collagen I, fibrinogen, laminin, poly-L-lysine, and vitronectin. Cell adhesion plays a crucial role in tissue recovery following UV-induced damage by maintaining keratinocyte anchorage and promoting wound healing. Focal adhesions link the actin cytoskeleton to the ECM via integrins and adaptor proteins. UVB disrupts these complexes, impairing keratinocyte attachment and migration [43]. Cytoskeletal proteins like vinculin diffuse to the cell membrane after UV exposure and enhance melanosome transport, which is crucial for protecting the skin [44]. Cell migration also allows dermal cells to respond to UV-induced damage. In fact, cells migrate to areas needing repair or pigmentation. UVB inhibits skin wound healing by affecting cells’ ability to migrate, mainly by disturbing focal adhesion formation and impairing cytoskeleton behavior [43]. The migration of melanocytes after UVB exposure also helps replenish epidermal areas with pigment, forming a protective pigmentation barrier. This migration ability is controlled by intracellular transport mechanisms and cytoskeletal remodeling [20]. However, astaxanthin likely mediates its substrate-specific restoration of UVB-impaired cell adhesion, effective on poly-L-lysine, laminin, fibrinogen, and collagen I but not vitronectin, through inhibition of matrix metalloproteinases, such as MMP 2, MMP 7, and MMP-9, which degrade these ECM components under oxidative stress. This protection involves suppression of the PI3K/AKT/mTOR/NF-κB signaling axis activated by UVB-induced ROS, thereby preserving ECM integrity and integrin-mediated adhesion for β1-integrin substrates (like laminin and collagen I) while sparing αvβ3/β5-dependent vitronectin interactions. The vitronectin selectivity may reflect astaxanthin’s limited modulation of RGD-specific pathways or urokinase plasminogen activator systems, highlighting a mechanistic target for future integrin/MMP-focused studies [23,45,46].
UVB exposure markedly decreased HaCaT cell adhesion to ECM proteins, particularly poly-L-lysine, laminin, fibrinogen, and collagen I, consistent with oxidative disruption of integrin function. Astaxanthin pretreatment restored adhesion in a concentration-dependent manner, highlighting its protective effect on cell-matrix interactions. These findings align with the well-documented oxidative damage from UVB, which disrupts integrin function and cytoskeletal anchoring [47]. Antioxidants like astaxanthin mitigate this effect by scavenging reactive oxygen species and enhancing cell integrity [48].
The JAK2/STAT3 signaling pathway plays a central role in cellular responses to UV exposure, regulating inflammation and extracellular matrix remodeling. Authors have demonstrated that UVB radiation activates JAK2/STAT3, leading to overexpression of matrix metalloproteinases, which enhance extracellular matrix degradation and increase skin damage and photo-aging. The pathway is activated by JAK2 and STAT3 phosphorylation, which leads to an inflammatory response in dermal cells. Natural bioactives like sanshool have been demonstrated to UVB-induced activation of the JAK2/STAT3 pathway. By inhibiting this pathway, sanshool reduces MMP expression and promotes cell proliferation in UVB-treated fibroblasts [49]. Astaxanthin showed a strong predicted binding affinity to JAK2 (−9.9 kcal/mol). While this interaction may indicate a possible involvement of the JAK2/STAT3 axis, the impact on JAK2 phosphorylation or STAT3 activation was not assessed in this study and would require further validation. Similarly, for STAT3, docking simulation proved that astaxanthin could bind to the SH2 domain. Previous docking studies have identified multiple novel STAT3 inhibitors which target the SH2 domain, with hydrogen bond interactions at residues Tyr657, Lys658, Tyr640, Thr641, and Gln644 [50]. Furthermore, astaxanthin showed predicted binding to key regulators of cell adhesion, such as focal adhesion kinase (FAK), suggesting possible modulation of adhesion and repair signaling [51].
Our findings indicate that astaxanthin binds strongly to the anti-inflammatory enzyme COX-2 (PDB: 5IKR) with a binding energy of −8.6 kcal/mol and interacts with key residues Arg120, Tyr355, Ser530, and His90. These residues are previously reported as essential for COX-2 inhibitor binding. Arg120 establishes ionic or hydrogen bonds with inhibitors, stabilizing ligand binding in the catalytic site. Tyr355 and Ser530 contribute to binding affinity by forming hydrogen bonds, ensuring the sturdiness of the active site. Furthermore, His90 contributes to hydrogen bonding, which further stabilizes inhibitor binding. COX-2 is a key enzyme mediating inflammation through prostaglandin synthesis. Astaxanthin binding to its catalytic residues may be consistent with inhibitory interactions activity analogous to selective COX-2 inhibitors [51].
Astaxanthin exhibited strong predicted binding to MMP2 and MMP9 (−8.8 and −9.0 kcal/mol, respectively), suggesting inhibition of matrix degradation enzymes involved in photoaging. Both MMP2 and MMP9 belong to the gelatinase enzymes that contain a catalytic zinc ion responsible for their proteolytic activity. This zinc ion is typically surrounded by three histidine residues known as the hexa-coordination site [52].
For MMP2, the residues His403, Glu404, His409, and Leu397 surround the zinc site, while for MMP9, His401, Glu402, His405, and Leu188 play analogous roles. Therefore, the binding of astaxanthin to these sites may inhibit enzyme activity by blocking access to the zinc ion or disrupting coordination [52]. The modulating extracellular matrix may lead to remodeling during tissue repair and wound healing. While these MMPs deteriorate matrix components to increase cell migration and new tissue formation, excessive activity is linked to chronic wounds and impaired healing [53]. Although docking simulations predicted strong binding affinities between astaxanthin and JAK2, STAT3, COX-2, NF-κB, MMP2, and MMP9, these results remain computational predictions. The current study did not include protein-level analyses such as phosphorylation assays, Western blotting, or immunofluorescence. Therefore, we cannot conclude direct molecular inhibition. Future work will focus on experimentally in vitro and in vivo validating these interactions in UVB-exposed keratinocytes.
The formulated cream demonstrated an in vitro SPF of 7.2 ± 2.5. It is important to note that SPF values are not linearly proportional to UV protection; for example, SPF 15 blocks approximately 93% of UV radiation, allowing only about 7% to reach the skin [54].
7. Conclusions
This study suggests that astaxanthin exerts multifaceted photoprotective effects in HaCaT keratinocytes. Astaxanthin improved cell survival by reducing intracellular ROS and NO levels and by preserving lysosomal stability under UVB-induced stress. The molecular docking analysis provided supportive, hypothesis-generating insights by predicting favorable interactions with several proteins involved in inflammation and extracellular matrix remodeling (JAK2/STAT3, COX-2, NF-κB, MMPs) as well as focal adhesion kinase (FAK). These computational predictions complement the cellular findings. Altogether, the present data indicate that astaxanthin is a promising candidate for mitigating cellular processes associated with UV-induced skin damage, while further mechanistic validation remains necessary.
Author Contributions
Conceptualization, A.L.; methodology, A.L. and B.A.; software, B.A.; validation, A.L. and B.A.; formal analysis, A.L., N.G. and A.S.; investigation, A.S. and N.G.; resources, L.C.G.; data curation, A.L. and N.G.; writing—original draft preparation, A.L.; writing—review and editing, A.L.; visualization, I.W.; supervision, L.C.G.; project administration, L.C.G.; funding acquisition L.C.G. All authors have read and agreed to the published version of the manuscript.
Funding
This research was funded by the Tunisian Ministry of Research and Higher Education, and the APC was funded by the corresponding author, Aida Lahmar.
Institutional Review Board Statement
Not applicable.
Informed Consent Statement
Not applicable.
Data Availability Statement
The raw data supporting the conclusions of this article will be made available by the authors on request.
Acknowledgments
The authors thank Hatem Ben Jema for valuable English corrections.
Conflicts of Interest
The authors declare no conflicts of interest.
References
- Milito, A.; Castellano, I.; Damiani, E. From Sea to Skin: Is There a Future for Natural Photoprotectants? Mar. Drugs 2021, 19, 379. [Google Scholar] [CrossRef]
- Pfeifer, G.P. Mechanisms of UV-Induced Mutations and Skin Cancer. Genome Instab. Dis. 2020, 1, 99–113. [Google Scholar] [CrossRef] [PubMed]
- D’Orazio, J.; Jarrett, S.; Amaro-Ortiz, A.; Scott, T. UV Radiation and the Skin. Int. J. Mol. Sci. 2013, 14, 12222–12248. [Google Scholar] [CrossRef] [PubMed]
- Hussen, N.H.a.; Abdulla, S.K.; Ali, N.M.; Ahmed, V.A.; Hasan, A.H.; Qadir, E.E. Role of Antioxidants in Skin Aging and the Molecular Mechanism of ROS: A Comprehensive Review. Asp. Mol. Med. 2025, 5, 100063. [Google Scholar] [CrossRef]
- Tsai, J.; Chien, A.L. Photoprotection for Skin of Color. Am. J. Clin. Dermatol. 2022, 23, 195–205. [Google Scholar] [CrossRef]
- Schneider, S.L.; Lim, H.W. A Review of Inorganic UV Filters Zinc Oxide and Titanium Dioxide. Photodermatol. Photoimmunol. Photomed. 2019, 35, 442–446. [Google Scholar] [CrossRef]
- Clergeaud, F.; Giraudo, M.; Rodrigues, A.M.S.; Thorel, E.; Lebaron, P.; Stien, D. On the Fate of Butyl Methoxydibenzoylmethane (Avobenzone) in Coral Tissue and Its Effect on Coral Metabolome. Metabolites 2023, 13, 533. [Google Scholar] [CrossRef]
- Lewandowska, A.; Lewandowski, T.; Rudzki, G.; Próchnicki, M.; Laskowska, B.; Pavlov, S.; Vlasenko, O.; Rudzki, S.; Wójcik, W. The Risk of Melanoma Due to Exposure to Sun and Solarium Use in Poland: A Large-Scale, Hospital Based Case-Control Study. Asian Pac. J. Cancer Prev. 2023, 24, 2259–2269. [Google Scholar] [CrossRef]
- Bjørklund, G.; Gasmi, A.; Lenchyk, L.; Shanaida, M.; Zafar, S.; Mujawdiya, P.K.; Lysiuk, R.; Antonyak, H.; Noor, S.; Akram, M.; et al. The Role of Astaxanthin as a Nutraceutical in Health and Age-Related Conditions. Molecules 2022, 27, 7167. [Google Scholar] [CrossRef]
- Morilla, M.J.; Ghosal, K.; Romero, E.L. More Than Pigments: The Potential of Astaxanthin and Bacterioruberin-Based Nanomedicines. Pharmaceutics 2023, 15, 1828. [Google Scholar] [CrossRef]
- Abdelazim, K.; Ghit, A.; Assal, D.; Dorra, N.; Noby, N.; Khattab, S.N.; El Feky, S.E.; Hussein, A. Production and Therapeutic Use of Astaxanthin in the Nanotechnology Era. Pharmacol. Rep. 2023, 75, 771–790. [Google Scholar] [CrossRef]
- Sarasin, A. The Molecular Pathways of Ultraviolet-Induced Carcinogenesis. Mutat. Res. 1999, 428, 5–10. [Google Scholar] [CrossRef] [PubMed]
- Brenneisen, P.; Sies, H.; Scharffetter-Kochanek, K. Ultraviolet-B Irradiation and Matrix Metalloproteinases: From Induction via Signaling to Initial Events. Ann. N. Y. Acad. Sci. 2002, 973, 31–43. [Google Scholar] [CrossRef] [PubMed]
- Yuan, J.-P.; Peng, J.; Yin, K.; Wang, J.-H. Potential Health-Promoting Effects of Astaxanthin: A High-Value Carotenoid Mostly from Microalgae. Mol. Nutr. Food Res. 2011, 55, 150–165. [Google Scholar] [CrossRef]
- Kidd, P. Astaxanthin, Cell Membrane Nutrient with Diverse Clinical Benefits and Anti-Aging Potential. Altern. Med. Rev. 2011, 16, 355–364. [Google Scholar] [PubMed]
- Ambati, R.R.; Phang, S.M.; Ravi, S.; Aswathanarayana, R.G. Astaxanthin: Sources, Extraction, Stability, Biological Activities and Its Commercial Applications—A Review. Mar. Drugs 2014, 12, 128–152. [Google Scholar] [CrossRef]
- Hart, P.H.; Norval, M. Ultraviolet Radiation-Induced Immunosuppression and Its Relevance for Skin Carcinogenesis. Photochem. Photobiol. Sci. 2018, 17, 1872–1884. [Google Scholar] [CrossRef]
- Komatsu, T.; Sasaki, S.; Manabe, Y.; Hirata, T.; Sugawara, T. Preventive Effect of Dietary Astaxanthin on UVA-Induced Skin Photoaging in Hairless Mice. PLoS ONE 2017, 12, e0171178. [Google Scholar] [CrossRef]
- Davinelli, S.; Nielsen, M.E.; Scapagnini, G. Astaxanthin in Skin Health, Repair, and Disease: A Comprehensive Review. Nutrients 2018, 10, 522. [Google Scholar] [CrossRef]
- Li, X.; Matsumoto, T.; Takuwa, M.; Saeed Ebrahim Shaiku Ali, M.; Hirabashi, T.; Kondo, H.; Fujino, H. Protective Effects of Astaxanthin Supplementation against Ultraviolet-Induced Photoaging in Hairless Mice. Biomedicines 2020, 8, 18. [Google Scholar] [CrossRef]
- Yoshihisa, Y.; Rehman, M.U.; Shimizu, T. Astaxanthin, a Xanthophyll Carotenoid, Inhibits Ultraviolet-Induced Apoptosis in Keratinocytes. Exp. Dermatol. 2014, 23, 178–183. [Google Scholar] [CrossRef] [PubMed]
- Focsan, A.L.; Polyakov, N.E.; Kispert, L.D. Photo Protection of Haematococcus pluvialis Algae by Astaxanthin: Unique Properties of Astaxanthin Deduced by EPR, Optical and Electrochemical Studies. Antioxidants 2017, 6, 80. [Google Scholar] [CrossRef] [PubMed]
- Chung, B.Y.; Park, S.H.; Yun, S.Y.; Yu, D.S.; Lee, Y.B. Astaxanthin Protects Ultraviolet B-Induced Oxidative Stress and Apoptosis in Human Keratinocytes via Intrinsic Apoptotic Pathway. Ann. Dermatol. 2022, 34, 125–131. [Google Scholar] [CrossRef]
- Nie, W.; Li, J.; Rajabi, S. Molecular Mechanisms, Endurance Athlete, and Synergistic Therapeutic Effects of Marine-Derived Antioxidant Astaxanthin Supplementation and Exercise in Cancer, Metabolic Diseases, and Healthy Individuals. Food Sci. Nutr. 2025, 13, e70470. [Google Scholar] [CrossRef] [PubMed]
- Baliyan, S.; Mukherjee, R.; Priyadarshini, A.; Vibhuti, A.; Gupta, A.; Pandey, R.P.; Chang, C.-M. Determination of Antioxidants by DPPH Radical Scavenging Activity and Quantitative Phytochemical Analysis of Ficus Religiosa. Molecules 2022, 27, 1326. [Google Scholar] [CrossRef]
- Re, R.; Pellegrini, N.; Proteggente, A.; Pannala, A.; Yang, M.; Rice-Evans, C. Antioxidant Activity Applying an Improved ABTS Radical Cation Decolorization Assay. Free Radic. Biol. Med. 1999, 26, 1231–1237. [Google Scholar] [CrossRef]
- Nath, L.R.; Kumar, S.N.; Das, A.A.; Nambisan, B.; Shabna, A.; Mohandas, C.; Anto, R.J. In Vitro Evaluation of the Antioxidant, 3,5-Dihydroxy-4-Ethyl-Trans-Stilbene (DETS) Isolated from Bacillus Cereus as a Potent Candidate against Malignant Melanoma. Front. Microbiol. 2016, 7, 452. [Google Scholar] [CrossRef]
- Hong, J.-A.; Bae, D.; Oh, K.-N.; Oh, D.-R.; Kim, Y.; Kim, Y.; Jeong Im, S.; Choi, E.; Lee, S.; Kim, M.; et al. Protective Effects of Quercus Acuta Thunb. Fruit Extract against UVB-Induced Photoaging through ERK/AP-1 Signaling Modulation in Human Keratinocytes. BMC Complement. Med. Ther. 2022, 22, 6. [Google Scholar] [CrossRef]
- Yang, T.; Geng, F.; Tang, X.; Yu, Z.; Liu, Y.; Song, B.; Tang, Z.; Wang, B.; Ye, B.; Yu, D.; et al. UV Radiation-Induced Peptides in Frog Skin Confer Protection against Cutaneous Photodamage through Suppressing MAPK Signaling. MedComm 2024, 5, e625. [Google Scholar] [CrossRef]
- Hu, T.; Lai, X.; Li, L.; Li, Y.; Wang, M.; Zhang, H.; Yang, Y.; Zhang, C.; Yan, Y.; Wang, B. UVB-Induced Necroptosis of the Skin Cells via RIPK3-MLKL Activation Independent of RIPK1 Kinase Activity. Cell Death Discov. 2025, 11, 167. [Google Scholar] [CrossRef]
- Varol, M. Cell-Extracellular Matrix Adhesion Assay. Methods Mol. Biol. 2020, 2109, 209–217. [Google Scholar] [CrossRef] [PubMed]
- Kim, H.; Xue, X. Detection of Total Reactive Oxygen Species in Adherent Cells by 2’,7’-Dichlorodihydrofluorescein Diacetate Staining. J. Vis. Exp. 2020, 160, e60682. [Google Scholar] [CrossRef]
- Löffler, B.M.; Hesse, B.; Kunze, H. A Combined Assay of Three Lysosomal Marker Enzymes: Acid Phosphatase, Beta-D-Glucuronidase, and Beta-N-Acetyl-D-Hexosaminidase. Anal. Biochem. 1984, 142, 312–316. [Google Scholar] [CrossRef] [PubMed]
- Ali, D.; Tripathi, A.; Al Ali, H.; Shahi, Y.; Mishra, K.K.; Alarifi, S.; Alkahtane, A.A.; Manohardas, S. ROS-Dependent Bax/Bcl2 and Caspase 3 Pathway-Mediated Apoptosis Induced by Zineb in Human Keratinocyte Cells. Onco Targets Ther. 2018, 11, 489–497. [Google Scholar] [CrossRef]
- Sayre, R.M.; Agin, P.P.; LeVee, G.J.; Marlowe, E. A Comparison of in Vivo and in Vitro Testing of Sunscreening Formulas. Photochem. Photobiol. 1979, 29, 559–566. [Google Scholar] [CrossRef]
- Budzianowska, A.; Banaś, K.; Budzianowski, J.; Kikowska, M. Antioxidants to Defend Healthy and Youthful Skin—Current Trends and Future Directions in Cosmetology. Appl. Sci. 2025, 15, 2571. [Google Scholar] [CrossRef]
- Brotosudarmo, T.H.P.; Limantara, L.; Setiyono, E. Heriyanto, null Structures of Astaxanthin and Their Consequences for Therapeutic Application. Int. J. Food Sci. 2020, 2020, 2156582. [Google Scholar] [CrossRef]
- Sztretye, M.; Dienes, B.; Gönczi, M.; Czirják, T.; Csernoch, L.; Dux, L.; Szentesi, P.; Keller-Pintér, A. Astaxanthin: A Potential Mitochondrial-Targeted Antioxidant Treatment in Diseases and with Aging. Oxid. Med. Cell. Longev. 2019, 2019, 3849692. [Google Scholar] [CrossRef]
- Zarneshan, S.N.; Fakhri, S.; Farzaei, M.H.; Khan, H.; Saso, L. Astaxanthin Targets PI3K/Akt Signaling Pathway toward Potential Therapeutic Applications. Food Chem. Toxicol. 2020, 145, 111714. [Google Scholar] [CrossRef]
- Lee, S.-J.; Bai, S.-K.; Lee, K.-S.; Namkoong, S.; Na, H.-J.; Ha, K.-S.; Han, J.-A.; Yim, S.-V.; Chang, K.; Kwon, Y.-G.; et al. Astaxanthin Inhibits Nitric Oxide Production and Inflammatory Gene Expression by Suppressing I(Kappa)B Kinase-Dependent NF-kappaB Activation. Mol. Cells 2003, 16, 97–105. [Google Scholar] [CrossRef]
- Davinelli, S.; Saso, L.; D’Angeli, F.; Calabrese, V.; Intrieri, M.; Scapagnini, G. Astaxanthin as a Modulator of Nrf2, NF-κB, and Their Crosstalk: Molecular Mechanisms and Possible Clinical Applications. Molecules 2022, 27, 502. [Google Scholar] [CrossRef] [PubMed]
- Zhen, A.X.; Kang, K.A.; Piao, M.J.; Madushan Fernando, P.D.S.; Lakmini Herath, H.M.U.; Hyun, J.W. Protective Effects of Astaxanthin on Particulate Matter 2.5-induced Senescence in HaCaT Keratinocytes via Maintenance of Redox Homeostasis. Exp. Ther. Med. 2024, 28, 275. [Google Scholar] [CrossRef] [PubMed]
- Liu, H.; Yue, J.; Lei, Q.; Gou, X.; Chen, S.-Y.; He, Y.-Y.; Wu, X. Ultraviolet B (UVB) Inhibits Skin Wound Healing by Affecting Focal Adhesion Dynamics. Photochem. Photobiol. 2015, 91, 909–916. [Google Scholar] [CrossRef] [PubMed]
- Yamamoto, H.; Yamaguchi, H.; Yamada, T. Vinculin Migrates to the Cell Membrane of Melanocytes After UVB Irradiation. BPB Rep. 2020, 3, 126–129. [Google Scholar] [CrossRef]
- Lee, J.; Lim, J.W.; Kim, H. Astaxanthin Inhibits Matrix Metalloproteinase Expression by Suppressing PI3K/AKT/mTOR Activation in Helicobacter Pylori-Infected Gastric Epithelial Cells. Nutrients 2022, 14, 3427. [Google Scholar] [CrossRef]
- Ritto, D.; Tanasawet, S.; Singkhorn, S.; Klaypradit, W.; Hutamekalin, P.; Tipmanee, V.; Sukketsiri, W. Astaxanthin Induces Migration in Human Skin Keratinocytes via Rac1 Activation and RhoA Inhibition. Nutr. Res. Pract. 2017, 11, 275–280. [Google Scholar] [CrossRef]
- Zhou, L.; Li, Y.; Yue, B.Y.J.T. Oxidative Stress Affects Cytoskeletal Structure and Cell-Matrix Interactions in Cells from an Ocular Tissue: The Trabecular Meshwork. J. Cell. Physiol. 1999, 180, 182–189. [Google Scholar] [CrossRef]
- Zuluaga, M.; Barzegari, A.; Letourneur, D.; Gueguen, V.; Pavon-Djavid, G. Oxidative Stress Regulation on Endothelial Cells by Hydrophilic Astaxanthin Complex: Chemical, Biological, and Molecular Antioxidant Activity Evaluation. Oxidative Med. Cell. Longev. 2017, 2017, 8073798. [Google Scholar] [CrossRef]
- Hao, D.; Wen, X.; Liu, L.; Wang, L.; Zhou, X.; Li, Y.; Zeng, X.; He, G.; Jiang, X. Sanshool Improves UVB-Induced Skin Photodamage by Targeting JAK2/STAT3-Dependent Autophagy. Cell Death Dis. 2019, 10, 19. [Google Scholar] [CrossRef]
- Liu, W.; Chu, Z.; Yang, C.; Yang, T.; Yang, Y.; Wu, H.; Sun, J. Discovery of Potent STAT3 Inhibitors Using Structure-Based Virtual Screening, Molecular Dynamic Simulation, and Biological Evaluation. Front. Oncol. 2023, 13, 1287797. [Google Scholar] [CrossRef]
- Zhao, X.; Guan, J.-L. Focal Adhesion Kinase and Its Signaling Pathways in Cell Migration and Angiogenesis. Adv. Drug Deliv. Rev. 2011, 63, 610–615. [Google Scholar] [CrossRef]
- Varghese, A.; Chaturvedi, S.S.; Fields, G.B.; Karabencheva-Christova, T.G. A Synergy Between the Catalytic and Structural Zn(II) Ions and the Enzyme and Substrate Dynamics Underlies the Structure-Function Relationships of Matrix Metalloproteinase Collagenolysis. J. Biol. Inorg. Chem. 2021, 26, 583–597. [Google Scholar] [CrossRef]
- Caley, M.P.; Martins, V.L.C.; O’Toole, E.A. Metalloproteinases and Wound Healing. Adv. Wound Care 2015, 4, 225–234. [Google Scholar] [CrossRef]
- Dale Wilson, B.; Moon, S.; Armstrong, F. Comprehensive Review of Ultraviolet Radiation and the Current Status on Sunscreens. J. Clin. Aesthet. Dermatol. 2012, 5, 18–23. [Google Scholar]
Disclaimer/Publisher’s Note: The statements, opinions and data contained in all publications are solely those of the individual author(s) and contributor(s) and not of MDPI and/or the editor(s). MDPI and/or the editor(s) disclaim responsibility for any injury to people or property resulting from any ideas, methods, instructions or products referred to in the content. |
© 2026 by the authors. Published by MDPI on behalf of the Österreichische Pharmazeutische Gesellschaft. Licensee MDPI, Basel, Switzerland. This article is an open access article distributed under the terms and conditions of the Creative Commons Attribution (CC BY) license.











