Previous Issue
Volume 14, November
 
 

Actuators, Volume 14, Issue 12 (December 2025) – 44 articles

  • Issues are regarded as officially published after their release is announced to the table of contents alert mailing list.
  • You may sign up for e-mail alerts to receive table of contents of newly released issues.
  • PDF is the official format for papers published in both, html and pdf forms. To view the papers in pdf format, click on the "PDF Full-text" link, and use the free Adobe Reader to open them.
Order results
Result details
Section
Select all
Export citation of selected articles as:
12 pages, 3163 KB  
Article
Cloud-Assisted Nonlinear Model Predictive Control with Deep Reinforcement Learning for Autonomous Vehicle Path Tracking
by Yuxuan Zhang, Bing Chen, Yan Wang and Nan Li
Actuators 2025, 14(12), 609; https://doi.org/10.3390/act14120609 (registering DOI) - 13 Dec 2025
Abstract
Model Predictive Control (MPC) stands out as a prominent method for achieving optimal control in autonomous driving applications. However, the effectiveness of MPC approaches critically depends on the availability of accurate dynamic models and often necessitates substantial computational overhead for real-time optimization procedures [...] Read more.
Model Predictive Control (MPC) stands out as a prominent method for achieving optimal control in autonomous driving applications. However, the effectiveness of MPC approaches critically depends on the availability of accurate dynamic models and often necessitates substantial computational overhead for real-time optimization procedures at every iteration. Recently, the research community has been increasingly drawn to the concept of cloud-assisted MPC, which harnesses the capabilities of powerful cloud computing to provide users with on-demand computational resources and data storage services. Within these cloud-assisted MPC frameworks, control signals are merged with a cloud-based MPC, which leverages the substantial processing power of cloud infrastructure to determine optimal control actions using detailed nonlinear models for greater accuracy. Simultaneously, a local MPC runs on simplified linear models constrained by limited on-device computing resources, delivering prompt control responses at the cost of reduced model accuracy. To achieve an effective trade-off between rapid response and model fidelity, this work presents a new model-free deep reinforcement learning structure designed to merge cloud and local MPC outputs. Tests conducted on path-following scenarios show that the introduced method achieves superior control performance compared to existing reinforcement learning baselines and conventional rule-based fusion strategies. Full article
(This article belongs to the Section Actuators for Surface Vehicles)
Show Figures

Figure 1

23 pages, 7510 KB  
Article
Ensuring Safe Physical HRI: Integrated MPC and ADRC for Interaction Control
by Gao Wang, Zhihai Lin, Feiyan Min, Deping Li and Ning Liu
Actuators 2025, 14(12), 608; https://doi.org/10.3390/act14120608 - 12 Dec 2025
Abstract
This paper proposes a safety-constrained interaction control scheme for robotic manipulators by integrating model predictive control (MPC) and active disturbance rejection control (ADRC). The proposed method is specifically designed for manipulators with complex nonlinear dynamics. To ensure that the control system satisfies safety [...] Read more.
This paper proposes a safety-constrained interaction control scheme for robotic manipulators by integrating model predictive control (MPC) and active disturbance rejection control (ADRC). The proposed method is specifically designed for manipulators with complex nonlinear dynamics. To ensure that the control system satisfies safety constraints during human–robot interaction, MPC is incorporated into the impedance control framework to construct a model predictive impedance controller (MPIC). By exploiting the prediction and constraint-handling capabilities of MPC, the controller provides guaranteed safety throughout the interaction process. Meanwhile, ADRC is employed to track the target joint control signals generated by the MPIC, where an extended state observer is utilized to compensate for dynamic modeling errors and nonlinear disturbances within the system, thereby achieving accurate trajectory tracking. The proposed method is validated through both simulation and real-world experiments, achieving high-performance interaction control with safety constraints at a 2 ms control cycle. The controller exhibits active compliant interaction behavior when the interaction stays within the constraint boundaries, while maintaining strict adherence to the safety constraints when the interaction tends to violate them. Full article
(This article belongs to the Special Issue Motion Planning, Trajectory Prediction, and Control for Robotics)
21 pages, 2184 KB  
Article
A Wall-Climbing Robot with a Mechanical Arm for Weld Inspection of Large Pressure Vessels
by Ming Zhong, Mingjian Pan, Zhengxiong Mao, Ruifei Lyu and Yaxin Liu
Actuators 2025, 14(12), 607; https://doi.org/10.3390/act14120607 - 12 Dec 2025
Abstract
Inspecting the inner walls of large pressure vessels requires accurate weld seam recognition, complete coverage, and precise path tracking, particularly in low-feature environments. This paper presents a fully autonomous mobile robotic system that integrates weld seam detection, localization, and tracking to support ultrasonic [...] Read more.
Inspecting the inner walls of large pressure vessels requires accurate weld seam recognition, complete coverage, and precise path tracking, particularly in low-feature environments. This paper presents a fully autonomous mobile robotic system that integrates weld seam detection, localization, and tracking to support ultrasonic testing. An improved Differentiable Binarization Network (DBNet) combined with the Spatially Variant Transformer (SVTR) model enhances digital stamp recognition, while weld paths are reconstructed from three-dimensional position data acquired via binocular stereo vision. To ensure complete traversal and accurate tracking, a global–local hierarchical planning strategy is implemented: the A-star (A*) algorithm performs global path planning, the Rapidly Exploring Random Tree Connect (RRT-Connect) algorithm handles local path generation, and point cloud normal–based spherical interpolation produces smooth tracking trajectories for robotic arm motion control. Experimental validation demonstrates a 94.7% digital stamp recognition rate, 95.8% localization success, 1.65 mm average weld tracking error, 2.12° normal fitting error, 98.2% seam coverage, and a tracking speed of 96 mm/s. These results confirm the system’s capability to automate weld seam inspection and provide a reliable foundation for subsequent ultrasonic testing in pressure vessel applications. Full article
(This article belongs to the Topic Advances in Mobile Robotics Navigation, 2nd Volume)
17 pages, 1159 KB  
Article
Dynamics Analysis of Multibody Systems Based on Flexible Thermal Coupling Solid Elements
by Zuqing Yu and Yibin Shen
Actuators 2025, 14(12), 606; https://doi.org/10.3390/act14120606 - 12 Dec 2025
Abstract
In high-precision fields such as automotive and aerospace, solid elements are commonly used to verify the dynamic response of key components, which can comprehensively simulate three-dimensional stress, deformation, and temperature field changes. In this study, a new thermo-dynamic coupled solid element is proposed, [...] Read more.
In high-precision fields such as automotive and aerospace, solid elements are commonly used to verify the dynamic response of key components, which can comprehensively simulate three-dimensional stress, deformation, and temperature field changes. In this study, a new thermo-dynamic coupled solid element is proposed, which is suitable for large deformations based on the absolute nodal coordinate formulation (ANCF). In ANCF, the position and gradient vectors, as generalized coordinates, are used to describe displacement fields. Similarly, the temperature and temperature gradient are used as generalized coordinates for describing the temperature field. The physical meaning of the temperature gradient is the change in temperature relative to the coordinates of matter. Therefore, the temperature field and displacement field can be described within the same isoparametric element. Based on the unified element grid to establish dynamic equations and heat transfer equations, it can describe the bidirectional coupling effect of two physical fields. The generalized-α method simultaneously solves the dynamic and heat transfer equations within one time step. For thermally induced vibrations of simply supported beams, the maximum absolute error of dimensionless displacement at test points is less than 0.001, and temperature error is less than 0.5 K. The remaining two examples demonstrate that the proposed method can be used for the dynamic response calculation of thermally coupled multibody systems. Full article
(This article belongs to the Section Control Systems)
16 pages, 705 KB  
Article
Event-Triggered Control for Discrete-Time Linear Systems Under Actuator and Sensor Constraints
by Jinze Jia, Yonggang Chen, Jishen Jia, Liping Luo and Rui Dong
Actuators 2025, 14(12), 605; https://doi.org/10.3390/act14120605 - 12 Dec 2025
Abstract
This paper focuses on designing an event-triggered dynamic output feedback controller for discrete-time linear systems subject to actuator and sensor constraints as well as external disturbances. A dynamic event-triggered condition with two generalized weighting parameters is introduced to regulate sensor-to-controller communication. By integrating [...] Read more.
This paper focuses on designing an event-triggered dynamic output feedback controller for discrete-time linear systems subject to actuator and sensor constraints as well as external disturbances. A dynamic event-triggered condition with two generalized weighting parameters is introduced to regulate sensor-to-controller communication. By integrating generalized sector conditions, Lyapunov analysis, and linearization techniques, sufficient conditions are derived in terms of linear matrix inequalities, ensuring bounded closed-loop trajectories, prescribed H performance, and asymptotic stability in the disturbance-free case. Furthermore, optimization problems are formulated to maximize the event-triggering rate while preserving the desired system performance. Simulation results show that, compared to time-triggered control, the event-triggered control effectively reduces the communication frequency, thereby significantly conserving communication resources. Compared with existing results, this work presents the first event-triggered dynamic output feedback scheme for discrete-time linear systems with dual saturation constraints. The inclusion of generalized weighting parameters and the use of generalized sector conditions allow the design to be carried out within a flexible local framework with reduced conservatism. Full article
(This article belongs to the Section Control Systems)
Show Figures

Figure 1

27 pages, 1372 KB  
Article
Discovering Control Scheduler Policies Through Reinforcement Learning and Evolutionary Strategies
by Aureo Guilherme Dobrikopf, Gabriel Abatti and Douglas Wildgrube Bertol
Actuators 2025, 14(12), 604; https://doi.org/10.3390/act14120604 - 12 Dec 2025
Abstract
This work investigates the viability of using NNs to select an appropriate controller for a dynamic system based on its current state. To this end, this work proposes a method for training a controller-scheduling policy using several learning algorithms, including deep reinforcement learning [...] Read more.
This work investigates the viability of using NNs to select an appropriate controller for a dynamic system based on its current state. To this end, this work proposes a method for training a controller-scheduling policy using several learning algorithms, including deep reinforcement learning and evolutionary strategies. The performance of these scheduler-based approaches is evaluated on an inverted pendulum, and the results are compared with those of NNs that operate directly in a continuous action space and a backpropagation-based Control Scheduling Neural Network. The results demonstrate that machine learning can successfully train a policy to choose the correct controller. The findings highlight that evolutionary strategies offer a compelling trade-off between final performance and computational time, making them an efficient alternative among the scheduling methods tested. Full article
Show Figures

Figure 1

21 pages, 3658 KB  
Article
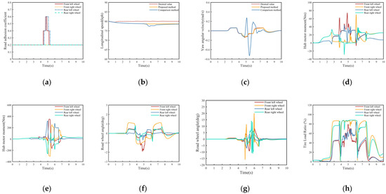
Fault Tolerant Control of Integrated Autonomous Wheel Module Vehicle Subject to Independent Steering Actuator Degradation
by Liqiang Jin, Bohao Jin, Yan Huang, Qixiang Zhang, Haixia Yi and Ronghua Li
Actuators 2025, 14(12), 603; https://doi.org/10.3390/act14120603 - 10 Dec 2025
Viewed by 102
Abstract
This study investigates the issue of fault-tolerant motion control in the distributed chassis system (DCS) subject to degradation in independent steering actuators. First, the dynamic behavior of the independent steering system is analyzed to establish a fault-dynamics model for independent steering. The steering [...] Read more.
This study investigates the issue of fault-tolerant motion control in the distributed chassis system (DCS) subject to degradation in independent steering actuators. First, the dynamic behavior of the independent steering system is analyzed to establish a fault-dynamics model for independent steering. The steering powertrain degradation coefficient is then mapped to the contraction of the feasible tire-force region. Subsequently, the model predictive controller (MPC) is designed to solve for the required generalized forces/torques. Moreover, along the direction of the generalized demand force vector, the boundary values for the current cycle are obtained and used to correct the generalized demand force. Finally, an adaptive weighting scheme for the tire force distribution objective function, which accounts for degradation coefficients, is proposed. Sequential quadratic programming (SQP) is employed to achieve optimal utilization of tire forces. Simulation studies for different steering degradation scenarios and road conditions are conducted using a CarSim 2019 and Simulink 2021B co-simulation platform. The simulation results demonstrate that the proposed integrated chassis motion controller maintains excellent motion control performance even under independent steering actuator degradation. Full article
Show Figures

Figure 1

18 pages, 4234 KB  
Article
A Four-Chamber Multimodal Soft Actuator and Its Application
by Jiabin Yang, Helei Zhu, Gang Chen, Jianbo Cao, Jiwei Yuan and Kaiwei Wu
Actuators 2025, 14(12), 602; https://doi.org/10.3390/act14120602 - 9 Dec 2025
Viewed by 89
Abstract
Soft robotics represents a rapidly advancing and significant subfield within modern robotics. However, existing soft actuators often face challenges including unwanted deformation modes, limited functional diversity, and a lack of versatility. This paper presents a four-chamber multimodal soft actuator with a centrally symmetric [...] Read more.
Soft robotics represents a rapidly advancing and significant subfield within modern robotics. However, existing soft actuators often face challenges including unwanted deformation modes, limited functional diversity, and a lack of versatility. This paper presents a four-chamber multimodal soft actuator with a centrally symmetric layout and independent pneumatic control. While building on existing multi-chamber concepts, the design incorporates a cruciform constraint layer and inter-chamber gaps to improve directional bending and reduce passive chamber deformation. An empirical model based on the vector superposition of single- and dual-chamber inflations is developed to describe the bending behavior. Experimental results show that the actuator can achieve omnidirectional bending with errors below 5% compared to model predictions. To demonstrate versatility, the actuator is implemented in two distinct applications: a three-finger soft gripper that can grasp objects of various shapes and perform in-hand twisting maneuvers, and a steerable crawling robot that mimics inchworm locomotion. These results highlight the actuator’s potential as a reusable and adaptable driving unit for diverse soft robotic tasks. Full article
(This article belongs to the Section Actuators for Robotics)
Show Figures

Figure 1

26 pages, 7133 KB  
Article
HASEL Actuators Activated with a Multi-Channel Low-Cost High Voltage Power Supply
by Levi Tynan, Upul Gunawardana, Daniele Esposito, Jessica Centracchio, Simone Minucci, Andrea Gaetano Chiariello and Gaetano Gargiulo
Actuators 2025, 14(12), 601; https://doi.org/10.3390/act14120601 - 8 Dec 2025
Viewed by 122
Abstract
Hydraulically Amplified Self-Healing Electrostatic (HASEL) actuators promise a future of adaptive robotics in a world where robotics is becoming increasingly integrated into our daily lives. Adaptive robotics needs to control multiple outputs with precision and speed. Unfortunately, expensive High Voltage control restricts the [...] Read more.
Hydraulically Amplified Self-Healing Electrostatic (HASEL) actuators promise a future of adaptive robotics in a world where robotics is becoming increasingly integrated into our daily lives. Adaptive robotics needs to control multiple outputs with precision and speed. Unfortunately, expensive High Voltage control restricts the development of the HASEL actuator for commercial applications. This paper demonstrates a low-cost multi-channel High Voltage Power Supply (HVPS). The HVPS takes a 6 V input and controls multiple HASEL actuators from 0 to 10 kV, with a slew rate of up to 117.7 kV/s. In addition to controlling multiple channels, the low-cost HVPS can control two outputs with a single control module in an alternating pattern, similar to the way muscles control movement in alternating sequences—e.g., biceps and triceps. Previous work has shown that this low-cost HVPS is 95% cheaper than other power supplies used in the field of HASEL actuators. This work builds on the work reducing the cost of the HVPS by an additional 40%. This low-cost HVPS also reduces the amount of input required for control from four PWMs to one PWM with enable pins, drastically improving the performance of the device for multi-channel operation. Full article
(This article belongs to the Special Issue Multifunctional Actuators: Design, Control and Integration)
Show Figures

Figure 1

20 pages, 4884 KB  
Article
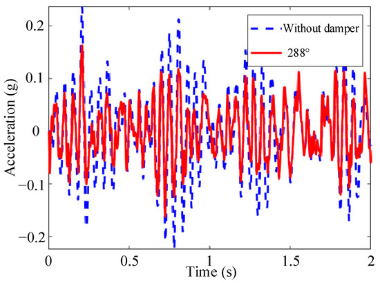
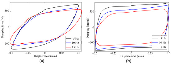
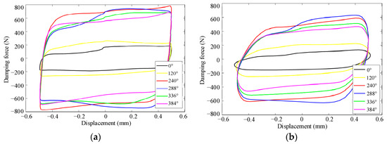
Research on a Passive-Tuned Magnetorheological Damper for Whole-Spacecraft Vibration Isolation
by Lifan Wu, Xiaomin Dong, Kaixiang Wang, Jialong Wang, Xiangcheng Fang and Huan Zhou
Actuators 2025, 14(12), 600; https://doi.org/10.3390/act14120600 - 8 Dec 2025
Viewed by 90
Abstract
During the launch phase of a carrier rocket, the spacecraft carried by the rocket will be subjected to strong vibrations from the rocket body. Therefore, based on the special working conditions during the rocket launch phase, a passive-tuned magnetorheological (PT-MR) damper using the [...] Read more.
During the launch phase of a carrier rocket, the spacecraft carried by the rocket will be subjected to strong vibrations from the rocket body. Therefore, based on the special working conditions during the rocket launch phase, a passive-tuned magnetorheological (PT-MR) damper using the magnetorheological (MR) composite was proposed, which achieves stable and efficient operational performance using permanent magnets (PMs). Firstly, the influence of squeeze mode on the performances of the MR composite was analyzed for different vibration conditions. Then, by analyzing the squeeze strengthening effect of the MR composite and the influence of non-uniform radial gap size on the damping force, the mechanical model of the proposed damper was derived. Furthermore, the damper prototype was fabricated and its mechanical properties were tested, and the test results showed that the proposed damper can generate a damping force exceeding 800 N. Finally, the vibration isolation effectiveness of the proposed damper was verified from a system perspective by building the simulation model of whole-spacecraft vibration isolation. Full article
Show Figures

Figure 1

25 pages, 17821 KB  
Article
Study on Hydrodynamic Characteristics of a New Type of Cartridge-Type Locking Valve
by Guangchao Zhang, Yudong Xie, Yi Wan, Chuanying Wang, Fujian Chen, Xiangqian Zhu, Shuai Ji, Dong Wang, Xiao Han, Zhisheng Li, Zilei Ji, Shawuti Yingming and Geyu Zhu
Actuators 2025, 14(12), 599; https://doi.org/10.3390/act14120599 - 7 Dec 2025
Viewed by 88
Abstract
As a core safety component in the hydraulic system of CNC stretching pads, the safety locking valve undertakes precise stamping position maintenance and emergency braking protection; its performance dictates the hydraulic system’s operational stability. Existing ones induce hydraulic oil volume dynamic changes during [...] Read more.
As a core safety component in the hydraulic system of CNC stretching pads, the safety locking valve undertakes precise stamping position maintenance and emergency braking protection; its performance dictates the hydraulic system’s operational stability. Existing ones induce hydraulic oil volume dynamic changes during opening/closing, significantly affecting blank holder force control. To solve this, its structure is innovatively optimized. Based on the CFD method, a dynamic calculation framework integrating unsteady flow characteristics and structural motion characteristics has been constructed, realizing accurate simulation research on the dynamic characteristics of the safety locking valve. Through simulation analysis, the distribution law of the internal flow field during the transient opening and closing process of the locking valve has been thoroughly explored, the distribution mechanism of the transient flow field has been systematically revealed, and finally, the fluid regulation characteristic parameters of the safety locking valve have been obtained, providing an important theoretical basis for subsequent engineering applications. Full article
Show Figures

Figure 1

16 pages, 2857 KB  
Article
Validation of Pneumatic Actuation for Fast Fatigue Testing of Additive-Manufactured Polymers
by Davide D’Andrea, Giacomo Risitano and Dario Santonocito
Actuators 2025, 14(12), 598; https://doi.org/10.3390/act14120598 - 7 Dec 2025
Viewed by 234
Abstract
In the modern industrial context, many manufacturers design universal testing machines (UTMs) equipped with servo-hydraulic or electromechanical linear actuators, which offer excellent control capabilities and high-quality force signal measurement, at the expense of high costs due to the need for hydraulic power units [...] Read more.
In the modern industrial context, many manufacturers design universal testing machines (UTMs) equipped with servo-hydraulic or electromechanical linear actuators, which offer excellent control capabilities and high-quality force signal measurement, at the expense of high costs due to the need for hydraulic power units or dedicated electrical networks. The complexity of these systems discourages manufacturers of mechanical components, especially the ones produced through additive manufacturing (AM), from investing in machines for the determination of mechanical properties according to international standards, settling instead for information derived from technical datasheets of the base material (filament or powders), which rarely include information about fatigue life. Within this context, the Fast Fatigue Machine (FFM), designed by KnoWow srl and ItalSigma srl, makes mechanical characterization of materials a process accessible to any organization that may require it. This was made possible by designing a pneumatic benchtop testing machine with a built-in setup for Thermographic Methods (TMs) usage. The aim of this work is to validate pneumatic actuators as a viable alternative to servo-hydraulic systems, demonstrating their effectiveness and reliability. Frequency analysis on both sinusoidal waveforms, root mean square error (RMSE) evaluation, and percentage total harmonic distortion (THD%) calculations showed that, while the servo-hydraulic system closely follows the load signal with a THD of around 5%, regardless of the applied load intensity, the pneumatic system exhibits higher distortion (THD of approximately 9%, strongly dependent on the load levels) and a high-frequency harmonic component, which, however, does not affect the overall results. Life cycle assessment (LCA) analysis confirmed the convenience of the pneumatic system and TMs in material testing and fatigue characterization. Full article
(This article belongs to the Special Issue Nonlinear Control of Mechanical and Robotic Systems)
Show Figures

Figure 1

25 pages, 3707 KB  
Article
Coordinated Control for Stability of Four-Wheel Steering Vehicles Based on Game Theory
by Gang Liu
Actuators 2025, 14(12), 597; https://doi.org/10.3390/act14120597 - 7 Dec 2025
Viewed by 116
Abstract
To address the poor stability of four-wheel steering vehicles under extreme conditions, this paper proposes a coordinated control strategy for vehicles with four-wheel independent drive. The strategy combines the Active Four-Wheel Steering system with the Direct Yaw Moment Control system. First, a shared [...] Read more.
To address the poor stability of four-wheel steering vehicles under extreme conditions, this paper proposes a coordinated control strategy for vehicles with four-wheel independent drive. The strategy combines the Active Four-Wheel Steering system with the Direct Yaw Moment Control system. First, a shared steering control model is constructed by considering both the vehicle’s path-tracking performance and handling stability. Based on this model, a control strategy for the four-wheel steering system is proposed using a non-cooperative Nash game. Next, a direct yaw moment controller is designed to improve vehicle lateral stability under dangerous driving conditions. To achieve synergy between rear-wheel steering and direct yaw moment control, a rule-based coordination strategy is introduced to optimize the working intervals of each sub-controller. Finally, experimental verification is performed under double-lane-change and slalom conditions using the CarSim/Simulink hardware-in-the-loop platform. All computations were done in MATLAB R2024a, using specific m-files and Simulink functions for implementation, and the controller was implemented using the Micro-Autobox tool. The results demonstrate that the proposed control strategy significantly enhances vehicle path-tracking accuracy and handling stability under extreme driving conditions. Full article
(This article belongs to the Section Actuators for Surface Vehicles)
Show Figures

Figure 1

24 pages, 6391 KB  
Review
Machine Learning for Fault Diagnosis of Electric Motors in Actuator Systems
by Wenjie Liu, Zhexiang Zou, Fengshou Gu and Guoji Shen
Actuators 2025, 14(12), 596; https://doi.org/10.3390/act14120596 - 6 Dec 2025
Viewed by 353
Abstract
Electric linear or rotary actuators are the ultimate power-dense execution units in modern industrial and transportation systems, yet their dependability is directly governed by the health of the driving electric motor. To guarantee fail-safe operation of the electromechanical actuator chain, condition monitoring and [...] Read more.
Electric linear or rotary actuators are the ultimate power-dense execution units in modern industrial and transportation systems, yet their dependability is directly governed by the health of the driving electric motor. To guarantee fail-safe operation of the electromechanical actuator chain, condition monitoring and fault diagnosis of the embedded motor have become indispensable. The motor fault diagnosis process can be comprehensively summarized into four key steps: signal acquisition, feature extraction, condition monitoring, and fault identification. Based on the data obtained by signal acquisition, machine learning methods can be effectively integrated into the latter three steps. Feature extraction techniques primarily revolve around autoencoders. In terms of condition monitoring technology, in-depth research has been conducted on image recognition, including the identification of two-dimensional and three-dimensional images. In terms of fault identification, various machine learning methods have been applied, such as convolutional neural networks, autoencoders, transfer learning, long short-term memory networks, and support vector machines. Finally, the potential application of the Large Language Model in motor fault diagnosis was explored. Full article
(This article belongs to the Section High Torque/Power Density Actuators)
Show Figures

Figure 1

16 pages, 2849 KB  
Article
On the Iron Loss Reduction Design Improvement of an Axial Flux Permanent Magnet Motor
by Seung-Mi Oh, Kan Akatsu, Dong-Woo Lee and Ho-Joon Lee
Actuators 2025, 14(12), 595; https://doi.org/10.3390/act14120595 - 5 Dec 2025
Viewed by 213
Abstract
Reducing iron loss in axial flux permanent magnet (AFPM) motors is critical for improving efficiency. This study proposes a design-optimization procedure that combines 3D finite-element analysis (FEA) data with an artificial neural network (ANN) surrogate. For four design variables—airgap length, rotor back-yoke thickness, [...] Read more.
Reducing iron loss in axial flux permanent magnet (AFPM) motors is critical for improving efficiency. This study proposes a design-optimization procedure that combines 3D finite-element analysis (FEA) data with an artificial neural network (ANN) surrogate. For four design variables—airgap length, rotor back-yoke thickness, stator slot width, and stator slot depth—the search bounds were defined to avoid tooth and back-yoke saturation, and the corresponding space was sampled to construct a dataset. Using this dataset, the ANN was trained and then used to explore low-iron loss solutions. On an independent validation set, ANN predictions showed high agreement with 3D-FEA reference values, enabling rapid evaluation of many design candidates. As a result of the optimization, total iron loss decreased relative to the baseline, and torque increased by 3 Nm. These results demonstrate that the ANN-based surrogate model can reliably perform geometry-dependent iron loss optimization in AFPM motors, providing a fast and accurate alternative to repetitive 3D-FEA evaluations. Full article
(This article belongs to the Section High Torque/Power Density Actuators)
Show Figures

Figure 1

31 pages, 19249 KB  
Article
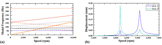
Research on the Dynamic Behavior of Rotor–Stator Systems Considering Bearing Clearance in Aeroengines
by Yongbo Ma, Zhihong Song, Zhefu Yang, Chao Li, Yanhong Ma and Jie Hong
Actuators 2025, 14(12), 594; https://doi.org/10.3390/act14120594 - 4 Dec 2025
Viewed by 139
Abstract
The high-performance aeroengine operates under extreme loads. In engineering practice, the vibration problems caused by stator vibrations have become increasingly prominent, with impacts on the rotor dynamic behavior. This paper takes the rotor–stator system of aeroengines as the analysis object and studies the [...] Read more.
The high-performance aeroengine operates under extreme loads. In engineering practice, the vibration problems caused by stator vibrations have become increasingly prominent, with impacts on the rotor dynamic behavior. This paper takes the rotor–stator system of aeroengines as the analysis object and studies the influence of stator modal vibration on the rotor dynamic behavior. The dynamic model of the rotor–stator system has been established, and the influence of the contact state of cylindrical roller bearings (CRBs) has been analyzed by considering bearing clearance. To precisely capture the transient contact state within the CRBs, a numerical method combining the Newmark-β method with the Event Function has been developed. The numerical calculation results show that the collision effect introduced by the bearing clearance will excite a localized stator mode at the supercritical state, which fundamentally alters the rotor dynamic behavior: generating prominent combination frequencies fM±fr due to modulation between the rotor rotation fr and the stator vibration fM. Moreover, good consistency between the experimental and calculated results has been obtained. This study demonstrates that the stator modal vibration can critically modify rotor dynamic behavior in supercritical operation, leading to potentially hazardous non-synchronous whirl. The integrated model and numerical method provide a robust framework for analyzing complex rotor–stator interactions, offering significant insights for vibration control and fault diagnosis in high-speed rotating machinery. Full article
(This article belongs to the Special Issue Dynamics and Control of Aerospace Systems—2nd Edition)
Show Figures

Figure 1

16 pages, 4893 KB  
Article
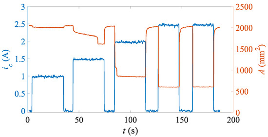
Precision Pressure Pump Featuring Dual-Valve Control and Onboard Compression for Microfluidic Systems
by Mohammad Zein, Ruddy Moussahou, Sousso Kelouwani and Marie Hébert
Actuators 2025, 14(12), 593; https://doi.org/10.3390/act14120593 - 4 Dec 2025
Viewed by 240
Abstract
The essence of microfluidics lies in its ability to manipulate fluids within compact and portable systems. However, existing pressure pumps rely on bulky external compressors and are costly. Open-source solutions are generally suited for passive microfluidic applications due to their slow settling times [...] Read more.
The essence of microfluidics lies in its ability to manipulate fluids within compact and portable systems. However, existing pressure pumps rely on bulky external compressors and are costly. Open-source solutions are generally suited for passive microfluidic applications due to their slow settling times (1500–2500 s). The innovative pressure regulator developed uses two proportional solenoid valves and a built-in compression unit. The pressure regulation is ensured by a Proportional–Integral–Derivative (PID) controller. A comparative analysis is conducted between the developed regulator and a commercial regulator (Marsh Bellofram). Both regulators provide a comparable accuracy of about ±0.01 psi (±0.7 mbar) from the desired pressure. However, our regulator demonstrates a faster settling time (∼100 ms vs. ∼200 ms), which is particularly desirable for implementation in an active system, while offering a lower price (∼USD 250 vs. ∼USD 1000). We present a cost-effective, compact pressure pump that does not rely on bulky compressors. It delivers fast and precise pressure, even at low pressure, making it suitable for both active and passive microfluidic applications. This design improves access to pressure regulation in microfluidics for low-budget laboratories and limited infrastructure environments. Full article
(This article belongs to the Special Issue Design, Hydrodynamics, and Control of Valve Systems)
Show Figures

Figure 1

19 pages, 10396 KB  
Article
A Fan-Array Robotic-Arm Approach to Characterization of Pitch-Rate Dynamics of a Flapping-Wing MAV
by Woei-Leong Chan, De-Jing Liu, Hung-Yu Chen and Chia-Le Chin
Actuators 2025, 14(12), 592; https://doi.org/10.3390/act14120592 - 4 Dec 2025
Viewed by 246
Abstract
Flapping-wing micro-air vehicles (FWMAVs) exhibit unique aerodynamic characteristics that differ fundamentally from other aircraft, yet little is known about their dynamic stability derivatives. This study aims to identify pitch-rate stability derivatives of an in-house prototype, CKopter-1, to advance the modeling and control of [...] Read more.
Flapping-wing micro-air vehicles (FWMAVs) exhibit unique aerodynamic characteristics that differ fundamentally from other aircraft, yet little is known about their dynamic stability derivatives. This study aims to identify pitch-rate stability derivatives of an in-house prototype, CKopter-1, to advance the modeling and control of bio-inspired flight. Experiments were conducted using a robotic-arm fan-array system that enabled prescribed pitching motions under controlled inflow. Aerodynamic forces and moments were measured with a six-axis load cell, while vehicle kinematics were captured using motion tracking and synchronized during post-processing. Tests consisted of quasi-static cycles and dynamic cycles at pitch rates of 35°/s, 58.8°/s, and 68.4°/s. The results revealed static instability below an angle of attack of 33°, a trim condition near 58.5°, and positive stability up to 72.5°. Dynamic cases showed clear pitch-rate effects in the longitudinal components, from which the derivatives were extracted. A comparison with previous studies confirmed comparable magnitudes, with systematic differences attributable to wing dihedral and tail length. This study demonstrates that the fan-array robotic-arm method enables stability derivative identification even beyond feasible flight regimes, providing valuable parameters for future flight dynamics modeling and control of FWMAVs. Full article
(This article belongs to the Special Issue Analysis and Design of Linear/Nonlinear Control System—2nd Edition)
Show Figures

Figure 1

14 pages, 3238 KB  
Article
An Adaptive Preload Device for High-Speed Motorized Spindles for Teaching and Scientific Research
by Haipeng Yan, Zongchu Zhang, Guisen Wang, Jinda Zhu and Tingting Sun
Actuators 2025, 14(12), 591; https://doi.org/10.3390/act14120591 - 3 Dec 2025
Viewed by 178
Abstract
This study focuses on an experimental device for the adaptive adjustment of the preload of high-speed motorized spindles. Firstly, based on Hirano’s criterion, the optimal preload for bearings at different rotational speeds was determined, and an adaptive preload adjustment mechanism was developed, with [...] Read more.
This study focuses on an experimental device for the adaptive adjustment of the preload of high-speed motorized spindles. Firstly, based on Hirano’s criterion, the optimal preload for bearings at different rotational speeds was determined, and an adaptive preload adjustment mechanism was developed, with its accuracy experimentally validated. Secondly, the optimal lubrication conditions were obtained by a single-factor experiment. Then, the vibration characteristics under different preload conditions were explored, and the axial displacement variations were analyzed across a range of rotational speeds. Finally, the temperature rise in the bearings with the speed at the constant preload force and the optimal preload force were compared. The results demonstrated that the adaptive preload adjustment device outperformed the constant preload application. In teaching practice, this study enhanced students’ systematic understanding of the adaptive preload adjustment process in motorized spindles, promoted the integration of theoretical knowledge with practical application, and strengthened their learning interest. In addition, this device can provide experimental equipment for studying the performance of high-speed motorized spindles and bearings in scientific research. Full article
(This article belongs to the Section High Torque/Power Density Actuators)
Show Figures

Figure 1

17 pages, 4374 KB  
Article
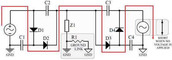
Nonlinear Controller for Keeping Pulsed-Power Resonant Inverter Driving Time-Varying Series RLC Load in Resonance
by Ohad Akler, Natan Schecter and Alon Kuperman
Actuators 2025, 14(12), 590; https://doi.org/10.3390/act14120590 - 3 Dec 2025
Viewed by 185
Abstract
Capacitor-powered resonant inverters are often employed in pulsed-power applications to feed an equivalent series resistance–inductance–capacitance (RLC) load with time-varying component values. Establishing the short-time dynamics of such an arrangement is nontrivial since the system does not reach a steady state within a single [...] Read more.
Capacitor-powered resonant inverters are often employed in pulsed-power applications to feed an equivalent series resistance–inductance–capacitance (RLC) load with time-varying component values. Establishing the short-time dynamics of such an arrangement is nontrivial since the system does not reach a steady state within a single pulse period. As a result, linearization around a single operation point cannot be applied for the sake of simplified system modeling. Consequently, the design of feedback controllers for such systems (aiming for, e.g., resonant frequency tracking or energy transfer rate regulation) is highly cumbersome and challenging since a linear time-invariant regulator is unable to bring the system to desired performance within the whole expected operation range. To cope with the modeling task, a reduced-order envelope model of a capacitor-fed resonant inverter feeding a time-varying RLC load was recently proposed by the authors. In this paper, this model is further simplified and split into linear and nonlinear parts, allowing the employment of a combination of feedback linearizing (nonlinear) action with a linear time-invariant regulator to form a nonlinear control structure allowing the attainment of resonant frequency tracking within a wide operation range. The proposed controller design methodology is accurately validated by multiple time-domain simulations. Full article
(This article belongs to the Special Issue Advanced Technologies in Actuators for Control Systems)
Show Figures

Figure 1

21 pages, 1303 KB  
Article
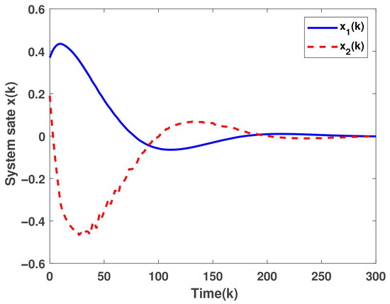
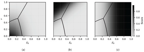
Steady-State Disturbance-Rejection Controllability for LTI Systems with Rigid-Body Mode
by Haemin Lee and Jinseong Park
Actuators 2025, 14(12), 589; https://doi.org/10.3390/act14120589 - 3 Dec 2025
Viewed by 217
Abstract
Controllability metrics based on system Gramians have been widely adopted to provide quantitative measures of the degree of controllability (DoC) and the disturbance rejection capability (DoDR) of dynamical systems. While steady-state Gramian formulations offer closed-form tractability, they are not applicable when rigid-body modes [...] Read more.
Controllability metrics based on system Gramians have been widely adopted to provide quantitative measures of the degree of controllability (DoC) and the disturbance rejection capability (DoDR) of dynamical systems. While steady-state Gramian formulations offer closed-form tractability, they are not applicable when rigid-body modes are present, as the associated poles at the origin cause the conventional Gramians to diverge. This paper presents a novel steady-state DoDR metric for linear time-invariant systems with a rigid-body mode. By block-diagonalizing the dynamics through a similarity transformation and analyzing the asymptotic behavior of the Gramian matrices, we derive an exact closed-form expression for the steady-state DoDR. The resulting formulation is numerically stable and enables systematic evaluation of disturbance-rejection capability even in the presence of a rigid-body mode. The proposed metric is validated using a mass–spring–damper chain model, where its effectiveness is demonstrated in actuator placement problems. The results show that the metric not only remains computationally well-posed but also provides physically meaningful interpretations consistent with modal characteristics. This study establishes a foundation for extending disturbance-rejection metrics to systems with multiple rigid-body modes, thereby broadening the applicability of Gramian-based controllability analysis. Full article
Show Figures

Figure 1

18 pages, 4274 KB  
Article
Route-Preview Adaptive Model Predictive Motion Cueing for Driving Simulators
by Xue Jiang, Binghao Zhang, Xiafei Chen, Hai Zeng and Lijie Zhang
Actuators 2025, 14(12), 588; https://doi.org/10.3390/act14120588 - 2 Dec 2025
Viewed by 152
Abstract
Motion cueing algorithm (MCA) aims to reproduce the dynamic motion experience of real vehicles for users of driving simulators. Under rough or irregular road conditions, vehicles are subjected to severe shocks and vibrations. However, due to the inherent response delay and limited capability [...] Read more.
Motion cueing algorithm (MCA) aims to reproduce the dynamic motion experience of real vehicles for users of driving simulators. Under rough or irregular road conditions, vehicles are subjected to severe shocks and vibrations. However, due to the inherent response delay and limited capability of motion platforms in reproducing high-frequency components, conventional MCA often suffers from slow response and poor tracking accuracy. This mismatch leads to dynamic inconsistency between the visual feedback and the motion cues provided to the driver, which can easily induce discomfort or even aggravate simulator sickness. To address these issues, this study proposes a route-preview MCA based on adaptive model predictive control (RPAMPC). A CNN–LSTM-based vehicle trajectory prediction model is developed by integrating convolutional and recurrent neural networks to exploit forward terrain information. Subsequently, a motion cueing prediction model incorporating actuator stroke and velocity states is formulated, and an AMPC-based MCA is designed to optimize the simulator platform motion under physical constraints. Experimental results on a Stewart motion simulation platform demonstrate that, compared with traditional MCA, the proposed algorithm achieves higher-quality motion cues and significantly reduces sensory errors under complex road conditions. Full article
(This article belongs to the Section Actuators for Surface Vehicles)
Show Figures

Figure 1

22 pages, 3153 KB  
Review
A Review of Robot-Assisted Needle-Insertion Approaches in Corneal Surgeries
by Eliana-Ruobing Zhang, Andres C. Ramos, Giacomo Beschi, Guillermo Rocha and Amir Hooshiar
Actuators 2025, 14(12), 587; https://doi.org/10.3390/act14120587 - 2 Dec 2025
Viewed by 332
Abstract
Ophthalmic surgery requires micrometer-level precision due to the eye’s delicate anatomy, yet manual limitations and restricted 3D visualization make absolute accuracy challenging, driving interest in robotic and Artificial Intelligence technologies to enhance safety and precision. This is a narrative review of experimental and [...] Read more.
Ophthalmic surgery requires micrometer-level precision due to the eye’s delicate anatomy, yet manual limitations and restricted 3D visualization make absolute accuracy challenging, driving interest in robotic and Artificial Intelligence technologies to enhance safety and precision. This is a narrative review of experimental and published studies on PubMed and Open Evidence to review the current advances, challenges, and translational potential of robotic-assisted needle insertion in corneal surgery. Topics include robotic corneal surgery platforms such as the da Vinci and custom microsurgical robots, telemanipulation, intraoperative optical coherence tomography (iOCT), and reinforcement learning applications. Recent advancements in the field have demonstrated enhanced needle insertion precision, tremor elimination, and improved visualization of needle trajectory in corneal procedures, including corneal lacerations, pterygium repairs and penetrating keratoplasties (PKs). Nonetheless, significant limitations in the state of the art persist, particularly concerning the integration of robotic systems into clinical practice in in vivo settings. Our results indicate that current studies are mostly conducted in an ex vivo setting, which introduces inherent biases and reduces the generalizability of findings to clinical practice. Additionally, the majority of these studies involve small sample sizes, limiting statistical power and the ability to draw robust conclusions. Together, these limitations highlight the need for larger, well-designed in vivo studies to validate and expand upon existing findings. This review bridges experimental innovation and clinical application, highlighting strategies to overcome current barriers in robotic corneal surgery. Full article
Show Figures

Figure 1

15 pages, 4041 KB  
Article
Bearing-Based Formation Control of Multi-UAV Systems with Conditional Wind Disturbance Utilization
by Qin Wang, Yuhang Shen, Yanmeng Zhang and Zhenqi Pan
Actuators 2025, 14(12), 586; https://doi.org/10.3390/act14120586 - 2 Dec 2025
Viewed by 239
Abstract
This paper investigates bearing-based formation control of multiple unmanned aerial vehicles (UAVs) flying in low-altitude wind fields. In such environments, time-varying wind disturbances can distort the formation geometry, enlarge bearing errors, and even induce potential collisions among neighboring UAVs, yet they also contain [...] Read more.
This paper investigates bearing-based formation control of multiple unmanned aerial vehicles (UAVs) flying in low-altitude wind fields. In such environments, time-varying wind disturbances can distort the formation geometry, enlarge bearing errors, and even induce potential collisions among neighboring UAVs, yet they also contain components that can be beneficial for the formation motion. Conventional disturbance compensation methods treat wind as a purely harmful factor and aim to reject it completely, which may sacrifice responsiveness and energy efficiency. To address this issue, we propose a pure bearing-based formation control framework with Conditional Disturbance Utilization (CDU). First, a real-time disturbance observer is designed to estimate the wind-induced disturbances in both translational and rotational channels. Then, based on the estimated disturbances and the bearing-dependent potential function, CDU indicators are constructed to judge whether the current disturbance component is beneficial or detrimental with respect to the formation control objective. These indicators are embedded into the bearing-based formation controller so that favorable wind components are exploited to accelerate formation convergence, whereas adverse components are compensated. Using an angle-rigid formation topology and a Lyapunov-based analysis, we prove that the proposed CDU-based controller guarantees global asymptotic stability of the desired formation. Simulation results on triangular and hexagonal formations under complex wind disturbances show that the proposed method achieves faster convergence and improved responsiveness compared with traditional disturbance observer-based control, while preserving formation stability and safety. Full article
(This article belongs to the Section Aerospace Actuators)
Show Figures

Figure 1

15 pages, 15023 KB  
Article
Soft MRE Gripper: Preliminary Study
by Denys Gutenko, Janusz Gołdasz, Bogdan Sapiński and Paweł Orkisz
Actuators 2025, 14(12), 585; https://doi.org/10.3390/act14120585 - 2 Dec 2025
Viewed by 280
Abstract
Soft robotics focuses on the imitation of the work of living organisms and mostly utilizes soft deformable materials for actuation or object manipulation tasks. Soft robots or grippers can be used for tasks which are beyond the reach of conventional rigid body ones. [...] Read more.
Soft robotics focuses on the imitation of the work of living organisms and mostly utilizes soft deformable materials for actuation or object manipulation tasks. Soft robots or grippers can be used for tasks which are beyond the reach of conventional rigid body ones. Recently, soft flexible robotic grippers have attracted research and engineering interest. A variety of materials and actuation technologies incl. magnetorheological (MR) materials have been used for developing grippers for grasping and object manipulation purposes. In this proof-of-concept study, the authors propose a magnetorheological elastomer (MRE) based gripper concept that deforms when subjected to magnetic field, thus adapting to objects of various shapes and sizes. With the prototype, a reduction in the closing area by a factor of four was achieved. To realize the assumed goals, a prototype of the gripper was designed, built, and tested, and its behaviour was evaluated, focusing on its adaptability and identification of the opening/closing current levels. Moreover, a contactless CV (computer vision)-based method was developed for the purpose of assessment of the prototype’s operation. The experiments involved the handling of cylindrical and cubic objects, respectively. The experimental results indicate that the operation is repeatable, and with no visible degradation of the flexible casing. Full article
Show Figures

Figure 1

20 pages, 7305 KB  
Article
Fast Electrical Activation of Shape Memory Alloy Spring Actuators: Sub-Second Response Characterization and Performance Optimization
by Stefano Rodinò, Matteo Chiodo, Antonio Corigliano, Giuseppe Rota and Carmine Maletta
Actuators 2025, 14(12), 584; https://doi.org/10.3390/act14120584 - 2 Dec 2025
Viewed by 352
Abstract
Background: Shape memory alloy spring actuators offer significant potential for advanced actuation systems in exoskeletons, medical devices, and robotics, but adoption has been limited by slow activation speeds and insufficient design guidelines for achieving rapid response times while maintaining structural integrity. Objective: This [...] Read more.
Background: Shape memory alloy spring actuators offer significant potential for advanced actuation systems in exoskeletons, medical devices, and robotics, but adoption has been limited by slow activation speeds and insufficient design guidelines for achieving rapid response times while maintaining structural integrity. Objective: This study aimed to establish comprehensive design parameters for nickel–titanium spring actuators capable of achieving sub-second activation times through systematic experimental characterization and performance optimization. Methods: Nine different nickel–titanium spring configurations with wire diameters ranging from 0.5 to 0.8 mm and spring indices from 6 to 8 were systematically evaluated using differential scanning calorimetry for thermal characterization, mechanical testing for material properties, high-current electrical activation studies spanning 5–11 A, infrared thermal distribution analysis, and laser displacement sensing for dynamic response measurement. Results: Dynamic testing achieved activation times below 1 s for currents exceeding 5 A, with maximum displacement recoveries reaching 600–800% strain recovery, while springs with intermediate spring index values of 6.5–7.5 provided optimal balance between force output and displacement range, and optimal activation involved moderate current levels of 5–7 A for thin wires and 8–11 A for thick wires. Conclusions: Systematic geometric optimization combined with controlled high-current density activation protocols enables rapid actuation response while maintaining structural integrity, providing essential design parameters for engineering applications requiring fast, reliable actuation cycles. Full article
Show Figures

Figure 1

17 pages, 1412 KB  
Article
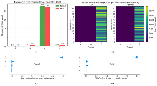
Fault Diagnosis in Robot Drive Systems Using Data-Driven Dynamics Learning
by Heonkook Kim
Actuators 2025, 14(12), 583; https://doi.org/10.3390/act14120583 - 2 Dec 2025
Viewed by 293
Abstract
Reliable fault diagnosis in industrial robots is essential for minimizing downtime and ensuring safe operations. Conventional model-based methods often require detailed system knowledge and struggle with unmodeled dynamics, while purely data-driven approaches can achieve good accuracy but may not fully exploit the underlying [...] Read more.
Reliable fault diagnosis in industrial robots is essential for minimizing downtime and ensuring safe operations. Conventional model-based methods often require detailed system knowledge and struggle with unmodeled dynamics, while purely data-driven approaches can achieve good accuracy but may not fully exploit the underlying structure of robot motion. In this study, we propose a feature-informed machine learning framework for fault detection in robotic manipulators. A multi-layer perceptron (MLP) is trained to estimate robot dynamics from joint states, and SHapley Additive exPlanations (SHAP) values are computed to derive discriminative feature representations. These attribution patterns, or SHAP fingerprints, serve as enhanced descriptors that enable reliable classification between normal and faulty operating conditions. Experiments were conducted using real-world data collected from industrial robots, covering both motor brake faults and reducer anomalies. The proposed SHAP-informed framework achieved nearly perfect classification performance (0.998 ± 0.003), significantly outperforming baseline classifiers that relied only on raw kinematic features (0.925 ± 0.002). Moreover, the SHAP-derived representations revealed fault-consistent patterns, such as enhanced velocity contributions under frictional effects and joint-specific shifts for reducer faults. The results demonstrate that the proposed method provides high diagnostic accuracy and robust generalization, making it well suited for safety-critical applications and predictive maintenance in industrial robotics. Full article
(This article belongs to the Special Issue Actuation and Sensing of Intelligent Soft Robots)
Show Figures

Figure 1

39 pages, 16826 KB  
Review
Recent Developments in Pneumatic Artificial Muscle Actuators
by Aliya Zhagiparova, Vladimir Golubev and Daewon Kim
Actuators 2025, 14(12), 582; https://doi.org/10.3390/act14120582 - 1 Dec 2025
Viewed by 627
Abstract
Pneumatic Artificial Muscles (PAMs) are soft actuators that mimic the contractile behavior of biological muscles through fluid-driven deformation. Originating from McKibben’s 1950s braided design, PAMs have evolved into a diverse class of actuators, offering high power-to-weight ratios, compliance, and safe human interaction, with [...] Read more.
Pneumatic Artificial Muscles (PAMs) are soft actuators that mimic the contractile behavior of biological muscles through fluid-driven deformation. Originating from McKibben’s 1950s braided design, PAMs have evolved into a diverse class of actuators, offering high power-to-weight ratios, compliance, and safe human interaction, with applications spanning rehabilitation, assistive robotics, aerospace, and adaptive structures. This review surveys recent developments in actuation mechanisms and applications of PAMs. Traditional designs, including braided, pleated, netted, and embedded types, remain widely used but face challenges such as hysteresis, limited contraction, and nonlinear control. To address these limitations, researchers have introduced non-traditional mechanisms such as vacuum-powered, inverse, foldable, origami-based, reconfigurable, and hybrid PAMs. These innovations improve the contraction range, efficiency, control precision, and integration into compact or untethered systems. This review also highlights applications beyond conventional biomechanics and automation, including embodied computation, deployable aerospace systems, and adaptive architecture. Collectively, these advances demonstrate PAMs’ expanding role as versatile soft actuators. Ongoing research is expected to refine material durability, control strategies, and multifunctionality, enabling the next generation of wearable devices, soft robots, and energy-efficient adaptive systems. Full article
(This article belongs to the Special Issue Advanced Technologies in Soft Actuators—2nd Edition)
Show Figures

Figure 1

17 pages, 2612 KB  
Article
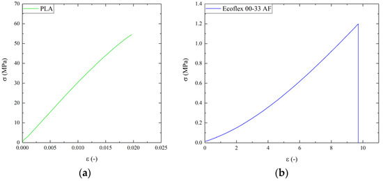
Twisted and Coiled Artificial Muscle-Based Dynamic Fixing System for Wearable Robotics Applications
by Simone Leone, Salvatore Garofalo, Chiara Morano, Michele Perrelli, Luigi Bruno and Giuseppe Carbone
Actuators 2025, 14(12), 581; https://doi.org/10.3390/act14120581 - 1 Dec 2025
Viewed by 317
Abstract
Wearable robotic devices for rehabilitation and assistive applications face a critical challenge: discomfort induced by prolonged pressure at the human–robot interface. Conventional attachment systems with static straps or rigid cuffs frequently exceed pain tolerance thresholds, limiting clinical acceptance and patient adherence. This study [...] Read more.
Wearable robotic devices for rehabilitation and assistive applications face a critical challenge: discomfort induced by prolonged pressure at the human–robot interface. Conventional attachment systems with static straps or rigid cuffs frequently exceed pain tolerance thresholds, limiting clinical acceptance and patient adherence. This study presents a novel dynamic pressure modulation system using thermally activated Twisted and Coiled Artificial Muscles (TCAMs). The system integrates a lightweight lattice structure (0.1 kg) with biocompatible silicone coating incorporating two TCAMs fabricated from silver-coated nylon 6,6 fibers (Shieldex 235/36 × 4 HCB). Electrothermal activation via 2 A constant current induces axial contraction, dynamically regulating circumferential pressure from 0.05 kgf/cm2 to 0.50 kgf/cm2 within physiological comfort ranges. Experimental validation on a wrist-worn prototype demonstrates precise pressure control, rapid response (5–10 s), and thermal safety through 8 mm Ecoflex insulation. The system enables on-demand interface stiffening during robotic actuation and controlled pressure release during rest periods, significantly enhancing comfort and device tolerability. This approach represents a promising solution for clinically viable wearable robotic devices supporting upper limb rehabilitation and activities of daily living. Full article
(This article belongs to the Special Issue Recent Advances in Soft Actuators, Robotics and Intelligence)
Show Figures

Figure 1

17 pages, 2899 KB  
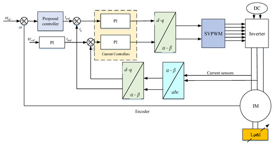
Article
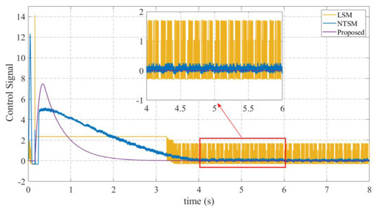
Higher-Order PID-Nested Nonsingular Terminal Sliding Mode Control for Induction Motor Speed Servo Systems
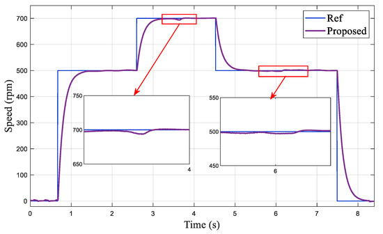
by Nguyen Minh Trieu, Nguyen Tan No, Truong Nguyen Vu and Nguyen Truong Thinh
Actuators 2025, 14(12), 580; https://doi.org/10.3390/act14120580 - 30 Nov 2025
Viewed by 150
Abstract
This paper presents an approach to the velocity control loop of induction motor drives utilizing the Higher-Order PID-Nested Nonsingular Terminal Sliding Mode (PID-NTSM) method. Here, the PID-NTSM sliding manifold is formulated by the incorporation of both derivative and integral errors of states into [...] Read more.
This paper presents an approach to the velocity control loop of induction motor drives utilizing the Higher-Order PID-Nested Nonsingular Terminal Sliding Mode (PID-NTSM) method. Here, the PID-NTSM sliding manifold is formulated by the incorporation of both derivative and integral errors of states into the conventional nonsingular terminal sliding mode surface (NTSM). In this manner, the control signals take the higher-order sliding mode control law, obtained by multiple integrals. In this way, such signals are continuous, and the sliding manifold is obtained in finite time; the system’s states asymptotically converge chattering-free to zero at a much faster response time and higher tracking precision while maintaining inherited robustness characteristics. The effectiveness of the proposed method is comprehensively validated both numerically and experimentally. Full article
(This article belongs to the Section Control Systems)
Show Figures

Figure 1

Previous Issue
Back to TopTop