Ensuring Safe Physical HRI: Integrated MPC and ADRC for Interaction Control
Abstract
1. Introduction
2. Control Framework
2.1. Robot Rigid-Body Dynamics
2.2. Impedance Control
2.3. Active Disturbance Rejection Control
3. Model Predictive Impedance Controller
3.1. Optimization Problem
3.2. Constraints
4. Simulation
5. Experiment
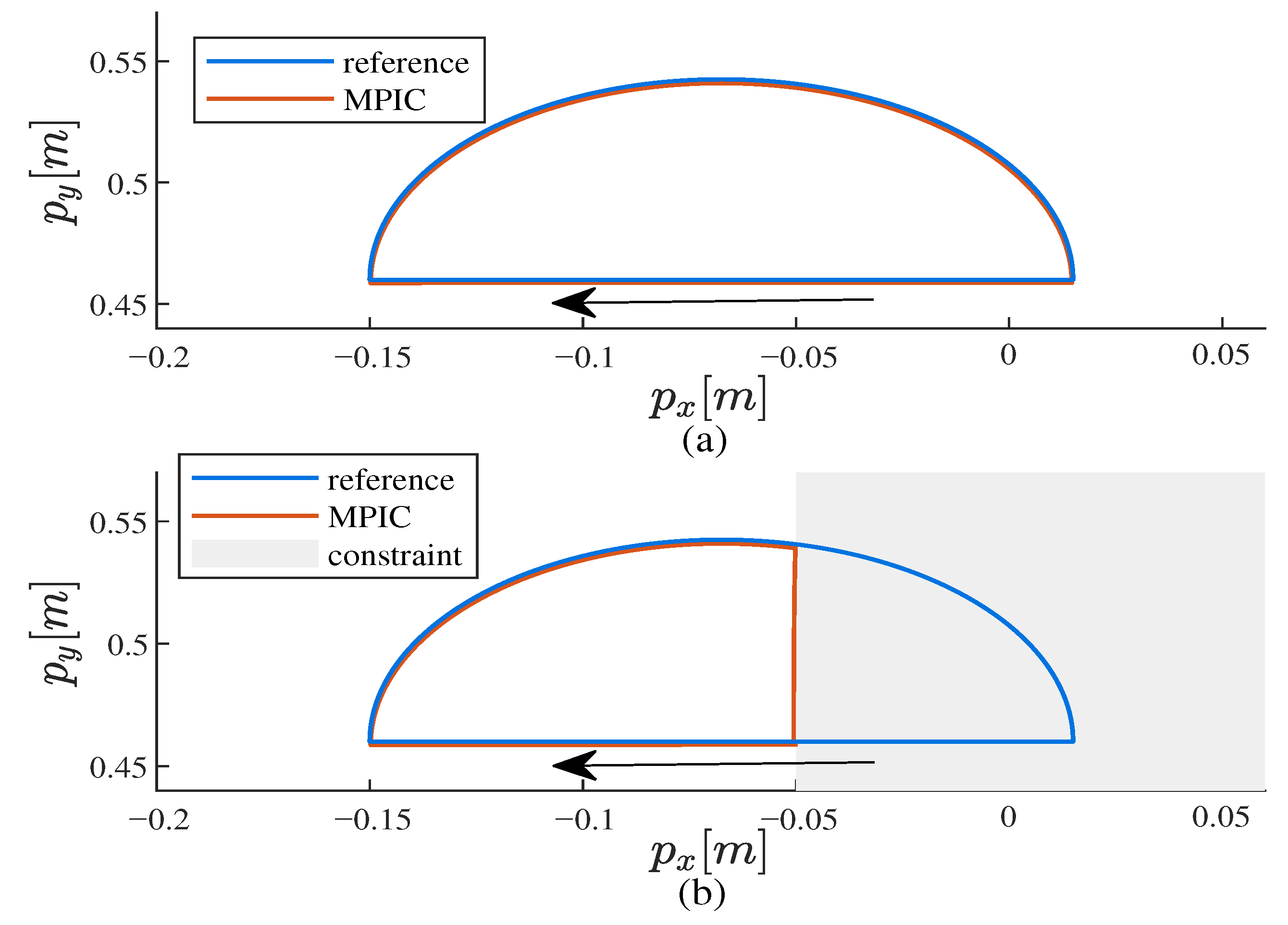
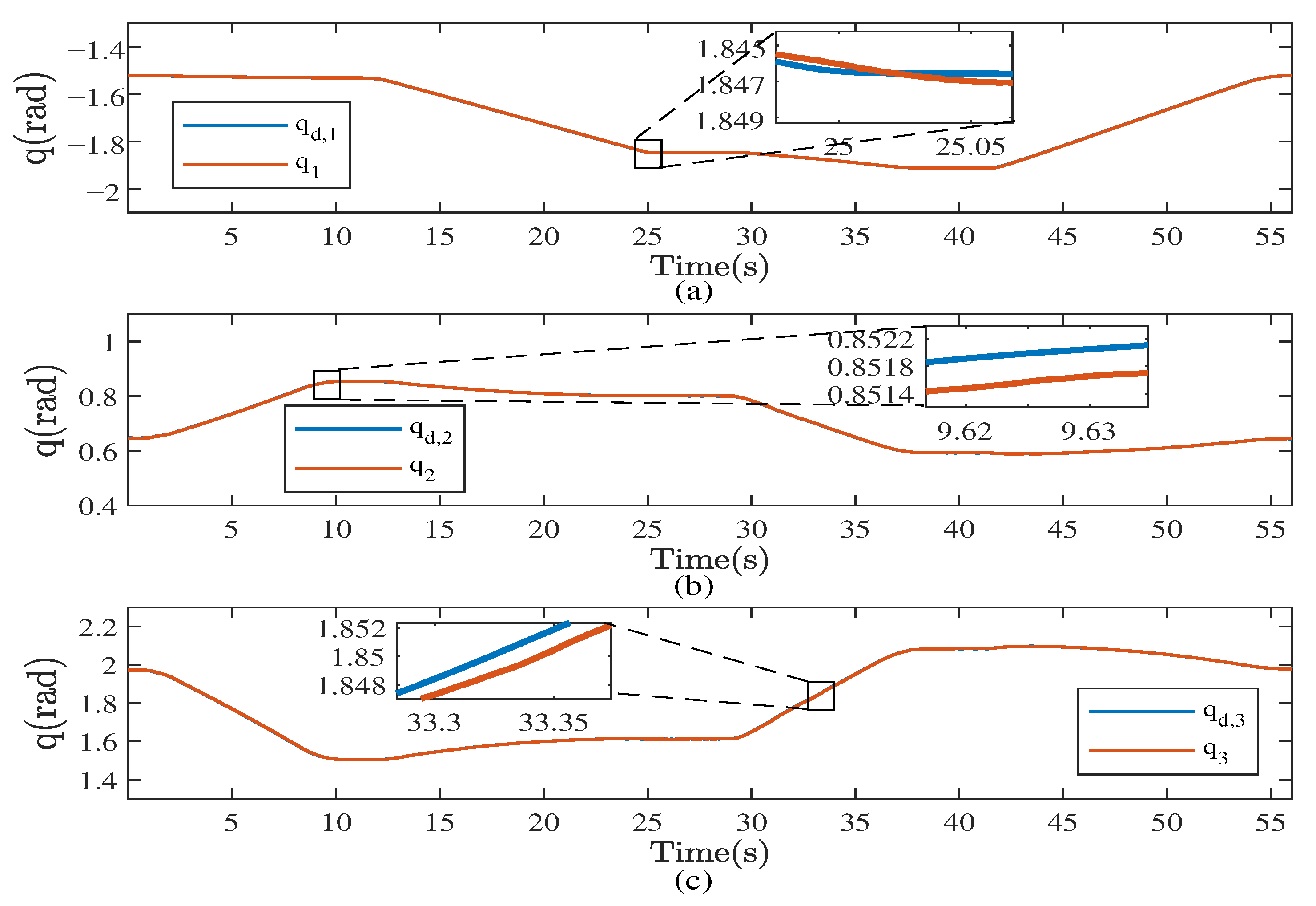
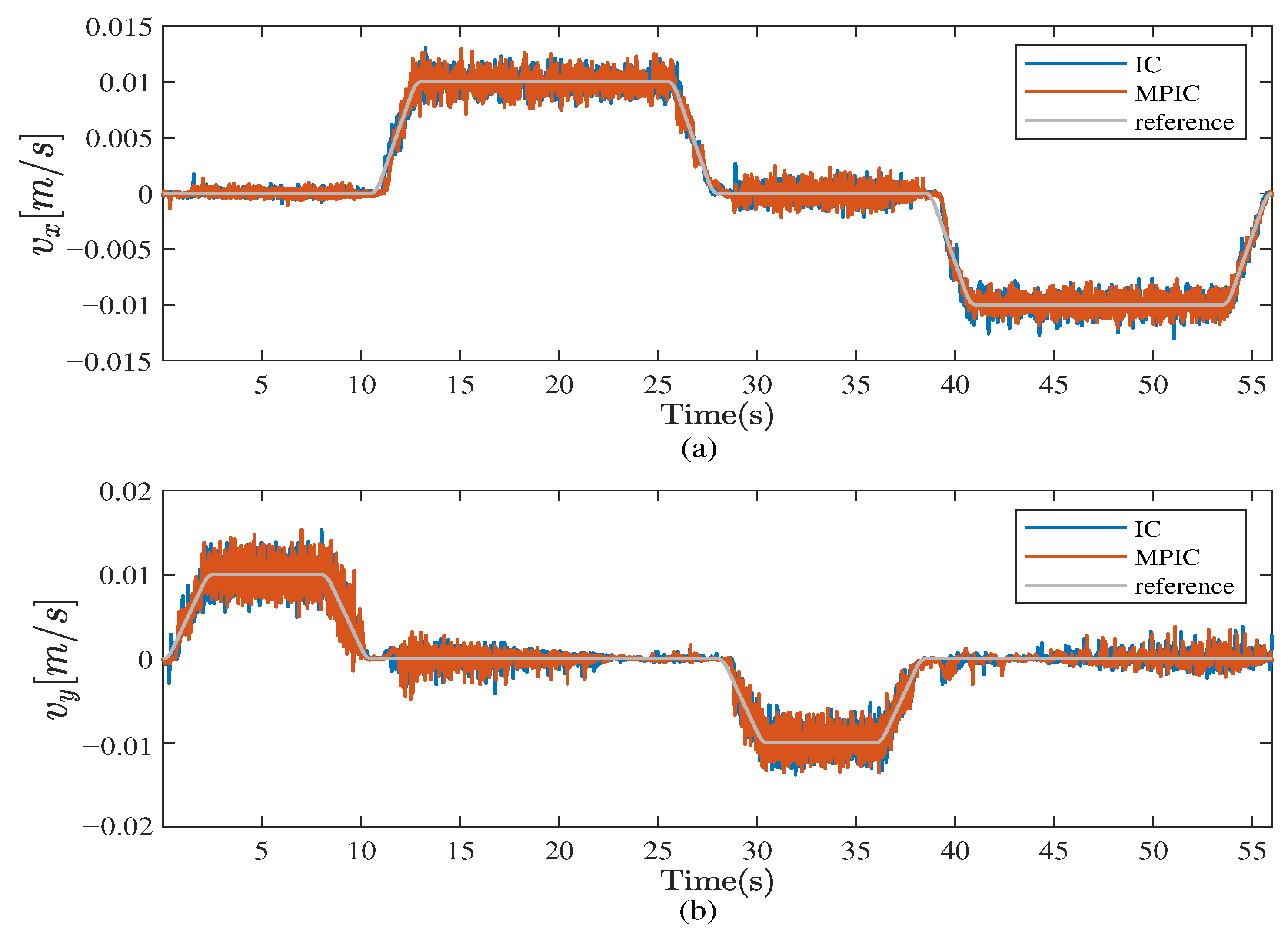
5.1. Trajectory Tracking Experiment Under Without Constraints
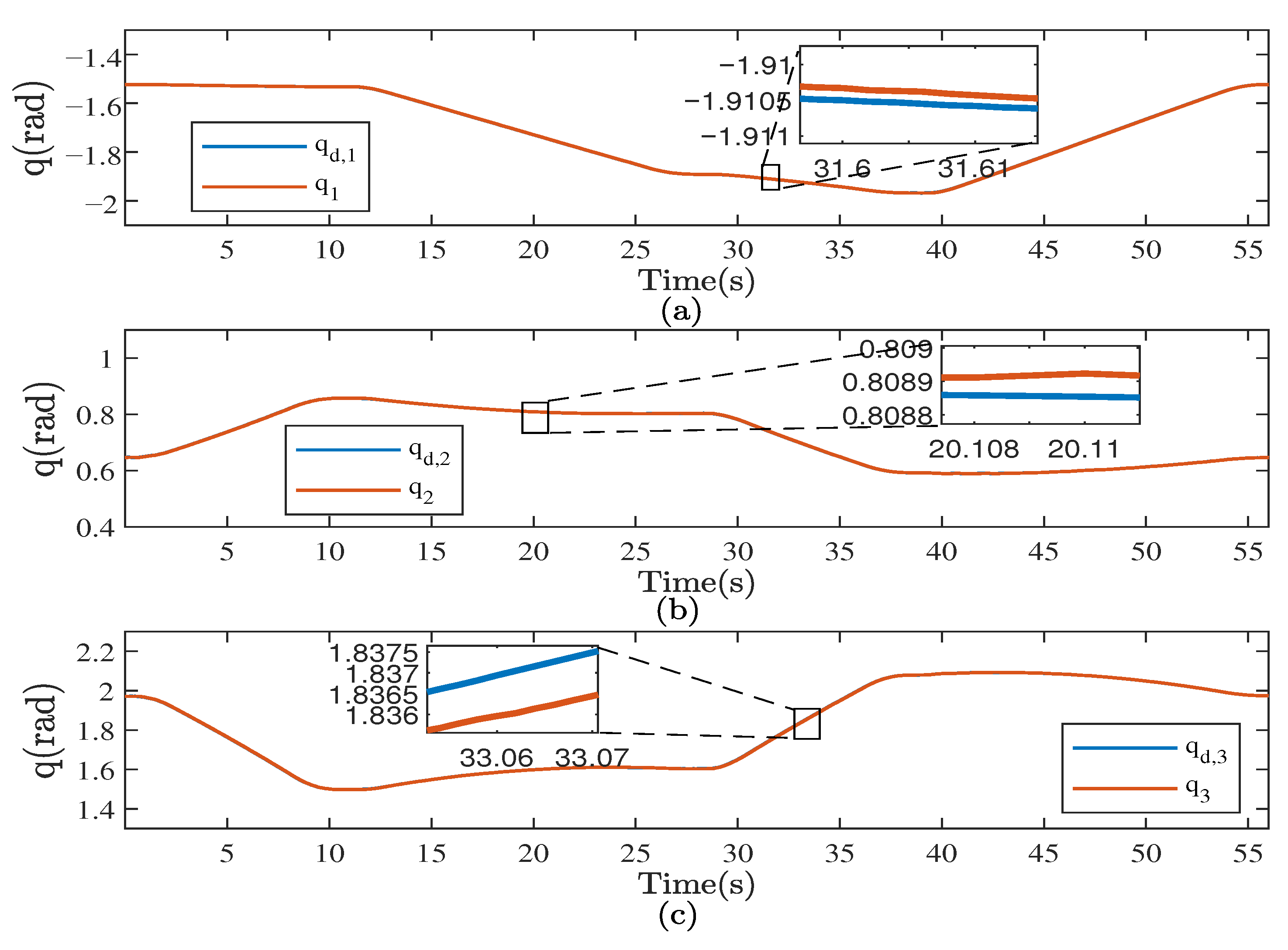
5.2. Trajectory Tracking Experiment Under Position Constraint
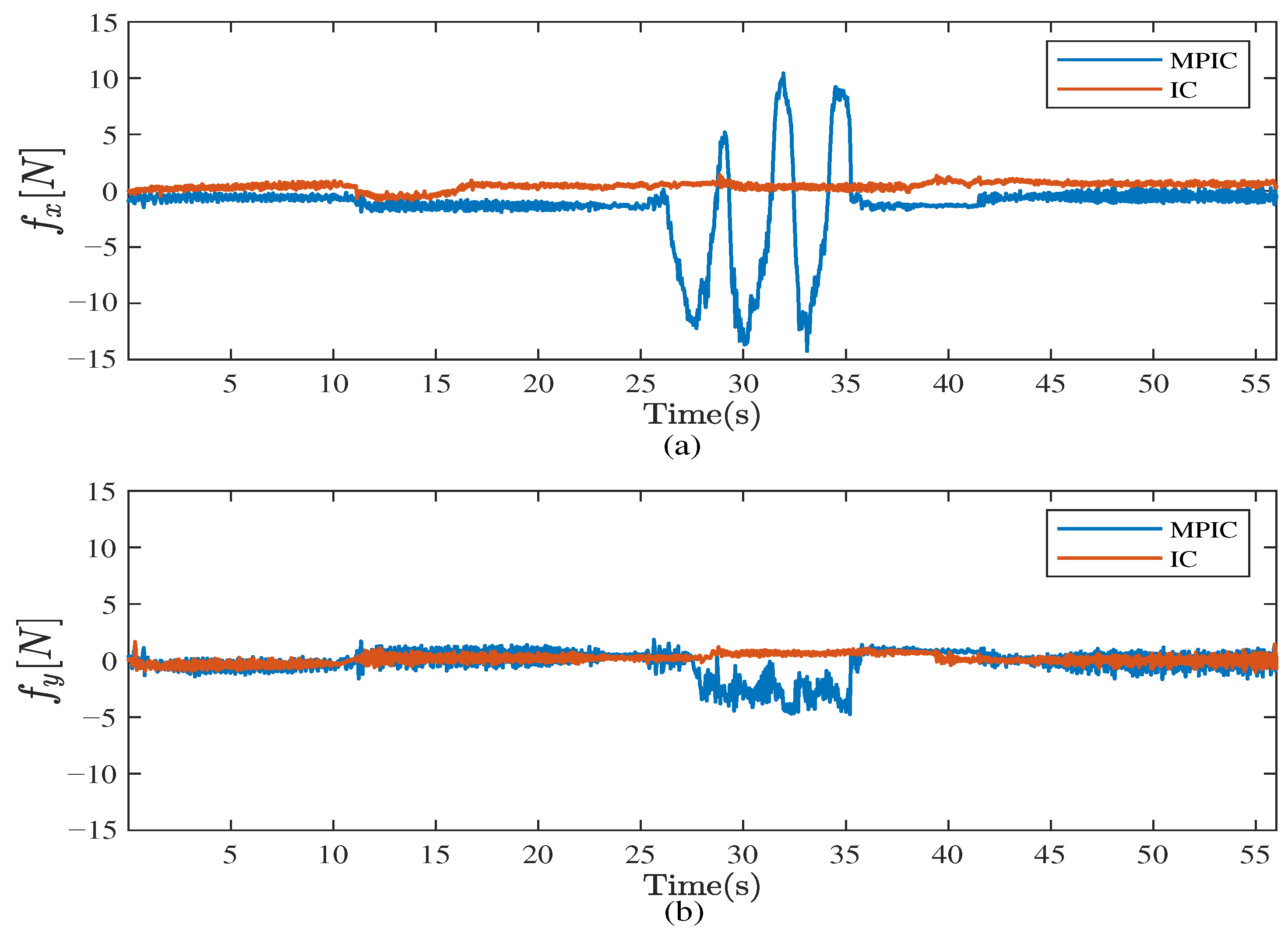
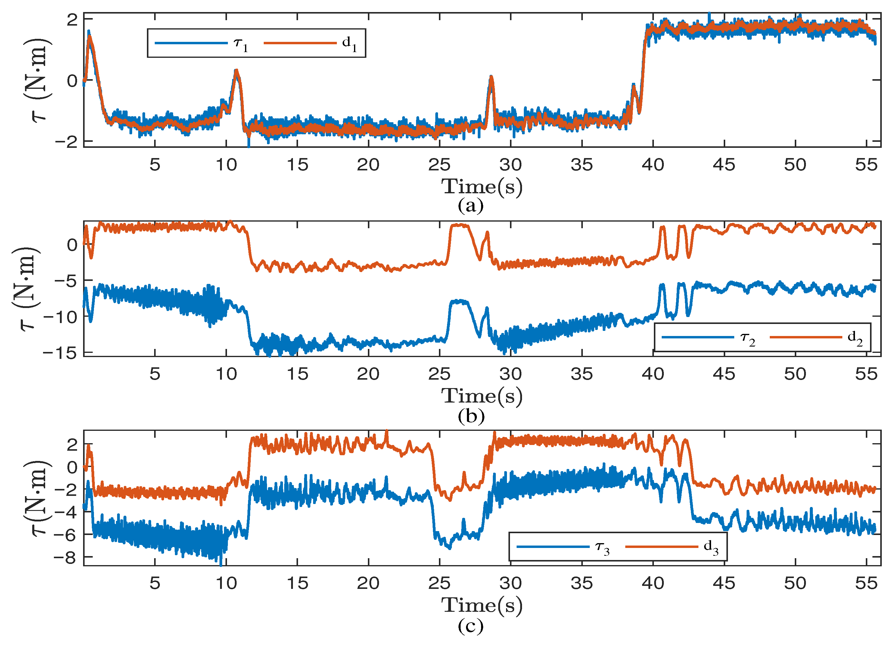
5.3. Human–Robot Interaction Experiment Under Position Constraint
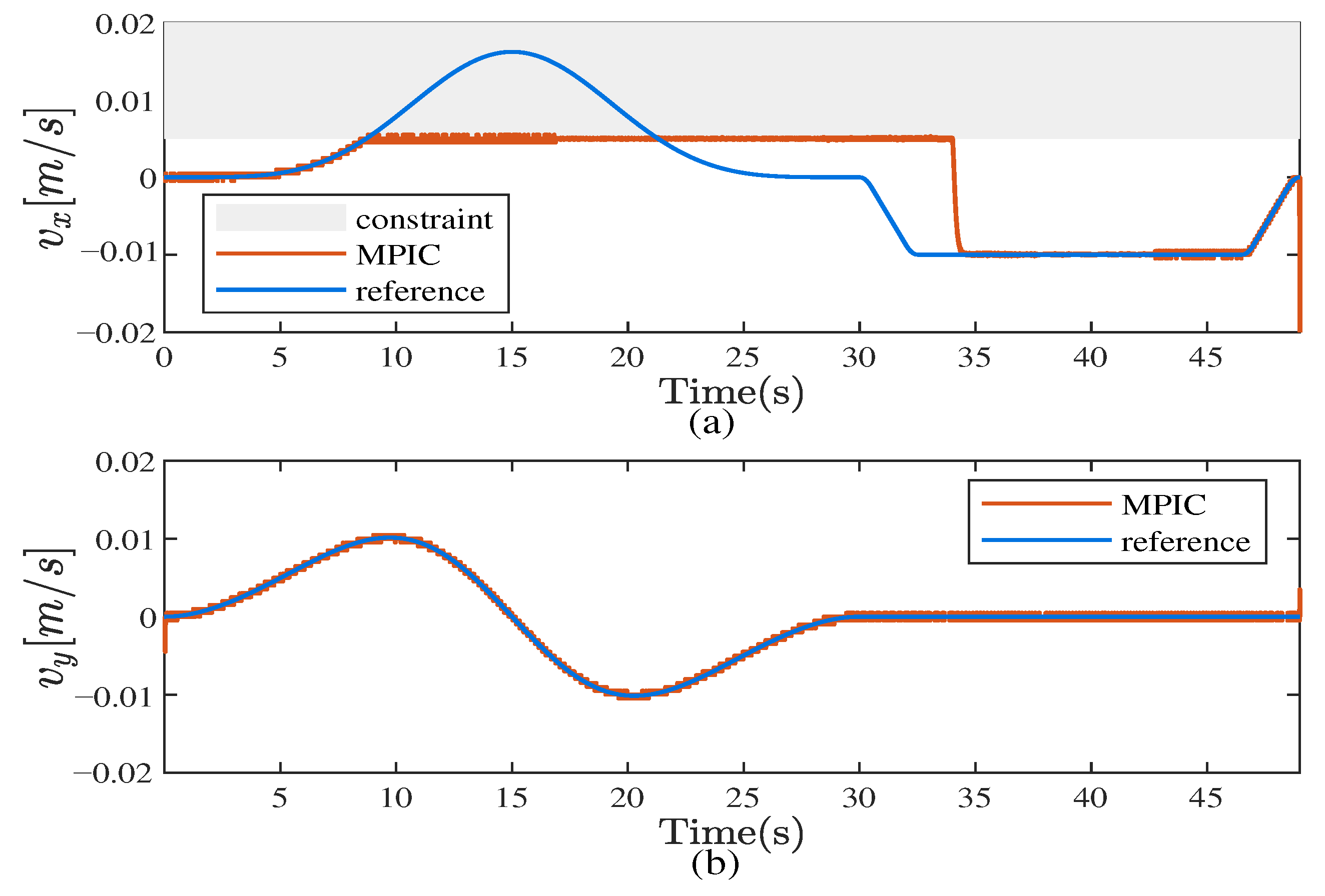
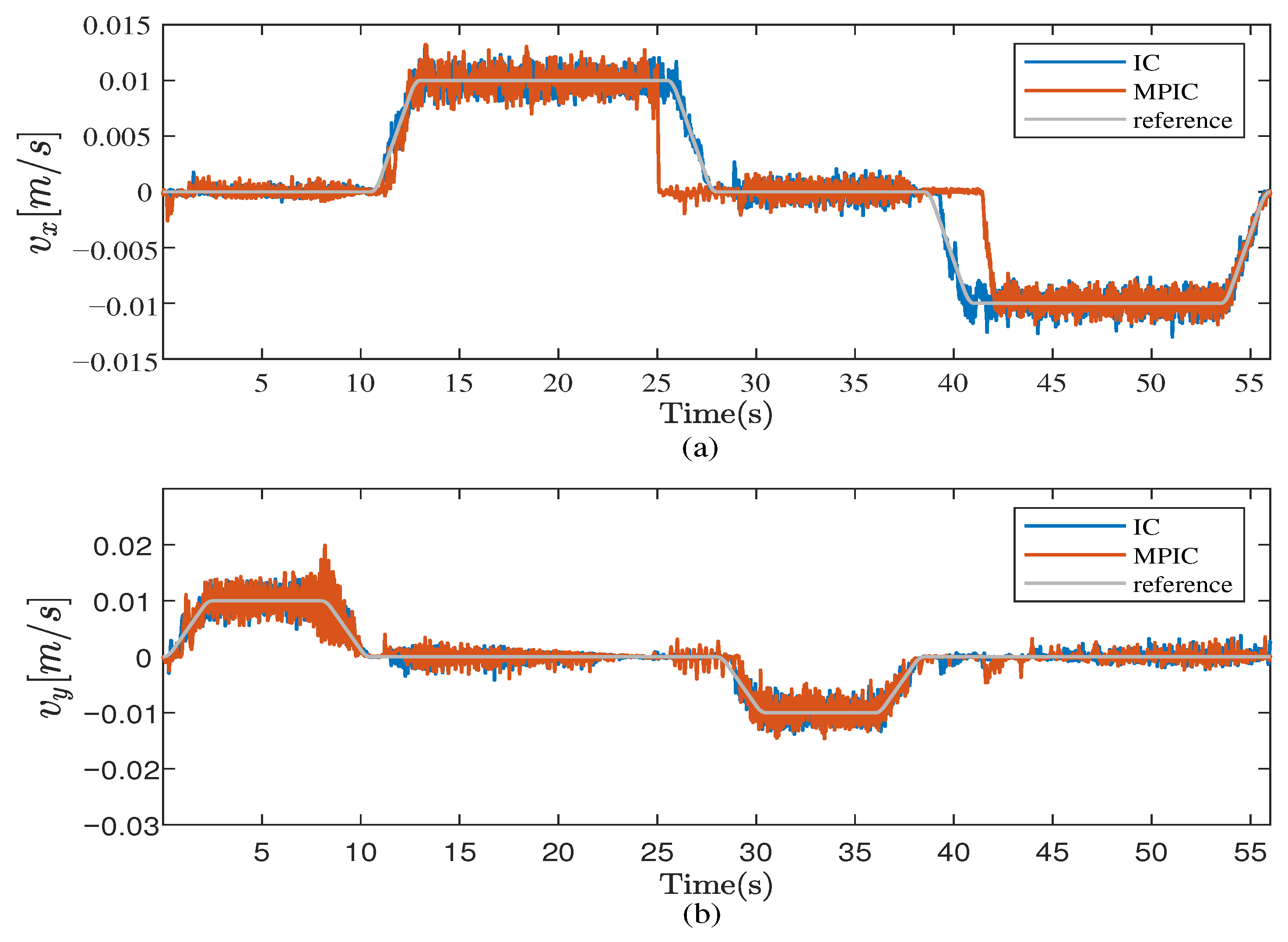
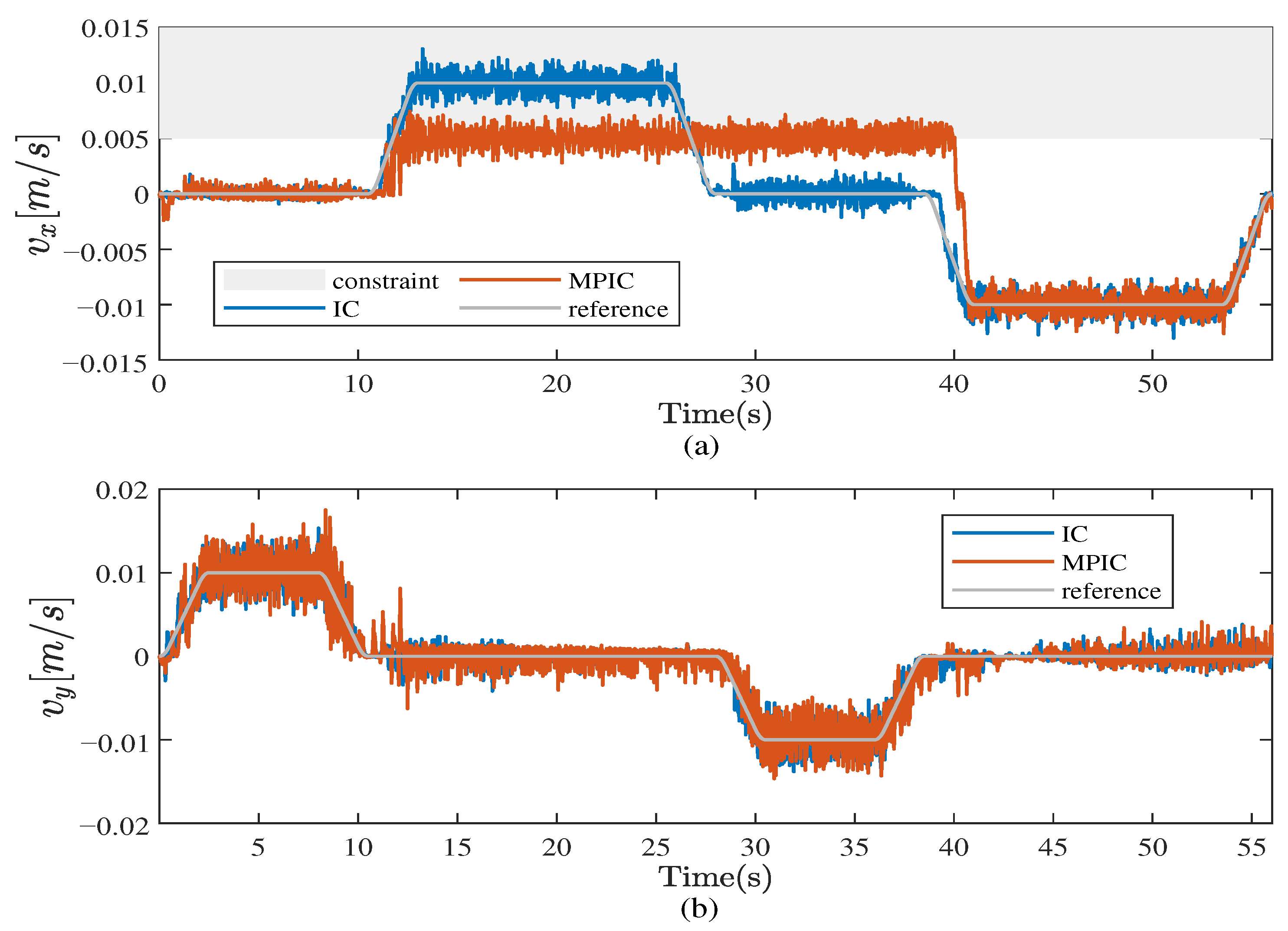
5.4. Trajectory Tracking Experiment Under Velocity Constraint
6. Discussion
7. Conclusions
Author Contributions
Funding
Institutional Review Board Statement
Informed Consent Statement
Data Availability Statement
Conflicts of Interest
Abbreviations
| MPIC | Model predictive impedance controller |
| HRI | Human–robot interaction |
| pHRI | Physical human–robot interaction |
| ADRC | Active disturbance rejection control |
| TD | Tracking differentiator |
| ESO | extended state observer |
| NLSEF | Nonlinear state error feedback |
| Nomenclature | |
| The dimension of is | |
| The acceleration error term | |
| The state error term | |
| An identity matrix |
Appendix A
Stability Analysis of the Active Disturbance Rejection Control
References
- Sadrfaridpour, B.; Wang, Y. Collaborative Assembly in Hybrid Manufacturing Cells: An Integrated Framework for Human–Robot Interaction. IEEE Trans. Autom. Sci. Eng. 2018, 15, 1178–1192. [Google Scholar] [CrossRef]
- Jiang, S.; Li, H.; Ren, R.; Zhou, Y.; Wang, Z.; He, B. Kaiwu: A Multimodal Manipulation Dataset and Framework for Robot Learning and Human-Robot Interaction. IEEE Robot. Autom. Lett. 2025, 10, 11482–11489. [Google Scholar] [CrossRef]
- Campagna, G.; Lagomarsino, M.; Lorenzini, M.; Chrysostomou, D.; Rehm, M.; Ajoudani, A. Estimating Trust in Human-Robot Collaboration Through Behavioral Indicators and Explainability. IEEE Robot. Autom. Lett. 2025, 10, 10218–10225. [Google Scholar] [CrossRef]
- Collins, J.; Robson, M.; Yamada, J.; Sridharan, M.; Janik, K.; Posner, I. RAMP: A Benchmark for Evaluating Robotic Assembly Manipulation and Planning. IEEE Robot. Autom. Lett. 2024, 9, 9–16. [Google Scholar] [CrossRef]
- Zhang, Q.; Hu, S.; Duan, J.; Qin, J.; Zhou, Y. A SAC-Bi-RRT Two-Layer Real-Time Motion Planning Approach for Robot Assembly Tasks in Unstructured Environments. Actuators 2025, 14, 59. [Google Scholar] [CrossRef]
- Shibata, K.; Dobashi, H. Development of a Versatile Robotic Hand Toward Jig-Less Assembly of a Shaft-Shaped Part. IEEE Robot. Autom. Lett. 2024, 9, 1222–1229. [Google Scholar] [CrossRef]
- Huang, S.; Yang, J.; Hu, P.; Wu, H.; Ning, X.; Gao, S. High Stiffness 6-DOF Dual-Arm Cooperative Robot and Its Application in Blade Polishing. IEEE Trans. Autom. Sci. Eng. 2024, 21, 5929–5941. [Google Scholar] [CrossRef]
- Jia, L.; Chen, K.; Liao, Z.; Qiu, A.; Cao, M. Adaptive Robust Impedance Control of Grinding Robots Based on an RBFNN and the Exponential Reaching Law. Actuators 2025, 14, 393. [Google Scholar] [CrossRef]
- Zhang, Y.; Yao, J.; Qian, C. Learning-Based Variable Admittance Control Combined with NMPC for Contact Force Tracking in Unknown Environments. Actuators 2025, 14, 323. [Google Scholar] [CrossRef]
- Cencen, A.; Verlinden, J.C.; Geraedts, J.M.P. Design Methodology to Improve Human–Robot Coproduction in Small- and Medium-Sized Enterprises. IEEE/ASME Trans. Mechatron. 2018, 23, 1092–1102. [Google Scholar] [CrossRef]
- An, T.; Wang, Y.; Liu, G.; Li, Y.; Dong, B. Cooperative Game-Based Approximate Optimal Control of Modular Robot Manipulators for Human–Robot Collaboration. IEEE Trans. Cybern. 2023, 53, 4691–4703. [Google Scholar] [CrossRef]
- Ma, W.; Duan, A.; Lee, H.-Y.; Zheng, P.; Navarro-Alarcon, D. Human-Aware Reactive Task Planning of Sequential Robotic Manipulation Tasks. IEEE Trans. Ind. Inf. 2025, 21, 2898–2907. [Google Scholar] [CrossRef]
- Yun, W.; Choi, K.; Kim, J.; Oh, S.; Chung, H.J. Low Impedance Rendering Toward Safe Human–Robot Interaction. In Proceedings of the 20th Annual ACM/IEEE International Conference on Human-Robot Interaction, HRI 2025, Melbourne, Australiam, 4–6 March 2025; pp. 1750–1753. [Google Scholar]
- Cao, R.; Cheng, L.; Li, H. Passive Model-Predictive Impedance Control for Safe Physical Human–Robot Interaction. IEEE Trans. Cogn. Dev. Syst. 2024, 16, 426–435. [Google Scholar] [CrossRef]
- Sharifi, M.; Zakerimanesh, A.; Mehr, J.K.; Torabi, A.; Mushahwar, V.K.; Tavakoli, M. Impedance Variation and Learning Strategies in Human–Robot Interaction. IEEE Trans. Cybern. 2022, 52, 6462–6475. [Google Scholar] [CrossRef] [PubMed]
- Choi, S.; Ha, S.; Kim, W. A Multi-Task Energy-Aware Impedance Controller for Enhanced Safety in Physical Human–Robot Interaction. IEEE Robot. Autom. Lett. 2025, 10, 1345–1352. [Google Scholar] [CrossRef]
- Oh, S.; Woo, H.; Kong, K. Frequency-Shaped Impedance Control for Safe Human–Robot Interaction in Reference Tracking Application. IEEE/ASME Trans. Mechatron. 2014, 19, 1907–1916. [Google Scholar] [CrossRef]
- Labrecque, P.D.; Haché, J.-M.; Abdallah, M.; Gosselin, C. Low-Impedance Physical Human–Robot Interaction Using an Active–Passive Dynamics Decoupling. IEEE Robot. Autom. Lett. 2016, 1, 938–945. [Google Scholar] [CrossRef]
- Ficuciello, F.; Villani, L.; Siciliano, B. Variable Impedance Control of Redundant Manipulators for Intuitive Human–Robot Physical Interaction. IEEE Trans. Robot. 2015, 31, 850–863. [Google Scholar] [CrossRef]
- Yu, X.; Li, B.; He, W.; Feng, Y.; Cheng, L.; Silvestre, C. Adaptive-Constrained Impedance Control for Human–Robot Co-Transportation. IEEE Trans. Cybern. 2022, 52, 13237–13249. [Google Scholar] [CrossRef]
- Luo, J.; Zhang, C.; Si, W.; Jiang, Y.; Yang, C.; Zeng, C. A Physical Human–Robot Interaction Framework for Trajectory Adaptation Based on Human Motion Prediction and Adaptive Impedance Control. IEEE Trans. Autom. Sci. Eng. 2025, 22, 5072–5083. [Google Scholar] [CrossRef]
- Li, Z.; Liu, J.; Huang, Z.; Peng, Y.; Pu, H.; Ding, L. Adaptive Impedance Control of Human–Robot Cooperation Using Reinforcement Learning. IEEE Trans. Ind. Electron. 2017, 64, 8013–8022. [Google Scholar] [CrossRef]
- Ma, Y.; Liu, X.; Zhang, T.; Wang, J.; Chen, L. Efficient and Accurate Start Point Guiding and Seam Tracking Method for Curve Weld Based on Structure Light. IEEE Trans. Instrum. Meas. 2021, 70, 3001310. [Google Scholar] [CrossRef]
- Li, H.Y.; Dharmawan, A.G.; Paranawithana, I.; Zhang, X. A Control Scheme for Physical Human–Robot Interaction Coupled with an Environment of Unknown Stiffness. J. Intell. Robot. Syst. 2020, 100, 165–182. [Google Scholar] [CrossRef]
- Lasota, P.A.; Fong, T.; Shah, J.A. A Survey of Methods for Safe Human–Robot Interaction. Found. Trends Robot. 2017, 5, 261–349. [Google Scholar] [CrossRef]
- Li, Z.; Wei, H.; Zhang, H.; Liu, C. A Variable Admittance Control Strategy for Stable and Compliant Human–Robot Physical Interaction. IEEE Robot. Autom. Lett. 2025, 10, 1138–1145. [Google Scholar] [CrossRef]
- Jin, Z.; Qin, D.; Liu, A.; Zhang, W.-A.; Yu, L. Model Predictive Variable Impedance Control of Manipulators for Adaptive Precision–Compliance Tradeoff. IEEE/ASME Trans. Mechatron. 2023, 28, 1174–1186. [Google Scholar] [CrossRef]
- Bednarczyk, M.; Omran, H.; Bayle, B. Model Predictive Impedance Control. In Proceedings of the 2020 IEEE International Conference on Robotics and Automation (ICRA), Paris, France, 31 May–31 August 2020; pp. 4702–4708. [Google Scholar]
- Qin, B.; Yan, H.; Zhang, H.; Wang, Y.; Yang, S.X. Enhanced Reduced-Order Extended State Observer for Motion Control of Differential Driven Mobile Robot. IEEE Trans. Cybern. 2021, 53, 1299–1310. [Google Scholar] [CrossRef]
- Sun, H.; Madonski, R.; Li, S.; Zhang, Y.; Xue, W. Composite Control Design for Systems with Uncertainties and Noise Using Combined Extended State Observer and Kalman Filter. IEEE Trans. Ind. Electron. 2021, 69, 4119–4128. [Google Scholar] [CrossRef]
- Fareh, R.; Khadraoui, S.; Abdallah, M.Y.; Baziyad, M.; Bettayeb, M. Active Disturbance Rejection Control for Robotic Systems: A Review. Mechatronics 2021, 80, 102671. [Google Scholar] [CrossRef]
- Hartley, E.N.; Maciejowski, J.M. Designing Output-Feedback Predictive Controllers by Reverse-Engineering Existing LTI Controllers. IEEE Trans. Autom. Control 2013, 58, 2934–2939. [Google Scholar] [CrossRef]
- Stellato, B.; Banjac, G.; Goulart, P.; Bemporad, A.; Boyd, S. OSQP: An Operator Splitting Solver for Quadratic Programs. In Proceedings of the 2018 UKACC 12th International Conference on Control (CONTROL), Sheffield, UK, 5–7 September 2018; p. 339. [Google Scholar]




















Disclaimer/Publisher’s Note: The statements, opinions and data contained in all publications are solely those of the individual author(s) and contributor(s) and not of MDPI and/or the editor(s). MDPI and/or the editor(s) disclaim responsibility for any injury to people or property resulting from any ideas, methods, instructions or products referred to in the content. |
© 2025 by the authors. Licensee MDPI, Basel, Switzerland. This article is an open access article distributed under the terms and conditions of the Creative Commons Attribution (CC BY) license (https://creativecommons.org/licenses/by/4.0/).
Share and Cite
Wang, G.; Lin, Z.; Min, F.; Li, D.; Liu, N. Ensuring Safe Physical HRI: Integrated MPC and ADRC for Interaction Control. Actuators 2025, 14, 608. https://doi.org/10.3390/act14120608
Wang G, Lin Z, Min F, Li D, Liu N. Ensuring Safe Physical HRI: Integrated MPC and ADRC for Interaction Control. Actuators. 2025; 14(12):608. https://doi.org/10.3390/act14120608
Chicago/Turabian StyleWang, Gao, Zhihai Lin, Feiyan Min, Deping Li, and Ning Liu. 2025. "Ensuring Safe Physical HRI: Integrated MPC and ADRC for Interaction Control" Actuators 14, no. 12: 608. https://doi.org/10.3390/act14120608
APA StyleWang, G., Lin, Z., Min, F., Li, D., & Liu, N. (2025). Ensuring Safe Physical HRI: Integrated MPC and ADRC for Interaction Control. Actuators, 14(12), 608. https://doi.org/10.3390/act14120608

