Journal Description
Marine Drugs
Marine Drugs
is the leading, peer-reviewed, open access journal on the research, development, and production of biologically and therapeutically active compounds from the sea. Marine Drugs is published monthly online by MDPI. Australia New Zealand Marine Biotechnology Society (ANZMBS) is affiliated with Marine Drugs and its members receive a discount on article processing charges.
- Open Access— free for readers, with article processing charges (APC) paid by authors or their institutions.
- High Visibility: indexed within Scopus, SCIE (Web of Science), PubMed, MEDLINE, PMC, Embase, PubAg, MarinLit, AGRIS, and other databases.
- Journal Rank: JCR - Q1 (Pharmacology and Pharmacy) / CiteScore - Q1 (Pharmacology, Toxicology and Pharmaceutics (miscellaneous))
- Rapid Publication: manuscripts are peer-reviewed and a first decision is provided to authors approximately 13.3 days after submission; acceptance to publication is undertaken in 2.4 days (median values for papers published in this journal in the first half of 2025).
- Recognition of Reviewers: reviewers who provide timely, thorough peer-review reports receive vouchers entitling them to a discount on the APC of their next publication in any MDPI journal, in appreciation of the work done.
- Journal Clusters-Pharmaceutical Science: Scientia Pharmaceutica, Marine Drugs, Pharmaceuticals, Pharmaceutics, Pharmacy, Future Pharmacology, Pharmacoepidemiology, Drugs and Drug Candidates and Journal of Pharmaceutical and BioTech Industry.
Impact Factor:
5.4 (2024);
5-Year Impact Factor:
5.6 (2024)
Latest Articles
Dictyostelium discoideum as a Platform to Assess the Cytotoxicity of Marine Algal Extracts: The Case of Glossophora kunthii
Mar. Drugs 2025, 23(11), 442; https://doi.org/10.3390/md23110442 (registering DOI) - 17 Nov 2025
Abstract
The social amoeba Dictyostelium discoideum is a versatile biological model widely used in drug discovery and studying cellular stress responses. However, its application for cytotoxicity evaluation of natural products, particularly algal-derived compounds, remains underutilized. In this study, we developed a high-throughput developmental assay
[...] Read more.
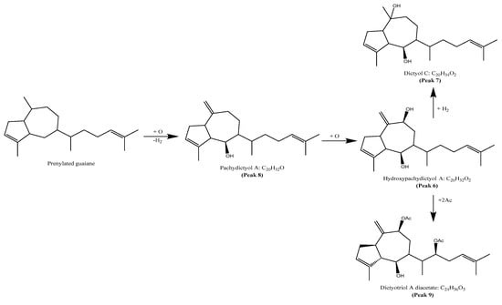
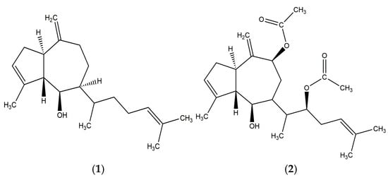
The social amoeba Dictyostelium discoideum is a versatile biological model widely used in drug discovery and studying cellular stress responses. However, its application for cytotoxicity evaluation of natural products, particularly algal-derived compounds, remains underutilized. In this study, we developed a high-throughput developmental assay in D. discoideum to analyze the cytotoxicity of acetone and methanol extracts from the Peruvian seaweed Glossophora kunthii. Our results showed that the acetone extract caused a transient delay in the social development of the amoeba. In contrast, the methanol extract exhibited no significant effects, even at high extract concentrations. UHPLC/Orbitrap/ESI/MS/MS analysis tentatively identified ten major compounds, including pachydictyol A and dictyotriol A diacetate. The presence of diterpenes, such as dictyotadiol and pachydictyol A, previously reported to exhibit moderate cytotoxic activity, likely explains the developmental delay observed with the acetone extract. This study highlights the utility of D. discoideum as a scalable cytotoxicity screening platform within algal pharmacognosy, facilitating the early identification of non-toxic marine natural products suitable for further biomedical and biotechnological development.
Full article
(This article belongs to the Special Issue Pharmacognostic Potential of Seaweed Extracts and Metabolites)
►
Show Figures
Open AccessArticle
An Astaxanthin-Binding Ependymin-Related Purple Protein Responsible for the Coloration of a Marine Purple Sponge, Haliclona sp.
by
Takayuki Kaneko, Tomomi Asano and Shinji Kawasaki
Mar. Drugs 2025, 23(11), 441; https://doi.org/10.3390/md23110441 (registering DOI) - 16 Nov 2025
Abstract
Although marine sponges display strikingly diverse colors, the molecular basis of this color diversity remains largely unknown. Recently, the blue coloration of Haliclona sp. was attributed to a water-soluble carotenoprotein that binds orange astaxanthin (AXT) and mytiloxanthin (MXT) and belongs to the ependymin
[...] Read more.
Although marine sponges display strikingly diverse colors, the molecular basis of this color diversity remains largely unknown. Recently, the blue coloration of Haliclona sp. was attributed to a water-soluble carotenoprotein that binds orange astaxanthin (AXT) and mytiloxanthin (MXT) and belongs to the ependymin superfamily. Here, we investigated the coloration mechanism of a purple sponge, Haliclona sp. The purified purple protein was identified as a secreted glycoprotein, representing the second example of a color protein belonging to the ependymin superfamily. The blue and purple proteins were accordingly designated carotenoependymin (Cep)-Blue1 and Cep-Purple1. Cep-Blue1 binds orange AXT and MXT in a 1:1 ratio, whereas Cep-Purple1 binds only AXT, producing a smaller red shift than Cep-Blue1 in the 550–750 nm range. In vitro reconstitution of carotenoid-free apoproteins with their native carotenoids reproduced the original spectra. When the carotenoids bound to Cep-Blue1 and Cep-Purple1 were exchanged and reconstituted in vitro, Cep-Blue1 reconstituted with AXT exhibited a purplish-blue color, whereas Cep-Purple1 reconstituted with an equimolar mixture of AXT and MXT showed a preference for AXT and displayed an incomplete red shift. These results suggest that the subtle color variations among Haliclona species are determined by both species-specific carotenoid composition and the structural features of carotenoependymin proteins.
Full article
(This article belongs to the Special Issue Marine Carotenoids: Properties, Health Benefits, and Applications)
►▼
Show Figures

Figure 1
Open AccessReview
Structure Meets Function: Dissecting Fucoxanthin’s Bioactive Architecture
by
Patrícia Nogueira, Victória Bombarda-Rocha, Rita Tavares-Henriques, Mariana Carneiro, Emília Sousa, Jorge Gonçalves and Paula Fresco
Mar. Drugs 2025, 23(11), 440; https://doi.org/10.3390/md23110440 (registering DOI) - 15 Nov 2025
Abstract
Fucoxanthin (Fx), a marine xanthophyll carotenoid, has attracted considerable scientific attention due to its wide-ranging biological activities, including antioxidant, anti-inflammatory, anti-obesity, and anticancer effects. Despite its substantial therapeutic potential, the clinical application of Fx and its derivatives remains constrained by their structural complexity,
[...] Read more.
Fucoxanthin (Fx), a marine xanthophyll carotenoid, has attracted considerable scientific attention due to its wide-ranging biological activities, including antioxidant, anti-inflammatory, anti-obesity, and anticancer effects. Despite its substantial therapeutic potential, the clinical application of Fx and its derivatives remains constrained by their structural complexity, low chemical stability, and limited bioavailability. This review offers a thorough and up-to-date overview of Fx, encompassing its primary natural sources, the metabolic biotransformation to fucoxanthinol (FxOH) and amarouciaxanthin A—metabolites whose bioactive properties significantly contribute to the observed in vivo effects—and the molecular mechanisms underlying the biological activities of Fx and its metabolites, with emphasis on their modulation of key intracellular signalling pathways involved in inflammation, lipid metabolism, and cell proliferation. Furthermore, it explores how targeted structural modifications may enhance the pharmacokinetic profiles and expand the therapeutic potential of Fx-based compounds, while highlighting promising strategies for their optimisation. By integrating insights from pharmacology, biochemistry, and synthetic chemistry, this work aims to guide future efforts in the rational design of marine-derived bioactive agents and underscores the value of marine biodiversity in therapeutic innovation.
Full article
(This article belongs to the Special Issue Marine Carotenoids and Potential Therapeutic Benefits)
►▼
Show Figures

Graphical abstract
Open AccessReview
Marine-Derived Natural Substances with Anticholinesterase Activity
by
Daniela Dimitrova, Gabriela Kehayova, Simeonka Dimitrova and Stela Dragomanova
Mar. Drugs 2025, 23(11), 439; https://doi.org/10.3390/md23110439 (registering DOI) - 15 Nov 2025
Abstract
Alzheimer’s disease continues to be one of the most urgent neurodegenerative conditions, with acetylcholinesterase (AChE) inhibitors serving as a fundamental component of contemporary treatment approaches. Growing evidence underscores that marine ecosystems are a rich source of structurally varied and biologically active natural products
[...] Read more.
Alzheimer’s disease continues to be one of the most urgent neurodegenerative conditions, with acetylcholinesterase (AChE) inhibitors serving as a fundamental component of contemporary treatment approaches. Growing evidence underscores that marine ecosystems are a rich source of structurally varied and biologically active natural products exhibiting anticholinesterase properties. This review presents a thorough synthesis of marine-derived metabolites—including those sourced from bacteria, fungi, sponges, algae, and other marine life—that demonstrate inhibitory effects against AChE and butyrylcholinesterase (BuChE). Numerous compounds, such as meroterpenoids, alkaloids, peptides, and phlorotannins, not only show nanomolar to micromolar inhibitory activity but also reveal additional neuroprotective characteristics, including antioxidant effects, anti-amyloid properties, and modulation of neuronal survival pathways. Despite these encouraging findings, the transition to clinical applications is hindered by a lack of comprehensive pharmacokinetic, toxicity, and long-term efficacy studies. The structural variety of marine metabolites provides valuable frameworks for the development of next-generation cholinesterase inhibitors. Further interdisciplinary research is essential to enhance their therapeutic potential and facilitate their incorporation into strategies for addressing Alzheimer’s disease and related conditions.
Full article
(This article belongs to the Section Marine Pharmacology)
►▼
Show Figures

Figure 1
Open AccessReview
Natural Products from Marine Microorganisms with Agricultural Applications
by
Michi Yao, Hafiz Muhammad Usama Shaheen, Chen Zuo, Yue Xiong, Bo He, Yonghao Ye and Wei Yan
Mar. Drugs 2025, 23(11), 438; https://doi.org/10.3390/md23110438 - 14 Nov 2025
Abstract
Global agricultural production is challenging due to climate change and a number of phyto-pathogenic organisms and pests that pose a significant threat to both crop growth and productivity. The growing resistance of pests and diseases to synthetic chemicals makes crop production even more
[...] Read more.
Global agricultural production is challenging due to climate change and a number of phyto-pathogenic organisms and pests that pose a significant threat to both crop growth and productivity. The growing resistance of pests and diseases to synthetic chemicals makes crop production even more difficult, which highlights the urgent need for alternative solutions. From this perspective, marine microorganisms have emerged as a significant natural product source for their distinctive bioactive compounds and environmentally sustainable potential pesticidal activity. The unique microbial resources and structurally diverse metabolites of the marine ecosystem have been proven to have strong antagonistic effects against a broad spectrum of agricultural diseases and pests, making them a valuable candidate for the development of novel pesticides. This review highlights 126 marine natural products from marine microorganisms with diverse metabolic pathways and bioactivities against agricultural pests, pathogens, and weeds. The findings underscore the potential of marine-derived compounds in addressing the growing challenges of crop protection and offering an appealing strategy for future agrochemical research and development.
Full article
(This article belongs to the Special Issue Pharmacological Potential of Marine Natural Products, 3rd Edition)
►▼
Show Figures

Graphical abstract
Open AccessArticle
Total Synthesis of Peniterphenyls A and E
by
Huayan Xu, Yuyue Li, Yuecheng Fang, Juan Liu, Junfeng Wang, Shengrong Liao and Yonghong Liu
Mar. Drugs 2025, 23(11), 437; https://doi.org/10.3390/md23110437 - 14 Nov 2025
Abstract
Our previously discovered marine natural products, peniterphenyls A and E, exhibit superior anti-herpes simplex virus 1/2 (HSV 1/2) activity, probably via interference with virus adsorption and membrane fusion to host cells. Their clear mechanism mode still remains unresolved due to its limited availability
[...] Read more.
Our previously discovered marine natural products, peniterphenyls A and E, exhibit superior anti-herpes simplex virus 1/2 (HSV 1/2) activity, probably via interference with virus adsorption and membrane fusion to host cells. Their clear mechanism mode still remains unresolved due to its limited availability from nature. This study establishes their first site-selective chemical total syntheses, affording peniterphenyls A and E in overall yields of 4.5% (over thirteen steps) and 2.3% (over twelve steps), respectively. A nucleophilic aromatic substitution (SNAr) between compounds 4 and 5, and a direct C(sp2)–H/C(sp2)–H oxidative coupling using the Pd(TFA)2/AgOAc catalyst system with a pivaloyl directing group conveniently furnishes the dibenzofuran core with good efficiency. Steric hindrance and substituent directing effects of arene govern the high site-selectivity of the Pd-catalyzed C(sp2)–H activation during furan formation. Featuring readily available materials and straightforward operations, this synthetic route provides convenient access to these bioactive natural products for further study.
Full article
(This article belongs to the Special Issue Total Synthesis, Semisynthesis and Analogue Synthesis of Bioactive Marine Natural Products)
►▼
Show Figures

Graphical abstract
Open AccessArticle
The Prevalence and Diversity of Marine Toxin–Antitoxin Systems
by
Cong Liu, Yunxue Guo, Jiayu Gu, Zhen Wei, Pengxiang Chen and Xiaoxue Wang
Mar. Drugs 2025, 23(11), 436; https://doi.org/10.3390/md23110436 - 13 Nov 2025
Abstract
Toxin-antitoxin (TA) systems, ubiquitous in bacterial and archaeal genomes, play pivotal roles in responding to environmental stresses, forming biofilms, defending against phages, and influencing pathogen virulence. The marine environment harbors Earth’s most diverse and abundant microbial communities, where microorganisms have evolved unique genetic
[...] Read more.
Toxin-antitoxin (TA) systems, ubiquitous in bacterial and archaeal genomes, play pivotal roles in responding to environmental stresses, forming biofilms, defending against phages, and influencing pathogen virulence. The marine environment harbors Earth’s most diverse and abundant microbial communities, where microorganisms have evolved unique genetic adaptations and specialized metabolic processes to thrive amid distinct environmental challenges. Research on the presence and function of TA systems in marine bacteria lags significantly behind that in model bacteria and pathogens. Here, we explored the diversity of the TA system in marine bacteria, including species from the Global Ocean Microbiome Catalogue (GOMC) and the Mariana Trench Environment and Ecology Research (MEER) databases. Our findings revealed that types I to VII (featuring protein toxins) of eight types of TA systems are prevalent in these microorganisms, with unidentified TA combinations diverging from previously characterized systems. Interestingly, some toxins or antitoxins lack canonical counterparts, indicating evolutionary divergence. Additionally, previously uncharacterized potential TA systems have been identified in extremophilic bacteria from the deep-sea Mariana Trench. These results highlight the adaptive importance of marine TA systems, which are likely operating through unconventional mechanisms.
Full article
(This article belongs to the Special Issue Marine Toxins: Characterization, Detection, Classification and Potential Therapeutics)
►▼
Show Figures

Figure 1
Open AccessArticle
Impact of Individual Process Parameters on Extraction of Polysaccharides from Saccharina latissima
by
Elmira Khajavi Ahmadi, Said Al-Hamimi, Madeleine Jönsson and Roya R. R. Sardari
Mar. Drugs 2025, 23(11), 435; https://doi.org/10.3390/md23110435 - 13 Nov 2025
Abstract
While numerous extraction methods have been applied to the brown algae Saccharina latissima, a systematic evaluation of how individual extraction parameters influence the extraction of each target polysaccharide has not previously been reported. Accordingly, this study compared conventional and advanced techniques for
[...] Read more.
While numerous extraction methods have been applied to the brown algae Saccharina latissima, a systematic evaluation of how individual extraction parameters influence the extraction of each target polysaccharide has not previously been reported. Accordingly, this study compared conventional and advanced techniques for extracting fucoidan, laminarin, and alginate from pre-treated biomass. Conventional methods employed diluted acid (0.01 M and 0.1 M HCl), diluted alkali (0.01 M and 0.1 M NaOH), and hot water (121 °C for 30/60 min) for extraction. Advanced techniques involved pressurized liquid extraction (PLE) using water and moderate electric field (MEF) extraction with conditions optimized by statistical experimental design. Pre-treatment with aqueous ethanol removed 30% ash and eliminated mannitol, improving extraction selectivity. The results demonstrated fucoidan yields of 31% with 0.01 M HCl and 46% with 0.1 M NaOH, while 0.01 M NaOH facilitated laminarin co-extraction (45%). Alginate, as a mannuronic acid polymer, was obtained at 9% yield with 0.1 M HCl, 42% yield with 0.1 M NaOH, and 27% with pressurized hot water for 30 min. High-temperature, short-duration PLE further improved alginate yield, while MEF showed limited gains due to high ionic content but demonstrated potential under optimized settings. The results support a cascading biorefinery approach in which different polysaccharide fractions can be sequentially obtained, contributing to more sustainable seaweed valorization.
Full article
(This article belongs to the Special Issue Polysaccharides from Marine Environment)
►▼
Show Figures

Figure 1
Open AccessArticle
Chitosan-Mediated Expression of Caenorhabditis elegans fat-1 and fat-2 in Sparus aurata: Short-Term Effects on the Hepatic Fatty Acid Profile, Intermediary Metabolism, and Proinflammatory Factors
by
Yuanbing Wu, Ania Rashidpour, Wenwen Duan, Anna Fàbregas, María Pilar Almajano and Isidoro Metón
Mar. Drugs 2025, 23(11), 434; https://doi.org/10.3390/md23110434 - 13 Nov 2025
Abstract
A single dose of chitosan-tripolyphosphate (TPP) nanoparticles carrying expression plasmids for fish codon-optimized Caenorhabditis elegans fat-1 and fat-2 was intraperitoneally administered to gilthead seabream (Sparus aurata) to stimulate the biosynthesis of omega-3 long-chain polyunsaturated fatty acids (n-3 LC-PUFA) and
[...] Read more.
A single dose of chitosan-tripolyphosphate (TPP) nanoparticles carrying expression plasmids for fish codon-optimized Caenorhabditis elegans fat-1 and fat-2 was intraperitoneally administered to gilthead seabream (Sparus aurata) to stimulate the biosynthesis of omega-3 long-chain polyunsaturated fatty acids (n-3 LC-PUFA) and evaluate subsequent short-term effects on liver intermediary metabolism and immunity. Seventy-two hours post-injection, the upregulation of fat-1 elevated eicosapentaenoic acid (EPA), docosahexaenoic acid (DHA), and total n-3 fatty acids in the liver, while fat-2 enhanced DHA and n-3 fatty acids. Co-expression of fat-1 and fat-2 increased EPA, DHA, PUFA, and the total n-6 and n-3 LC-PUFA, while reducing plasma triglycerides. The expression of fat-1 and fat-2 suppressed hepatic lipogenesis by downregulating srebf1 and pparg, and consequently key genes in fatty acid synthesis (acaca, acacb, fasn, scd1, and fads2). In contrast, the co-expression of fat-1 and fat-2 upregulated hnf4a, chrebp, and pfkl, a rate-limiting enzyme in glycolysis. Furthermore, fat-1 and fat-2 reduced hepatic proinflammatory markers such as tnfa and nfkb1. In addition to enhancing EPA and DHA biosynthesis, promoting glycolysis, and suppressing lipogenesis, our findings suggest that the short-term expression of C. elegans fat-1 and fat-2 in the liver may also reduce inflammation and, therefore, could impact the health and growth performance of cultured fish.
Full article
(This article belongs to the Special Issue Marine-Derived Polymers for Tissue Engineering and Drug Delivery Applications)
►▼
Show Figures

Figure 1
Open AccessEditorial
Proteomic Studies for the Identification and Characterization of Marine Bioactive Molecules
by
Nedeljka Rosic
Mar. Drugs 2025, 23(11), 433; https://doi.org/10.3390/md23110433 - 10 Nov 2025
Abstract
The marine environment is a rich source of natural products that, as promising bioactive compounds, demonstrate environmentally friendly potential for application across various industries [...]
Full article
(This article belongs to the Special Issue Proteomic Studies for the Identification and Characterization of Marine Bioactive Molecules)
Open AccessArticle
Native Collagen and Total Lipid Extract Obtained from Caranx hyppos By-Products: Characterization for Potential Use in the Biomedical and Nutraceutical Fields
by
Sheyza Menéndez-Tasé, Evelin Gaeta-Leal, Darío Iker Téllez-Medina, Daniel Tapia-Maruri, Edgar Oliver López-Villegas, Georgina Calderón-Domínguez, Tzayhri Gallardo-Velázquez, Guillermo Osorio-Revilla, Mayuric Teresa Hernández-Botello and Diana Maylet Hernández-Martínez
Mar. Drugs 2025, 23(11), 432; https://doi.org/10.3390/md23110432 - 9 Nov 2025
Abstract
The processing of fishery products generates a substantial amount of by-products, which can be utilized to promote a circular economy. The objective of the present study was to extract and characterize native collagen and total lipid extract from the fish skin and bones
[...] Read more.
The processing of fishery products generates a substantial amount of by-products, which can be utilized to promote a circular economy. The objective of the present study was to extract and characterize native collagen and total lipid extract from the fish skin and bones of crevalle jack (Caranx hippos). Physicochemical, structural, and morphological properties were evaluated for collagens. Chemical composition and functional properties were evaluated for lipid extracts. Native type I collagens were obtained by acid extraction, yielding approximately 2.64–6.16% (d.b.). The elemental chemical analysis showed its purity. The stability of the triple helix of collagen was verified through characteristic bands in the FTIR and UV spectra, the peaks at 2θ, around 7.5° and 19.5° obtained by XRD, and the bands of SDS-PAGE. Collagens show isoelectric points of 4.94 (skin) and 4.90 (bone), thermal stabilities of 53.40 °C (skin) and 46.88 °C (bone), and the percentage surface porosities of 41.28 (skin) and 38.84 (bone), all of which demonstrate their potential as a raw material in the biomedical field. The total lipids obtained were extracted using the Soxhlet and Folch methods. The extracts show EPA (1.26–3.16%) and DHA (3.94–9.78%) contents, with inhibition percentages of 32.7% (ABTS), 19.6% (DPPH), and 70.83% (β-carotene). These results highlight the potential of total lipid extract for nutraceutical and food applications.
Full article
(This article belongs to the Special Issue Marine Bioactive Substances: From By-Products to Innovative Applications)
►▼
Show Figures

Graphical abstract
Open AccessReview
Two Decades of Research on Marine-Derived Alternaria: Structural Diversity, Biomedical Potential, and Applications
by
Diaa T. A. Youssef, Areej S. Alqarni, Lamiaa A. Shaala, Alaa A. Bagalagel, Sana A. Fadil, Abdelsattar M. Omar and Mostafa E. Rateb
Mar. Drugs 2025, 23(11), 431; https://doi.org/10.3390/md23110431 - 7 Nov 2025
Abstract
Marine-derived species of the genus Alternaria are widely distributed across diverse aquatic habitats, functioning as pathogens, endophytes, and saprophytes. These fungi are notable for their ability to produce structurally diverse secondary metabolites with potent bioactivities. Between 2003 and 2023, a total of 67
[...] Read more.
Marine-derived species of the genus Alternaria are widely distributed across diverse aquatic habitats, functioning as pathogens, endophytes, and saprophytes. These fungi are notable for their ability to produce structurally diverse secondary metabolites with potent bioactivities. Between 2003 and 2023, a total of 67 marine-derived Alternaria species were reported and investigated, collectively yielding 319 compounds. Most of these fungal isolates were from Chinese marine territories (53 species; ~79%), followed by isolates from Korea, Japan, India, Egypt, Saudi Arabia, and oceanic regions such as the Atlantic and Pacific. The fungal isolates were mainly obtained from marine plants (26 isolates) and marine animals (23 isolates), with additional sources including sediments (13) and seawater (3). Among the metabolites investigated in different screens, approximately 56% demonstrated measurable bioactivities, with anti-inflammatory (51 active compounds), antimicrobial (41 compounds), cytotoxic (39 compounds), and phytotoxic (52 compounds) activities being the most frequently reported. Additionally, compounds with antiparasitic, antidiabetic and antioxidant effects are reported. The chemical diversity of Alernaria-derived compounds spans multiple structural groups, including nitrogenous compounds, steroids, terpenoids, pyranones, quinones, and phenolics. Notably, compounds such as alternariol, alternariol monomethyl ether, and alternariol-9-methyl ether exhibit broad pharmacological potential, including antibacterial, antifungal, antiviral, immunomodulatory, and anticancer effects. Several metabolites also modulate cytokine production (e.g., IL-10, TNF-α), underscoring their relevance as immunomodulatory agents. Taken together, marine-derived Alternaria compounds represent a prolific and underexplored source of structurally and biologically diverse secondary metabolites with potential applications in drug discovery, agriculture, and biotechnology. This review provides an updated and comprehensive overview of the chemical and biological diversity of Alternaria metabolites reported over the past two decades, emphasizing their biomedical relevance and potential to inspire further research into their ecological functions, biosynthetic mechanisms, and industrial applications.
Full article
(This article belongs to the Special Issue Pharmacological Potential of Marine Natural Products, 3rd Edition)
►▼
Show Figures

Figure 1
Open AccessReview
Marine Natural Products in Preclinical Cancer Studies: Ten Years of Advanced Total Synthesis
by
Ester Colarusso, Assunta Giordano, Maria Giovanna Chini, Giuseppe Bifulco and Gianluigi Lauro
Mar. Drugs 2025, 23(11), 430; https://doi.org/10.3390/md23110430 - 7 Nov 2025
Abstract
Marine ecosystems represent an exceptional reservoir of structurally diverse metabolites with remarkable pharmacological potential. Over the past decades, the exploration of marine organisms has led to the discovery of an ever-expanding number of bioactive compounds. Many of these metabolites display highly original chemical
[...] Read more.
Marine ecosystems represent an exceptional reservoir of structurally diverse metabolites with remarkable pharmacological potential. Over the past decades, the exploration of marine organisms has led to the discovery of an ever-expanding number of bioactive compounds. Many of these metabolites display highly original chemical scaffolds that are not typically found in terrestrial organisms, offering new opportunities for drug discovery. Among the most promising applications is their development as anticancer agents, given their ability to interfere with key cellular processes. This review highlights marine natural products currently under investigation in preclinical studies as potential anticancer lead compounds. The molecules are classified into major structural families: aromatic and heterocyclic alkaloids, terpenes and their derivatives, macrolide frameworks, and diverse peptide-based scaffolds, alongside other complex classes (polyketides, thiazole lipids, alkylamino alcohols, and pyrrolocarbazole derivatives). A particular emphasis has been placed on the role of total synthesis over the last decade. Advances in synthetic methodology have not only enabled the production of these complex metabolites in sufficient quantities but have also facilitated the development of novel chemotherapeutic agents. To overcome the challenges of limited natural availability, the advanced synthetic approaches are crucial for harnessing the full therapeutic potential of marine-derived compounds.
Full article
(This article belongs to the Special Issue Synthetic Studies of Marine Bioactive Natural Products and Analogs to Develop Novel Drug Leads)
►▼
Show Figures

Graphical abstract
Open AccessCommunication
Two New Chromone Derivatives from a Marine Algicolous Fungus Aspergillus versicolor GXIMD 02518 and Their Osteoclastogenesis Inhibitory Activity
by
Xin Qi, Zhen Li, Miaoping Lin, Humu Lu, Shuai Peng, Huangxue Qin, Yonghong Liu, Chenghai Gao and Xiaowei Luo
Mar. Drugs 2025, 23(11), 429; https://doi.org/10.3390/md23110429 - 7 Nov 2025
Abstract
Two new chromone derivatives, cnidimols I and J (1 and 2), together with ten known aromatic derivatives (3–12), were isolated from the Beibu Gulf algicolous fungus Aspergillus versicolor GXIMD 02518. Their structures were determined by comprehensive physicochemical
[...] Read more.
Two new chromone derivatives, cnidimols I and J (1 and 2), together with ten known aromatic derivatives (3–12), were isolated from the Beibu Gulf algicolous fungus Aspergillus versicolor GXIMD 02518. Their structures were determined by comprehensive physicochemical and spectroscopic data interpretation. The absolute configurations of 1 and 2 were accomplished by ECD calculations and X-ray diffraction analysis. Compound 1 was obtained as a pair of enantiomers, which were separated by chiral-phase HPLC analysis. Notably, 3,7-dihydroxy-1,9-dimethyldibenzofuran (6) displayed significant inhibition in LPS-induced NF-κB luciferase activity in RAW 264.7 macrophages, which further inhibited RANKL-induced osteoclast differentiation without cytotoxicity in bone marrow macrophage cells.
Full article
(This article belongs to the Special Issue Advances in Secondary Metabolites from Mangrove Holobiont)
►▼
Show Figures

Figure 1
Open AccessArticle
Vaterite/Fucoidan Hybrid Microparticles: Fabrication, Loading of Lactoferrin, Structural Characteristics and Functional Properties
by
Daniil V. Mosievich, Nadezhda G. Balabushevich, Pavel I. Mishin, Lyubov Y. Filatova, Marina A. Murina, Olga V. Pobeguts, Maria A. Galyamina, Ekaterina A. Obraztsova, Daria V. Grigorieva, Irina V. Gorudko, Alexey V. Sokolov, Ekaterina V. Shmeleva, Oleg M. Panasenko and Elena V. Mikhalchik
Mar. Drugs 2025, 23(11), 428; https://doi.org/10.3390/md23110428 - 5 Nov 2025
Abstract
Fucoidan is of considerable interest for the development of drug carriers. The inclusion of fucoidan allows calcium carbonate microparticles in the form of vaterite to acquire new properties, enabling their use in the immobilization of protein preparations. In this work, we investigated the
[...] Read more.
Fucoidan is of considerable interest for the development of drug carriers. The inclusion of fucoidan allows calcium carbonate microparticles in the form of vaterite to acquire new properties, enabling their use in the immobilization of protein preparations. In this work, we investigated the properties of hybrid vaterite microparticles with fucoidan from Fucus vesiculosus obtained by co-precipitation and loaded with recombinant human lactoferrin from goats. The hybrid microparticles had a smaller diameter (3–4 µm), larger surface area (35–36 m2g−1), smaller pore size (5–10 nm average), and more negative ζ-potential (−(11–13) mV) than the control vaterite microparticles. The incorporation of lactoferrin into the microparticles by co-precipitation in complex with fucoidan was greater than when the protein was adsorbed onto the hybrid microparticles. Microparticles with fucoidan and lactoferrin were stable in acidic environments, released both components over a prolonged period at pH 7.4, and possessed mucoadhesive properties and anticoagulant activity. The antibacterial properties of hybrid microparticles with fucoidan and lactoferrin against Bacillus subtilis were characterized. Microparticles of vaterite with fucoidan can serve as a platform for the microfabrication of effective means of delivering therapeutic proteins.
Full article
(This article belongs to the Special Issue Marine-Derived Polymers for Tissue Engineering and Drug Delivery Applications)
►▼
Show Figures

Graphical abstract
Open AccessArticle
Bioactivity and in Silico Insights of Collagen-Derived Peptides from Jellyfish (Stomolophus sp. 2) Mesoglea
by
Blanca del Sol Villalba-Urquidy, Wilfrido Torres-Arreola, Isabel Medina, Laura Estefany Hernández-Aguirre, Jesús Enrique Chan-Higuera and Josafat Marina Ezquerra-Brauer
Mar. Drugs 2025, 23(11), 427; https://doi.org/10.3390/md23110427 - 5 Nov 2025
Abstract
Jellyfish, a promising source of bioactive compounds, has attracted the attention of the biotechnology sector. This research explored the antioxidant and antimutagenic properties and the genotoxicity of peptides derived from blue cannonball jellyfish (Stomolophus sp. 2) collagen hydrolysates (JCH) as potential food
[...] Read more.
Jellyfish, a promising source of bioactive compounds, has attracted the attention of the biotechnology sector. This research explored the antioxidant and antimutagenic properties and the genotoxicity of peptides derived from blue cannonball jellyfish (Stomolophus sp. 2) collagen hydrolysates (JCH) as potential food supplements. Firstly, JCH was fractionated into three parts based on molecular weight. Notably, the low-molecular-weight hydrolyzed fraction (<3 kDa) exhibited the highest bioactivity, with ABTS scavenging activity of 8993 ± 5.2 μmol TE/g and an antimutagenic inhibition rate against AFB1 of 88%. This fraction remained non-genotoxic at 100 ppm, suggesting its suitability for potential applications without evidence of genotoxic damage. In addition, in silico analysis revealed 15 unique peptides in Stomolophus sp. 2 collagen hydrolysates, ten of which showed particularly promising bioactive potential. Peptides from Stomolophus sp. 2 with molecular weights under 3 kDa exhibit remarkable bioactivity and hold great promise for future research on molecular characterization and bioactive food supplements.
Full article
(This article belongs to the Special Issue Marine Bioactive Substances: From By-Products to Innovative Applications)
►▼
Show Figures

Graphical abstract
Open AccessArticle
Structural Comparison and Therapeutic Effects on Ulcerative Colitis of Fucoidan and Its Derivative from Saccharina japonica
by
Yanlei Yu, Xiaoshu Jin, Yunjie Zhao, Ningning Wang, Yi Hua, Youmin Ying, Bin Wei and Hong Wang
Mar. Drugs 2025, 23(11), 426; https://doi.org/10.3390/md23110426 - 3 Nov 2025
Abstract
Ulcerative colitis (UC) is a chronic inflammatory bowel disease (IBD) that can lead to intestinal complications and systemic risks, significantly increasing the likelihood of colorectal cancer in individuals with long-term illness. Fucoidan has shown potential in alleviating UC; however, the structure–activity relationship remains
[...] Read more.
Ulcerative colitis (UC) is a chronic inflammatory bowel disease (IBD) that can lead to intestinal complications and systemic risks, significantly increasing the likelihood of colorectal cancer in individuals with long-term illness. Fucoidan has shown potential in alleviating UC; however, the structure–activity relationship remains challenging. The present study aims to compare fucoidan (CF) and its degraded derivatives (DF) in the prevention and treatment of UC. Structural analysis demonstrated that CF and DF possess similar monosaccharide compositions and sulfation content; however, they differ significantly in molecular weight, with CF measuring 582 kDa and DF 2.3 kDa. Additionally, DF display a lower degree of branching compared to CF. Results from the mouse model demonstrated that both CF and DF can effectively alleviate clinical symptoms of UC; however, the underlying mechanisms of action are likely to differ. Both CF and DF produced comparable improvements in the disease activity index. CF demonstrated superior efficacy in alleviating weight loss and maintaining colon length, whereas DF showed greater benefits in protecting the colonic mucosa and reducing inflammatory infiltration. The gut microbiota analysis indicated that DF was more effective in restoring microbial diversity in UC mice. Both CF and DF were capable of modulating microbial imbalances at the phylum and genus levels, although the specific taxa exhibited differences.
Full article
(This article belongs to the Section Marine Pharmacology)
►▼
Show Figures

Figure 1
Open AccessReview
Integrated Regulation of Immunity and Nutritional Symbiosis in Deep-Sea Mussels
by
Akihiro Tame
Mar. Drugs 2025, 23(11), 425; https://doi.org/10.3390/md23110425 - 31 Oct 2025
Abstract
Deep-sea mussels of the genus Bathymodiolus exhibit adaptability to nutrient-poor deep-sea environments by establishing nutritional intracellular symbiosis with chemosynthetic bacteria harbored within the gill epithelial cells. However, this poses a conflict for the innate immune system of the host, which must balance the
[...] Read more.
Deep-sea mussels of the genus Bathymodiolus exhibit adaptability to nutrient-poor deep-sea environments by establishing nutritional intracellular symbiosis with chemosynthetic bacteria harbored within the gill epithelial cells. However, this poses a conflict for the innate immune system of the host, which must balance the tolerance of beneficial symbiotic bacteria with the need to eliminate exogenous microbes. This review synthesizes existing knowledge and recent findings on Bathymodiolus japonicus to outline the cellular and molecular mechanisms governing this symbiotic relationship. In the host immune system, hemocytes are responsible for systemic defense, whereas gill cells are involved in local symbiotic acceptance. Central to the establishment of symbiosis is the host’s phagocytic system, which non-selectively engulfs bacteria but selectively retains symbionts. We highlight a series of cellular events in gill cells involving the engulfment, selection, retention and/or digestion of symbionts, and the regulatory mechanism of phagocytosis through mechanistic target of rapamycin complex 1, which connects bacterial nutrient supply with host immune and metabolic responses. This integrated model of symbiosis regulation, which links immunity, metabolism, and symbiosis, provides a fundamental framework for understanding how hosts establish and maintain a stable coexistence with microbes, offering a new perspective on symbiotic strategies in diverse organisms.
Full article
(This article belongs to the Special Issue Defying the Odds: Innate Immunity in Invertebrates Living in Deep-Sea Extreme Environments)
►▼
Show Figures

Figure 1
Open AccessArticle
Lipidomic Screening of Marine Diatoms Reveals Release of Dissolved Oxylipins Associated with Silicon Limitation and Growth Phase
by
Imanol Ulloa, Jiwoon Hwang, Matthew D. Johnson and Bethanie R. Edwards
Mar. Drugs 2025, 23(11), 424; https://doi.org/10.3390/md23110424 - 31 Oct 2025
Abstract
Marine diatoms are an important group of phytoplankton that can shape marine ecosystems and global carbon cycling. When stressed, either physiologically or by grazing, diatoms release oxidized, lipid-derived signals known as oxylipins. Diatom-derived oxylipins are proposed to serve as defense and signaling chemicals
[...] Read more.
Marine diatoms are an important group of phytoplankton that can shape marine ecosystems and global carbon cycling. When stressed, either physiologically or by grazing, diatoms release oxidized, lipid-derived signals known as oxylipins. Diatom-derived oxylipins are proposed to serve as defense and signaling chemicals that affect multiple components of marine ecosystems. Therefore, to elucidate the diversity of diatom-derived oxylipins produced during stress, we profiled the spectrum of dissolved lipids of five diatom species in culture under silicon limitation and across growth phases using ultra-high performance liquid chromatography coupled with high-resolution accurate mass spectrometry. In this study, we present evidence that physiological changes associated with Si-limitation elicit the extracellular release of linear oxygenated fatty acids (LOFAs) across five diatom species. For diatoms like Skeletonema japonicum and Pseudo-nitzschia multiseries, silicon limitation induced a distinct lipidomic signature driven by oxylipins known to be allelopathic. While their lipoxygenases were found to be different, S. japonicum and P. multiseries had the most similar dissolved lipidomes, suggesting alternative controls on oxylipin biosynthesis. Consequently, elevated oxylipin concentrations with silicon stress, estimated up to 5.91 µM, pose implications for diatoms at sea, potentially affecting ecosystems and biogeochemistry.
Full article
(This article belongs to the Special Issue Marine Algal Chemical Ecology 2024)
►▼
Show Figures

Graphical abstract
Open AccessArticle
Novel Sulfated Oligosaccharide DP9 from Marine Algae, Gracilaria lemaneiformis: A Potent Galectin-3 Inhibitor for Pancreatic Cancer Therapy
by
Pingting Liu, Fengyuan Li, Zhicong Liu and Yang Liu
Mar. Drugs 2025, 23(11), 423; https://doi.org/10.3390/md23110423 - 30 Oct 2025
Abstract
Galectin-3 (Gal-3) is a histologic marker of pancreatic cancer and a potential therapeutic target. This study aimed to characterize a novel sulfated agarose-derived oligosaccharide (DP9) from marine algae, Gracilaria lemaneiformis, evaluate its Gal-3 inhibitory activity, and investigate its anti-pancreatic cancer mechanisms. Through
[...] Read more.
Galectin-3 (Gal-3) is a histologic marker of pancreatic cancer and a potential therapeutic target. This study aimed to characterize a novel sulfated agarose-derived oligosaccharide (DP9) from marine algae, Gracilaria lemaneiformis, evaluate its Gal-3 inhibitory activity, and investigate its anti-pancreatic cancer mechanisms. Through controlled acid hydrolysis, a series of odd-numbered oligosaccharides (DP3-11) were obtained, in which DP9 showed the strongest Gal-3 inhibition in hemagglutination assays. Structural analysis confirmed DP9’s unique composition including an alternating β (1→4)-D-galactose and α (1→3)-3,6-anhydro-L-galactose backbone, featuring partial 6-O-methylation on β-D-galactose and 6-O-sulfation on 3,6-anhydro-α-L-galactose residues. Molecular docking revealed DP9’s binding to Gal-3’s carbohydrate recognition domain through key hydrogen bonds (His158, Arg162, Lys176, Asn179 and Arg186) and hydrophobic interactions (Pro117, Asn119, Trp181 and Gly235), with the sulfate group enhancing binding affinity. In vitro studies demonstrated DP9’s selective anti-pancreatic cancer activity against BxPC-3 cells, including inhibition of cell proliferation; S-phase cell cycle arrest; induction of apoptosis; and suppression of migration and invasion. Mechanistically, DP9 attenuated the Gal-3/EGFR/AKT/FOXO3 signaling pathway while showing minimal cytotoxicity to normal cells. This study first demonstrated that agarose-derived odd-numbered oligosaccharides (DP9) can serve as effective Gal-3 inhibitors, which proved its potential as a marine oligosaccharide-based therapeutic agent for pancreatic cancer.
Full article
(This article belongs to the Special Issue Marine-Derived Bioactive Substances and Their Mechanisms of Action)
►▼
Show Figures

Figure 1
Journal Menu
► ▼ Journal Menu-
- Marine Drugs Home
- Aims & Scope
- Editorial Board
- Reviewer Board
- Instructions for Authors
- Special Issues
- Topics
- Sections & Collections
- Article Processing Charge
- Indexing & Archiving
- Editor’s Choice Articles
- Most Cited & Viewed
- Journal Statistics
- Journal History
- Journal Awards
- Society Collaborations
- Conferences
- Editorial Office
Journal Browser
► ▼ Journal Browser-
arrow_forward_ios
Forthcoming issue
arrow_forward_ios Current issue - Vol. 23 (2025)
- Vol. 22 (2024)
- Vol. 21 (2023)
- Vol. 20 (2022)
- Vol. 19 (2021)
- Vol. 18 (2020)
- Vol. 17 (2019)
- Vol. 16 (2018)
- Vol. 15 (2017)
- Vol. 14 (2016)
- Vol. 13 (2015)
- Vol. 12 (2014)
- Vol. 11 (2013)
- Vol. 10 (2012)
- Vol. 9 (2011)
- Vol. 8 (2010)
- Vol. 7 (2009)
- Vol. 6 (2008)
- Vol. 5 (2007)
- Vol. 4 (2006)
- Vol. 3 (2005)
- Vol. 2 (2004)
- Vol. 1 (2003)
Highly Accessed Articles
Latest Books
E-Mail Alert
News
Topics
Topic in
Agrochemicals, Agronomy, Insects, IJMS, Marine Drugs, Toxins, Agriculture, Biology
Research on Natural Bioactive Product-Based Pesticidal Agents—2nd Edition
Topic Editors: Min Lv, Hui XuDeadline: 28 February 2026
Topic in
Applied Biosciences, Applied Sciences, Fermentation, Marine Drugs, Microorganisms, Phycology
Microalgae: Current Trends in Basic Research and Applications
Topic Editors: Nhuan Nghiem, Tae Hyun KimDeadline: 31 March 2026
Topic in
Applied Biosciences, Applied Microbiology, Fermentation, Marine Drugs, Microorganisms
Microbial Cell Factories for Natural Products
Topic Editors: Carlos Barreiro, Ana Ibáñez, José L. BarredoDeadline: 31 May 2026
Conferences
Special Issues
Special Issue in
Marine Drugs
Marine Microalgae Culture and Active Substance Development
Guest Editors: Jianke Huang, Zhen ZhangDeadline: 30 November 2025
Special Issue in
Marine Drugs
Marine Bioactive Peptides—Structure, Function and Application, 3rd Edition
Guest Editors: Chang-Feng Chi, Bin WangDeadline: 30 November 2025
Special Issue in
Marine Drugs
Marine Lectins: Structures, Functions and Applications
Guest Editor: Kanji HoriDeadline: 30 November 2025
Special Issue in
Marine Drugs
Pharmacological Potential of Marine Natural Products, 3rd Edition
Guest Editor: Chang-Lun ShaoDeadline: 30 November 2025
Topical Collections
Topical Collection in
Marine Drugs
Bioactive Compounds from Marine Plankton
Collection Editor: Georg Pohnert
Topical Collection in
Marine Drugs
Marine Drugs in the Management of Metabolic Diseases
Collection Editor: Ralph Urbatzka
Topical Collection in
Marine Drugs
Zebrafish Models in Marine Drug Discovery
Collection Editor: Xiaobin Li





