Natural Products from Marine Microorganisms with Agricultural Applications
Abstract
1. Introduction
2. Results
2.1. Agricultural Antimicrobial Metabolites
2.1.1. Marine-Sourced Fungi (Excluding Those from Mangroves)
2.1.2. Marine-Sourced Bacteria
2.1.3. Fungi from Mangroves
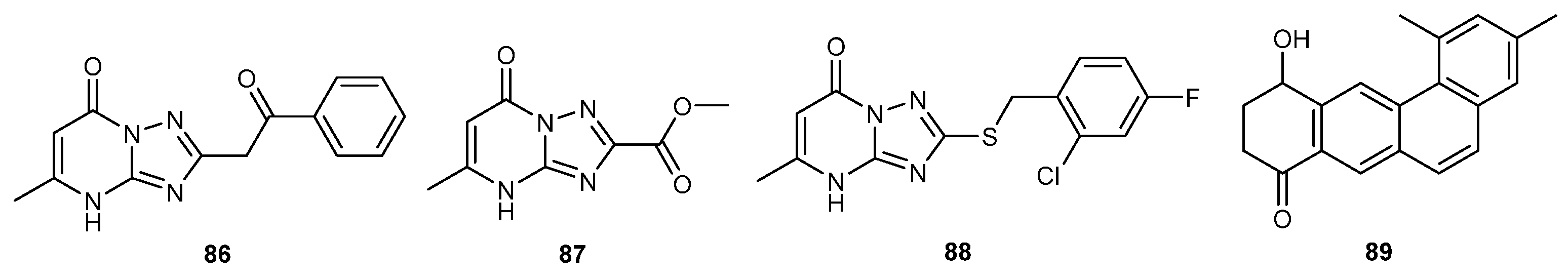
2.2. Agricultural Antiviral Metabolites
2.3. Agricultural Herbicidal Metabolites
2.4. Agricultural Insecticidal Metabolites
3. Discussion
Mechanism of Action of MBCs
Author Contributions
Funding
Institutional Review Board Statement
Data Availability Statement
Conflicts of Interest
References
- Jackson, V.; Sherer, C.; Jordan, L.; Clohessy, T. Unveiling the potential: Exploring the efficacy of complex III inhibitors in fungal disease control. Pest Manag. Sci. 2025, 81, 2450–2456. [Google Scholar] [CrossRef]
- Ngo, D.H.; Vo, T.S.; Ngo, D.N.; Wijesekara, I.; Kim, S.K. Biological activities and potential health benefits of bioactive peptides derived from marine organisms. Int. J. Biol. Macromol. 2012, 51, 378–383. [Google Scholar] [CrossRef]
- Carroll, A.R.; Copp, B.R.; Davis, R.A.; Keyzers, R.A.; Prinsep, M.R. Marine Natural Products. Nat. Prod. Rep. 2019, 36, 122–173. [Google Scholar] [CrossRef]
- Shaheen, H.; Rajput, N.; Atiq, M.; Kachelo, G.; Ahmad, H.; Wahab, M.; Tahir, M.; Hasnain, A. Antifungal potential of medicinal plant extracts against brown leaf spot (BLS) disease of rice caused by Bipolaris oryzae. Sarhad J. Agric. 2024, 40, 603–614. [Google Scholar] [CrossRef]
- Alvarez, A.; Saez, J.M.; Costa, J.S.D.; Colin, V.L.; Fuentes, M.S.; Cuozzo, S.A.; Benimeli, C.S.; Polti, M.A.; Amoroso, M.J. Actinobacteria: Current research and perspectives for bioremediation of pesticides and heavy metals. Chemosphere 2017, 166, 41–62. [Google Scholar] [CrossRef] [PubMed]
- Burg, R.W.; Miller, B.M.; Baker, E.E.; Birnbaum, J.; Currie, S.A.; Hartman, R.; Kong, Y.; Monaghan, R.L.; Olson, G.; Putter, I.; et al. Avermectins, New Family of Potent Anthelmintic Agents: Producing Organism and Fermentation. Antimicrob. Agents Chemother. 1979, 15, 361–367. [Google Scholar] [CrossRef] [PubMed]
- Mukohara, T.; Nagai, S.; Mukai, H.; Namiki, M.; Minami, H. Eribulin Mesylate in Patients with Refractory Cancers: A Phase I Study. Investig. New Drugs 2012, 30, 1926–1933. [Google Scholar] [CrossRef]
- Newman, D.J.; Cragg, G.M. Natural Products as Sources of New Drugs from 1981 to 2014. J. Nat. Prod. 2016, 79, 629–661. [Google Scholar] [CrossRef]
- Blunt, J.W.; Copp, B.R.; Keyzers, R.A.; Munro, M.H.G.; Prinsep, M.R. Marine Natural Products. Nat. Prod. Rep. 2014, 31, 160–258. [Google Scholar] [CrossRef]
- Carroll, A.R.; Copp, B.R.; Davis, R.A.; Keyzers, R.A.; Prinsep, M.R. Marine Natural Products. Nat. Prod. Rep. 2023, 40, 275–325. [Google Scholar] [CrossRef]
- Blunt, J.W.; Copp, B.R.; Keyzers, R.A.; Munro, M.H.G.; Prinsep, M.R. Marine Natural Products. Nat. Prod. Rep. 2017, 34, 235–294. [Google Scholar] [CrossRef]
- Peng, Y.; Li, S.J.; Yan, J.; Tang, Y.; Cheng, J.P.; Gao, A.J.; Yao, X.; Ruan, J.J.; Xu, B.L. Research Progress on Phytopathogenic Fungi and Their Role as Biocontrol Agents. Front. Microbiol. 2021, 12, 670135. [Google Scholar] [CrossRef] [PubMed]
- Li, L.; Zhu, X.M.; Zhang, Y.R.; Cai, Y.Y.; Wang, J.Y.; Liu, M.Y.; Wang, J.Y.; Bao, J.D.; Lin, F.C. Research on the Molecular Interaction Mechanism between Plants and Pathogenic Fungi. Int. J. Mol. Sci. 2022, 23, 4658. [Google Scholar] [CrossRef] [PubMed]
- Ncube, E.; Flett, B.C.; Van den Berg, J.; Erasmus, A.; Viljoen, A. The Effect of Busseola fusca Infestation, Fungal Inoculation and Mechanical Wounding on Fusarium Ear Rot Development and Fumonisin Production in Maize. Crop Prot. 2017, 99, 177–183. [Google Scholar] [CrossRef]
- Thakur, O.; Prasad, R. Engineering Resistance to Alternaria cyamopsidis by RNAi Mediated Gene Silencing of Chitin Synthase Export Chaperone CHS7 in Guar. Physiol. Mol. Plant Pathol. 2020, 112, 101541. [Google Scholar] [CrossRef]
- Dai, L.; Xie, Q.; Guo, J.; Ma, Q.; Yang, L.; Yuan, J.; Dai, H.; Yu, Z.; Zhao, Y. Bioactive Chemical Constituents from the Marine-Derived Fungus Cladosporium sp. DLT-5. J. Oceanol. Limnol. 2024, 42, 905–914. [Google Scholar] [CrossRef]
- Zou, X.; Wei, Y.; Zhu, J.; Sun, J.; Shao, X. Volatile Organic Compounds of Scheffersomyces spartinae W9 Have Antifungal Effect against Botrytis cinerea on Strawberry Fruit. Foods 2023, 12, 3619. [Google Scholar] [CrossRef]
- Yang, X.; Yu, H.; Ren, J.; Cai, L.; Xu, L.; Liu, L. Sulfoxide-Containing Bisabolane Sesquiterpenoids with Antimicrobial and Nematicidal Activities from the Marine-Derived Fungus Aspergillus sydowii LW09. J. Fungi 2023, 9, 347. [Google Scholar] [CrossRef]
- Vieira, G.; Sette, L.D.; de Angelis, D.A.; Sass, D.C. Antifungal Activity of Cyclopaldic Acid from Antarctic penicillium against Phytopathogenic Fungi. Biotech 2023, 13, 374. [Google Scholar] [CrossRef]
- Liu, B.; Li, X.; Wang, W.; Wang, X.; Aihaiti, P.; Lin, T.; Fu, Z.; Xu, R.; Wu, M.; Li, Z.; et al. A New Method of Preparing Aurone by Marine Actinomycetes and Its Potential Application in Agricultural Fungicides. Molecules 2023, 28, 17. [Google Scholar] [CrossRef]
- Oppong-Danquah, E.; Bluemel, M.; Scarpato, S.; Mangoni, A.; Tasdemir, D. Induction of Isochromanones by Co-Cultivation of the Marine Fungus Cosmospora sp. and the Phytopathogen Magnaporthe oryzae. Int. J. Mol. Sci. 2022, 23, 782. [Google Scholar] [CrossRef] [PubMed]
- Nguyen, M.V.; Han, J.W.; Kim, H.; Choi, G.J. Phenyl Ethers from the Marine-Derived Fungus Aspergillus tabacinus and Their Antimicrobial Activity Against Plant Pathogenic Fungi and Bacteria. ACS Omega 2022, 7, 33273–33279. [Google Scholar] [CrossRef] [PubMed]
- Ngo, M.T.; Van Nguyen, M.; Han, J.W.; Park, M.S.; Kim, H.; Choi, G.J. In Vitro and In Vivo Antifungal Activity of Sorbicillinoids Produced by Trichoderma longibrachiatum. J. Fungi 2021, 7, 428. [Google Scholar] [CrossRef]
- Zhao, T.; Zhang, X.Y.; Deng, R.S.; Tan, Z.; Chen, G.Y.; Nong, X.H. Three New Unsaturated Fatty Acids from Marine-Derived Fungus Aspergillus sp. SCAU150. Nat. Prod. Res. 2022, 36, 3965–3971. [Google Scholar] [CrossRef]
- Chen, T.; Yang, W.; Li, T.; Yin, Y.; Liu, Y.; Wang, B.; She, Z. Hemiacetalmeroterpenoids A-C and Astellolide Q with Antimicrobial Activity from the Marine-Derived Fungus Penicillium sp. N-5. Mar. Drugs 2022, 20, 514. [Google Scholar] [CrossRef]
- Saad, M.M.G.; Abdelgaleil, S.A.M.; Shiono, Y. Antibacterial and Herbicidal Properties of Secondary Metabolites from Fungi. Nat. Prod. Res. 2021, 35, 5446–5451. [Google Scholar] [CrossRef]
- Bunbamrung, N.; Intaraudom, C.; Dramae, A.; Komwijit, S.; Laorob, T.; Khamsaeng, S.; Pittayakhajonwut, P. Antimicrobial, Antimalarial and Anticholinesterase Substances from the Marine-Derived Fungus Aspergillus terreus BCC51799. Tetrahedron 2020, 76, 131496. [Google Scholar] [CrossRef]
- Shi, Z.-Z.; Yin, X.-L.; Ji, N.-Y. Trichoderols B-G, Six New Lipids from the Marine Algicolous Fungus Trichoderma sp. Z43. Mar. Drugs 2023, 21, 453. [Google Scholar] [CrossRef]
- Zhao, D.L.; Wang, H.S.; Gao, L.W.; Zhang, P. Tennessenoid A, an Unprecedented Steroid-Sorbicillinoid Adduct from the Marine-Derived Endophyte of Aspergillus sp. Strain 1022LEF. Front. Mar. Sci. 2022, 9, 923128. [Google Scholar] [CrossRef]
- Ge, Y.; Tang, W.L.; Huang, Q.R.; Wei, M.L.; Li, Y.Z.; Jiang, L.L.; Li, C.L.; Yu, X.; Zhu, H.W.; Chen, G.Z.; et al. New Enantiomers of a Nor-Bisabolane Derivative and Two New Phthalides Produced by the Marine-Derived Fungus Penicillium chrysogenum LD-201810. Front. Microbiol. 2021, 12, 727670. [Google Scholar] [CrossRef]
- Yue, Y.; Yu, H.; Li, R.; Hu, L.; Liu, S.; Xing, R.; Li, P. Isolation and Identification of Antimicrobial Metabolites from Sea Anemone-Derived Fungus Emericella sp. SMA01. J. Oceanol. Limnol. 2021, 39, 1010–1019. [Google Scholar] [CrossRef]
- Shi, Z.Z.; Liu, X.H.; Li, X.N.; Ji, N.Y. Antifungal and Antimicroalgal Trichothecene Sesquiterpenes from the Marine Algicolous Fungus Trichoderma brevicompactum A-DL-9-2. J. Agric. Food Chem. 2020, 68, 15440–15448. [Google Scholar] [CrossRef]
- Du, F.Y.; Li, X.M.; Sun, Z.C.; Meng, L.H.; Wang, B.G. Secondary Metabolites with Agricultural Antagonistic Potentials from Beauveria felina, a Marine-Derived Entomopathogenic Fungus. J. Agric. Food Chem. 2020, 68, 14824–14831. [Google Scholar] [CrossRef]
- Xu, K.; Wei, X.L.; Xue, L.; Zhang, Z.F.; Zhang, P. Antimicrobial Meroterpenoids and Erythritol Derivatives Isolated from the Marine-Algal-Derived Endophytic Fungus Penicillium chrysogenum XNM-12. Mar. Drugs 2020, 18, 578. [Google Scholar] [CrossRef]
- Li, H.L.; Li, X.M.; Yang, S.Q.; Cao, J.; Li, Y.H.; Wang, B.G. Induced Terreins Production from Marine Red Algal-Derived Endophytic Fungus Aspergillus terreus EN-539 Co-Cultured with Symbiotic Fungus Paecilomyces lilacinus EN-531. J. Antibiot. 2020, 73, 108–111. [Google Scholar] [CrossRef] [PubMed]
- Hu, X.Y.; Li, X.M.; Yang, S.Q.; Liu, H.; Meng, L.H.; Wang, B.G. Three New Sesquiterpenoids from the Algal-Derived Fungus Penicillium chermesinum EN-480. Mar. Drugs 2020, 18, 194. [Google Scholar] [CrossRef] [PubMed]
- Fei, L.; Xu, X.; Feng, J.; Hao, L. Inhibition of Oil Tea Anthracnose by Natural Product Extracts from Bacillus and Pseudoalteromonas Isolates from Mangrove Soil. Front. Mar. Sci. 2023, 10, 1299118. [Google Scholar] [CrossRef]
- Zhang, H.; Ren, X.; Xu, H.; Qi, H.; Du, S.; Huang, J.; Zhang, J.; Wang, J. Phenopyrrolizins A and B, Two Novel Pyrrolizine Alkaloids from Marine-Derived Actinomycetes Micromonospora sp. HU138. Molecules 2023, 28, 7672. [Google Scholar] [CrossRef]
- Kharat, B.A.; Said, M.S.; Dastager, S.G. Antifungal Compound from Marine Serratia Marcescens BKACT and Its Potential Activity against Fusarium sp. Int. Microbiol. 2022, 25, 851–862. [Google Scholar] [CrossRef]
- Gomez, J.S.; Shaikhet, M.; Loganathan, A.K.; Darnowski, M.G.G.; Boddy, C.N.N.; McMullin, D.R.R.; Avis, T.J.J. Characterization of Arthropeptide B, an Antifungal Cyclic Tetrapeptide from Arthrobacter humicola. J. Chem. Ecol. 2023, 49, 528–536. [Google Scholar] [CrossRef]
- Guillén-Navarro, K.; López-Gutiérrez, T.; García-Fajardo, V.; Gómez-Cornelio, S.; Zarza, E.; De la Rosa-García, S.; Chan-Bacab, M. Broad-Spectrum Antifungal, Biosurfactants and Bioemulsifier Activity of Bacillus subtilis subsp. spizizenii—A Potential Biocontrol and Bioremediation Agent in Agriculture. Plants 2023, 12, 1374. [Google Scholar] [CrossRef] [PubMed]
- Huang, L.; Ling, X.; Peng, S.; Tan, M.; Yan, L.; Liang, Y.; Li, G.; Li, K. A Marine Lipopeptides-Producing Bacillus amyloliquefaciens HY2-1 with a Broad-Spectrum Antifungal and Antibacterial Activity and Its Fermentation Kinetics Study. World J. Microbiol. Biotechnol. 2023, 39, 196. [Google Scholar] [CrossRef] [PubMed]
- Setiawan, A.; Setiawan, F.; Juliasih, N.L.G.R.; Widyastuti, W.; Laila, A.; Setiawan, W.A.; Djailani, F.M.; Mulyono, M.; Hendri, J.; Arai, M. Fungicide Activity of Culture Extract from Kocuria palustris 19C38A1 against Fusarium oxysporum. J. Fungi 2022, 8, 280. [Google Scholar] [CrossRef] [PubMed]
- Wen, Q.; Liu, R.; Ouyang, Z.; He, T.; Zhang, W.; Chen, X. Identification of a New Antifungal Peptide W1 from a Marine Bacillus amyloliquefaciens Reveals Its Potential in Controlling Fungal Plant Diseases. Front. Microbiol. 2022, 13, 922454. [Google Scholar] [CrossRef]
- Liu, W.; Sun, C. C17-Fengycin B, Produced by Deep-Sea-Derived Bacillus subtilis, Possessing a Strong Antifungal Activity against Fusarium solani. J. Oceanol. Limnol. 2021, 39, 1938–1947. [Google Scholar] [CrossRef]
- Chen, Y.; Wei, Y.; Cai, B.; Zhou, D.; Qi, D.; Zhang, M.; Zhao, Y.; Li, K.; Wedge, D.E.; Pan, Z.; et al. Discovery of Niphimycin C from Streptomyces yongxingensis sp. Nov. as a Promising Agrochemical Fungicide for Controlling Banana Fusarium Wilt by Destroying the Mitochondrial Structure and Function. J. Agric. Food Chem. 2022, 70, 12784–12795. [Google Scholar] [CrossRef]
- Fan, J.; Guo, F.; Zhao, C.; Li, H.; Qu, T.; Xiao, L.; Du, F. Secondary Metabolites with Herbicidal and Antifungal Activities from Marine-Derived Fungus Alternaria iridiaustralis. J. Fungi 2023, 9, 716. [Google Scholar] [CrossRef]
- Zou, G.; Yang, W.; Chen, T.; Liu, Z.; Chen, Y.; Li, T.; Said, G.; Sun, B.; Wang, B.; She, Z. Griseofulvin Enantiomers and Bromine-Containing Griseofulvin Derivatives with Antifungal Activity Produced by the Mangrove Endophytic Fungus Nigrospora sp. QQYB1. Mar. Life Sci. Technol. 2023, 6, 102–114. [Google Scholar] [CrossRef]
- Yin, Y.; Tan, Q.; Wu, J.; Chen, T.; Yang, W.; She, Z.; Wang, B. The Polyketides with Antimicrobial Activities from a Mangrove Endophytic Fungus Trichoderma lentiforme ML-P8-2. Mar. Drugs 2023, 21, 566. [Google Scholar] [CrossRef]
- Shen, N.; Liang, Z.; Liu, Q.; Tu, C.; Dong, K.; Wang, C.; Chen, M. Antifungal Secondary Metabolites Isolated from Mangrove Rhizosphere Soil-Derived Penicillium Fungi. J. Ocean. Univ. China 2020, 19, 717–721. [Google Scholar] [CrossRef]
- Zang, Z.; Yang, W.; Cui, H.; Cai, R.; Li, C.; Zou, G.; Wang, B.; She, Z. Two Antimicrobial Heterodimeric Tetrahydroxanthones with a 7,7′-Linkage from Mangrove Endophytic Fungus Aspergillus flavus QQYZ. Molecules 2022, 27, 2691. [Google Scholar] [CrossRef]
- Zhang, F.Z.; Li, X.M.; Meng, L.H.; Wang, B.G. Cladocladosin A, an Unusual Macrolide with Bicyclo 5/9 Ring System, and Two Thiomacrolides from the Marine Mangrove-Derived Endophytic Fungus, Cladosporium cladosporioides MA-299. Bioorg. Chem. 2020, 101, 103950. [Google Scholar] [CrossRef] [PubMed]
- Liang, Z.Y.; Shen, N.X.; Zhou, X.J.; Zheng, Y.Y.; Chen, M.; Wang, C.Y. Bioactive Indole Diterpenoids and Polyketides from the Marine-Derived Fungus Penicillium javanicum. Chem. Nat. Compd. 2020, 56, 379–382. [Google Scholar] [CrossRef]
- Cao, J.; Li, X.M.; Li, X.; Li, H.L.; Meng, L.H.; Wang, B.G. New Lactone and Isocoumarin Derivatives from the Marine Mangrove-Derived Endophytic Fungus Penicillium coffeae MA-314. Phytochem. Lett. 2019, 32, 1–5. [Google Scholar] [CrossRef]
- Wu, Z.; Chen, J.; Zhang, X.; Chen, Z.; Li, T.; She, Z.; Ding, W.; Li, C. Four New Isocoumarins and a New Natural Tryptamine with Antifungal Activities from a Mangrove Endophytic Fungus Botryosphaeria ramosa L29. Mar. Drugs 2019, 17, 88. [Google Scholar] [CrossRef]
- Huang, R.H.; Gou, J.Y.; Zhao, D.L.; Wang, D.; Liu, J.; Ma, G.Y.; Li, Y.Q.; Zhang, C.S. Phytotoxicity and Anti-Phytopathogenic Activities of Marine-Derived Fungi and Their Secondary Metabolites. Rsc Adv. 2018, 8, 37573–37580. [Google Scholar] [CrossRef]
- Jones, R.A.C. Disease Pandemics and Major Epidemics Arising from New Encounters between Indigenous Viruses and Introduced Crops. Viruses 2020, 12, 1388. [Google Scholar] [CrossRef]
- Wang, Z.; Lu, A.; Wang, Q. Chapter 39—Marine Natural Products and Plant Virus Control. In Recent Highlights in the Discovery and Optimization of Crop Protection Products; Academic Press: Cambridge, MA, USA, 2021; pp. 563–569. [Google Scholar]
- Liu, Y.; Song, H.; Huang, Y.; Li, J.; Zhao, S.; Song, Y.; Yang, P.; Xiao, Z.; Liu, Y.; Li, Y.; et al. Design, Synthesis, and Antiviral, Fungicidal, and Insecticidal Activities of Tetrahydro-β-Carboline-3-Carbohydrazide Derivatives. J. Agric. Food Chem. 2014, 62, 9987–9999. [Google Scholar] [CrossRef]
- Shi, J.; Yu, L.; Song, B. Proteomics Analysis of Xiangcaoliusuobingmi-Treated Capsicum annuum L. Infected with Cucumber Mosaic Virus. Pestic. Biochem. Physiol. 2018, 149, 113–122. [Google Scholar] [CrossRef]
- Zhang, J.; He, F.; Chen, J.; Wang, Y.; Yang, Y.; Hu, D.; Song, B. Purine Nucleoside Derivatives Containing a Sulfa Ethylamine Moiety: Design, Synthesis, Antiviral Activity, and Mechanism. J. Agric. Food Chem. 2021, 69, 5575–5582. [Google Scholar] [CrossRef]
- Song, H.; Liu, Y.; Wang, Q. Research Progress of Anti-Plant Virus Agents Based on Marine Natural Products. Adv. Agrochem. 2023, 2, 31–38. [Google Scholar] [CrossRef]
- El-Gendy, M.M.A.; Shaaban, M.; Shaaban, K.A.; El-Bondkly, A.M.; Laatsch, H. Essramycin: A First Triazolopyrimidine Antibiotic Isolated from Nature. J. Antibiot. 2008, 61, 149–157. [Google Scholar] [CrossRef] [PubMed]
- Wang, T.; Yang, S.; Li, H.; Lu, A.; Wang, Z.; Yao, Y.; Wang, Q. Discovery, Structural Optimization, and Mode of Action of Essramycin Alkaloid and Its Derivatives as Anti-Tobacco Mosaic Virus and Anti-Phytopathogenic Fungus Agents. J. Agric. Food Chem. 2020, 68, 471–484. [Google Scholar] [CrossRef] [PubMed]
- Guo, L.; Zhang, L.; Yang, Q.L.; Xu, B.; Fu, X.Z.; Liu, M.; Li, Z.; Zhang, S.M.; Xie, Z.P. Antibacterial and Cytotoxic Bridged and Ring Cleavage Angucyclinones from a Marine Streptomyces sp. Front. Chem. 2020, 8, 586. [Google Scholar] [CrossRef]
- Pakdaman Sardrood, B.; Mohammadi Goltapeh, E. Weeds, Herbicides and Plant Disease Management. In Sustainable Agriculture Reviews 31: Biocontrol; Springer: Cham, Switzerland, 2018; pp. 41–178. [Google Scholar] [CrossRef]
- Wang, W.; Wang, M.; Wang, X.B.; Li, Y.Q.; Ding, J.L.; Lan, M.X.; Gao, X.; Zhao, D.L.; Zhang, C.S.; Wu, G.X. Phytotoxic Azaphilones from the Mangrove-Derived Fungus Penicillium sclerotiorum HY5. Front. Microbiol. 2022, 13, 880874. [Google Scholar] [CrossRef]
- Motti, C.A.; Bourne, D.G.; Burnell, J.N.; Doyle, J.R.; Haines, D.S.; Liptrot, C.H.; Llewellyn, L.E.; Ludke, S.; Muirhead, A.; Tapiolas, D.M. Screening Marine Fungi for Inhibitors of the C4 Plant Enzyme Pyruvate Phosphate Dikinase: Unguinol as a Potential Novel Herbicide Candidate. Appl. Environ. Microbiol. 2007, 73, 1921–1927. [Google Scholar] [CrossRef]
- Loebenstein, G.; Carr, J.P. Natural Resistance Mechanisms of Plants to Viruses; Springer: Dordrecht, The Netherlands, 2006. [Google Scholar]
- Souto, A.L.; Sylvestre, M.; Tölke, E.D.; Tavares, J.F.; Barbosa-Filho, J.M.; Cebrián-Torrejón, G. Plant-Derived Pesticides as an Alternative to Pest Management and Sustainable Agricultural Production: Prospects, Applications and Challenges. Molecules 2021, 26, 4835. [Google Scholar] [CrossRef]
- Hai, Y.; Wei, M.Y.; Wang, C.Y.; Gu, Y.C.; Shao, C.L. The Intriguing Chemistry and Biology of Sulfur-Containing Natural Products from Marine Microorganisms (1987–2020). Mar. Life Sci. Technol. 2021, 3, 488–518. [Google Scholar] [CrossRef]
- Song, C.; Yang, J.; Zhang, M.; Ding, G.; Jia, C.; Qin, J.; Guo, L. Marine Natural Products: The Important Resource of Biological Insecticide. Chem. Biodivers. 2021, 18, e2001020. [Google Scholar] [CrossRef]
- Bai, M.; Zheng, C.; Nong, X.; Zhou, X.; Luo, Y.; Chen, G. Four New Insecticidal Xanthene Derivatives from the Mangrove-Derived Fungus Penicillium sp. JY246. Mar. Drugs 2019, 17, 649. [Google Scholar] [CrossRef]
- Chen, D.; Zhang, P.; Liu, T.; Wang, X.-F.; Li, Z.-X.; Li, W.; Wang, F.-L. Insecticidal Activities of Chloramphenicol Derivatives Isolated from a Marine Alga-Derived Endophytic Fungus, Acremonium vitellinum, against the Cotton Bollworm, Helicoverpa armigera (Hübner) (Lepidoptera: Noctuidae). Molecules 2018, 23, 2995. [Google Scholar] [CrossRef]
- Guo, Z.; Gai, C.; Cai, C.; Chen, L.; Liu, S.; Zeng, Y.; Yuan, J.; Mei, W.; Dai, H. Metabolites with Insecticidal Activity from Aspergillus fumigatus JRJ111048 Isolated from Mangrove Plant Acrostichum specioum Endemic to Hainan Island. Mar. Drugs 2017, 15, 381. [Google Scholar] [CrossRef]
- Du, F.Y.; Li, X.M.; Li, C.S.; Shang, Z.; Wang, B.G. Cristatumins A-D, New Indole Alkaloids from the Marine-Derived Endophytic Fungus Eurotium cristatum EN-220. Bioorg. Med. Chem. Lett. 2012, 22, 4650–4653. [Google Scholar] [CrossRef] [PubMed]
- Qiao, M.; Ji, N.; Liu, X.; Li, K.; Zhu, Q.; Xue, Q. Indoloditerpenes from an Algicolous Isolate of Aspergillus oryzae. Bioorg. Med. Chem. Lett. 2010, 20, 5677–5680. [Google Scholar] [CrossRef] [PubMed]
- Dörr, T. Understanding tolerance to cell wall–active antibiotics. Ann. N. Y. Acad. Sci. 2021, 1496, 35–58. [Google Scholar] [CrossRef] [PubMed]
- Scaglioni, P.T.; Pagnussatt, F.A.; Lemos, A.C.; Nicolli, C.P.; Del Ponte, E.M.; Badiale-Furlong, E. Nannochloropsis sp. and Spirulina sp. as a source of antifungal compounds to mitigate contamination by Fusarium graminearum species complex. Curr. Microbiol. 2019, 76, 930–938. [Google Scholar] [CrossRef]
- Ma, Z.; Wang, N.; Hu, J.; Wang, S. Isolation and characterization of a new iturinic lipopeptide, mojavensin A produced by a marine-derived bacterium Bacillus mojavensis B0621A. J. Antibiot. 2012, 65, 317–322. [Google Scholar] [CrossRef]
- Nair, V.; Schuhmann, I.; Anke, H.; Kelter, G.; Fiebig, H.H.; Helmke, E.; Laatsch, H. Marine bacteria, XLVII–Psychrotolerant bacteria from extreme antarctic habitats as producers of rare bis-and trisindole alkaloids. Planta Medica 2016, 82, 910–918. [Google Scholar] [CrossRef]
- Liu, M.; Wang, G.; Xiao, L.; Xu, X.; Liu, X.; Xu, P.; Lin, X. Bis (2, 3-dibromo-4, 5-dihydroxybenzyl) ether, a marine algae derived bromophenol, inhibits the growth of Botrytis cinerea and interacts with DNA molecules. Mar. Drugs 2014, 12, 3838–3851. [Google Scholar] [CrossRef]
- López-Abarrategui, C.; Alba, A.; Silva, O.N.; Reyes-Acosta, O.; Vasconcelos, I.M.; Oliveira, J.T.; Migliolo, L.; Costa, M.P.; Costa, C.R.; Silva, M.R. Functional characterization of a synthetic hydrophilic antifungal peptide derived from the marine snail Cenchritis muricatus. Biochimie 2012, 94, 968–974. [Google Scholar] [CrossRef]
- Zhang, L.; Sun, C. Fengycins, cyclic lipopeptides from marine Bacillus subtilis strains, kill the plant-pathogenic fungus Magnaporthe grisea by inducing reactive oxygen species production and chromatin condensation. Appl. Environ. Microbiol. 2018, 84, e00445-18. [Google Scholar] [CrossRef]
- Zhao, D.L.; Wang, D.; Tian, X.Y.; Cao, F.; Li, Y.Q.; Zhang, C.S. Anti-phytopathogenic and cytotoxic activities of crude extracts and secondary metabolites of marine-derived fungi. Mar. Drugs 2018, 16, 36. [Google Scholar] [CrossRef]
- Zhao, D.; Han, X.; Wang, D.; Liu, M.; Gou, J.; Peng, Y.; Liu, J.; Li, Y.; Cao, F.; Zhang, C. Bioactive 3-decalinoyltetramic acids derivatives from a marine-derived strain of the fungus Fusarium equiseti D39. Front. Microbiol. 2019, 10, 1285. [Google Scholar] [CrossRef]
- Deng, S.; Gu, Z.; Yang, N.; Li, L.; Yue, X.; Que, Y.; Sun, G.; Wang, Z.; Wang, J. Identification and characterization of the peroxin 1 gene MoPEX1 required for infection-related morphogenesis and pathogenicity in Magnaporthe oryzae. Sci. Rep. 2016, 6, 36292. [Google Scholar] [CrossRef] [PubMed]
- Li, X.; Zhao, H.; Chen, X. Screening of marine bioactive antimicrobial compounds for plant pathogens. Mar. Drugs 2021, 19, 69. [Google Scholar] [CrossRef] [PubMed]
- Betancur, L.A.; Forero, A.M.; Vinchira-Villarraga, D.M.; Cárdenas, J.D.; Romero-Otero, A.; Chagas, F.O.; Pupo, M.T.; Castellanos, L.; Ramos, F.A. NMR-based metabolic profiling to follow the production of anti-phytopathogenic compounds in the culture of the marine strain Streptomyces sp. PNM-9. Microbiol. Res. 2020, 239, 126507. [Google Scholar] [CrossRef] [PubMed]
- Haque, M.; Islam, S.; Sheikh, M.A.; Dhingra, S.; Uwambaye, P.; Labricciosa, F.M.; Iskandar, K.; Charan, J.; Abukabda, A.B.; Jahan, D. Quorum sensing: A new prospect for the management of antimicrobial-resistant infectious diseases. Expert Rev. Anti-Infect. Ther. 2021, 19, 571–586. [Google Scholar] [CrossRef]
- Soto-Aceves, M.P.; Cocotl-Yañez, M.; Servín-González, L.; Soberón-Chávez, G. The Rhl quorum-sensing system is at the top of the regulatory hierarchy under phosphate-limiting conditions in Pseudomonas aeruginosa PAO1. J. Bacteriol. 2021, 203, e00475-20. [Google Scholar] [CrossRef]
- De Almeida, C.L.; Falcão, H.D.; Lima, G.R.; Montenegro, C.D.; Lira, N.S.; de Athayde-Filho, P.F.; Rodrigues, L.C.; De Souza, M.D.; Barbosa-Filho, J.M.; Batista, L.M. Bioactivities from marine algae of the genus Gracilaria. Int. J. Mol. Sci. 2011, 12, 4550–4573. [Google Scholar] [CrossRef]
- Ji, X.; Guo, J.; Liu, Y.; Lu, A.; Wang, Z.; Li, Y.; Yang, S.; Wang, Q. Marine-natural-product development: First discovery of nortopsentin alkaloids as novel antiviral, anti-phytopathogenic-fungus, and insecticidal agents. J. Agric. Food Chem. 2018, 66, 4062–4072. [Google Scholar] [CrossRef]
- Righini, H.; Baraldi, E.; García Fernández, Y.; Martel Quintana, A.; Roberti, R. Different antifungal activity of Anabaena sp., Ecklonia sp., and Jania sp. against Botrytis cinerea. Mar. Drugs 2019, 17, 299. [Google Scholar] [CrossRef] [PubMed]
- Manjunatha, L.; Rajashekara, H.; Uppala, L.S.; Ambika, D.S.; Patil, B.; Shankarappa, K.S.; Nath, V.S.; Kavitha, T.R.; Mishra, A.K. Mechanisms of microbial plant protection and control of plant viruses. Plants 2022, 11, 3449. [Google Scholar] [CrossRef] [PubMed]
- Reddy, G.V.S.; Bhargavi, K.; Suman, J.D.; Nanda, C.; Kantal, D.; Vate, N.K.; Shanthanna, P. Exploring Marine Natural Products as Antiviral Agents, Advances and Emerging Opportunities. Uttar Pradesh J. Zool. 2025, 46, 55–65. [Google Scholar] [CrossRef]
- Aina, O.; Bakare, O.O.; Daniel, A.I.; Gokul, A.; Beukes, D.R.; Fadaka, A.O.; Keyster, M.; Klein, A. Seaweed-derived phenolic compounds in growth promotion and stress alleviation in plants. Life 2022, 12, 1548. [Google Scholar] [CrossRef]
- Peng, J.; Shen, X.; El Sayed, K.A.; Dunbar, D.C.; Perry, T.L.; Wilkins, S.P.; Hamann, M.T.; Bobzin, S.; Huesing, J.; Camp, R. Marine natural products as prototype agrochemical agents. J. Agric. Food Chem. 2003, 51, 2246–2252. [Google Scholar] [CrossRef]
- Mercurio, P.; Eaglesham, G.; Parks, S.; Kenway, M.; Beltran, V.; Flores, F.; Mueller, J.F.; Negri, A.P. Contribution of transformation products towards the total herbicide toxicity to tropical marine organisms. Sci. Rep. 2018, 8, 4808. [Google Scholar] [CrossRef]
- Duarte, B.; Carreiras, J.; Feijão, E.; de Carvalho, R.C.; Matos, A.R.; Fonseca, V.F.; Novais, S.C.; Lemos, M.F. Potential of Asparagopsis armata as a biopesticide for weed control under an invasive seaweed circular-economy framework. Biology 2021, 10, 1321. [Google Scholar] [CrossRef]
- Oršolić, D.; Pehar, V.; Šmuc, T.; Stepanić, V. Comprehensive machine learning based study of the chemical space of herbicides. Sci. Rep. 2021, 11, 11479. [Google Scholar] [CrossRef]










| No. | Compound | Producing Strain | Active | Ref. |
|---|---|---|---|---|
| 1 | cladosporinisochromanone | Cladosporium sp. DLT-5 | - | [16] |
| 2 | cytochalasin H | Cladosporium sp. DLT-5 | Colletotrichum capsici | [16] |
| 3 | 2-phenylethanol | Scheffersomyces spartinae W9 | Botrytis cinerea | [17] |
| 4 | aspergillusene B | Aspergillus sydowii LW09 | Ralstonia solanacarum | [18] |
| 5 | (7S,11S)-(+)-12-hydroxysydonic acid | Aspergillus sydowii LW09 | Pseudomonas syringae | [18] |
| 6 | expansol G | Aspergillus sydowii LW09 | Ralstonia solanacarum | [18] |
| 7 | (S)-sydonic acid | Aspergillus sydowii LW09 | Fusarium oxysporum | [18] |
| 8 | (−)-(R)-cyclo-hydroxysydonic acid | Aspergillus sydowii LW09 | Alternaria alternata | [18] |
| 9 | aurone | Penicillium sp. CRM1540 | Botrytis cinerea, Sphaerotheca fuliginea, Pyricularia oryzae | [20] |
| 10 | soudanone A | Cosmospora sp. | - | [21] |
| 11 | soudanone E | Cosmospora sp. | Magnaporthe oryzae, Phytophthora infestans | [21] |
| 12 | soudanone D | Cosmospora sp. | Magnaporthe oryzae, Phytophthora infestans | [21] |
| 13 | pseudoanguillosporins A | Cosmospora sp. | Pseudomonas syringae, Xanthomonas campestris, Magnaporthe oryzae, Phytophthora infestans | [21] |
| 14 | violaceol I | Aspergillus tabacinus | - | [22] |
| 15 | violaceol II | Aspergillus tabacinus | - | [22] |
| 16 | diorcinol | Aspergillus tabacinus | Magnaporthe oryzae, Phytophthora infestans, Colletotrichum coccodes | [22] |
| 17 | bisvertinolone | Trichoderma longibrachiatum | Colletotrichum coccodes, Cylindrocarpon destructans, Magnaporthe oryzae | [23] |
| 18 | 8-Ethyl 2-methyleneoctanedioate | Aspergillus sp. SCAU150 | Fusarium solani bio-80814 | [24] |
| 19 | hemiacetalmeroterpenoids A | Penicillium sp. N-5 | Penicillium italicum, Colletrichum gloeosporioides | [25] |
| 20 | hemiacetalmeroterpenoids B | Penicillium sp. N-5 | - | [25] |
| 21 | hemiacetalmeroterpenoids C | Penicillium sp. N-5 | - | [25] |
| 22 | astellolide Q | Penicillium sp. N-5 | - | [25] |
| 23 | parasiticolide A | Penicillium sp. N-5 | - | [25] |
| 24 | citreohybridone A | Penicillium sp. N-5 | Penicillium italicum, Colletrichum gloeosporioides | [25] |
| 25 | andrastins B | Penicillium sp. N-5 | Penicillium italicum, Colletrichum gloeosporioides | [25] |
| 26 | methyleurotinone | Eurotium rubrum | Pectobacterium carotovorum | [26] |
| 27 | asperteramide | Aspergillus terreus BCC5799 | Alternaria brassicicola | [27] |
| 28 | aspulvinone | Aspergillus terreus BCC5799 | Alternaria brassicicola | [27] |
| 29 | luteoride E | Aspergillus terreus BCC5799 | Alternaria brassicicola | [27] |
| 30 | asterriquinone CT5 | Aspergillus terreus BCC5799 | Alternaria brassicicola | [27] |
| 31 | trichoderols B | Trichoderma sp. Z43 | Artermia salina | [28] |
| 32 | trichoderols E | Trichoderma sp. Z43 | Artermia salina | [28] |
| 33 | triharzianin B | Trichoderma sp. Z43 | Artermia salina | [28] |
| 34 | tennessenoid A | Asperigills sp. 1022LEF | Fusarium oxysporum | [29] |
| 35 | methylsulfinyl-1-hydroxyboivinianin A | Penicillium chrysogenum LD-201810 | - | [30] |
| 36 | hydroxysydonic acid | Penicillium chrysogenum LD-201810 | Botrytis cinerea | [30] |
| 37 | chrysoalide A | Penicillium chrysogenum LD-201810 | - | [30] |
| 38 | chrysoalide B | Penicillium chrysogenum LD-201810 | - | [30] |
| 39 | phenazine-1-carboxylic acid | Emericella sp. SMA01 | Phytophthora capsici, Gibberella zeae, Verticillium dahliae | [31] |
| 40 | trichodermin | Trichoderma brevicompactum A-DL-9-2 | Botrytis cinerea, Fusarium oxysporum | [32] |
| 41 | polyhydroxy steroid | Beauveria feline | Botrytis cinerea | [33] |
| 42 | tricyclic diterpenoid | Beauveria feline | Botrytis cinerea | [33] |
| 43 | oxalicine C | Penicillium chrysogenum XNM-12 | Ralstonia solanacearum | [34] |
| 44 | penicierythritols A | Penicillium chrysogenum XNM-12 | - | [34] |
| 45 | penicierythritols B | Penicillium chrysogenum XNM-12 | Ralstonia solanacearum, Alternaria alternata | [34] |
| 46 | asperterrein | Paecilomyces lilacinus EN-531 | Alternaria brassicae | [35] |
| 47 | dihydroterrein | Paecilomyces lilacinus EN-531 | Alternaria brassicae | [35] |
| 48 | terrein | Paecilomyces lilacinus EN-531 | Alternaria brassicae | [35] |
| 49 | chermesiterpenoids A | Penicillium chermesinum EN-480 | Colletottichum gloeosporioides | [36] |
| 50 | chermesiterpenoids B | Penicillium chermesinum EN-480 | Colletottichum gloeosporioides | [36] |
| 51 | chermesiterpenoids C | Penicillium chermesinum EN-480 | Colletottichum gloeosporioides | [36] |
| 52 | phenopyrrolizins A | Micromonospora sp. HU138 | Botrytis cinerea | [38] |
| 53 | phenopyrrolizins B | Micromonospora sp. HU138 | Botrytis cinerea | [38] |
| 54 | 2, 4-di-tert butyl phenol | Serratia marcescens BKACT | Fusarium sp. | [39] |
| 55 | arthropeptide B | Arthrobacter humicola M9-1A | Alternaria alternata | [40] |
| 56 | benzimidazole | Kocuria palustris 19C38A | Fusarium oxysporum | [43] |
| 57 | niphimycin C | Streptomyces yongxingensis sp. nov. (JCM 34965) | Fusarium oxysporum f. sp. cubense | [46] |
| 58 | alternanone A | Alternaria iridiaustralis | Botrytis cinerea | [47] |
| 59 | alternanone B | Alternaria iridiaustralis | Botrytis cinerea | [47] |
| 60 | chaetosemin D | Alternaria iridiaustralis | Botrytis cinerea | [47] |
| 61 | alternanone C | Alternaria iridiaustralis | BSotrytis cinerea | [47] |
| 62 | ( +)-6′-Hydroxygriseofulvin | Nigrospora sp. QQYB1 | Colletotrichum truncatum, Microsporum gypseum, Trichophyton mentagrophyte | [48] |
| 63 | Spiro[benzofuran-2(3H),1′-[2]cyclohexene]-3,4′-dione, 7-bromo-2′,4,6-trimethoxy-6′-methyl- (9CI) | Nigrospora sp. QQYB1 | Colletotrichum truncatum, Microsporum gypseum, Trichophyton mentagrophyte | [48] |
| 64 | 2-Pentenedioic acid, 3-methyl-, 1-[(1S,2R,4R,4aS,5S,6S,8aR)-1,2,3,4,4a,5,6,8a-octahydro-1-hydroxy-5-(3-hydroxy-1-oxopropyl)-4,5-dimethyl-6-[(1R)-1-methylpropyl]-2-naphthalenyl] ester, (2E)- (9CI, ACI) | Trichoderma lentiforme ML-P8-2 | Penicillium italicum | [49] |
| 65 | 2-Pentenedioic acid, 3-methyl-, 1-[(1S,2R,4R,4aS,5S,6S,8aR)-1,2,3,4,4a,5,6,8a-octahydro-1-hydroxy-5-(3-hydroxy-1-oxopropyl)-4,5-dimethyl-6-[(1R)-1-methylpropyl]-2-naphthalenyl] ester, (2E)- (9CI, ACI) | Trichoderma lentiforme ML-P8-2 | Penicillium italicum | [49] |
| 66 | tandyukisin C | Trichoderma lentiforme ML-P8-2 | Penicillium italicum | [49] |
| 67 | tandyukisin G | Trichoderma lentiforme ML-P8-2 | Penicillium italicum | [49] |
| 68 | brefeldin A | Penicillium javanicum HK1-23 | Rhizoctonia solani, Rhizoctonia cerealis | [50] |
| 69 | penicillic acid | Penicillium javanicum HK1-23 | Rhizoctonia solani, Rhizoctonia cerealis | [50] |
| 70 | aflaxanthones A | Aspergillus flavus QQYZ | Fusarium oxysporum, Collettrichum musae | [51] |
| 71 | aflaxanthones B | Aspergillus flavus QQYZ | Fusarium oxysporum, Collettrichum musae | [51] |
| 72 | cladocladosin A | Cladosporium cladosporioides MA-299 | Fusarium oxysporum f. sp. momodicae | [52] |
| 73 | thiocladospolides F | Cladosporium cladosporioides MA-299 | Fusarium oxysporum f. sp. momodicae | [52] |
| 74 | thiocladospolides G | Cladosporium cladosporioides MA-299 | Fusarium oxysporum f. sp. momodicae | [52] |
| 75 | emindole SB | Penicillium javanicum HK1-23 | Alternaria alternata | [53] |
| 76 | penialidin A | Penicillium javanicum HK1-23 | Alternaria alternata | [53] |
| 77 | penicoffeazine A | Penicillium coffeae MA-314 | Fusarium oxysporum f. sp. momordicae nov. f., Colletotrichum gloeosporioides | [54] |
| 78 | penicoffrazins B | Penicillium coffeae MA-314 | - | [54] |
| 79 | penicoffrazins C | Penicillium coffeae MA-314 | - | [54] |
| 80 | botryospyrones A | Botryosphaeria ramose L29 | Fusarium oxysporum | [55] |
| 81 | botryospyrones B | Botryosphaeria ramose L29 | Fusarium oxysporum, Fusarium graminearum | [55] |
| 82 | botryospyrones C | Botryosphaeria ramose L29 | Fusarium oxysporum, Fusarium graminearum | [55] |
| 83 | botryospyrones D | Botryosphaeria ramose L29 | Fusarium oxysporum, Fusarium graminearum | [55] |
| 84 | (3aS, 8aS)-1-acetyl-1, 2, 3, 3a, 8, 8a-hexahydropyrrolo [2,3b] indol-3a-ol | Botryosphaeria ramose L29 | Fusarium oxysporum, Fusarium graminearum | [55] |
| 85 | (+)-(2S,3R,4aR)-altenuene | Alternaria sp. (P8) | Alternaria brassicicola | [56] |
| 86 | essramycin | Streptomyces sp. Merv8102 | TMV | [64] |
| 87 | Methyl 1,7-dihydro-5-methyl-7-oxo [1,2,4]triazolo [1,5-a]pyrimidine-2-carboxylate | Streptomyces sp. Merv8102 | TMV | [64] |
| 88 | [1,2,4]Triazolo [1,5-a]pyrimidin-7(1H)-one, 2-[[(2-chloro-4-fluorophenyl)methyl]thio]-5-methyl- (ACI) | Streptomyces sp. Merv8102 | TMV | [64] |
| 89 | acterophenone A | Streptomyces sp. KCB32 | TMV, ToMV, CMV | [65] |
| 90 | (+)-(2S,3R,4aR)-altenuene | Alternaria sp. (P8) | Amaranthus retroflexus L., Alternaria brassicicola | [56] |
| 91 | (+)-isoaltenuene | Alternaria sp. (P8) | Amaranthus retroflexus L. | [56] |
| 92 | stemphyperylenol | Alternaria sp. (P8) | Amaranthus retroflexus L. | [56] |
| 93 | alterperylenol | Alternaria sp. (P8) | Amaranthus retroflexus L. | [56] |
| 94 | alkalodi | Alternaria iridiaustralis | Echinochloa crusgalli, Digitaria sanguinalis, Portulaca oleracea, Descurainia sophia | [47] |
| 95 | isochromophilone H | Penicillum sclerotiorum HY5 | Amaranthus retroflexus L. | [67] |
| 96 | ochlephilone | Penicillum sclerotiorum HY5 | Amaranthus retroflexus L., Abutilon theophrasti Medikus | [67] |
| 97 | isochromophilone I | Penicillum sclerotiorum HY5 | Amaranthus retroflexus L., Abutilon theophrasti Medikus | [67] |
| 98 | integric acid A | Eurotium rubrum | Echinochloa crus-galli | [26] |
| 99 | brifeldin A | Eurotium rubrum | Echinochloa crus-galli | [26] |
| 100 | [4,4′-Bi-9H-xanthene]-9,9′-dione, 5,5′-bis(acetyloxy)-10a,10′a-bis[(acetyloxy)methyl]-5,5′,6,6′,7,7′,10a,10′a-octahydro-1,1′,8,8′-tetrahydroxy-6,6′-dimethyl-, (4R,5S,5′S,6S,6′S,10aS,10′aS)- (9CI, ACI) | Eurotium rubrum | Echinochloa crus-galli | [26] |
| 101 | secalonic acid D | Eurotium rubrum | Echinochloa crus-galli | [26] |
| 102 | eremoxylarin B | Eurotium rubrum | Echinochloa crus-galli | [26] |
| 103 | integric acid A | Eurotium rubrum | Echinochloa crus-galli | [26] |
| 104 | equisetin (EQ) | Eurotium rubrum | Echinochloa crus-galli | [26] |
| 105 | unguinol | Ianthella reticulate | pyruvate phosphate dikinase | [68] |
| 106 | penicixanthenes A | Pencillium sp. JY246 | Culex quinquefasciatus larvae | [73] |
| 107 | penicixanthenes B | Pencillium sp. JY246 | Helicoverpa armigera Hubner larvae | [73] |
| 108 | penicixanthenes C | Pencillium sp. JY246 | Helicoverpa armigera Hubner larvae, Culex quinquefasciatus larvae | [73] |
| 109 | penicixanthenes D | Pencillium sp. JY246 | Culex quinquefasciatus larvae | [73] |
| 110 | synthomycin | Acremonium vitellinum | Helicoverpa armigera | [74] |
| 111 | (4R)-4-[(R)-Hydroxy(4-nitrophenyl)methyl]-2-oxazolidinone | Acremonium vitellinum | - | [74] |
| 112 | N-[(1R,2R)-2-Hydroxy-1-(hydroxymethyl)-2-(4-nitrophenyl)ethyl]acetamide | Acremonium vitellinum | - | [74] |
| 113 | aspergide | Aspergillus fumigatus JRJ111048 | Spodoptera litura | [75] |
| 114 | 11-methyl-11-hydroxyldodecanoic acid amide | Aspergillus fumigatus JRJ111048 | - | [75] |
| 115 | cristatumins A | Eurotium cristatum EN-220 | E. coli, Staphylococcus aureus | [76] |
| 116 | cristatumins B | Eurotium cristatum EN-220 | [76] | |
| 117 | cristatumins C | Eurotium cristatum EN-220 | - | [76] |
| 118 | cristatumins D | Eurotium cristatum EN-220 | S. aureus, Staphylococcus aureus | [76] |
| 119 | asporyzin A | Aspergillus oryzae | [77] | |
| 120 | asporyzin B | Aspergillus oryzae | [77] | |
| 121 | asporyzin C | Aspergillus oryzae | Brine shrimp | [77] |
| 122 | JBIR-03 | Aspergillus oryzae | [77] |
Disclaimer/Publisher’s Note: The statements, opinions and data contained in all publications are solely those of the individual author(s) and contributor(s) and not of MDPI and/or the editor(s). MDPI and/or the editor(s) disclaim responsibility for any injury to people or property resulting from any ideas, methods, instructions or products referred to in the content. |
© 2025 by the authors. Licensee MDPI, Basel, Switzerland. This article is an open access article distributed under the terms and conditions of the Creative Commons Attribution (CC BY) license (https://creativecommons.org/licenses/by/4.0/).
Share and Cite
Yao, M.; Shaheen, H.M.U.; Zuo, C.; Xiong, Y.; He, B.; Ye, Y.; Yan, W. Natural Products from Marine Microorganisms with Agricultural Applications. Mar. Drugs 2025, 23, 438. https://doi.org/10.3390/md23110438
Yao M, Shaheen HMU, Zuo C, Xiong Y, He B, Ye Y, Yan W. Natural Products from Marine Microorganisms with Agricultural Applications. Marine Drugs. 2025; 23(11):438. https://doi.org/10.3390/md23110438
Chicago/Turabian StyleYao, Michi, Hafiz Muhammad Usama Shaheen, Chen Zuo, Yue Xiong, Bo He, Yonghao Ye, and Wei Yan. 2025. "Natural Products from Marine Microorganisms with Agricultural Applications" Marine Drugs 23, no. 11: 438. https://doi.org/10.3390/md23110438
APA StyleYao, M., Shaheen, H. M. U., Zuo, C., Xiong, Y., He, B., Ye, Y., & Yan, W. (2025). Natural Products from Marine Microorganisms with Agricultural Applications. Marine Drugs, 23(11), 438. https://doi.org/10.3390/md23110438

