Dictyostelium discoideum as a Platform to Assess the Cytotoxicity of Marine Algal Extracts: The Case of Glossophora kunthii
Abstract
1. Introduction
2. Results
2.1. Properties of Extracts from the Alga Glossophora kunthii
2.2. Social Development Test of Amoeba D. discoideum for Cytotoxicity Assessment
2.3. Identification of the Compounds by UHPLC/Orbitrap/ESI/MS/MS of the Extracts of the Peruvian Seaweed G. kunthii
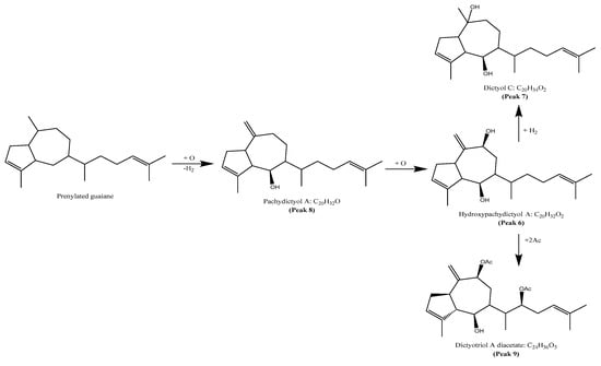
Diterpenes
3. Discussion
4. Materials and Methods
4.1. Preparation of the Seaweed Extracts of Ghossophora kunthii
4.1.1. Seaweed Collection
4.1.2. Preparation of Algal Extracts
4.2. Structure Analysis and Characterization of Isolated Compounds
4.3. Identification by Using UHPLC Q/Orbitrap/ESI/MS/MS
4.4. Dictyostelium Discoideum Strain and Culture Conditions
4.5. Social Development Test of the Amoeba Dictyostelium discoideum for Cytotoxic Evaluation of Algal Extracts
5. Conclusions
Supplementary Materials
Author Contributions
Funding
Institutional Review Board Statement
Data Availability Statement
Acknowledgments
Conflicts of Interest
Correction Statement
Abbreviations
| UHPLC | Ultra-High Performance Liquid Chromatography |
| ESI | Electrospray Ionization |
| MS | Mass Spectrometry |
| NMR | Nuclear Magnetic Resonance |
| HepG2 | Human Hepatocellular Carcinoma Cell Line |
| WI/38 | Human diploid lung fibroblast cell line |
| VERO | African green monkey kidney epithelial cell line |
| MCF-7 | Michigan Cancer Foundation-7 |
| ABTS | 2,2′-azino-bis (3-ethylbenzothiazoline-6-sulfonic acid) |
| ANOVA | Analysis of Variance |
| TLC | Thin Layer Chromatography |
| LH-20 | Lipophilic Hydroxypropylated (pore size 20) |
| CC | Column Chromatography |
| TCC | Thermostatted Column Compartment |
| RS | Rapid Separation |
| PDA | Photodiode Array Detector |
| UV | Ultraviolet |
| HESI II | Heated Electrospray Ionization (version II) |
| HCD | Higher-energy Collisional Dissociation |
| vDIA | Variable Data—Independent Acquisition |
| TIC | Total Ion Chromatogram |
| TMS | Tetramethylsilane |
| SM | Standard Medium |
| RAW264 | Murine macrophage cell line |
References
- Das, K.; Tiwari, R.K.S.; Shrivastava, D.K. Techniques for evaluation of medicinal plant products as antimicrobial agent: Current methods and future trends. J. Med. Plants Res. 2010, 4, 104–111. [Google Scholar]
- Savoia, D. Plant-derived antimicrobial compounds: Alternatives to antibiotics. Future Microbiol. 2012, 7, 979–990. [Google Scholar] [CrossRef]
- Cappello, E.; Nieri, P. From Life in the Sea to the Clinic: The Marine Drugs Approved and under Clinical Trial. Life 2021, 11, 1390. [Google Scholar] [CrossRef] [PubMed]
- Arrieche, D.; Carrasco, H.; Olea, A.F.; Espinoza, L.; San-Martín, A.; Taborga, L. Secondary Metabolites Isolated from Chilean Marine Algae: A Review. Mar. Drugs 2022, 20, 337. [Google Scholar] [CrossRef] [PubMed]
- Gupta, S.; Abu-Ghannam, N. Bioactive potential and possible health effects of edible brown seaweeds. Trends Food Sci. Technol. 2011, 22, 315–326. [Google Scholar] [CrossRef]
- Jimenez-Lopez, C.; Pereira, A.G.; Lourenço-Lopes, C.; Garcia-Oliveira, P.; Cassani, L.; Fraga-Corral, M.; Prieto, M.A.; Simal-Gandara, J. Main bioactive phenolic compounds in marine algae and their mechanisms of action supporting potential health benefits. Food Chem. 2021, 341, 128262. [Google Scholar] [CrossRef]
- Bogaert, K.A.; Delva, S.; De Clerck, O. Concise review of the genus Dictyota J.V. Lamouroux. J. Appl. Phycol. 2020, 32, 1521–1543. [Google Scholar] [CrossRef]
- Tapia, L. Biodiversity Guide N 4. Vol. I Macrofauna and Marine Algae; Universidad de Antofagasta: Antofagasta, Chile, 2002; Volume 1, p. 17. [Google Scholar]
- Guiry, M.D. Dictyota kunthii (C.Agardh) Greville: AlgaeBase. Available online: https://www.algaebase.org/search/species/detail/?species_id=20205 (accessed on 12 October 2024).
- Nys, R.D.; Wright, A.D.; König, G.M.; Sticher, O. A diterpene from the marine alga Glossophora kunthii. Phytochemistry 1993, 32, 463–465. [Google Scholar] [CrossRef]
- Rivera, A.P.; Astudillo, L.A.; Gonzalez, A.G.; Manta, E.; Cataldo, F. Two new bicyclic diterpenoids from the brown alga Glossophora kuntii. J. Nat. Prod. 1987, 50, 965–967. [Google Scholar] [CrossRef]
- Arroyo, P.; Norte, M.; Vázquez, J.T.; Nakanishi, K. Absolute Configuration of Hydroazulenoid Diterpenes Based on Circular Dichroism. J. Org. Chem. 1991, 56, 2671–2675. [Google Scholar] [CrossRef]
- Norte, M.; González, A.G.; Arroyo, P.; Zárraga, M.; Pérez, C.; Rodriguez, M.L.; Ruiz-Perez, C.; Dorta, L. New xenicane diterpenes from the brown algae of dictyotaceae. Tetrahedron 1990, 46, 6125–6132. [Google Scholar] [CrossRef]
- Pathirana, C.; Andersen, R.J. Diterpenoids from the brown alga Dictyota binghamiae. Can. J. Chem. 1984, 62, 1666–1671. [Google Scholar] [CrossRef]
- Jongaramruong, J.; Kongkam, N. Novel diterpenes with cytotoxic, anti-malarial and anti-tuberculosis activities from a brown alga Dictyota sp. J. Asian Nat. Prod. Res. 2007, 9, 743–751. [Google Scholar] [CrossRef]
- Lira, M.L.F.; Lopes, R.; Gomes, A.P.; Barcellos, G.; Verícimo, M.; Osako, K.; Ortiz-Ramirez, F.A.; Ramos, C.J.B.; Cavalcanti, D.N.; Teixeira, V.L.; et al. Anti-leishmanial activity of Brazilian green, brown, and red algae. J. Appl. Phycol. 2016, 28, 591–598. [Google Scholar] [CrossRef]
- Geada, P.; Moreira, C.; Silva, M.; Nunes, R.; Madureira, L.; Rocha, C.M.R.; Pereira, R.N.; Vicente, A.A.; Teixeira, J.A. Algal proteins: Production strategies and nutritional and functional properties. Bioresour. Technol. 2021, 332, 125125. [Google Scholar] [CrossRef]
- Li, Y.; Zheng, Y.; Zhang, Y.; Yang, Y.; Wang, P.; Imre, B.; Wong, A.C.Y.; Hsieh, Y.S.Y.; Wang, D. Brown algae carbohydrates: Structures, pharmaceutical properties, and research challenges. Mar. Drugs 2021, 19, 620. [Google Scholar] [CrossRef]
- Castaño, M.E.; Zapata, J.C. Cell Cultures; In Virol Principles; Biogenesis; Fondo Editorial Biogenesis, Universidad de Antioquia: Medellín, Colombia, 2000; pp. 49–64. [Google Scholar]
- Williams, J.G.; Noegel, A.A.; Eichinger, L. Manifestations of multicellularity: Dictyostelium reports in. Trends Genet. 2005, 21, 392–398. [Google Scholar] [CrossRef]
- Mathavarajah, S.; Flores, A.; Huber, R.J. Dictyostelium discoideum: A model system for cell and developmental biology. Curr. Protoc. Essent. Lab. Tech. 2017, 15, 14.1.1–14.1.19. [Google Scholar] [CrossRef]
- Bravo-Toncio, C.; Álvarez, J.A.; Campos, F.; Ortíz-Severín, J.; Varas, M.; Cabrera, R.; Lagos, C.F.; Chávez, F.P. Dictyostelium discoideum as a surrogate host-microbe model for antivirulence screening in Pseudomonas aeruginosa PAO1. Int. J. Antimicrob. Agents 2016, 47, 403–409. [Google Scholar] [CrossRef] [PubMed]
- Rushdi, M.I.; Abdel-Rahman, I.A.M.; Attia, E.Z.; Saber, H.; Saber, A.A.; Bringmann, G.; Abdelmohsen, U.R. The Biodiversity of the Genus Dictyota: Phytochemical and Pharmacological Natural Products Prospectives. Molecules 2022, 27, 672. [Google Scholar] [CrossRef]
- Ayyad, S.E.N.; Makki, M.S.; Al-Kayal, N.S.; Basaif, S.A.; El-Foty, K.O.; Asiri, A.M.; Alarif, W.M.; Badria, F.A. Cytotoxic and protective DNA damage of three new diterpenoids from the brown alga Dictoyota dichotoma. Eur. J. Med. Chem. 2011, 46, 175–182. [Google Scholar] [CrossRef]
- Pereira, R.C.C.; Lourenço, A.L.; Terra, L.; Abreu, P.A.; Teixeira, V.L.; Castro, H.C. Marine Diterpenes: Molecular Modeling of Thrombin Inhibitors with Potential Biotechnological Application as an Antithrombotic. Mar. Drugs 2017, 15, 79. [Google Scholar] [CrossRef]
- De Andrade Moura, L.; Marqui de Almeida, A.C.; Domingos, T.F.S.; Ortiz-Ramirez, F.; Cavalcanti, D.N.; Teixeira, V.L.; Fuly, A.L. Antiplatelet and Anticoagulant Effects of Diterpenes Isolated from the Marine Alga, Dictyota menstrualis. Mar. Drugs 2014, 12, 2471–2484. [Google Scholar] [CrossRef] [PubMed]
- Hernández, M.; Areche, C.; Castañeta, G.; Rojas, D.; Varas, M.A.; Marcoleta, A.E.; Chávez, F.P. Dictyostelium discoideum-assisted pharmacognosy of plant resources for discovering antivirulence molecules targeting Klebsiella pneumoniae. Nat. Prod. Res. 2025, 39, 5179–5186. [Google Scholar] [CrossRef]
- Fey, P.; Kowal, A.S.; Gaudet, P.; Pilcher, K.E.; Chisholm, R.L. Protocols for growth and development of Dictyostelium discoideum. Nat. Protoc. 2007, 2, 1307–1316. [Google Scholar] [CrossRef] [PubMed]
- Ayyad, S.E.N.; Abdel-Halim, O.B.; Shier, W.T.; Hoye, T.R. Cytotoxic hydroazulene diterpenes from the brown alga Cystoseira myrica. Z. fur Naturforsch-Sect. C J. Biosci. 2003, 58, 33–38. [Google Scholar] [CrossRef] [PubMed]
- Gedara, S.R.; Abdel-Halim, O.B.; El-Sharkawy, S.H.; Salama, O.M.; Shier, T.W.; Halim, A.F. Cytotoxic hydroazulene diterpenes from the brown alga Dictyota dichotoma. Z. fur Naturforsch-Sect. C J. Biosci. 2003, 58, 17–22. [Google Scholar] [CrossRef]
- Baines, R.P.; Wolton, K.; Thompson, C.R.L. Dictyostelium discoideum: An Alternative Nonanimal Model for Developmental Toxicity Testing. Toxicol. Sci. 2021, 183, 302–318. [Google Scholar] [CrossRef]
- Xia, X.; Li, B.; Hou, Y.; Zhang, J.; Yan, X. Diterpenes From the Marine Brown Algae of the Genus Dilophus. Nat. Prod. Commun. 2020, 15, 14. [Google Scholar] [CrossRef]
- Siless, G.E.; García, M.; Pérez, M.; Blustein, G.; Palermo, J.A. Large-scale purification of pachydictyol A from the brown alga Dictyota dichotoma obtained from algal wash and evaluation of its antifouling activity against the freshwater mollusk Limnoperna fortunei. J. Appl. Phycol. 2018, 30, 629–636. [Google Scholar] [CrossRef]
- Chen, J.; Li, H.; Zhao, Z.; Xia, X.; Li, B.; Zhang, J.; Yan, X. Diterpenes from the Marine Algae of the Genus Dictyota. Mar. Drugs 2018, 16, 159. [Google Scholar] [CrossRef] [PubMed]
- De-Paula, J.C.; Lopes-Filho, E.A.P.; Salgueiro, F.; Yoneshigue-Valentin, Y.; Cavalcanti, D.N.; Villaça, R.C.; Teixeira, V.L. Diterpenes content of the brown alga Dictyota ciliolata (Dictyotales, Phaeophyceae) and recognition of a Brazilian haplotype based on psbA sequences. N. Z. J. Bot. 2018, 56, 415–429. [Google Scholar] [CrossRef]
- Obando, J.M.C.; Dos Santos, T.C.; Bernardes, M.; Nascimento, N.; Villaça, R.C.; Teixeira, V.L.; Barbarino, E.; Cavalcanti, D.N. Chemical variation and analysis of diterpenes from seaweed Dictyota menstrualis under controlled conditions. Algal Res. 2022, 62, 102637. [Google Scholar] [CrossRef]
- Zhou, Q.; Chen, M.; Li, X.; Peng, C.; Lin, D.; Li, X.; He, Y.; Xiong, L. Absolute Configurations and Bioactivities of Guaiane-Type Sesquiterpenoids Isolated from Pogostemon cablin. J. Nat. Prod. 2018, 81, 1919–1927. [Google Scholar] [CrossRef]
- Myklestad, S.M.; Granum, E. Biology of (1,3)-β-Glucans and Related Glucans in Protozoans and Chromistans. In Chemistry, Biochemistry, and Biology of 1-3 Beta Glucans and Related Polysaccharides; Academic Press: San Diego, CA, USA, 2009; pp. 353–385. [Google Scholar]
- Miazek, K.; Iwanek, W.; Remacle, C.; Richel, A.; Goffin, D. Effect of Metals, Metalloids and Metallic Nanoparticles on Microalgae Growth and Industrial Product Biosynthesis: A Review. Int. J. Mol. Sci. 2015, 16, 23929–23969. [Google Scholar] [CrossRef]
- Fawcett, D.; Verduin, J.J.; Shah, M.; Sharma, S.B.; Poinern, G.E.J. A Review of Current Research into the Biogenic Synthesis of Metal and Metal Oxide Nanoparticles via Marine Algae and Seagrasses. J. Nanosci. 2017, 4, 8013850. [Google Scholar] [CrossRef]
- Khanna, P.; Kaur, A.; Goyal, D. Algae-based metallic nanoparticles: Synthesis, characterization and applications. J. Microbiol. Methods 2019, 163, 105656. [Google Scholar] [CrossRef] [PubMed]
- Uzair, B.; Liaqat, A.; Iqbal, H.; Menaa, B.; Razzaq, A.; Thiripuranathar, G.; Rana, N.F.; Menaa, F. Green and Cost-Effective Synthesis of Metallic Nanoparticles by Algae: Safe Methods for Translational Medicine. Bioengineering 2020, 7, 129. [Google Scholar] [CrossRef]
- Menaa, F.; Wijesinghe, P.A.U.I.; Thiripuranathar, G.; Uzair, B.; Iqbal, H.; Khan, B.A.; Menaa, B. Ecological and Industrial Implications of Dynamic Seaweed-Associated Microbiota Interactions. Mar. Drugs 2020, 18, 641. [Google Scholar] [CrossRef]
- Taylor, R.B.; Lindquist, N.; Kubanek, J.; Hay, M.E. Intraspecific variation in palatability and defensive chemistry of brown seaweeds: Effects on herbivore fitness. Oecologia 2003, 136, 412–423. [Google Scholar] [CrossRef]
- Siamopoulou, P.; Bimplakis, A.; Iliopoulou, D.; Vagias, C.; Cos, P.; Vanden, D.; Roussis, V. Diterpenes from the brown algae Dictyota dichotoma and Dictyota linearis. Phytochemistry 2004, 65, 2025–2030. [Google Scholar]
- Kelecom, A.; Laneuville Teixeira, V. Diterpenes of marine brown algae of the family dictyotaceae: Their possible role as defense compounds and their use in chemotaxonomy. Sci. Total Environ. 1986, 58, 109–115. [Google Scholar] [CrossRef] [PubMed]
- Chiboub, O.; Sifaoui, I.; Abderrabba, M.; Mejri, M.; Fernández, J.J.; Díaz-Marrero, A.R.; Lorenzo-Morales, J.; Piñero, J.E. Apoptosis-like cell death upon kinetoplastid induction by compounds isolated from the brown algae Dictyota spiralis. Parasites Vectors 2021, 14, 198. [Google Scholar] [CrossRef] [PubMed]
- Shiiba, N.; Kumagai, M.; Endo, H.; Tsuruta, T.; Nishikawa, K.; Morimoto, Y. Anti-inflammatory diterpenoids from the brown alga Dictyota coriacea. Biosci. Biotechnol. Biochem. 2025, 89, 224–231. [Google Scholar] [CrossRef] [PubMed]
- Gräf, R.; Daunderer, C.; Schulz, I. Molecular and Functional Analysis of the Dictyostelium Centrosome. Int. Rev. Cytol. 2004, 241, 155–202. [Google Scholar]
- Abou-El-Wafa, G.S.; Shaaban, M.; Shaaban, K.A.; El-Naggar, M.E.; Maier, A.; Fiebig, H.H.; Laatsch, H. Pachydictyols B and C: New diterpenes from Dictyota dichotoma Hudson. Mar. Drugs 2013, 11, 3109–3123. [Google Scholar] [CrossRef]
- Salgado, F.; Albornoz, L.; Cortéz, C.; Stashenko, E.; Urrea-Vallejo, K.; Nagles, E.; Galicia-Virviescas, C.; Cornejo, A.; Ardiles, A.; Simirgiotis, M.; et al. Secondary Metabolite Profiling of Species of the Genus Usnea by UHPLC-ESI-OT-MS-MS. Molecules 2017, 23, 54. [Google Scholar] [CrossRef]
- Garneau, F.X.; Collin, G.J.; Jean, F.I.; Gagnon, H.; Arze, J.B.L. Essential oils from Bolivia. XII. Asteraceae: Ophryosporus piquerioides (D.C.) Benth. ex Baker. J. Essent. Oil Res. 2013, 25, 388–394. [Google Scholar] [CrossRef]
- Simirgiotis, M.J.; Quispe, C.; Bórquez, J.; Schmeda-Hirschmann, G.; Avendaño, M.; Sepúlveda, B.; Winterhalter, P. Fast high resolution Orbitrap MS fingerprinting of the resin of Heliotropium taltalense Phil. from the Atacama Desert. Ind. Crops Prod. 2016, 85, 159–166. [Google Scholar] [CrossRef]
- Basu, S.; Fey, P.; Pandit, Y.; Dodson, R.; Kibbe, W.A.; Chisholm, R.L. DictyBase 2013: Integrating multiple Dictyostelid species. Nucleic Acids Res. 2013, 41, 676–683. [Google Scholar] [CrossRef]
- Díaz García, A.; Hermis Rodríguez, I. Cytotoxicity of medicinal plant extracts on the human lung carcinoma cell line A549. Rev. Cuba. Farm. 2011, 45, 101–108. [Google Scholar]
- Guillen Luna, G.M.; Hernández Guzmán, E.D. Determination of the Sub-Chronic Toxicity of the N-Hexane Extract of Calea Urticifolia (Juanislama) Leaves in NIH Mice. Bachelor’s Thesis, Universidad del Salvador, San Salvador, El Salvador, 2016. [Google Scholar]
- Marcoleta, A.E.; Varas, M.A.; Ortiz-Severín, J.; Vásquez, L.; Berríos-Pastén, C.; Sabag, A.V.; Chávez, F.P.; Allende, M.L.; Santiviago, C.A.; Monasterio, O.; et al. Evaluating Different Virulence Traits of Klebsiella pneumoniae Using Dictyostelium discoideum and Zebrafish Larvae as Host Models. Front. Cell. Infect. Microbiol. 2018, 8, 30. [Google Scholar] [CrossRef] [PubMed]
- Varas, M.A.; Riquelme-Barrios, S.; Valenzuela, C.; Marcoleta, A.E.; Berríos-Pastén, C.; Santiviago, C.A.; Chávez, F.P. Inorganic polyphosphate is essential for Salmonella Typhimurium Virulence and survival in Dictyostelium discoideum. Front. Cell. Infect. Microbiol. 2018, 8, 326426. [Google Scholar] [CrossRef] [PubMed]






| Peak | Tentative Identification | Elemental Composition [M + H]+ | Retention Time (min) | Theoretical Mass (m/z) | Measured Mass (m/z) | Accuracy (ppm) | MS Ions (ppm) | Extracts |
|---|---|---|---|---|---|---|---|---|
| 1 | Unknown | C24H36O | 13.25 | 340.2766 | 340.2688 | 22.9 | - | acetone |
| 2 | Patchouliguaiol D | C15H23O | 21.38 | 219.1749 | 219.1760 | −5.0 | 203.1442 177.1274 | methanol acetone |
| 3 | Oxodecanoic acid | C10H19O3 | 21.84 | 187.1334 | 187.1269 | 34.7 | 129.0702 115.0546 103.0545 | methanol acetone |
| 4 | Guaiane derivative | C26H47O12 | 22.50 | 551.3068 | 551.3092 | −4.4 | 419.2563 257.1932 241.1978 | acetone |
| 5 | Guaiane derivative | C25H35O | 25.17 | 351.2688 | 351.2625 | 17.9 | 229.1456 217.1603 309.2124 311.2285 273.2253 269.1941 231.1611 203.1442 177.1274 175.1121 | methanol |
| 6 | Hydroxypachydictyol A | C20H31O2 | 26.02 | 303.2324 | 303.2383 | −19.5 | 233.1558 219.1398 | methanol acetone |
| 7 | Dictyol C | C20H33O2 | 26.61 | 305.2481 | 305.2538 | −18.7 | 287.2420 249.1882 235.1714 221.1553 193.1231 | acetone |
| 8 | Pachydictyol A * | C20H33O | 26.68 | 289.2531 | 289.2578 | 16.2 | 271.2463 219.1761 203.1219 189.1436 | acetone |
| 9 | Dictyotriol A diacetate * | C24H35O5 | 27.57 | 403.2484 | 403.2467 | 4.6 | 389.2436 347.1794 | acetone |
| 10 | 4β-Acetoxydictyodial A | C22H33O4 | 28.71 | 361.2379 | 361.2317 | 17.2 | 301.2225 305.1658 291.1642 | methanol acetone |
Disclaimer/Publisher’s Note: The statements, opinions and data contained in all publications are solely those of the individual author(s) and contributor(s) and not of MDPI and/or the editor(s). MDPI and/or the editor(s) disclaim responsibility for any injury to people or property resulting from any ideas, methods, instructions or products referred to in the content. |
© 2025 by the authors. Licensee MDPI, Basel, Switzerland. This article is an open access article distributed under the terms and conditions of the Creative Commons Attribution (CC BY) license (https://creativecommons.org/licenses/by/4.0/).
Share and Cite
Figueroa-Valencia, S.J.; Hernández, M.; Castañeta, G.; Pérez, I.; Ardiles, A.; Figueroa-Valencia, E.; Terrones, T.C.d.; Chávez, F.P.; Areche, C. Dictyostelium discoideum as a Platform to Assess the Cytotoxicity of Marine Algal Extracts: The Case of Glossophora kunthii. Mar. Drugs 2025, 23, 442. https://doi.org/10.3390/md23110442
Figueroa-Valencia SJ, Hernández M, Castañeta G, Pérez I, Ardiles A, Figueroa-Valencia E, Terrones TCd, Chávez FP, Areche C. Dictyostelium discoideum as a Platform to Assess the Cytotoxicity of Marine Algal Extracts: The Case of Glossophora kunthii. Marine Drugs. 2025; 23(11):442. https://doi.org/10.3390/md23110442
Chicago/Turabian StyleFigueroa-Valencia, Sheyla J., Marcos Hernández, Grover Castañeta, Ian Pérez, Alejandro Ardiles, Elizabeth Figueroa-Valencia, Teresa Cano de Terrones, Francisco P. Chávez, and Carlos Areche. 2025. "Dictyostelium discoideum as a Platform to Assess the Cytotoxicity of Marine Algal Extracts: The Case of Glossophora kunthii" Marine Drugs 23, no. 11: 442. https://doi.org/10.3390/md23110442
APA StyleFigueroa-Valencia, S. J., Hernández, M., Castañeta, G., Pérez, I., Ardiles, A., Figueroa-Valencia, E., Terrones, T. C. d., Chávez, F. P., & Areche, C. (2025). Dictyostelium discoideum as a Platform to Assess the Cytotoxicity of Marine Algal Extracts: The Case of Glossophora kunthii. Marine Drugs, 23(11), 442. https://doi.org/10.3390/md23110442

