-
Parents’ Experiences and Clinicians’ Perceptions of Managing Cancer Pain in Young Children at Home -
Dosimetric Comparison of VMAT Alone and VMAT with HDR Brachytherapy Boost Using Clinical and Biological Dose Models in Localized Prostate Cancer -
Methylation Status of the Telomerase Reverse Transcriptase Promoter in Parotid Tumours and Adjacent Parotid Gland Tissue: A Pilot Study on the Implications for Recurrence and Development of Malignancy -
Renal Cell Carcinoma: Prognosis in the Era of Targeted Therapy -
Cervical Cancer Screening Cascade: A Framework for Monitoring Uptake and Retention Along the Screening and Treatment Pathway
Journal Description
Current Oncology
Current Oncology
is an international, peer-reviewed, open access journal published online by MDPI (from Volume 28 Issue 1-2021). Established in 1994, the journal represents a multidisciplinary medium for clinical oncologists to report and review progress in the management of this disease. The Canadian Association of Medical Oncologists (CAMO), the Canadian Association of Psychosocial Oncology (CAPO), the Canadian Association of General Practitioners in Oncology (CAGPO), the Cell Therapy Transplant Canada (CTTC), the Canadian Leukemia Study Group (CLSG) and others are affiliated with the journal and their members receive a discount on the article processing charges.
- Open Access— free for readers, with article processing charges (APC) paid by authors or their institutions.
- High Visibility: indexed within Scopus, SCIE (Web of Science), PubMed, MEDLINE, PMC, Embase, and other databases.
- Journal Rank: JCR - Q2 (Oncology)
- Rapid Publication: manuscripts are peer-reviewed and a first decision is provided to authors approximately 21.5 days after submission; acceptance to publication is undertaken in 2.5 days (median values for papers published in this journal in the first half of 2025).
- Recognition of Reviewers: APC discount vouchers, optional signed peer review, and reviewer names published annually in the journal.
- Journal Clusters of Oncology: Cancers, Current Oncology, Onco and Targets.
Impact Factor:
3.4 (2024);
5-Year Impact Factor:
3.3 (2024)
Latest Articles
Parenteral Nutrition in Patients with Incurable Cancer: Exploring the Heterogenous and Non-Randomised Clinical Landscape
Curr. Oncol. 2025, 32(11), 644; https://doi.org/10.3390/curroncol32110644 (registering DOI) - 18 Nov 2025
Abstract
Background: There is an insufficient knowledge base for optimal parenteral nutrition (PN) use for patients with incurable cancer, leading to vague guidelines and varied practices. The aim of the study is to describe the practices and actual outcomes of PN in patients
[...] Read more.
Background: There is an insufficient knowledge base for optimal parenteral nutrition (PN) use for patients with incurable cancer, leading to vague guidelines and varied practices. The aim of the study is to describe the practices and actual outcomes of PN in patients with incurable cancer at Norwegian hospitals. Methods: This multicentre study retrospectively reviewed 507 deceased patients (>18 years) receiving PN between 2011 and 2017. Data were collected from PN initiation until death, and analyses were descriptive. Results: Fifty-one percent had upper and lower gastrointestinal cancers, and the main PN indications were insufficient intake (75%) and gastrointestinal malfunction (47%). Sixty-seven percent received no anticancer treatment. Forty-three (8%) received PN as temporary bridging to anticancer treatment, of whom fifteen (35%) resumed or initiated treatment. The median PN dose corresponded to 53% of estimated energy requirements, and 94% of the patients had complementary energy intake. The most common reason for discontinuation was expected imminent death (47%). While common symptoms during PN were nausea (52%), vomiting (46%), and oedema (37%), 15% reported improved wellbeing. Conclusions: In this real-world cohort, up to 80% of the patients would not meet the eligibility criteria of previous trials due to cancer diagnosis and treatment, gastrointestinal tract function, weight loss criteria or complications such as ascites. This study highlights the heterogeneity in how patients with incurable cancer receive PN, and emphasises the importance of individualised PN treatment, carefully and safely managed to meet the patients’ palliative care situation. Future real-world pragmatic patient-centred protocols bridging the gap between clinical trials and patients in clinical practice are warranted.
Full article
(This article belongs to the Section Palliative and Supportive Care)
►
Show Figures
Open AccessArticle
Diversity and Experiences of Radiation Oncologists in Canada: A Survey of Gender Identity, Sexual Orientation, Disability, Race, Ethnicity, Religion, and Workplace Discrimination—A National Cross-Sectional Electronic Survey
by
Amanda F. Khan, Stefan Allen, Ian J. Gerard, Rhys Beaudry, Glen Bandiera, David Bowes, Jolie Ringash, Reshma Jagsi, Jennifer Croke and Shaun K. Loewen
Curr. Oncol. 2025, 32(11), 643; https://doi.org/10.3390/curroncol32110643 (registering DOI) - 17 Nov 2025
Abstract
►▼
Show Figures
Background: This study’s objective was to be the first to explore the ethnicity/cultural origins, gender identity, ability/disability, sexual orientation, socioeconomic background, and harassment/discrimination experiences of Canadian radiation oncologists (ROs). Methods: Following a literature review and input from content experts, an ethics-approved national cross-sectional
[...] Read more.
Background: This study’s objective was to be the first to explore the ethnicity/cultural origins, gender identity, ability/disability, sexual orientation, socioeconomic background, and harassment/discrimination experiences of Canadian radiation oncologists (ROs). Methods: Following a literature review and input from content experts, an ethics-approved national cross-sectional electronic survey was developed in English and French and electronically distributed to all ROs in Canada (n = 598). Descriptive statistics summarized responses. Comparisons between groups were performed using Chi-square tests, and content analysis was performed on open-ended responses. Results: The survey was completed in full by 42.5% of ROs (254/598). Most respondents were male (62.9%), 35–44 years old (39.2%), and heterosexual (94.3%). 41.2% identified as belonging to a racialized group, which is higher than the overall Canadian population (27%), but Black, Indigenous, and Southeast Asian ROs were underrepresented (1.9% vs. 4%, <1% vs. 5% and 1.6% compared to 4%, respectively). A significant subset analysis showed that only 20% (21/105) of racialized ROs were women, whereas Caucasian women comprised 49.3% (74/150) of Caucasian respondents (p < 0.001). While 75.4% of respondents reported job satisfaction, 42.1% reported experiencing workplace discrimination/harassment within the past 5 years; most commonly, this was perpetrated by fellow faculty (31.7%; 58/183) or patients or their family members (31.7%; 58/183). Respondents felt that gender, race/ethnicity, and age were the three top reasons for discrimination/harassment, with double the amount of racialized ROs reporting harassment compared to White ROs (p < 0.001). Nearly half (45.2%; 114/252) did not understand how to report, or felt uncomfortable reporting, workplace discrimination/harassment. Conclusions: This study highlights high harassment and discrimination rates amongst Canadian ROs, especially amongst racialized women, which may affect career satisfaction and attrition rates. Compared to census data, Black, Indigenous, and Southeast Asian ROs were underrepresented, and amongst racialized ROs, racialized women were significantly underrepresented. These findings underscore the need for targeted diversity initiatives, improved mentorship programs, and stronger institutional policies to address harassment and foster an inclusive work environment.
Full article

Figure 1
Open AccessArticle
Complications of Robotic Pelvic Lymph Node Dissection for Prostate Cancer: An Analysis of the National Surgical Quality Improvement Program Targeted Prostatectomy Database
by
Vatsala Mundra, Renil S. Titus, Eusebio Luna-Velasquez, Jiaqiong Xu, Carlos Riveros, Sanjana Ranganathan, Aamuktha Porika, Brian J. Miles, Dharam Kaushik, Christopher J. D. Wallis and Raj Satkunasivam
Curr. Oncol. 2025, 32(11), 642; https://doi.org/10.3390/curroncol32110642 (registering DOI) - 16 Nov 2025
Abstract
Introduction/Background: Treatment of localized prostate cancer includes radical prostatectomy (RP) with or without pelvic lymph node dissection (PLND). While multiple guidelines recommend PLND for staging purposes, recent data has shown questionable therapeutic benefit. Thus, understanding the morbidity associated with PLND is important for
[...] Read more.
Introduction/Background: Treatment of localized prostate cancer includes radical prostatectomy (RP) with or without pelvic lymph node dissection (PLND). While multiple guidelines recommend PLND for staging purposes, recent data has shown questionable therapeutic benefit. Thus, understanding the morbidity associated with PLND is important for counseling patients. We used the American College of Surgeons National Surgical Quality Improvement Program (ACS NSQIP) targeted prostatectomy database to quantify real-world 30-day postoperative outcomes of patients undergoing contemporary robot-assisted PLND at the time of RP for prostate cancer to quantify the incremental morbidity. Methods: We conducted a retrospective cohort study using the NSQIP database of adult patients undergoing radical prostatectomy from 2019 to 2022. The primary outcomes were procedure-specific outcomes such as lymphocele and rectal injury. Secondary outcomes included a composite of any of the following 30-day major postoperative outcomes: mortality, reoperation, cardiac or neurologic event, as well as the individual components of this outcome, as well as infectious and other complications. We also analyzed yearly trends associated with PLND. Groups were balanced using propensity score matching (PSM) with a 1:1 ratio using demographic characteristics, prior medical history, and cancer staging data. Likelihood of complications was assessed by conditional logistic regression. Results: We identified 13,413 patients between 2019 and 2022 who underwent robotic prostatectomy: 11,341 (85%) had PLND while 2072 (15%) did not. After PSM, our cohort included 2071 matched pairs of patients with and without PLND. Patients who underwent PLND were more likely to be diagnosed with lymphocele (2.14% vs. 0.68%, OR 4.17; 95% CI 2.00, 8.68), have unplanned readmission (4.22% vs. 3.27%, OR 1.31; 95% CI 1.03, 1.65), and develop organ-site/space SSI (1.18% vs. 0.60%) (OR 1.97, 95% CI 1.20, 3.23). There was no significant association between the receipt of PLND and the likelihood of urinary leak or fistula, or ureteral obstruction. There were no significant differences between the two groups with respect to secondary outcomes of interest. Conclusion: Contemporary robotic PLND is associated with a 3-fold increased likelihood of lymphocele, as well as increased likelihood of unplanned readmission and organ-site SSI, though no significant differences in major postoperative complications were identified. We found that the odds of lymphoceles, readmission, and SSI in our study are lower than previously reported. These data provide real-world data to guide patient counseling and optimize patient selection for PLND at the time of RALP.
Full article
(This article belongs to the Section Surgical Oncology)
Open AccessArticle
Cancer Treatment Patterns Among Yukon Residents Referred to British Columbia for Care: A 13-Year Retrospective Study
by
Kaylie Willemsma, Jonathan Simkin, Debon Lee, Emma Quinn, Kira Makuk, Emily B. Jackson, Andrew Bang, Manik Chahal, Ying Wang and Jessica Chan
Curr. Oncol. 2025, 32(11), 641; https://doi.org/10.3390/curroncol32110641 (registering DOI) - 16 Nov 2025
Abstract
►▼
Show Figures
Yukon residents often must travel long distances to access specialized cancer care, which may impact cancer treatment patterns. We conducted a retrospective study to characterize all adult breast, prostate, colorectal, and lung cancer cases from the Yukon, diagnosed from 2009 to 2021 and
[...] Read more.
Yukon residents often must travel long distances to access specialized cancer care, which may impact cancer treatment patterns. We conducted a retrospective study to characterize all adult breast, prostate, colorectal, and lung cancer cases from the Yukon, diagnosed from 2009 to 2021 and seen in consultation at BC Cancer. We collected data on demographics, tumour characteristics and treatment, including timepoints for cancer care. A secondary analysis of non-referred cases was conducted. There were a total of 336 breast, 270 prostate, 279 colorectal and 266 lung cancer cases diagnosed in the Yukon from 2009 to 2021, of which 298 (88.7%), 120 (44.4%), 206 (73.8%) and 204 (76.7%) cases were referred to BC Cancer, and 266 (79.2%), 118 (43.7%), 204 (73.1%) and 183 (68.8%) were included in this study, respectively. Most cases were diagnosed at an early stage (breast: 92.9%, prostate: 82.2%, colorectal: 72.1%, lung: 45.9%). Nearly 70% of cases resided in Whitehorse (Yukon’s capital), where most Yukon residents live. Compared to available published Canadian timepoints, Yukon patients had similar or shorter wait times in 13 of 22 timepoints along the pathway to diagnosis and treatment. However, time from biopsy to surgery had the longest relative wait times across all tumour groups (range: 26–60% longer). Our study provides baseline data that can help inform cancer care provision for Yukon residents.
Full article

Figure 1
Open AccessArticle
Acupuncture Improves Functional Limitations for Cancer Patients with Chronic Pain: A Secondary Analysis of PEACE Randomized Clinical Trial
by
Lingyun Sun, Mothi Babu Ramalingam, Raymond Baser, Marco Santos Teles, Christina Seluzicki, Qing Susan Li and Jun J. Mao
Curr. Oncol. 2025, 32(11), 640; https://doi.org/10.3390/curroncol32110640 (registering DOI) - 16 Nov 2025
Abstract
Chronic pain significantly impairs functional performance in patients with cancer. Although acupuncture is effective for cancer-related pain, its impact on pain-related functional interference remains unclear. This secondary analysis of the PEACE randomized clinical trial included patients with prior cancer diagnoses and musculoskeletal pain
[...] Read more.
Chronic pain significantly impairs functional performance in patients with cancer. Although acupuncture is effective for cancer-related pain, its impact on pain-related functional interference remains unclear. This secondary analysis of the PEACE randomized clinical trial included patients with prior cancer diagnoses and musculoskeletal pain for ≥3 months. Participants were randomized to groups undergoing 10 weeks of electro-acupuncture, auricular acupuncture, or a waitlist control. Functional performance was assessed using the Quick-Disability Arm/Shoulder/Hand (Q-DASH) for upper limbs and the Western Ontario and McMaster Universities Osteoarthritis (WOMAC) subscale for lower limbs (higher scores = worse function). Linear mixed models compared changes over time between groups, with week 12 as the primary endpoint. Functional changes were also compared between pain responders and non-responders in the acupuncture arms. Among 360 patients (mean [SD] age, 62.1 [12.7] years; 69.7% women), mean baseline Q-DASH and WOMAC scores were 33.2 (19.8) and 33.3 (20.3). At week 12, both electro-acupuncture and auricular acupuncture significantly improved function versus waitlist: Q-DASH by −7.18 and −9.64 points, respectively, and WOMAC by −6.89 and −7.61 points (all p < 0.001). No differences were found between the two acupuncture groups. Treatment effects on Q-DASH diminished during follow-up, while improvements on WOMAC persisted. Within the acupuncture groups, pain responders achieved greater functional gains than non-responders (Q-DASH, −6.74; WOMAC, −6.16; both p < 0.001). Electro-acupuncture and auricular acupuncture improved upper and lower extremity function in cancer patients with chronic pain. These findings support acupuncture as a potential adjunct in functional rehabilitation for cancer survivors.
Full article
(This article belongs to the Special Issue Cancer Rehabilitation: Innovations in Practice & Enhancing Survivorship Care)
►▼
Show Figures

Figure 1
Open AccessArticle
Efficacy of Anti-VEGF and Anti-EGFRs in Microsatellite Instable (MSI-H) Metastatic Colorectal Cancer in a Turkish Oncology Group (TOG) Cohort Study
by
İlknur Deliktaş Onur, Mutlu Doğan, Mehmet Akif Öztürk, Taha Koray Sahin, Murat Kiracı, Ahmet Melih Arslan, Eda Karapelit, Bahar Beliz Karaoğlan, Nargiz Majidova, Elif Şahin, Sabin Göktaş, Abdullah Sakin, Ali Oğul, Emine Türkmen, Kadriye Başkurt, Zeynep Yüksel Yaşar, Yakup Ergün, Esma Türkmen Bekmez, Şafak Yıldırım Dişli, Sinem Akbaş, Sema Türker, Ömer Dizdar, Öznur Bal, Tuğba Yavuzşen, Melek Karakurt, Arzu Hatime Yaşar, Tuğba Başoğlu, Faysal Dane, Şuayip Yalçın and Öztürk Ateşadd
Show full author list
remove
Hide full author list
Curr. Oncol. 2025, 32(11), 639; https://doi.org/10.3390/curroncol32110639 - 14 Nov 2025
Abstract
Background: Mismatch repair-deficient (dMMR)/microsatellite instability-high (MSI-H) colorectal tumors constitute 5% of metastatic colorectal cancer(mCRC). Immunotherapy is a new standard, but it is difficult to provide for all patients. 5-Flurouracil-based treatment with anti-EGFRs (cetuximab and panitumumab) in RAS/BRAF-wild or anti-VEGF (bevacizumab) is used in
[...] Read more.
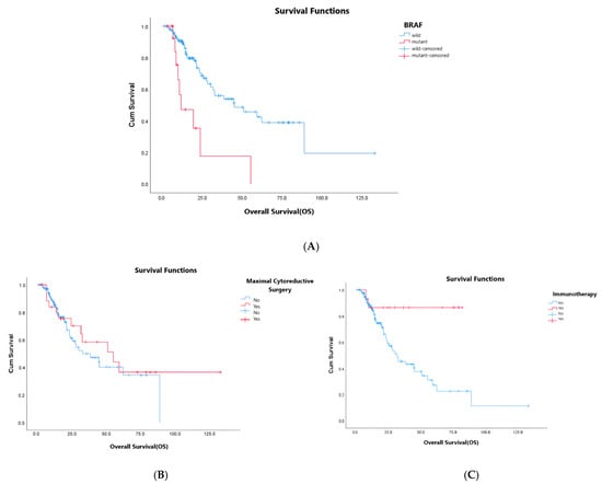
Background: Mismatch repair-deficient (dMMR)/microsatellite instability-high (MSI-H) colorectal tumors constitute 5% of metastatic colorectal cancer(mCRC). Immunotherapy is a new standard, but it is difficult to provide for all patients. 5-Flurouracil-based treatment with anti-EGFRs (cetuximab and panitumumab) in RAS/BRAF-wild or anti-VEGF (bevacizumab) is used in mCRC. Data is limited for the efficacy of anti-VEGF or anti-EGFRs in dMMR/MSI-H mCRC due to the small number of cases in the colorectal cancer population in trials. Aims: To evaluate prognostic factors in dMMR/MSI-H mCRC and compare progression-free survival time of patients receiving anti-VEGF and anti-EGFR combined with first-line 5FU-based therapy. Methods: Patients with metastatic dMMR/MSI-H colorectal cancer diagnosed between January 2015 and January 2023 were included in this cohort study. Progression-free survival times of patients treated with first-line therapy were compared. Prognostic factors associated with overall survival were investigated. Results: A total of 132 patients were included. Mutation rates were 35.6% (n:47) for RAS and 12.1% (n: 16) for BRAF (. Median progression-free survival (PFS) was 10.9 (95% CI: 9.2–12.6) months. Median overall survival (OS) was 44 months (95% CI: 26.23–63.03). 82 (62.1%) patients had primary tumor resection (PTR), 26 (19.7%) had PTR and metastasectomy. A total of 17 (12.8%) de novo mCRC patients had maximal cytoreductive surgery (MCS). A total of 14 (10.6%) patients had subsequent immunotherapy (IO). In multivariate analysis, RAS/BRAF mutation status, MCS, and subsequent IO are defined as prognostic factors for OS (p < 0.01, p: 0.022, and p: 0.005, respectively). No statistically significant difference (PFS, OS) was found in patients receiving first-line anti-VEGF or anti-EGFR therapy. Conclusions: dMMR/MSI-H mCRC is an entity with different tumor biology. We consider that dMMR/MSI-H mCRC patients with BRAF wild, MCS and subsequent IO have better outcomes with 1st line 5FU-based treatment with anti-VEGF/anti-EGFRs.
Full article
(This article belongs to the Section Gastrointestinal Oncology)
►▼
Show Figures

Figure 1
Open AccessArticle
Confirmatory Clinical Validation of a Serum-Based Biomarker Signature for Detection of Early-Stage Pancreatic Ductal Adenocarcinoma
by
Patricio M. Polanco, Tamas Gonda, Erkut Borazanci, Evan S. Glazer, Jose G. Trevino, George DeMuth, Lisa Ford, Thomas King, Norma A. Palma and Randall E. Brand
Curr. Oncol. 2025, 32(11), 638; https://doi.org/10.3390/curroncol32110638 - 13 Nov 2025
Abstract
Early detection of pancreatic ductal adenocarcinoma (PDAC) could extend patient survival, and biomarkers to facilitate this are urgently needed. Here, we performed a second independent validation of PancreaSure, a 5-plex serum biomarker signature to detect early-stage PDAC in high-risk individuals. In contrast to
[...] Read more.
Early detection of pancreatic ductal adenocarcinoma (PDAC) could extend patient survival, and biomarkers to facilitate this are urgently needed. Here, we performed a second independent validation of PancreaSure, a 5-plex serum biomarker signature to detect early-stage PDAC in high-risk individuals. In contrast to the first validation, this study’s cohort was preemptively balanced for age and sex and only included samples stored for fewer than 5 years. The primary endpoint was to measure test sensitivity against the performance target of 65%. Measuring specificity against the performance target of 90% and comparing test performance to that of carbohydrate antigen 19-9 (CA 19-9) alone were secondary endpoints. Signature analytes were retrospectively measured in serum from a blinded independent cohort of Stage I and II PDAC cases and high-risk controls. A predictive signal for PDAC was generated from a predefined cutoff established in a previous model development study. PancreaSure distinguished early-stage PDAC from controls with 76.5% sensitivity (95% CI, 67.7–83.9), significantly higher than the performance target (p = 0.005). PancreaSure achieved 87.8% specificity (95% CI, 83.9–91.4), similar to the performance goal, and significantly outperformed sensitivity of CA 19-9 alone (p = 0.02). These results confirm that PancreaSure performs well at detecting early-stage PDAC in high-risk individuals.
Full article
(This article belongs to the Section Gastrointestinal Oncology)
Open AccessArticle
Electronic Health Literacy, Psychological Distress, and Quality of Life in Urological Cancer Patients: A Longitudinal Study During Transition from Inpatient to Outpatient Care
by
Dominik Fugmann, Steffen Holsteg, Ralf Schäfer, Günter Niegisch, Ulrike Dinger and André Karger
Curr. Oncol. 2025, 32(11), 637; https://doi.org/10.3390/curroncol32110637 - 13 Nov 2025
Abstract
Urological cancers are associated with reduced quality of life and high psychological burden, yet affected patients receive less psychosocial support than other cancer groups. Electronic health literacy (eHL) may facilitate independent access to resources, but its role for psychological outcomes and quality of
[...] Read more.
Urological cancers are associated with reduced quality of life and high psychological burden, yet affected patients receive less psychosocial support than other cancer groups. Electronic health literacy (eHL) may facilitate independent access to resources, but its role for psychological outcomes and quality of life in this group is unclear. This study examined associations between eHL, psychological symptoms, and quality of life during transition from inpatient to outpatient care. A prospective, single-centre observational study was conducted. Eligible inpatients (urological cancer, Distress Thermometer ≥5 and/or request for psycho-oncological support) received an initial psycho-oncology consultation and completed surveys during inpatient treatment (T1) and three months later (T2). Measures included socio-demographics, PO-BADO, eHL (eHEALS), distress, depression (PHQ-2), anxiety (GAD-2), and quality of life (EORTC QLQ-C30). Of 108 patients completing T1, 71 completed T2. After controlling for age, eHL was not significantly associated with distress, depression, anxiety, or quality of life. Age did not moderate these relationships. In this sample, eHL showed no significant associations with psychological outcomes or quality of life. However, higher age was linked to lower eHL, suggesting that older patients may face barriers to digital health engagement. Age-related differences in eHL should be considered when designing digital support services for urological cancer patients.
Full article
(This article belongs to the Special Issue Psychological Interventions for Cancer Survivors)
►▼
Show Figures

Figure 1
Open AccessArticle
Primary Anastomosis Versus Hartmann’s Procedure in Obstructing Colorectal Cancer: A Retrospective Cohort Study
by
Abbas Aras
Curr. Oncol. 2025, 32(11), 636; https://doi.org/10.3390/curroncol32110636 - 13 Nov 2025
Abstract
Introduction: The objective of this study was to analyze and compare the outcomes of two surgical techniques in the emergency management of obstructed colorectal carcinoma. Methods: This is a retrospective analysis of patients’ data from a tertiary referral university hospital. The medical
[...] Read more.
Introduction: The objective of this study was to analyze and compare the outcomes of two surgical techniques in the emergency management of obstructed colorectal carcinoma. Methods: This is a retrospective analysis of patients’ data from a tertiary referral university hospital. The medical records of patients who underwent emergency surgery for obstructed colorectal cancer between May 2014 and August 2019 were evaluated. The cases were divided primarily into two groups: Primary Resection and Anastomosis (PRA) and Hartmann’s Procedure (HP). The clinical characteristics, peri-operative outcomes and oncological results including early postoperative complications, morbidity and mortality (30-day, 1-year and 5-year survival) were compared between groups. Results: In this retrospective study, 110 patients with obstructing colorectal cancer undergoing emergency surgery were analyzed. Patients were divided into two groups: 65 cases of Primary Resection and Anastomosis (PRA) and 45 cases of Hartmann’s Procedure (HP). PRA patients had significantly shorter hospital stays (8.7 ± 4.1 vs. 11.2 ± 5.2 days, p = 0.02), lower complication rates (33% vs. 66%, p = 0.003), and superior survival outcomes, with a 5-year survival rate of 33.8% compared to 22.2% in the HP group (p = 0.003). Subgroup analysis revealed significant differences, including higher complication rates and repeat surgery requirements in patients with a diverting ostomy or undergoing resection without anastomosis. Conclusion: PRA demonstrated favorable perioperative and long-term outcomes compared to HP in the emergency management of obstructing colorectal cancer. These findings highlight the potential benefits of avoiding permanent stoma formation when appropriate patient selection criteria are met.
Full article
(This article belongs to the Special Issue Surgical Advances in the Management of Gastrointestinal Cancers)
►▼
Show Figures

Figure 1
Open AccessSystematic Review
Association Between Metabolic Syndrome and Risk of Laryngeal Cancer: A Systematic Review
by
Faizan Bashir, Supriya Peshin, Moniza Rafiq, Sajida Zaiter, Naga Anvesh Kodali, Helia Bazroodi, Moiza Bashir, Lalith Vardhan Choudary and Sakshi Singal
Curr. Oncol. 2025, 32(11), 635; https://doi.org/10.3390/curroncol32110635 - 13 Nov 2025
Abstract
►▼
Show Figures
Background: Metabolic syndrome (MetS) is a significant global health burden and a known risk factor of cardiovascular disease and diabetes. Growing evidence also links MetS to cancer development, likely via chronic inflammation, insulin resistance, and hormone disruption. However, its association with laryngeal
[...] Read more.
Background: Metabolic syndrome (MetS) is a significant global health burden and a known risk factor of cardiovascular disease and diabetes. Growing evidence also links MetS to cancer development, likely via chronic inflammation, insulin resistance, and hormone disruption. However, its association with laryngeal cancer remains largely unclear and underexplored. Methods: For this review, we thoroughly searched PubMed/MEDLINE, Scopus, and Web of Science for observational studies investigating associations of MetS with laryngeal or head and neck cancers (HNCs) until 1 August 2025. Five large population-based studies were found to meet inclusion criteria, and risk of bias was assessed using the Joanna Briggs Institute checklist (JBI). Results: Three Korean cohort studies consistently found that MetS increased the risk of laryngeal cancer (HR 1.13–1.32), independent of smoking and alcohol use. Hypertension and hyperglycemia were the most consistent components associated with increased risk, and chronic MetS conferred the highest hazard. In contrast, analyses from the UK Biobank (HNC) and SEER-Medicare (HNSCC) cohorts showed null and inverse associations, respectively. Additional findings included dose–response effects with increasing MetS components, U-shaped associations for HDL-C and waist circumference and increased risk associated with elevated C-reactive protein. Conclusions: Current evidence suggests a possible association between MetS and risk of laryngeal cancer, although the direction and strength of effect vary across populations. Findings from Korean cohorts provide consistent signals of increased risk, whereas Western datasets have not replicated this pattern. Overall, the certainty of evidence is low to moderate, warranting cautious interpretation and further validation in diverse populations before inferring causality.
Full article

Figure 1
Open AccessCase Report
Parotid Gland Mass as the First Manifestation of Recurrent Metastatic Breast Carcinoma: Diagnostic Pitfalls and Therapeutic Considerations in Oral-Maxillofacial Care
by
Esteban Raúl Mar-Uribe, Miguel Angel Noyola-Frías, Oscar Arturo Benítez-Cárdenas, Elhi Manuel Torres-Hernández, Adalberto Mosqueda-Taylor, Raquel Sánchez-Gutiérrez, Sofía Bernal-Silva, Andreu Comas-García, Francisco Javier Aguilar-Zapata, Ricardo Martínez-Rider and Marlen Vitales-Noyola
Curr. Oncol. 2025, 32(11), 634; https://doi.org/10.3390/curroncol32110634 - 13 Nov 2025
Abstract
Breast cancer rarely metastasizes to the parotid gland. Early recognition in patients with a history of malignancy is critical for timely diagnosis and treatment. We report the case of a 60-year-old female who presented with a two-month history of a left periauricular mass,
[...] Read more.
Breast cancer rarely metastasizes to the parotid gland. Early recognition in patients with a history of malignancy is critical for timely diagnosis and treatment. We report the case of a 60-year-old female who presented with a two-month history of a left periauricular mass, 18 months after completing treatment for breast carcinoma. Despite the patient’s oncologic history, initial evaluation by our maxillofacial surgery service showed no evidence of distant metastasis, and we initially ruled out metastatic disease. Clinical evaluation, contrast-enhanced computed tomography (CT), fine-needle aspiration cytology (FNAC), PET-CT, and histopathological analysis were performed. Given the persistent and progressive nature of the mass, surgical excision was undertaken to obtain a definitive diagnosis and provide local control. Immunohistochemical analysis of the resected mass and adjacent node confirmed metastatic breast carcinoma infiltrating the parotid parenchyma and an intra-parotid lymph node, with strong positivity for progesterone receptor (PR) and carcinoembryonic antigen (CEA). Unfortunately, several months later, the patient developed pulmonary metastases and subsequently died.
Full article
(This article belongs to the Section Head and Neck Oncology)
►▼
Show Figures

Figure 1
Open AccessArticle
Von Hippel–Lindau Disease-Associated Endolymphatic Sac Tumours: Seven Cases and Genotype–Phenotype Features
by
Qin Wang, Junhui Huang, Zhikai Zhao, Yu Su, Nan Wu, Shiming Yang, Weidong Shen, Na Sai and Weiju Han
Curr. Oncol. 2025, 32(11), 633; https://doi.org/10.3390/curroncol32110633 - 12 Nov 2025
Abstract
Von Hippel–Lindau disease-associated endolymphatic sac tumors (VHL-associated ELSTs) present diagnostic challenges due to their rarity and nonspecific symptoms. This study describes clinical, pathological and genotypic features to guide treatment. We retrospectively analyzed seven patients with VHL-associated ELSTs. The mean age of otologic symptom
[...] Read more.
Von Hippel–Lindau disease-associated endolymphatic sac tumors (VHL-associated ELSTs) present diagnostic challenges due to their rarity and nonspecific symptoms. This study describes clinical, pathological and genotypic features to guide treatment. We retrospectively analyzed seven patients with VHL-associated ELSTs. The mean age of otologic symptom [hearing loss (100%) and facial nerve paralysis (85.71%)] onset was 22.43 ± 8.68 years (range: 10–33). Surgical management included trans-labyrinthine and subtotal temporal bone resection approaches. Among three patients with severe preoperative facial nerve dysfunction, two underwent great auricular nerve grafting improved to House–Brackmann grade IV, while one receiving hypoglossal–facial nerve anastomosis reached grade V. Genetic testing identified pathogenic VHL gene missense mutations in three patients. Two female patients demonstrated disease progression during pregnancy. Literature analysis revealed exon-specific patterns: Exon 1 mutations correlated with cerebellar/spinal hemangioblastomas in female patients, while Exon 3 mutations were associated with multisystem tumors. These findings support that VHL-associated ELSTs manifest early with otologic symptoms and demonstrate exon-specific phenotypic patterns. Optimal management requires complete surgical resection, genetic diagnosis, and a multidisciplinary approach to address these complex tumors and achieve favorable outcomes.
Full article
(This article belongs to the Section Head and Neck Oncology)
►▼
Show Figures

Figure 1
Open AccessArticle
Breathe with the Waves (BWW)—Creating and Assessing the Potential of a New Stress Management Intervention for Oncology Personnel
by
Lauren Deckelbaum, Nikita Guarascio, Marie-Pierre Bastien, Anik Cloutier, Maria Kondyli, Marie-Paule Latour, Émélie Rondeau and Serge Sultan
Curr. Oncol. 2025, 32(11), 632; https://doi.org/10.3390/curroncol32110632 - 11 Nov 2025
Abstract
Healthcare providers in oncology experience exceptionally high stress rates. Research emphasizes that stress management programs must be quick to implement, flexible to accommodate demanding schedules, cost-effective, accessible to all staff, and tailored to the needs of oncology personnel. Programs that fail to meet
[...] Read more.
Healthcare providers in oncology experience exceptionally high stress rates. Research emphasizes that stress management programs must be quick to implement, flexible to accommodate demanding schedules, cost-effective, accessible to all staff, and tailored to the needs of oncology personnel. Programs that fail to meet these criteria often struggle with uptake and sustainability. This mixed-methods exploratory study aimed (1) to design an online stress management program, Breathe with the Waves (BWW), based on breathing techniques; (2) to evaluate its acceptability, satisfaction, and relevance; (3) to identify perceived benefits and challenges; and (4) to generate potential outcome measures for future studies. A team of Canadian researchers and end-users co-designed the intervention. Twenty oncology professionals completed BWW, which featured pre-recorded breathing videos, and provided feedback via questionnaires and semi-structured interviews. We used t-tests and Wilcoxon rank tests to analyze quantitative data, and template analysis for qualitative data. Participants found BWW highly acceptable, satisfactory, and relevant. Participants reported three categories of benefits: stress reduction, improved work performance, and increased mindfulness. Challenges included anticipated challenges and experienced challenges. Potential outcome measures fell into six categories: physical health, mental health, relational, work, mindfulness and personal practice. BWW, available in English and French, represents a promising and accessible approach to supporting the well-being of oncology personnel.
Full article
Open AccessArticle
Germline Mutations in DNA Repair Genes in Patients with Pancreatic Neuroendocrine Neoplasms: Diagnostic and Therapeutic Implications
by
Beata Jurecka-Lubieniecka, Małgorzata Ros-Mazurczyk, Aleksandra Sygula, Alexander J. Cortez, Marcela Krzempek, Anna B. Tuleja, Agnieszka Kotecka-Blicharz, Marta Cieslicka, Malgorzata Oczko-Wojciechowska and Daria Handkiewicz-Junak
Curr. Oncol. 2025, 32(11), 631; https://doi.org/10.3390/curroncol32110631 - 10 Nov 2025
Abstract
Pancreatic neuroendocrine neoplasms (pNENs) are the second most common type of pancreatic cancer after pancreatic ductal adenocarcinoma. Germline mutations in DNA repair genes drive several hereditary and sporadic cancers; however, their role in pNENs remains poorly defined. This pilot study aimed to assess
[...] Read more.
Pancreatic neuroendocrine neoplasms (pNENs) are the second most common type of pancreatic cancer after pancreatic ductal adenocarcinoma. Germline mutations in DNA repair genes drive several hereditary and sporadic cancers; however, their role in pNENs remains poorly defined. This pilot study aimed to assess the frequency and clinical relevance of germline DNA repair gene mutations in patients with pNENs, both with and without a family history of cancer. Germline DNA from 57 Polish patients with pNENs was analyzed using targeted next-generation sequencing to identify variants in a panel of DNA repair genes. Variant classification followed the American College of Medical Genetics and Genomics/Association for Molecular Pathology guidelines. Germline mutations were identified in 14 patients (24.6%), both with and without a family history of malignancy. Two patients carried pathogenic variants in BRCA2 and CHEK2, while seven carried variants of uncertain significance (VUS). The identified variants have been implicated in various cancer types, including breast, ovarian, prostate, gastric, colorectal, and pancreatic cancers. These findings indicate that germline mutations in DNA repair genes may contribute to the pathogenesis of pNENs, even in patients without a family history. Broader germline testing and population-specific studies are needed to clarify the genetic landscape and clinical implications of these alterations.
Full article
(This article belongs to the Special Issue High-Grade Neuroendocrine Neoplasms)
►▼
Show Figures

Figure 1
Open AccessArticle
Antibiotic Exposure Does Not Impact Anti-BRAF/Anti-MEK Targeted Therapy Outcome in Patients with Advanced Melanoma
by
Yu Shi Wang, Qing Yin Wang, Alexia Erika Moise, Hamida Claudia Syed, Julie Malo, Spencer Soberano, Wiam Belkaid, Meriem Messaoudene, Karl Bélanger, Antoine Desilets, Rahima Jamal, Bertrand Routy and Arielle Elkrief
Curr. Oncol. 2025, 32(11), 630; https://doi.org/10.3390/curroncol32110630 - 10 Nov 2025
Abstract
The gut microbiome is an established predictor of response to immune checkpoint inhibitors (ICI) in melanoma, and antibiotic exposure prior to ICI initiation is a validated negative prognostic factor. About half of melanoma patients harbor BRAF mutations and are treated with BRAF/MEK inhibitors
[...] Read more.
The gut microbiome is an established predictor of response to immune checkpoint inhibitors (ICI) in melanoma, and antibiotic exposure prior to ICI initiation is a validated negative prognostic factor. About half of melanoma patients harbor BRAF mutations and are treated with BRAF/MEK inhibitors (BRAFi/MEKi). While the detrimental impact of antibiotics is well described in the ICI setting, their effect on BRAFi/MEKi efficacy remains unknown. We retrospectively analyzed 49 advanced BRAF-mutant melanoma patients treated with BRAFi/MEKi. Antibiotic-exposed patients were compared with non-exposed patients across three time windows: within 30, 60, or 90 days before and after therapy initiation. Outcomes included progression-free survival (PFS), overall survival (OS), and overall response rate (ORR). Among the cohort, 41% had antibiotic exposure within ±30 days, 53% within ±60 days, and 57% within ±90 days. Baseline characteristics were comparable between groups, except for worse ECOG scores in antibiotic-exposed patients. Across all windows, ORR, PFS, and OS were comparable between groups. Unlike what was observed in the ICI setting, antibiotic use did not negatively affect outcomes with BRAFi/MEKi. Despite small sample size, these findings suggest that the detrimental prognostic impact of antibiotics is specific to immunotherapy, highlighting the importance of evaluating the microbiome as a predictive biomarker across treatment contexts.
Full article
(This article belongs to the Special Issue Advances in Melanoma: From Pathogenesis to Personalized Therapy)
►▼
Show Figures

Graphical abstract
Open AccessReview
A Narrative Review of the Strengths and Limitations of Real-World Evidence in Comparison to Randomized Clinical Trials: What Are the Opportunities in Thoracic Oncology for Real-World Evidence to Shine?
by
Peter M. Ellis, Larissa Long, Courtney H. Coschi and Arani Sathiyapalan
Curr. Oncol. 2025, 32(11), 629; https://doi.org/10.3390/curroncol32110629 - 10 Nov 2025
Abstract
Randomized clinical trials are considered the gold standard for the evaluation of new interventions and therapies. The results from randomized clinical trials are highly influential in treatment decision-making and decisions about the implementation of new therapeutic options within the field of oncology. This
[...] Read more.
Randomized clinical trials are considered the gold standard for the evaluation of new interventions and therapies. The results from randomized clinical trials are highly influential in treatment decision-making and decisions about the implementation of new therapeutic options within the field of oncology. This article describes a narrative review of the literature to further explore the strengths and limitations of real-world evidence in comparison to randomized clinical trials and provides a commentary on opportunities for real-world evidence in thoracic malignancies. However, randomized trials often exclude oncology patients with poorer functional status or comorbidities which are routinely considered for treatment in real-world practice. Real-world data may complement existing data from randomized clinical trials and play an important role in evaluating patterns and outcomes of care, informing everyday oncology practice. While real-world data is increasingly reported in the medical literature, strengths and limitations exist which can also limit their applicability. More work is needed to standardize methodologies for real-world studies.
Full article
(This article belongs to the Special Issue The Role of Real-World Evidence (RWE) in Thoracic Malignancies)
Open AccessCase Report
Thoracic Spinal Sclerosing Epithelioid Fibrosarcoma Mimicking Schwannoma: Case Report and Literature Review
by
Donato Creatura, Jad El Choueiri, Alberto Benato, Leonardo Anselmi, Ali Baram, Mario De Robertis, Carlo Brembilla, Federico Pessina, Maurizio Fornari and Gabriele Capo
Curr. Oncol. 2025, 32(11), 628; https://doi.org/10.3390/curroncol32110628 - 7 Nov 2025
Abstract
Background/Objectives: Sclerosing epithelioid fibrosarcoma (SEF) is a rare soft tissue sarcoma with high rates of local recurrence and distant metastasis. Primary spinal involvement is exceedingly uncommon and often misdiagnosed due to radiological and histopathological resemblance to more frequent spinal tumors. The objective of
[...] Read more.
Background/Objectives: Sclerosing epithelioid fibrosarcoma (SEF) is a rare soft tissue sarcoma with high rates of local recurrence and distant metastasis. Primary spinal involvement is exceedingly uncommon and often misdiagnosed due to radiological and histopathological resemblance to more frequent spinal tumors. The objective of this study is to present a rare case of thoracic spinal SEF and to contextualize it within the available literature. Methods: We describe the case of a 37-year-old woman presenting with progressive back pain and dysesthesia. MRI demonstrated a heterogeneously enhancing mass at the left T10–T11 neural foramen, initially interpreted as a common nerve sheath tumor. Gross total resection (GTR) was achieved, and histopathological analysis revealed a SEF. Clinical course, adjuvant therapies, and outcomes were evaluated, together with a review of previously reported spinal SEF cases. Results: Despite GTR followed by adjuvant chemotherapy, local recurrence occurred 18 months later. The patient underwent subtotal resection (STR) with adjuvant proton therapy. At 18-month follow-up after the second procedure, she remained neurologically stable and disease-free. The literature review confirmed the rarity of spinal SEF, its frequent misdiagnosis, and the absence of standardized therapeutic protocols. Conclusions: Spinal SEF is a rare malignancy that can mimic benign spinal tumors, delaying diagnosis. Its management relies on multidisciplinary assessment, individualized therapy, and long-term follow-up. This report increases awareness of spinal SEF and provides additional evidence to support clinical decision-making in rare spinal tumors.
Full article
(This article belongs to the Section Neuro-Oncology)
►▼
Show Figures

Figure 1
Open AccessReview
Vesicular Stomatitis Virus-Based Oncolytic Virotherapy: Recent Progress and Emerging Trends
by
Cassandra Catacalos-Goad, Charlotte Johnstone and Valery Z. Grdzelishvili
Curr. Oncol. 2025, 32(11), 627; https://doi.org/10.3390/curroncol32110627 - 7 Nov 2025
Abstract
►▼
Show Figures
Oncolytic virotherapy has emerged as a promising and innovative approach to cancer treatment, leveraging viruses that selectively replicate in tumor cells and cause their destruction (oncolysis), while simultaneously stimulating anti-tumor immune responses. Vesicular stomatitis virus (VSV), a prototypic rhabdovirus, is among the most
[...] Read more.
Oncolytic virotherapy has emerged as a promising and innovative approach to cancer treatment, leveraging viruses that selectively replicate in tumor cells and cause their destruction (oncolysis), while simultaneously stimulating anti-tumor immune responses. Vesicular stomatitis virus (VSV), a prototypic rhabdovirus, is among the most versatile oncolytic virus platforms due to its favorable biological characteristics, including rapid replication and cell lysis, lack of pre-existing immunity in humans, and amenability to genetic engineering. Over the past decade, significant progress has been made in VSV-based oncolytic virotherapy. This review presents a comprehensive update on developments since our last review, emphasizing improvements in VSV safety, oncoselectivity, tumor-specific replication, direct oncolysis, and induction of antitumor immunity. By integrating recent applied discoveries with foundational knowledge, this review aims to guide ongoing efforts to advance VSV-based oncolytic virotherapy toward broader clinical translation and improved cancer patient outcomes. Additionally, we provide an overview of three closely related rhabdoviruses (Maraba, Morreton, and Jurona viruses) as emerging oncolytic platforms currently under preclinical and clinical investigation.
Full article

Figure 1
Open AccessReview
Evolving Therapeutic Landscape of ROS1-Positive Non-Small Cell Lung Cancer: An Updated Review
by
Hervé Bischoff, Sébastien Gendarme, Laura Somme, Christos Chouaid and Roland Schott
Curr. Oncol. 2025, 32(11), 626; https://doi.org/10.3390/curroncol32110626 - 6 Nov 2025
Abstract
ROS1 gene rearrangements define a distinct molecular subtype of non-small cell lung cancer (NSCLC), occurring in approximately 2% of cases and frequently associated with younger age, non-smoker status, and a high incidence of brain metastases. The discovery of ROS1 as an oncogenic driver
[...] Read more.
ROS1 gene rearrangements define a distinct molecular subtype of non-small cell lung cancer (NSCLC), occurring in approximately 2% of cases and frequently associated with younger age, non-smoker status, and a high incidence of brain metastases. The discovery of ROS1 as an oncogenic driver has led to the development of targeted tyrosine kinase inhibitors (TKIs). Crizotinib first demonstrated substantial clinical benefit, but its limitations, including poor central nervous system (CNS) penetration and acquired resistance, highlighted the need for next-generation inhibitors. Several agents have since been developed, including entrectinib, lorlatinib, repotrectinib, taletrectinib, and zidesamtinib, each offering improved intracranial (IC) activity and efficacy against resistance mutations, notably ROS1^G2032R. Despite these advances, optimal sequencing strategies remain undefined, and resistance ultimately emerges in most patients. This review provides an updated overview of ROS1 biology, diagnostic approaches, clinical outcomes with currently available TKIs, mechanisms of resistance, and ongoing challenges, emphasizing the rapidly evolving therapeutic landscape.
Full article
(This article belongs to the Topic Cancer Genomics: Emerging Trends and Technological Advances)
►▼
Show Figures

Graphical abstract
Open AccessArticle
Structural Validity and Reliability of a Tool for Clinical Rehabilitation Staff to Evaluate Life-Goal-Setting Practice for Cancer Survivors
by
Katsuma Ikeuchi, Seiji Nishida, Mari Karikawa, Chiaki Sakamoto and Mutsuhide Tanaka
Curr. Oncol. 2025, 32(11), 625; https://doi.org/10.3390/curroncol32110625 - 6 Nov 2025
Abstract
Background: There is a need for an assessment tool for clinical rehabilitation staff to evaluate their life-goal-setting practice, especially in oncology rehabilitation. This study aimed to confirm the structural validity and reliability of the 21-item Reengagement life Goal Assessment Tool for Cancer
[...] Read more.
Background: There is a need for an assessment tool for clinical rehabilitation staff to evaluate their life-goal-setting practice, especially in oncology rehabilitation. This study aimed to confirm the structural validity and reliability of the 21-item Reengagement life Goal Assessment Tool for Cancer survivors (ReGAT-C) with a five-category response scale. Methods: Participants were clinical rehabilitation staff who worked at designated cancer care hospitals in Japan and had experience in setting life-goals with cancer survivors hospitalized during the non-terminal phase. The ReGAT-C was mailed to participants twice, and Rasch analysis was repeated on the scores of the first ReGAT-C to test structural validity and reliability. The test–retest reliability was also examined using the scores of the first and second ReGAT-Cs after revising it according to the Rasch analysis results. Results: A total of 121 participants completed the first ReGAT-C, and 70 participants completed the second ReGAT-C. Following three Rasch analyses, the ReGAT-C was revised to contain 14 items with a three-category response scale. The revised scale showed satisfactory psychometric properties. Conclusions: The 14-item ReGAT-C with a three-category response scale could help staff to identify elements that are lacking in their practice and adjust their policies based on the items’ difficulty.
Full article
(This article belongs to the Special Issue Cancer Rehabilitation: Innovations in Practice & Enhancing Survivorship Care)
►▼
Show Figures

Figure 1
Journal Menu
► ▼ Journal Menu-
- Current Oncology Home
- Aims & Scope
- Editorial Board
- Reviewer Board
- Topical Advisory Panel
- Instructions for Authors
- Special Issues
- Topics
- Sections & Collections
- Article Processing Charge
- Indexing & Archiving
- Editor’s Choice Articles
- Most Cited & Viewed
- Journal Statistics
- Journal History
- Journal Awards
- Society Collaborations
- Conferences
- Editorial Office
Journal Browser
► ▼ Journal Browser-
arrow_forward_ios
Forthcoming issue
arrow_forward_ios Current issue - Volumes not published by MDPI
Highly Accessed Articles
Latest Books
E-Mail Alert
News
Topics
Topic in
Cancers, IJMS, Pharmaceuticals, Pharmaceutics, Sci. Pharm., Current Oncology, Molecules
Recent Advances in Anticancer Strategies, 2nd Edition
Topic Editors: Hassan Bousbaa, Zhiwei HuDeadline: 31 March 2026
Topic in
Brain Sciences, Cancers, JCM, Neurology International, Diagnostics, Therapeutics, Current Oncology
Innovations in Brain Tumor Surgery: Techniques and Outcomes
Topic Editors: Maria Caffo, Teresa SommaDeadline: 30 June 2026
Topic in
Cancers, Current Oncology, JCM, Medicina, Onco
Cancer Biology and Radiation Therapy: 2nd Edition
Topic Editors: Chang Ming Charlie Ma, Ka Yu Tse, Ming-Yii Huang, Mukund SeshadriDeadline: 25 July 2026
Topic in
Cancers, Diagnostics, Gastrointestinal Disorders, JCM, Current Oncology
Metastatic Colorectal Cancer: From Laboratory to Clinical Studies, 2nd Edition
Topic Editors: Ioannis Ntanasis-Stathopoulos, Diamantis I. TsilimigrasDeadline: 20 August 2026
Conferences
Special Issues
Special Issue in
Current Oncology
Therapeutic Advances in Cystectomy for Bladder Cancer
Guest Editor: Saum B. GhodoussipourDeadline: 30 November 2025
Special Issue in
Current Oncology
Resistance to Chemotherapy and Targeted Therapy in Cancer: Understanding the Pathogenesis and Identifying the Best Approaches to Overcome This Challenge
Guest Editor: Oudai HassanDeadline: 30 November 2025
Special Issue in
Current Oncology
Hype or Hope—Combination Therapies for Lung Cancer
Guest Editor: Daniel BreadnerDeadline: 30 November 2025
Special Issue in
Current Oncology
Advancements in Thyroid Cancer Management
Guest Editor: Leonardo RossiDeadline: 30 November 2025
Topical Collections
Topical Collection in
Current Oncology
New Insights into Prostate Cancer Diagnosis and Treatment
Collection Editor: Sazan Rasul
Topical Collection in
Current Oncology
New Insights into Breast Cancer Diagnosis and Treatment
Collection Editors: Filippo Pesapane, Matteo Suter
Topical Collection in
Current Oncology
Editorial Board Members’ Collection Series in "Exercise and Cancer Management"
Collection Editors: Linda Denehy, Ravi Mehrotra, Nicole Culos-Reed
Topical Collection in
Current Oncology
Editorial Board Members’ Collection Series: Contemporary Perioperative Concepts in Cancer Surgery
Collection Editors: Vijaya Gottumukkala, Jörg Kleeff



