Next Issue
Volume 14, December-2
Previous Issue
Volume 14, November-2
error_outline You can access the new MDPI.com website here. Explore and share your feedback with us.
 
 
foods-logo

Journal Browser

Journal Browser

Foods, Volume 14, Issue 23 (December-1 2025) – 188 articles

Cover Story (view full-size image): This work provides the first comprehensive profiling of Citrus lumia ‘Pyriformis’ fresh juice, a rare Mediterranean taxon with an exceptional chemotaxonomic signature. LC-DAD-ESI-MS/MS revealed a highly diversified pool of glycosylated flavanones, rare flavonols, phenolic acids, and elevated ascorbic and citric acid levels. Functionally, the juice displayed multi-target antioxidant and anti-inflammatory activities across complementary in vitro platforms, showed excellent cytocompatibility, and significantly accelerated epithelial repair in Caco-2 monolayers. These findings highlight its relevance as a promising functional food ingredient and underscore the nutraceutical potential embedded in neglected Citrus biodiversity. View this paper
 
  • Issues are regarded as officially published after their release is announced to the table of contents alert mailing list.
  • You may sign up for e-mail alerts to receive table of contents of newly released issues.
  • PDF is the official format for papers published in both, html and pdf forms. To view the papers in pdf format, click on the "PDF Full-text" link, and use the free Adobe Reader to open them.
Order results
Result details
Section
Select all
Export citation of selected articles as:
21 pages, 512 KB  
Article
Factors That Influence the Purchase Intention of Andean Grains in University Students in the Peruvian Market
by Dany Yudet Millones-Liza, Elizabeth Emperatriz García-Salirrosas and Edgar Mayta-Pinto
Foods 2025, 14(23), 4168; https://doi.org/10.3390/foods14234168 - 4 Dec 2025
Viewed by 482
Abstract
Faced with the transformation of food and the rapid pace of life among university students, consumption behaviors for food products such as Andean grains have become significant topics. To better understand this issue, this study aimed to analyze the factors that influence the [...] Read more.
Faced with the transformation of food and the rapid pace of life among university students, consumption behaviors for food products such as Andean grains have become significant topics. To better understand this issue, this study aimed to analyze the factors that influence the purchase intention of Andean grains in university students, based on the theory of planned behavior, self-identity, moral obligation, and willingness to pay more. The study recruited 900 university students, and the results report that moral obligation is the strongest predictor (β = 0.295), followed by self-identity (β = 0.293). These findings confirm the need to explore new opportunities for transforming and innovating Andean grains. Full article
(This article belongs to the Section Sensory and Consumer Sciences)
Show Figures

Figure 1

21 pages, 5169 KB  
Article
Pasuchaca (Geranium dielsiaum Knuth): A New Source of Astilbin with Antiglycation Activity
by Guanglei Zuo, Zhaoyang Wu, Hyun-Yong Kim, Jinghui Feng, Soo Kyeong Lee, Yanymee Nimesia Guillen Quispe and Soon Sung Lim
Foods 2025, 14(23), 4167; https://doi.org/10.3390/foods14234167 - 4 Dec 2025
Viewed by 303
Abstract
Pasuchaca (Geranium dielsianum Knuth), a traditional Peruvian medicinal plant from the Geraniaceae family used for diabetes management, was investigated for its antiglycative properties. This study aimed to screen, isolate, and identify the active antiglycative compounds from its aerial parts. By coupling a [...] Read more.
Pasuchaca (Geranium dielsianum Knuth), a traditional Peruvian medicinal plant from the Geraniaceae family used for diabetes management, was investigated for its antiglycative properties. This study aimed to screen, isolate, and identify the active antiglycative compounds from its aerial parts. By coupling a methylglyoxal (MGO)-HPLC screening assay with high-speed counter-current chromatography (HSCCC), seven dihydroflavonol derivatives were separated and identified from the 80% methanol extract. The compounds were identified as 2,3-dihydromyricetin 3-O-α-rhamnopyranoside (1), (+)-taxifolin 3-O-β-D-xylopyranoside (2), astilbin (6), isoastilbin (8), 3″-acetyl astilbin (9), and 2″-acetyl astilbin (11). Astilbin was identified as the major constituent, with remarkably high contents of 252.41 mg/g in the 80% methanol extract and 541.04 mg/g in the partitioned upper layer fraction. Astilbin demonstrated potent antiglycation activity across all stages of protein glycation (early, middle, late, and whole stages), significantly surpassing the positive control aminoguanidine. Furthermore, the formation of MGO-astilbin adducts was confirmed by LC-ESI-MS, validating its role as an effective MGO scavenger. This report is the first to isolate these phytochemicals from Pasuchaca. The findings establish astilbin as the key antiglycative component of Pasuchaca, substantiating its traditional use and highlighting its potential as a source of functional food ingredients or natural therapeutics for mitigating glycative stress. Full article
Show Figures

Figure 1

16 pages, 5792 KB  
Article
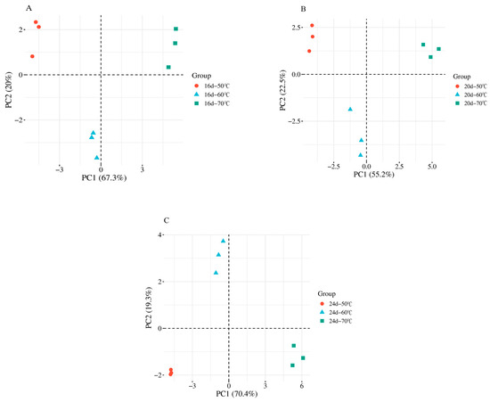
Effect of Lipid Oxidation Products on Histamine Formation in Fermented Sausages
by Yuxiang Xu, Huaihui Zhang, Hongzhan Wang, Wei Zhang and Yilun Wang
Foods 2025, 14(23), 4166; https://doi.org/10.3390/foods14234166 - 4 Dec 2025
Viewed by 475
Abstract
This study aimed to investigate the influence of lipid oxidation intensity on histamine accumulation in fermented sausages and to identify specific lipid oxidation products potentially responsible for promoting histamine formation. Pork backfat was subjected to controlled oxidation at different temperatures to obtain varying [...] Read more.
This study aimed to investigate the influence of lipid oxidation intensity on histamine accumulation in fermented sausages and to identify specific lipid oxidation products potentially responsible for promoting histamine formation. Pork backfat was subjected to controlled oxidation at different temperatures to obtain varying degrees of oxidation and subsequently used in fermented sausage production. Histamine content was determined, and treatment groups exhibiting significant differences (50 °C, 60 °C, and 70 °C) were selected for further non-targeted metabolomic analysis. Multivariate statistical approaches, including PCA and OPLS-DA, were employed to screen and identify differential lipid oxidation products. The results revealed a significant positive correlation between the extent of lipid oxidation and histamine content (p < 0.05). Within the selected temperature range, the mean histamine contents were 22.97, 19.05, and 17.45 mg/kg for the 70 °C, 60 °C, and 50 °C treatments, respectively. A total of 33 lipid oxidation products were identified during ripening, predominantly aldehydes, ketones, alcohols, esters, acids, and alkanes. Pearson correlation analysis showed that four compounds—decanal, nonanal, hexanal, and 1-octen-3-ol—were strongly and positively correlated with histamine content (p < 0.01). These compounds were highlighted as key lipid-derived contributors potentially associated with elevated histamine levels. This study provides initial evidence that specific lipid oxidation products are closely linked to histamine accumulation in a real fermented sausage matrix. The findings offer a theoretical basis for reducing biogenic amine formation by controlling lipid oxidation during processing, which could have important practical implications for improving the safety of fermented meat products. Full article
(This article belongs to the Section Meat)
Show Figures

Figure 1

26 pages, 1083 KB  
Article
Occurrence and Dietary Exposure of PFAS in Singapore: Insights from a Total Diet Study
by Ignatius Lim, Ping Shen, Wei Min Ang, Yee Soon Chin, Raymond Rong Sheng Shi, Wesley Zongrong Yu and Sheot Harn Chan
Foods 2025, 14(23), 4165; https://doi.org/10.3390/foods14234165 - 4 Dec 2025
Viewed by 695
Abstract
Per- and poly-fluoroalkyl substances (PFAS) are synthetic compounds known for their environmental persistence, bioaccumulation, and adverse human risks. This study presents Singapore’s first Total Diet Study assessing the occurrence and dietary exposure of four PFAS, with 503 pooled samples analysed across 23 categories [...] Read more.
Per- and poly-fluoroalkyl substances (PFAS) are synthetic compounds known for their environmental persistence, bioaccumulation, and adverse human risks. This study presents Singapore’s first Total Diet Study assessing the occurrence and dietary exposure of four PFAS, with 503 pooled samples analysed across 23 categories of commonly consumed food prepared using representative cooking methods. The majority (75%) of the food categories had non-detectable levels. Fish and seafood accounted for 89.7% of detections, with frequencies in decreasing order of PFOS > PFOA > PFNA > PFHxS, and an overall mean concentration of 0.67 µg/kg. As 93% of results are left-censored, dietary exposure assessment using a lower bound approach (LB) identified clams and crabs as having a higher estimated exposure risk for consumers, exceeding the EFSA’s Health-Based Guidance Value of 0.63 ng/kg bw/day by factors of 4.8 and 1.9, respectively. PFAS LB dietary exposure for the general population was estimated at 3.1 × 10−3 ng/kg bw/day (average) and 1.7 × 10−1 ng/kg bw/day (95th percentile), indicating a low risk to the population. However, the limit of quantification of 0.1 μg/kg requires improvement to reduce left-censored data and improve dietary estimates. Further research including a broader range of PFAS compounds is recommended for high-risk food categories to increase the accuracy of exposure assessments. Full article
Show Figures

Graphical abstract

13 pages, 5434 KB  
Article
Optimizing GC-IMS for Pork Volatile Fingerprinting: Effects of Incubation Conditions and Medium on Aroma Profiles
by Lei Yu, Binbin Wang, Ziwei Xu, Kaili Ge, Yihan Yuan, Xiangbin Ding, Xiaoming Men and Keke Qi
Foods 2025, 14(23), 4164; https://doi.org/10.3390/foods14234164 - 4 Dec 2025
Viewed by 336
Abstract
Volatile organic compounds (VOCs) are key aroma determinants in pork, and gas chromatography-ion mobility spectrometry (GC-IMS) is an effective technique for their detection. However, the detection conditions for pork using GC-IMS have yet to be standardized. This study employed GC-IMS to investigate the [...] Read more.
Volatile organic compounds (VOCs) are key aroma determinants in pork, and gas chromatography-ion mobility spectrometry (GC-IMS) is an effective technique for their detection. However, the detection conditions for pork using GC-IMS have yet to be standardized. This study employed GC-IMS to investigate the effects of incubation (temperature/duration) and medium (water and different concentrations of NaCl) environments on VOCs in pork. Statistical analyses including t-tests, PLS-DA, and OPLS-DA were employed to assess VOC differences. The results showed that: (1) VOC diversity and intensity increased with incubation temperature and time, with optimal signals obtained at 100 °C for 20 min. (2) The sample medium significantly influenced aroma release. When the medium contained 10% NaCl, the relative content of aldehydes increased, showing that these compounds were optimally released. (3) Under the optimized conditions, 15 key differential VOCs were identified from different muscle tissues, including 10 aldehydes, 2 esters, 1 ketone, 1 alcohol and 1 ether. This work establishes practical GC-IMS parameters for pork VOC analysis and provides a reliable reference for flavor-related studies. Full article
Show Figures

Figure 1

18 pages, 1396 KB  
Article
Bactericidal, Anti-Biofilm, and Stress-Response Modulatory Effects of Lacticaseibacillus rhamnosus ATCC 9595 Cell-Free Supernatant Against Listeria monocytogenes
by Isabela Sguilla Rotta, Hugo Felix Perini, Sthefânia Dalva da Cunha Rezende, Yasmin Neves Vieira Sabino, Marcos Vinicius da Silva, Felipe Alves de Almeida, Emiliane Andrade Araujo Naves, Uelinton Manoel Pinto, Alessandra Barbosa Ferreira Machado and Aline Dias Paiva
Foods 2025, 14(23), 4163; https://doi.org/10.3390/foods14234163 - 4 Dec 2025
Viewed by 496
Abstract
This study evaluated the antagonistic activity of the cell-free supernatant of Lacticaseibacillus rhamnosus ATCC 9595 (Lcr-CFS) against Listeria monocytogenes, a major foodborne pathogen, that represents a challenge to food safety, due to its remarkable tolerance to environmental stresses and strong [...] Read more.
This study evaluated the antagonistic activity of the cell-free supernatant of Lacticaseibacillus rhamnosus ATCC 9595 (Lcr-CFS) against Listeria monocytogenes, a major foodborne pathogen, that represents a challenge to food safety, due to its remarkable tolerance to environmental stresses and strong biofilm-forming ability. The minimum inhibitory concentration (MIC) and minimum bactericidal concentration (MBC) of Lcr-CFS against L. monocytogenes were defined as 31.25 and 62.5 mg/mL, respectively. Time-kill assays revealed dose- and time-dependent bactericidal effects. At sub-MICs, Lcr-CFS significantly reduced L. monocytogenes biofilm formation, disrupted preformed biofilms and decreased cell viability (80.3–96.7%), effects that were confirmed by 3-(4,5-dimethylthiazol-2-yl)-2,5-diphenyltetrazolium bromide (MTT) assay and fluorescence microscopy. Transmission electron microscopy showed L. monocytogenes cell wall damage, cytoplasmic leakage, and morphological alterations consistent with bactericidal effects. Additionally, exposure to 1x and 2x MIC of Lcr-CFS induced reactive oxygen species (ROS) accumulation, indicating oxidative stress as part of the mechanism by which Lcr-CFS exerts its antimicrobial activity. Gene expression analysis revealed upregulation of stress and virulence-associated genes (sigB, prfA, degU, flaA, motA, hlyA, pclA, and actA) upon exposure to 0.5x MIC suggesting a complex cross-talk network between adaptive mechanisms and environmental stresses. Although L. monocytogenes initiates a stress response, it appears unable to counteract the damage induced by Lcr-CFS, resulting in cell death. These findings highlight the antimicrobial and anti-biofilm properties of Lcr-CFS against L. monocytogenes. Given its in vitro efficacy, Lcr-CFS emerges as a promising biocontrol agent to improve food safety by mitigating the persistence of L. monocytogenes in food processing settings. Full article
Show Figures

Figure 1

18 pages, 3247 KB  
Article
Formulation, Characterization, and Lipolysis Properties of Lycopene-Loaded Self-Emulsifying Delivery Systems Based on Different Lipids
by Siao-Jhen Lin, Yi-Chan Chiang, Kai-Min Yang and Po-Yuan Chiang
Foods 2025, 14(23), 4162; https://doi.org/10.3390/foods14234162 - 4 Dec 2025
Viewed by 509
Abstract
Lycopene is a naturally potent lipophilic antioxidant, which limits its bioavailability for absorption during intestinal digestion. Therefore, this study utilized a self-emulsifying delivery system (SEDS) to enhance the solubility and bioavailability of lycopene and investigated the effects of nonionic surfactant mixtures at varying [...] Read more.
Lycopene is a naturally potent lipophilic antioxidant, which limits its bioavailability for absorption during intestinal digestion. Therefore, this study utilized a self-emulsifying delivery system (SEDS) to enhance the solubility and bioavailability of lycopene and investigated the effects of nonionic surfactant mixtures at varying hydrophilic–lipophilic balance (HLB) values and surfactant-to-oil ratios (SORs) on SEDS using oleic acid (OA), medium-chain triglycerides (MCTs), and sunflower oil (SO) as oil matrices. The resulting water-in-oil-in-water emulsions exhibited droplet sizes (181.70 to 572.27 nm), polydispersity indices (0.29 to 0.86), and ζ-potentials (−22.90 to −53.70 mV), with stability varying according to the type of oil and formulation parameters. Antioxidant activities of SO-based SEDS were higher compared to MCT-based and OA-based ones due to lycopene loading increase. In vitro simulated intestinal digestion revealed differences in lipolysis kinetics, with MCT-based lycopene-loaded SEDS exhibiting enhanced cumulative release and bioaccessibility in the duodenal (1.1–2.1 mEq/g) and jejunal (1.6–2.2 mEq/g) segments. This study revealed a comprehensive strategy encompassing lycopene extracts, SEDS preparation, quality indices, lipolysis dynamics, and proximal intestine solubilization amounts that successfully enhanced lycopene bioavailability. Optimized MCT-based lycopene-loaded SEDS with high HLB (10.72) and SOR (1.00) enhanced hydrophobic bioactive delivery efficiency, offering a novel low-energy strategy for developing functional supplements. Full article
Show Figures

Graphical abstract

18 pages, 3070 KB  
Article
Fraction I of Whey Protein Hydrolysates Improves Lipid Stability and Water Retention in Ground Pork During Freeze–Thaw Cycles
by Yifan Yin, Yina Yin, Jia Li, Haoyu Lv, Xuefeng Tang, Chao Wang and Qingtian Dong
Foods 2025, 14(23), 4161; https://doi.org/10.3390/foods14234161 - 4 Dec 2025
Viewed by 421
Abstract
This study investigated the potential of Fraction I (FI, <1 kDa), a peptide fraction derived from whey protein hydrolysates (WPH) exhibiting strong in vitro scavenging activity against DPPH, superoxide, and hydroxyl radicals, to mitigate quality deterioration in ground pork subjected to up to [...] Read more.
This study investigated the potential of Fraction I (FI, <1 kDa), a peptide fraction derived from whey protein hydrolysates (WPH) exhibiting strong in vitro scavenging activity against DPPH, superoxide, and hydroxyl radicals, to mitigate quality deterioration in ground pork subjected to up to seven freeze–thaw (F–T) cycles. Ground pork samples were supplemented with FI at three concentrations (5%, 10%, and 15%) and analyzed for oxidative and physicochemical changes. Successive F–T cycles markedly promoted lipid oxidation, as indicated by increased peroxide value and thiobarbituric acid reactive substances (TBARS), and overall quality deterioration, evidenced by a rise in acid value and pH along with a decrease in G″. Incorporation of 10% FI effectively inhibited these oxidative reactions and improved the water-holding capacity of ground pork. These results demonstrate that among the tested concentrations, FI at 10% most effectively enhances oxidative stability and maintains water distribution, thereby preserving the quality of ground pork during multiple F–T cycles. Full article
Show Figures

Figure 1

16 pages, 3781 KB  
Article
Microenvironmental Gradients Drive Spatial Stratification of Saccharifying Microbial Communities and Enzyme Activity in Strong-Flavor Daqu Fermentation
by Wenyi Jiang, Suyi Zhang, Zhiping Feng, Yi Dong, Zonghua Ao, Junjie Jia, He Li, Zhilin Chen, Ruidi Liu and Xingke Wen
Foods 2025, 14(23), 4160; https://doi.org/10.3390/foods14234160 - 4 Dec 2025
Viewed by 328
Abstract
Daqu, a representative solid-state fermentation product, produces saccharifying enzymes to degrade sorghum starch into fermentable sugars for ethanol synthesis. Spatial heterogeneity in Daqu drives community assembly. However, its regulatory role in enzyme-driven saccharification remains unclear. By integrating metagenomics and PacBio full-length sequencing, [...] Read more.
Daqu, a representative solid-state fermentation product, produces saccharifying enzymes to degrade sorghum starch into fermentable sugars for ethanol synthesis. Spatial heterogeneity in Daqu drives community assembly. However, its regulatory role in enzyme-driven saccharification remains unclear. By integrating metagenomics and PacBio full-length sequencing, this study investigated how microenvironmental gradients across distinct Daqu layers (QP (surface layer), HQ (middle layer), QX (center layer)) shape saccharifying microbiota and activity. Saccharifying activity exhibited a declining surface-to-center gradient (e.g., QP: 870.9 ± 21.2 U/mL > HQ: 631.2 ± 16.4 U/mL > QX: 296.5 ± 16.1 U/mL on day 30, p < 0.05), paralleled by divergence in microenvironments. Metagenomics identified α-amylase and α-glucosidase as key saccharifying enzymes, primarily encoded by fungi; their abundance was inhibited by heat and humidity, yet promoted by acidity. Enzymatic validation confirmed higher saccharifying activity in QP and HQ core microbes (e.g., Lichtheimia ramosa: 43.16 ± 1.97 U/mL) than in QX (e.g., Paecilomyces variotii: 14.27 ± 1.25 U/mL). Network analysis revealed Lactobacillaceae are closely linked with saccharifying communities. This study establishes microenvironmental gradients as critical regulators of spatial saccharification in Daqu, informing strategies to optimize microbial consortia for baijiu production. Full article
(This article belongs to the Section Food Microbiology)
Show Figures

Graphical abstract

17 pages, 3177 KB  
Article
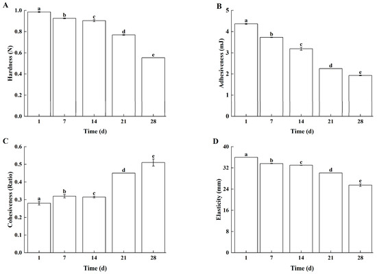
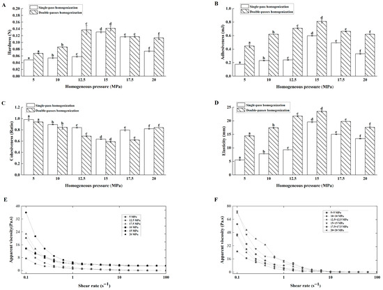
Optimization of Preparation Conditions and Storage Quality of Sour Cream Fermented by Lactococcus lactis grx602
by Xiaolong He, Jintao Cheng, Jianhua Tang and Chengran Guan
Foods 2025, 14(23), 4159; https://doi.org/10.3390/foods14234159 - 4 Dec 2025
Viewed by 358
Abstract
Sour cream is a functional dairy product with a unique taste and high nutritional value. In this study, Lactococcus lactis grx602, a strain capable of degrading milk fat, was used to produce sour cream (a fermented dairy-based emulsion, designated as Lg-sour cream). The [...] Read more.
Sour cream is a functional dairy product with a unique taste and high nutritional value. In this study, Lactococcus lactis grx602, a strain capable of degrading milk fat, was used to produce sour cream (a fermented dairy-based emulsion, designated as Lg-sour cream). The preparation process was optimized and the quality stability during storage was evaluated. The optimal preparation parameters were identified as double-pass homogenization (15.0 MPa, 70 °C), a 1% inoculation level, and fermentation at 37 °C. During storage, Lg-sour cream exhibited acceptable fluctuations in fermentation characteristics (viable cell count, pH and acidity), continuous decreases in textural properties (hardness, adhesiveness, cohesiveness, and elasticity), progressive declines in rheological properties (water-holding capacity, apparent viscosity and viscosity), and positive variations in free fatty acid composition (types and contents of fatty acids with different chain lengths). This study provides an in-depth exploration of the nutritional value, storage stability, and processing of Lg-sour cream fermented with L. lactis grx602, aiming to develop a novel sour cream with potential health benefits using L. lactis grx602 as the starter culture. Full article
(This article belongs to the Section Dairy)
Show Figures

Figure 1

17 pages, 4302 KB  
Article
Homology Modeling of Sesame Allergenic Protein and Prediction of B-Cell Linear Antigenic Epitopes Using Immunoinformatic Tools
by Xiuli Ma, Fang Wang, Ning Yu, Jiukai Zhang, Xiaoxuan Wang, Meng Xie, Yiqiang Ge and Ying Chen
Foods 2025, 14(23), 4158; https://doi.org/10.3390/foods14234158 - 3 Dec 2025
Viewed by 508
Abstract
Sesame (Sesamum indicum L.) has emerged as a significant food allergen and is now classified among the “Big Eight” allergens due to its increasing prevalence and potential to cause severe allergic reactions, including anaphylaxis. Seven sesame allergens have been identified; however, their [...] Read more.
Sesame (Sesamum indicum L.) has emerged as a significant food allergen and is now classified among the “Big Eight” allergens due to its increasing prevalence and potential to cause severe allergic reactions, including anaphylaxis. Seven sesame allergens have been identified; however, their structures and epitopes have not been thoroughly studied. In the present study, we predicted the tertiary structures of these seven sesame allergens and identified the B-cell epitopes using immunoinformatic tools, suggesting them as potential targets for allergen immunotherapy. Consequently, homology modeling and tertiary structure prediction were performed for the seven allergens with unknown structures. A total of 62 peptides were identified through prediction analysis. Twenty-eight out of the 62 predicted epitopes are located in regions that are positionally conserved with previously reported epitopes in homologous allergens. They share certain key amino acids. The spatial distribution of some predicted B-cell linear epitopes is depicted, providing multiple perspectives. The predicted consensus epitopes and structures can serve as suitable candidates for designing immunotherapeutic vaccines. Full article
(This article belongs to the Special Issue Food Allergen Detection, Identification and Regulation)
Show Figures

Figure 1

20 pages, 1264 KB  
Article
Impact of Climate Change on the Presence of Ochratoxin A in Red and White Greek Commercial Wines
by Dimitrios Evangelos Miliordos, Lamprini Roussi, Stamatina Kallithraka, Efstathios Z. Panagou and Pantelis I. Natskoulis
Foods 2025, 14(23), 4157; https://doi.org/10.3390/foods14234157 - 3 Dec 2025
Viewed by 783
Abstract
Wine samples (72) of different types (white, rose and red), dry, originating from different regions of Greece (Northern Greece, Central Greece, Peloponnese, Aegean Islands, and Crete), were analyzed for Ochratoxin A (OTA) presence. Wine samples, originating from Greek (Assyrtiko and Xinomavro) and international [...] Read more.
Wine samples (72) of different types (white, rose and red), dry, originating from different regions of Greece (Northern Greece, Central Greece, Peloponnese, Aegean Islands, and Crete), were analyzed for Ochratoxin A (OTA) presence. Wine samples, originating from Greek (Assyrtiko and Xinomavro) and international (Syrah and Sauvignon blanc) noble grapevine varieties vintaged from 2020 to 2023, were analyzed using a modified QuEChERS extraction protocol followed by HPLC with a fluorescence detector to detect and quantify OTA. Moreover, conventional oenological parameters were measured according to OIV official methods, and climatic conditions of the regions of concern were retrieved. Interestingly, in general, OTA contaminated wines showed low concentrations (<2.0 μg/L). The highest concentrations of OTA were detected in Sauvignon blanc (7.5 μg/L) regarding the white wines and Xinomavro (2.07 μg/L) regarding the red ones. In addition, the highest OTA concentrations were recorded in wines produced in areas either with high mean annual temperatures, like Viotia (24.16 °C) for white and Larissa (23.9 °C) for red wines, or with high rainfall between May and September (Larissa 69.76 mm) for white wines. Consequently, it was observed that concentrations of OTA in wine are relatively higher in the warmer regions of Greece compared to the cooler areas. The effect of climate change on vines and mycotoxin presence in wine needs urgent consideration by well-constructed modelling studies and efficient interpretation of existing data. The evaluation of OTA presence in grape products originating from various cultivars and regions is imperative not only for providing crucial data to predict its fate under climate change, but also to ascertain the potential risk of human exposure to this chemical compound. Full article
Show Figures

Figure 1

15 pages, 1947 KB  
Article
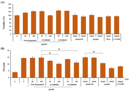
Bioconversion of Geniposide from Gardenia jasminoides via Levilactobacillus Enhancing Anti-Inflammatory Activity
by Chun-Zhi Jin, Long Jin, Ye Zhuo, Ting Li, Huimin Liu, Kee-Sun Shin and Le Kang
Foods 2025, 14(23), 4156; https://doi.org/10.3390/foods14234156 - 3 Dec 2025
Viewed by 432
Abstract
Genipin, one of Gardenia jasminoides’ bioactive components, exhibits superior therapeutic efficacy compared to geniposide, though it is present in much lower concentrations. Conventional hydrolysis methods using acids or organic solvents can enhance genipin yield but often raise environmental and safety concerns. This study [...] Read more.
Genipin, one of Gardenia jasminoides’ bioactive components, exhibits superior therapeutic efficacy compared to geniposide, though it is present in much lower concentrations. Conventional hydrolysis methods using acids or organic solvents can enhance genipin yield but often raise environmental and safety concerns. This study aimed to increase genipin production through whole-cell bioconversion of geniposide to genipin using lactic acid bacteria (LABs). A total of 191 LAB strains were isolated from kimchi. Levilactobacillus sp. LN180102 showed the highest bioconversion activity, which was up to 40%. Docking analysis and esculin assay confirmed the beta-glucosidase activity. The anti-inflammatory effects of the fermented extract were enhanced by 28.5% in RAW 264.7 cells in vitro. Additionally, Levilactobacillus sp. LN180102 is probiotic-friendly and exhibits a high tolerance for phenol, bile, and acid. In their entirety, these discoveries have the potential to illuminate the ways in which Gardenia jasminoides can be functionally improved through whole-cell bioconversion, thereby enabling individuals to lead healthier lifestyles. Full article
(This article belongs to the Section Food Microbiology)
Show Figures

Figure 1

18 pages, 1541 KB  
Article
Effects of Short-Term Depuration on Muscle Nutritional Quality and Flavor Composition in Carassius auratus gibelio
by Chuntao Xue, Duhuang Chen, Wenqiang Jiang, Yan Lin, Yanshun Xu, Lingzhan Xue, Siyue Lu, Haiping Fan, Xuegui Li and Linghong Miao
Foods 2025, 14(23), 4155; https://doi.org/10.3390/foods14234155 - 3 Dec 2025
Viewed by 504
Abstract
This study evaluated the effects of short-term depuration under different salinity levels on the muscle nutritional composition and quality of Carassius auratus gibelio, aiming to provide guidance for enhancing the value of farmed crucian carp. A total of 240 fish (450 ± [...] Read more.
This study evaluated the effects of short-term depuration under different salinity levels on the muscle nutritional composition and quality of Carassius auratus gibelio, aiming to provide guidance for enhancing the value of farmed crucian carp. A total of 240 fish (450 ± 50 g) were reared in recirculating aquaculture systems at salinities of 0‰ (S0), 3‰ (S3), 6‰ (S6), and 9‰ (S9) for 0 (D0), 5 (D5), and 10 days (D10). Dorsal muscle samples were analyzed for proximate composition, amino acids, fatty acids, flavor-related nucleotides, geosmin, and volatile compounds. Short-term depuration significantly improved muscle protein content, total amino acids, and umami amino acids. Culturing at 6‰ salinity for 10 days enhanced crude protein, total amino acids, umami amino acids, and lipid indices associated with cardiovascular benefits, while 9‰ salinity for 5 days increased crude lipid, total umami amino acids content, and the essential amino acid index (EAAI). Geosmin content decreased under moderate salinity but tended to accumulate at higher salinities. Amino acid scoring identified lysine, methionine, and cysteine as limiting under certain conditions, indicating a need for supplementation. Overall, short-term salinity depuration effectively improves muscle nutritional composition, fatty acid profiles, and flavor attributes, offering a practical approach to producing higher-value C. auratus gibelio with enhanced health benefits and consumer appeal. Full article
Show Figures

Figure 1

25 pages, 33596 KB  
Article
Fig-YOLO: An Improved YOLOv11-Based Fig Detection Algorithm for Complex Environments
by Zhihao Liang, Ruoyu Di, Fei Tan, Jinbang Zhang, Weiping Yan, Li Zhang, Wei Xu, Pan Gao and Zhewen Hao
Foods 2025, 14(23), 4154; https://doi.org/10.3390/foods14234154 - 3 Dec 2025
Cited by 1 | Viewed by 533
Abstract
Accurate fig detection in complex environments is a significant challenge. Small targets, occlusion, and similar backgrounds are considered the main obstacles in intelligent harvesting. To address this, this study proposes Fig-YOLO, an improved YOLOv11n-based detection algorithm with multiple targeted architectural innovations. First, a [...] Read more.
Accurate fig detection in complex environments is a significant challenge. Small targets, occlusion, and similar backgrounds are considered the main obstacles in intelligent harvesting. To address this, this study proposes Fig-YOLO, an improved YOLOv11n-based detection algorithm with multiple targeted architectural innovations. First, a Spatial–Frequency Selective Convolution (SFSConv) module is introduced into the backbone to replace conventional convolution, enabling joint modeling of spatial structures and frequency-domain texture features for more effective discrimination of figs from visually similar backgrounds. Second, an enhanced bi-branch attention mechanism (EBAM) is incorporated at the network’s terminal stage to strengthen the representation of key regions and improve robustness under severe occlusion. Third, a multi-branch dynamic sampling convolution (MFCV) module replaces the original C3k2 structure in the feature fusion stage, capturing figs of varying sizes through dynamic sampling and residual deep-feature fusion. Experimental results show that Fig-YOLO achieves precision, recall, and mAP@0.5 of 89.2%, 78.4%, and 87.3%, respectively, substantially outperforming the baseline YOLOv11n. Further evaluation confirms that the model maintains stable performance across varying fruit sizes, occlusion levels, lighting conditions, and data sources. Fig-YOLO’s innovations offer solid support for intelligent orchard monitoring and harvesting. Full article
Show Figures

Figure 1

23 pages, 2824 KB  
Article
Functional and Nutritional Properties of Lion’s Mane Mushrooms in Oat-Based Desserts for Dysphagia and Healthy Ageing
by Samiddhi Gunathilake, Supuni Aluthge, Asgar Farahnaky, Tien Huynh, Geoffrey Ssepuuya and Mahsa Majzoobi
Foods 2025, 14(23), 4153; https://doi.org/10.3390/foods14234153 - 3 Dec 2025
Viewed by 998
Abstract
Hericium erinaceus (Lion’s Mane mushroom) is a medicinal species recognised for its neuroprotective and antioxidant properties. This study investigated its potential as a functional ingredient in oat milk-based desserts formulated for individuals with dysphagia. Freeze-dried Lion’s Mane powder (LMP), containing high-quality protein (~16%, [...] Read more.
Hericium erinaceus (Lion’s Mane mushroom) is a medicinal species recognised for its neuroprotective and antioxidant properties. This study investigated its potential as a functional ingredient in oat milk-based desserts formulated for individuals with dysphagia. Freeze-dried Lion’s Mane powder (LMP), containing high-quality protein (~16%, amino acid score 88%), dietary fibre (~31%), and phenolic compounds (72.15 mg GAE/g), was incorporated at varying levels using gelatin or iota-carrageenan (IC) as gelling agents. Incorporation of up to 5% LMP significantly improved the nutritional composition and maintained favourable texture and sensory characteristics while meeting the International Dysphagia Diet Standardisation Initiative (IDDSI) Level 6 criteria. Both manual and instrumental fork pressure tests confirmed that all samples were soft and easy to compress without stickiness or deformation recovery, ensuring safe swallowing. Higher inclusion levels of LMP or hydrocolloids increased hardness and firmness but adversely affected colour and mouthfeel. Carrageenan-based formulations further supported the development of vegan-friendly options with stable structure and desirable rheology. Overall, the study demonstrates that Lion’s Mane-enriched soft foods can deliver enhanced nutrition and texture suitable for dysphagic diets, offering a novel, plant–fungal approach to supporting healthy ageing with potential neuroprotective properties. Full article
(This article belongs to the Special Issue Edible Mushroom: Nutritional Properties and Its Utilization in Foods)
Show Figures

Graphical abstract

19 pages, 5227 KB  
Article
Exploring the Role of Tamarind Seed Polysaccharides in Modulating the Structural, Digestive, and Emulsion Stability Properties of Waxy Corn Starch Composites
by Xiangyu Ya, Yongshuai Ma, Zibo Song, Yongli Jiang, Chaofan Guo and Junjie Yi
Foods 2025, 14(23), 4152; https://doi.org/10.3390/foods14234152 - 3 Dec 2025
Viewed by 490
Abstract
This study investigated the effects of tamarind seed polysaccharide (TSP) on the structural characteristics, digestibility, and emulsifying properties of waxy maize starch (WMS), as well as their interaction mechanisms. WMS-TSP complexes were prepared via complexes to improve starch’s physical and functional properties. Native [...] Read more.
This study investigated the effects of tamarind seed polysaccharide (TSP) on the structural characteristics, digestibility, and emulsifying properties of waxy maize starch (WMS), as well as their interaction mechanisms. WMS-TSP complexes were prepared via complexes to improve starch’s physical and functional properties. Native WMS showed smooth spherical granules, while WMS-TSP samples formed freeze-drying-induced honeycomb structures (~200–250 μm). In vitro digestion indicated that WMS-TSP systems (5–15%) reduced RDS by 20.1–24.11% relative to native WMS (41% ± SD), suggesting a potential to attenuate postprandial glycemic responses. Fourier-transform infrared (FT-IR) spectroscopy revealed that TSP interacted with WMS mainly through non-covalent bonds such as hydrogen bonding, while influencing the degree of crystallinity without generating new crystalline polymorphs. In corn oil-based emulsions, the WMS-TSP composites showed strong viscoelastic behavior, with elevated storage (G′) and loss (G″) moduli, together with improved storage stability. These findings highlight the synergistic potential of WMS and TSP in enhancing the functionality of starch-based systems and provide insights into the role of polysaccharides in food structure and digestion regulation. Full article
(This article belongs to the Section Food Physics and (Bio)Chemistry)
Show Figures

Figure 1

15 pages, 3350 KB  
Article
Specific Identification of Listeria monocytogenes in Food Using a QCM Sensor Based on Amino-Modified Mesoporous SiO2 with Enhanced Surface-Active Capabilities
by Ziliang Fan, Miaomiao Li, Xingyu Wang, Haixia Zhou, Faraz Ahmed and Yongheng Zhu
Foods 2025, 14(23), 4151; https://doi.org/10.3390/foods14234151 - 3 Dec 2025
Viewed by 433
Abstract
Listeria monocytogenes (LM) poses a serious threat to food safety and public health. Current detection methods suffer from drawbacks such as expensive equipment, complex procedures, and time-consuming processes, highlighting the urgent need for a simple, rapid, accurate, and cost-effective detection approach. [...] Read more.
Listeria monocytogenes (LM) poses a serious threat to food safety and public health. Current detection methods suffer from drawbacks such as expensive equipment, complex procedures, and time-consuming processes, highlighting the urgent need for a simple, rapid, accurate, and cost-effective detection approach. The bacterial metabolite 3-hydroxy-2-butanone (3H2B), due to its high abundance, can serve as a reliable biomarker for detection. Herein, ordered mesoporous silica nanoparticles (MSNs) were synthesized via a one-pot method and subsequently functionalized with APTES. The NH2-MSNs-2 exhibits extremely high sensitivity (768 Hz@50 ppm) and selectivity towards 3H2B due to its high specific surface area, abundant mesoporous structure, and weak chemical adsorption between amino groups and the 3H2B. The quartz crystal microbalance (QCM) sensor developed based on this material demonstrated outstanding performance in testing the contamination levels of LM in food. This study provides a solid foundation for further exploring the fundamental mechanisms of QCM sensors in the real-time, non-invasive detection of LM, while also demonstrating significant application potential in the field of food safety assurance. Full article
Show Figures

Graphical abstract

23 pages, 1745 KB  
Review
Metabolic Engineering Strategy for Bacillus subtilis Producing MK-7
by Shiying Wu, Xiuwen Sun, Tingwen Fan, Fei Lin, Yuan Chi, Huaiyi Yang and Chunhui Zhao
Foods 2025, 14(23), 4150; https://doi.org/10.3390/foods14234150 - 3 Dec 2025
Viewed by 912
Abstract
Menaquinone-7 (MK-7) is an important bioactive form of vitamin K2 that inhibits vascular calcification, maintains systemic calcium homeostasis, demonstrates high bioavailability, and possesses an extended plasma half-life. Bacillus subtilis naturally possesses the complete biosynthetic pathway for MK-7, benefits from a well-characterized genetic [...] Read more.
Menaquinone-7 (MK-7) is an important bioactive form of vitamin K2 that inhibits vascular calcification, maintains systemic calcium homeostasis, demonstrates high bioavailability, and possesses an extended plasma half-life. Bacillus subtilis naturally possesses the complete biosynthetic pathway for MK-7, benefits from a well-characterized genetic background and advanced genome-editing tools, and is regarded as a safe and efficient microbial chassis for industrial MK-7 fermentation. This review summarizes recent advances in the metabolic engineering of Bacillus subtilis for high-level MK-7 production, highlights pathway analyses, and discusses engineering strategies targeting four key modules: substrate utilization, secretion, spore/biofilm formation, and oxidative-stress defense. Full article
(This article belongs to the Section Nutraceuticals, Functional Foods, and Novel Foods)
Show Figures

Figure 1

16 pages, 642 KB  
Article
Effect of Okara Inclusion on Starch Digestibility and Phenolic-Related Health-Promoting Properties of Sorghum-Based Instant Porridges
by Adeyemi Ayotunde Adeyanju and Oluwafemi Ayodeji Adebo
Foods 2025, 14(23), 4149; https://doi.org/10.3390/foods14234149 - 3 Dec 2025
Viewed by 328
Abstract
This study investigated the effect of okara incorporation on modulating starch digestibility and phenolic-related bioactivity in sorghum-based instant porridges. Fermented and unfermented formulations were prepared using sorghum, okara, and their composite blends. Okara substitution at 50% reduced rapidly digestible starch by 37% and [...] Read more.
This study investigated the effect of okara incorporation on modulating starch digestibility and phenolic-related bioactivity in sorghum-based instant porridges. Fermented and unfermented formulations were prepared using sorghum, okara, and their composite blends. Okara substitution at 50% reduced rapidly digestible starch by 37% and increased resistant starch by 368%. Antioxidant indicators such as 2,2-Diphenyl-1-picrylhydrazyl (DPPH) (60.22 µmol TE/g), 2,2′-Azino-bis (3-ethylbenzothiazoline-6-sulfonic acid) (ABTS) (68.33 µmol TE/g), and Ferric Reducing Antioxidant Power (FRAP) (66.09 µmol TE/g) of the 50:50 fermented composite porridge were significantly higher compared with the sorghum-only porridge. All porridges demonstrated DNA protective properties, while the HPLC profile revealed increased phenolic acids (e.g., 312.90 µg/g in fermented okara porridge) and flavonoids (e.g., 1384.21 µg/g in fermented sorghum porridge), with bioconversion of glycosylated isoflavones into aglycones. Overall, the findings highlight the synergistic benefits of incorporating okara and fermenting it in sorghum-based porridges, offering valuable insights for developing functional cereal-based products. Full article
(This article belongs to the Section Grain)
Show Figures

Graphical abstract

23 pages, 5247 KB  
Article
Evolution of Secondary Metabolites in Eruca sativa from the Microgreen to the Reproductive Stage: An Integrative Multi-Platform Metabolomics Approach
by Francesca Monzillo, Brigida Della Mura, Cristina Matarazzo, Maria Assunta Crescenzi, Sonia Piacente, Luigi d’Aquino, Rosaria Cozzolino and Paola Montoro
Foods 2025, 14(23), 4148; https://doi.org/10.3390/foods14234148 - 3 Dec 2025
Viewed by 622
Abstract
Eruca sativa Mill. (rocket; Fam. Brassicaceae) is widely appreciated for its peculiar flavour and beneficial effects on human health. Glucosinolates (GSLs) and their enzymatic hydrolysis products, isothiocyanates (ITCs), are considered to be responsible for health-promoting effects and for sensory relevance in rocket, respectively. [...] Read more.
Eruca sativa Mill. (rocket; Fam. Brassicaceae) is widely appreciated for its peculiar flavour and beneficial effects on human health. Glucosinolates (GSLs) and their enzymatic hydrolysis products, isothiocyanates (ITCs), are considered to be responsible for health-promoting effects and for sensory relevance in rocket, respectively. This study aimed at evaluating and comparing the metabolite profiles of rocket leaves collected at different phenological stages, to investigate the content evolution during cultivation. To minimise metabolic variability induced by environmental factors, plants were cultivated in an innovative growing system equipped with precision lighting and ventilation. A multi-platform metabolomics approach combining liquid chromatography–high-resolution mass spectrometry (LC–HRMS) and headspace solid-phase microextraction coupled with gas chromatography–mass spectrometry (HS-SPME/GC–MS) was carried out for comprehensive coverage of non-volatile and volatile organic compounds (VOCs). To integrate data from both platforms, a multivariate data fusion strategy was used. Higher GSLs content was detected in the microgreens stage. In particular, glucoraphanin, glucoiberverin, glucoerucin, DMB-GLS, and 1,4-dimethoxyglucobrassicin were identified as biological markers of rocket microgreens. ITCs levels were found to increase in mature leaves. These findings suggest a dynamic modulation of secondary metabolism during the plant life cycle, possibly in response to different adaptation needs to environmental conditions. Our findings confirm the potential of microgreens as a functional food in promoting health and preventing chronic diseases and can also tailor rocket cultivation to maximise the production of beneficial metabolites and to improve selected sensorial features. Full article
(This article belongs to the Section Plant Foods)
Show Figures

Graphical abstract

15 pages, 4812 KB  
Article
Effects of Fusarium graminearum and Fusarium verticillioides Infection on Sweet Corn Quality During Postharvest Storage
by Yihan Xue, Shaoyue Liu, Qianzi Nie, Xinru Zhang, Yan Zhao, Yanfei Li and Haoxin Lv
Foods 2025, 14(23), 4147; https://doi.org/10.3390/foods14234147 - 3 Dec 2025
Viewed by 375
Abstract
Sweet corn is highly susceptible to infection by Fusarium graminearum (F. graminearum) and Fusarium verticillioides (F. verticillioides) during storage, which substantially compromises its nutritional quality and economic value. However, the specific effects of F. graminearum and F. verticillioides on [...] Read more.
Sweet corn is highly susceptible to infection by Fusarium graminearum (F. graminearum) and Fusarium verticillioides (F. verticillioides) during storage, which substantially compromises its nutritional quality and economic value. However, the specific effects of F. graminearum and F. verticillioides on sweet corn quality during postharvest storage remain poorly understood. This study systematically explored the effects of F. graminearum and F. verticillioides infection on sweet corn quality by evaluating the changes in color, hardness, weight loss rate, malondialdehyde (MDA) content, surface fungal spore count, soluble protein content, and soluble sugar content. Results indicated that the critical time points for visible deterioration were 24 h post-inoculation for F. graminearum and 36 h for F. verticillioides. Compared with the control group, both infections caused significant darkening of kernel color and a marked increase in surface fungal spore counts. Notably, F. verticillioides infection was associated with a significant increase in MDA content, indicating enhanced oxidative stress in infected kernels. These findings elucidate the mechanisms of pathogen-induced quality degradation in sweet corn and provide a scientific basis for preserving and enhancing the value of agricultural products and ensuring food safety. Full article
Show Figures

Figure 1

19 pages, 2409 KB  
Article
Bioeconomy and Climate Change: The Scenarios of Food Insecurity in Brazil’s Northern Region (Amazon) Due to the Shift from Traditional Table Crops to Globally Valued Commodities
by Waldeir Pereira, Tulio Lara, Antônio Andrade, Marcos Seruffo, Aurilene Andrade, Cláudio Silva, Bergson Bezerra, Keila Mendes, Iolanda Reis, Iracenir Santos, Larice Marinho, Hildo Nunes, Juliane Barros, Matheus Lima, Lucas Silva, Roberto Monteiro, José Santos, Theomar Neves, Raoni Santana, Lucas Vaz Peres, Alex Silva, Petia Oliveira, Aldeize Tribuzy, Eliandra Sia, Daniela Pauletto, Celeste Rossi, André Silva, Francisco Silva, Letícia Moreira, Pio Lima-Netto, Celson Lima and Gabriel Brito-Costaadd Show full author list remove Hide full author list
Foods 2025, 14(23), 4146; https://doi.org/10.3390/foods14234146 - 3 Dec 2025
Viewed by 614
Abstract
Climate variability directly influences agriculture, especially in a scenario of global change and transition to a sustainable bioeconomy. This study analyzed historical series (1994–2023) of productivity and harvested area of annual crops (corn, cassava, and beans) and perennial crops (pineapple, cocoa, annatto, avocado, [...] Read more.
Climate variability directly influences agriculture, especially in a scenario of global change and transition to a sustainable bioeconomy. This study analyzed historical series (1994–2023) of productivity and harvested area of annual crops (corn, cassava, and beans) and perennial crops (pineapple, cocoa, annatto, avocado, and guava), in order to understand the relationship between rainfall, maximum temperature, and agricultural production in northern Brazil. To achieve this, the Augmented Dickey–Fuller (ADF) test was applied to verify the stationarity of the series, and principal component analysis (PCA) was used to identify correlation patterns between climate and production variables. The ADF test showed that annual precipitation is stationary, while maximum temperature is non-stationary, confirming a warming trend. Among the crops, only bean productivity was stationary, albeit at low levels, while corn, cassava, and cocoa showed non-stationary behavior, reflecting technological advances combined with climatic pressures. PCA indicated different responses: corn showed a positive association with temperature, but signs of recent stagnation, whereas cassava and beans depended more on precipitation, demonstrating vulnerability to drought. Among perennials, avocado and guava responded positively to increased temperature, while annatto and pineapple were more dependent on rainfall. Cocoa showed a balanced correlation with both variables. It can be concluded that climate impacts on agriculture are heterogeneous and require specific adaptive strategies. From a bioeconomy perspective, the importance of productive diversification, technological innovation, and public policies aimed at climate resilience and the sustainability of low-carbon value chains is highlighted. Full article
(This article belongs to the Section Food Security and Sustainability)
Show Figures

Graphical abstract

25 pages, 5029 KB  
Article
An Exploratory Study on the Influence of Frying on Chemical Constituent Transformation and Antioxidant Activity in Ziziphi Spinosae Semen: A Multimodal Analytical Strategy Based on UPLC–Q–TOF–MS and GC–IMS
by Xinyi Ouyang, Xiaonuo Shi, Chang Zhou, Mengyuan Li, Rujia Huang, Huiping Liu, Dan Huang and Guomin Zhang
Foods 2025, 14(23), 4145; https://doi.org/10.3390/foods14234145 - 3 Dec 2025
Viewed by 617
Abstract
Ziziphi Spinosae semen (ZSS) is renowned for its rich nutritional composition and is traditionally consumed in China, Japan, and Korea, where it is widely incorporated into both medicinal diets and daily cuisine. To address the lack of systematic research comparing raw and fried [...] Read more.
Ziziphi Spinosae semen (ZSS) is renowned for its rich nutritional composition and is traditionally consumed in China, Japan, and Korea, where it is widely incorporated into both medicinal diets and daily cuisine. To address the lack of systematic research comparing raw and fried ZSS, this study aimed to elucidate the compositional and functional changes induced by the frying process. This study systematically compared the chemical profiles and antioxidant activities of ZSS and fried ZSS using ultra-performance liquid chromatography–quadrupole–time-of-flight mass spectrometry (UPLC–Q–TOF–MS) and gas chromatography–ion mobility spectrometry (GC–IMS). A total of 92 non-volatile compounds and 43 volatile organic compounds (VOCs) were identified. Frying significantly promoted the formation of polar compounds such as flavonoids and saponins and increased the content of aldehydes and alcohols, thereby generating aromas characteristic of Maillard reactions and lipid oxidation. Principal component analysis (PCA) and orthogonal partial least squares discriminant analysis (OPLS-DA) clearly distinguished the two groups in terms of their chemical composition and flavor characteristics. In addition, 2,2-diphenyl-1-picrylhydrazyl (DPPH) and 2,2′-azino-bis (3-ethylbenzothiazoline-6-sulfonic acid) (ABTS) assays demonstrated that the antioxidant capacity of fried ZSS was significantly higher than that of the raw sample (p < 0.05). These results indicate that the frying process reshapes the chemical properties and bioactivity of ZSS via multiple pathways, including glycoside hydrolysis, lipid oxidation, and Maillard reactions. Overall, this study establishes a scientific foundation for the development of functional foods derived from ZSS. Full article
Show Figures

Figure 1

22 pages, 936 KB  
Review
Research Progress on the Application of Upconversion Nanoparticles in Heavy Metal Detection in Foodstuff
by Zhiqiang Chen, Kangyao Zhang and Ye He
Foods 2025, 14(23), 4144; https://doi.org/10.3390/foods14234144 - 3 Dec 2025
Cited by 1 | Viewed by 567
Abstract
Heavy metal contamination in foodstuff poses a serious threat to food safety and human health; therefore, the development of toxic heavy metal detection methods is crucial. However, lots of these methods, based on traditional nanomaterials, have unavoidable limitations, such as high instrument cost, [...] Read more.
Heavy metal contamination in foodstuff poses a serious threat to food safety and human health; therefore, the development of toxic heavy metal detection methods is crucial. However, lots of these methods, based on traditional nanomaterials, have unavoidable limitations, such as high instrument cost, complicated operation procedures, or a long analysis time, which restrict their wide application in heavy metal detection. This review aims to conduct a systematic overview of major analytical methods using novel upconversion nanoparticles (UCNPs) for assessing heavy metal ions in complex food matrices in the context of food safety and show their potential application prospects when combined with big data and artificial intelligence. Due to their unique optical properties, good bio-compatibility, and tunable interfacial chemistry, UCNPs have shown significant detection advantages in the field of food heavy metal analysis. The review summarizes the progress of the application of UCNPs in heavy metal detection in food. Despite the development of new technologies such as artificial intelligence, and the continuous optimization and improvement of its own design, the wide application of UCNPs in food safety detection still has great potential for further development. Full article
Show Figures

Figure 1

16 pages, 2583 KB  
Article
HemPepPred: Quantitative Prediction of Peptide Hemolytic Activity Based on Machine Learning and Protein Language Model–Derived Features
by Xiang Li, Wanting Zhao, Xiao Liang, Xinlan Zhuo, Shuang Yu and Guizhao Liang
Foods 2025, 14(23), 4143; https://doi.org/10.3390/foods14234143 - 3 Dec 2025
Viewed by 568
Abstract
Accurate prediction of hemolytic peptides is essential for peptide safety evaluation and therapeutic design; however, existing models remain constrained by limited accuracy and interpretability. To overcome these challenges, we propose a regression framework that integrates embeddings from a protein language model with handcrafted [...] Read more.
Accurate prediction of hemolytic peptides is essential for peptide safety evaluation and therapeutic design; however, existing models remain constrained by limited accuracy and interpretability. To overcome these challenges, we propose a regression framework that integrates embeddings from a protein language model with handcrafted amino acid descriptors. Specifically, sequence representations derived from the ESM2_t33 model are fused with physicochemical amino acid descriptor features, and key predictive variables are selected through a three-stage strategy involving variance filtering, F-test ranking, and mutual information analysis. The final ensemble model, composed of Random Forest, Extremely Randomized Trees, Gradient Boosting, eXtreme Gradient Boosting (XGBoost), and Ridge Regression, achieved a coefficient of determination (R2) of 0.57 and a correlation coefficient (R) of 0.76 on the test set, outperforming previous approaches. To enhance interpretability, we applied Shapley value analysis and the Calibrated_Explanation algorithm to quantify feature contributions and generate reliable sample-specific explanations. The trained model has been deployed online as HemPepPred, a tool for predicting hemolytic concentration (HC50) values, which provides a practical platform for rational peptide design and safety assessment. Full article
Show Figures

Figure 1

18 pages, 6344 KB  
Article
Antimicrobial Effects of Three Plant-Derived Phenolic Compounds and Their Potential Role in Strawberry Preservation
by Ziwei Liang, Shengshuai Li, Lanxi Zhang, Fengqin Wu, Shuyan Pu, Xinyue Liu and Yu Rao
Foods 2025, 14(23), 4142; https://doi.org/10.3390/foods14234142 - 3 Dec 2025
Viewed by 460
Abstract
Microbial spoilage of nutrient-rich strawberries leads to considerable food waste and economic losses. Plant-derived phenolic compounds, including resveratrol (RES), epigallocatechin gallate (EGCG), and tea polyphenols (TP), have gained attention for their multi-target antimicrobial efficacy and potential applications in fruit preservation. This study evaluated [...] Read more.
Microbial spoilage of nutrient-rich strawberries leads to considerable food waste and economic losses. Plant-derived phenolic compounds, including resveratrol (RES), epigallocatechin gallate (EGCG), and tea polyphenols (TP), have gained attention for their multi-target antimicrobial efficacy and potential applications in fruit preservation. This study evaluated the individual and combined effects of these three compounds on strawberries infected with Escherichia coli (E. coli) and Botrytis cinerea (B. cinerea). The minimum inhibitory concentration (MIC) values for RES (analytical grade, ≥99% purity) and EGCG (analytical grade, ≥98% purity) against E. coli were 1.56 g/L and 25 g/L, with an additive effect against E. coli growth (FICI = 0.625). 5 g/L TP (analytical grade, ≥98% purity) completely inhibited the mycelial growth of B. cinerea. The in vivo application of RES and EGCG significantly reduced spoilage and improved texture, color, weight retention, and flavor quality in strawberries infected by E. coli individually or in combination. Similarly, the combined use of TP and chitosan saved the quality of strawberries infected by B. cinerea compared to single treatments. This study provided new effective and eco-friendly strategies for the preservation of strawberries. Full article
Show Figures

Graphical abstract

12 pages, 1701 KB  
Article
Variation of Salivary pH After Sweet and Oat Biscuit Intake—A Crossover Randomized Controlled Trial
by Cristina Teodora Preoteasa, Aura-Cristiana Bălțătescu, Anca Diana Cristea and Anca Axante
Foods 2025, 14(23), 4141; https://doi.org/10.3390/foods14234141 - 3 Dec 2025
Viewed by 462
Abstract
Aim: To assess salivary pH variation after consumption of two types of biscuits, i.e., cocoa biscuits with a sweet-creamy filling (Oreo original) and oat biscuits (Digestino oat). Method: A crossover randomized trial was conducted on a convenience sample of young adults with permanent [...] Read more.
Aim: To assess salivary pH variation after consumption of two types of biscuits, i.e., cocoa biscuits with a sweet-creamy filling (Oreo original) and oat biscuits (Digestino oat). Method: A crossover randomized trial was conducted on a convenience sample of young adults with permanent dentition, whose diet included biscuits. Salivary pH was registered by pH strips, before and after biscuit intake, and then at 5 min intervals, over a period of 30 min. Results: Salivary pH had a similar pattern of variation for both biscuits used, but differences were noted, respectively, the range and maximum drop being slightly larger for Oreo original; timing of pH beginning to increase from maximum drop being delayed for Oreo original compared to Digestino oat, approximately 20 vs. 15 min after intake; the pH drop compared to baseline was not statistically significantly different at any timepoints for Digestino oat, but pH was statistically significantly lower starting from 15 to 25 min after intake for Oreo original. pH recovery at thirty minutes was frequent (69% of the participants) for Digestino oat, but it was rare (20% of the participants) for Oreo original. After the Oreo original intake, mouth rinsing with water enabled pH recovery (afterward in 60% of participants). Minimum salivary pH was strongly correlated to the initial pH for Oreo original intake (r = 0.780; p < 0.001), but moderately correlated for Digestino oat intake (r = 0.445; p < 0.012). Conclusions: Results suggest salivary pH registers similarities of the general pattern of variation after biscuit intake, but cocoa biscuits with sweet filling, compared to oat biscuits, seem to have a higher acidogenic effect. Full article
(This article belongs to the Section Food Analytical Methods)
Show Figures

Figure 1

21 pages, 3163 KB  
Article
Cross-Temporal Egg Variety and Storage Period Classifications via Multi-Task Deep Learning with Near-Infrared Hyperspectral Imaging
by Chaoxian Liu, Zhenyan Xia, Hao Li, Fan Fan, Yong Ma, Huanjun Hu and Can Zhang
Foods 2025, 14(23), 4140; https://doi.org/10.3390/foods14234140 - 2 Dec 2025
Viewed by 374
Abstract
Egg variety and storage duration are key determinants of nutritional value, market pricing, and food safety. The similar external appearance of different varieties increases the risk of mislabeling, while inevitable quality deterioration during storage further complicates reliable assessment. These factors underscore the need [...] Read more.
Egg variety and storage duration are key determinants of nutritional value, market pricing, and food safety. The similar external appearance of different varieties increases the risk of mislabeling, while inevitable quality deterioration during storage further complicates reliable assessment. These factors underscore the need for non-destructive, cross-temporal detection. However, prolonged storage induces pronounced spectral drift that degrades conventional models, limiting their effectiveness in real-world quality monitoring. To address this issue, we propose the Multi-Task Cross-Temporal Squeeze-and-Excitation Network (MT-CTSE-Net), a deep learning framework that integrates Convolutional Neural Networks (CNN), Squeeze-and-Excitation (SE) channel attention, and Transformer encoders to jointly perform egg variety identification across storage durations and storage period classification. The model extracts local spectral details, enhances channel-wise feature relevance, and captures long-range dependencies, while inter-task feature sharing improves generalization under temporal variation. Evaluated on near-infrared (1000–2500 nm) spectra from three commercial egg varieties (Enshi selenium-enriched, Mulanhu multigrain, Zhengda lutein), MT-CTSE-Net achieved approximately 86% accuracy (F1-score: 86.1%) in cross-temporal variety classification and about 84.2–86.4% in storage-period prediction—surpassing single-task and benchmark multi-task models. These results demonstrate that MT-CTSE-Net effectively mitigates storage-induced spectral drift and provides a robust pathway for non-destructive quality assessment and temporal monitoring in agri-food supply chains. Full article
(This article belongs to the Section Food Analytical Methods)
Show Figures

Figure 1

35 pages, 4906 KB  
Review
Recent Developments on Salmonella and Listeria monocytogenes Detection Technologies: A Focus on Electrochemical Biosensing Technologies
by Keletso Eunice Ipeleng, Usisipho Feleni and Valentine Saasa
Foods 2025, 14(23), 4139; https://doi.org/10.3390/foods14234139 - 2 Dec 2025
Viewed by 684
Abstract
Foodborne pathogens such as Salmonella species and Listeria monocytogenes are leading causes of foodborne illness outbreaks worldwide, posing significant public health and economic challenges. For years, culture-based methods and culture-independent methods have been widely used for pathogen detection; however, their limitations have become [...] Read more.
Foodborne pathogens such as Salmonella species and Listeria monocytogenes are leading causes of foodborne illness outbreaks worldwide, posing significant public health and economic challenges. For years, culture-based methods and culture-independent methods have been widely used for pathogen detection; however, their limitations have become increasingly apparent, i.e., longer turnaround times, and they have lower specificity and selectivity. Recent innovations in molecular, immunological, spectroscopic, and biosensing technologies offer promising alternatives for rapid, sensitive, and on-site detection of these pathogens. In this review paper, we provide an overview of the conventional and emerging detection technologies for Salmonella species and Listeria monocytogenes in food matrices, and their limitations. Emphasis is placed on electrochemical biosensors for L. mono and Salmonella detection and their integration in food testing and monitoring. Finally, we conclude and discuss the future perspectives of electrochemical biosensors. Full article
Show Figures

Graphical abstract

Previous Issue
Back to TopTop