Bioconversion of Geniposide from Gardenia jasminoides via Levilactobacillus Enhancing Anti-Inflammatory Activity
Abstract
1. Introduction
2. Materials and Methods
2.1. Chemicals and Reagents
2.2. LABs Isolation and Screening for β-Glucosidase Activity
2.3. Bioconversion and Compounds Identification
2.4. Taxonomic Analysis of Levilactobacillus sp. LN180102
2.5. Probiotic Characteristics of Lactic Acid Bacteria
2.6. Cell Viability Assay and NO Assay
2.7. Genomic Analysis and Secondary Metabolites Prediction
2.8. β-Glucosidase and Molecular Docking
2.9. Statistical Analysis
3. Results
3.1. LABs Library Construction and Herbal Medicinal Plants Selection
3.2. Bioconversion of G. jasminoides Component
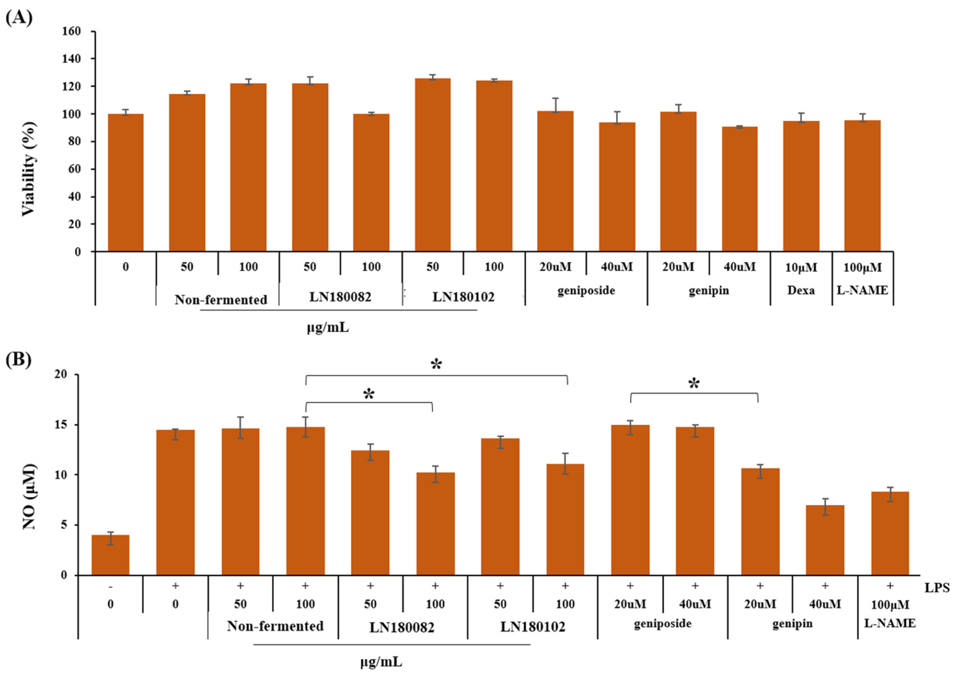
3.3. Anti-Inflammatory Enhancement Through G. Jasminoides Bioconversion
3.4. Phylogenetic and Morphological Analysis of Levilactobacillus sp. LN180102
3.5. Genome Sequences and Beta-Glucosidase Analysis
3.6. Probiotic Characteristics
4. Discussion
5. Conclusions
Supplementary Materials
Author Contributions
Funding
Institutional Review Board Statement
Informed Consent Statement
Data Availability Statement
Conflicts of Interest
References
- Linares, D.M.; Gómez, C.; Renes, E.; Fresno, J.M.; Tornadijo, M.E.; Ross, R.P.; Stanton, C. Lactic Acid Bacteria and Bifidobacteria with Potential to Design Natural Biofunctional Health-Promoting Dairy Foods. Front. Microbiol. 2017, 8, 846. [Google Scholar] [CrossRef]
- Siró, I.; Kápolna, E.; Kápolna, B.; Lugasi, A. Functional Food. Product Development, Marketing and Consumer Acceptance—A Review. Appetite 2008, 51, 456–467. [Google Scholar] [CrossRef] [PubMed]
- Sung, Y.Y.; Lee, A.Y.; Kim, H.K. The Gardenia jasminoides Extract and Its Constituent, Geniposide, Elicit Anti-Allergic Effects on Atopic Dermatitis by Inhibiting Histamine In Vitro and In Vivo. J. Ethnopharmacol. 2014, 156, 33–40. [Google Scholar] [CrossRef] [PubMed]
- Sandner, G.; König, A.; Wallner, M.; Weghuber, J. Functional Foods—Dietary or Herbal Products on Obesity: Application of Selected Bioactive Compounds to Target Lipid Metabolism. Curr. Opin. Food Sci. 2020, 34, 9–20. [Google Scholar] [CrossRef]
- Zhang, Y.; Zhang, J.; Yan, J.; Qi, X.; Wang, Y.; Zheng, Z.; Liang, J.; Ling, J.; Chen, Y.; Tang, X.; et al. Application of Fermented Chinese Herbal Medicines in Food and Medicine Field: From an Antioxidant Perspective. Trends Food Sci. Technol. 2024, 148, 104410. [Google Scholar] [CrossRef]
- Kalogerakou, T.; Antoniadou, M. The Role of Dietary Antioxidants, Food Supplements and Functional Foods for Energy Enhancement in Healthcare Professionals. Antioxidants 2024, 13, 1508. [Google Scholar] [CrossRef]
- Fan, R.; Jia, Y.; Chen, Z.; Li, S.; Qi, B.; Ma, A. Foods for Sleep Improvement: A Review of the Potential and Mechanisms Involved. Foods 2025, 14, 1080. [Google Scholar] [CrossRef]
- Skenderidou, I.; Leontopoulos, S.; Skenderidis, P. Functional Food Ingredients Enhancing Immune Health. Int. J. Mol. Sci. 2025, 26, 8408. [Google Scholar] [CrossRef]
- Chen, L.; Deng, H.; Cui, H.; Fang, J.; Zuo, Z.; Deng, J.; Li, Y.; Wang, X.; Zhao, L. Inflammatory Responses and Inflammation-Associated Diseases in Organs. Oncotarget 2018, 9, 7204–7218. [Google Scholar] [CrossRef]
- Chen, S.; Saeed, A.F.U.H.; Liu, Q.; Jiang, Q.; Xu, H.; Xiao, G.G.; Rao, L.; Duo, Y. Macrophages in Immunoregulation and Therapeutics. Signal Transduct. Target Ther. 2023, 8, 207. [Google Scholar] [CrossRef]
- Kim, M.E.; Lee, J.S. Advances in the Regulation of Inflammatory Mediators in Nitric Oxide Synthase: Implications for Disease Modulation and Therapeutic Approaches. Int. J. Mol. Sci. 2025, 26, 1204. [Google Scholar] [CrossRef]
- Xue, Q.; Yan, Y.; Zhang, R.; Xiong, H. Regulation of iNOS on Immune Cells and Its Role in Diseases. Int. J. Mol. Sci. 2018, 19, 3805. [Google Scholar] [CrossRef]
- Huang, J.B.; Chen, Z.-R.; Yang, S.L.; Hong, F.-F. Nitric Oxide Synthases in Rheumatoid Arthritis. Molecules 2023, 28, 4414. [Google Scholar] [CrossRef]
- Shan, Z.; Jia, J.; Wang, Q.; Cui, Y. Network Pharmacology-Based Analysis on Geniposide, a Component of Gardenia jasminoides, Beneficial Effects to Alleviate LPS-Induced Immune Stress in Piglets. Int. Immunopharmacol. 2023, 117, 109894. [Google Scholar] [CrossRef]
- Koo, H.J.; Lim, K.H.; Jung, H.J.; Park, E.H. Anti-Inflammatory Evaluation of Gardenia Extract, Geniposide and Genipin. J. Ethnopharmacol. 2006, 103, 496–500. [Google Scholar] [CrossRef]
- Muzzarelli, R.A.A. Genipin-Crosslinked Chitosan Hydrogels as Biomedical and Pharmaceutical Aids. Carbohydr. Polym. 2009, 77, 1–9. [Google Scholar] [CrossRef]
- Shanmugam, M.K.; Shen, H.; Tang, F.R.; Arfuso, F.; Rajesh, M.; Wang, L.; Kumar, A.P.; Bian, J.; Goh, B.C.; Bishayee, A.; et al. Potential Role of Genipin in Cancer Therapy. Pharmacol. Res. 2018, 133, 195–200. [Google Scholar] [CrossRef]
- Chang, C.H.; Wu, J.B.; Yang, J.S.; Lai, Y.J.; Su, C.H.; Lu, C.C.; Hsu, Y.M. The Suppressive Effects of Geniposide and Genipin on Helicobacter pylori Infections In Vitro and In Vivo. J. Food Sci. 2017, 82, 3021–3028. [Google Scholar] [CrossRef] [PubMed]
- Wang, Z.; Zhang, L.; Cui, X.D.; Hao, T.S.; Wang, C.M.; Gu, X.X.; Liu, Y.G.; Dai, J.G.; Bao, A. Biotransformation of geniposide by Synechocystis sp. PCC 6803 into genipin and its inhibitory effects on BEL-7402, Escherichia coli, and cyanobacteria. Ann. Microbiol. 2015, 65, 1303–1311. [Google Scholar] [CrossRef]
- Kim, J.K.; Kim, H.Y.; Lee, S.M. Protective Effects of Geniposide and Genipin against Hepatic Ischemia/Reperfusion Injury in Mice. Biomol. Ther. 2013, 21, 132–137. [Google Scholar] [CrossRef]
- Pometto, A.L.; Crawford, D.L. Whole-Cell Bioconversion of Vanillin to Vanillic Acid by Streptomyces viridosporus. Appl. Environ. Microbiol. 1983, 45, 1582–1585. [Google Scholar] [CrossRef] [PubMed]
- Kan, S.C.; Zang, C.Z.; Yeh, C.W.; Chang, W.F.; Lin, C.C.; Hung, T.H.; Shieh, C.J.; Liu, Y.C. Enhanced Bioconversion Rate and Released Substrate Inhibition in (R)-Phenylephrine Whole-Cell Bioconversion via Partial Acetone Treatment. Enzym. Microb. Technol. 2016, 86, 34–38. [Google Scholar] [CrossRef] [PubMed]
- Anteneh, Y.S.; Franco, C.M.M. Whole Cell Actinobacteria as Biocatalysts. Front. Microbiol. 2019, 10, 77. [Google Scholar] [CrossRef] [PubMed]
- De Melo Pereira, G.V.; De Oliveira Coelho, B.; Magalhães Júnior, A.I.; Thomaz-Soccol, V.; Soccol, C.R. How to Select a Probiotic? A Review and Update of Methods and Criteria. Biotechnol. Adv. 2018, 36, 2060–2076. [Google Scholar] [CrossRef]
- Ayivi, R.D.; Gyawali, R.; Krastanov, A.; Aljaloud, S.O.; Worku, M.; Tahergorabi, R.; Silva, R.C.D.; Ibrahim, S.A. Lactic Acid Bacteria: Food Safety and Human Health Applications. Dairy 2020, 1, 202–232. [Google Scholar] [CrossRef]
- Lee, K.J.; Song, N.Y.; Roh, J.H.; Liang, C.; Ma, J.Y. Analysis of Bioconversed-Components in Fermented Jaeumganghwa-Tang by Lactobacillus. J. Appl. Biol. Chem. 2013, 56, 131–135. [Google Scholar] [CrossRef]
- Kim, Y.S.; Lee, C.-J.; Ma, J.Y. Enhancement of Active Compound, Genipin, from Gardeniae Fructus Using Immobilized Glycosyl Hydrolase Family 3 β-Glucosidase from Lactobacillus antri. AMB Express 2017, 7, 64. [Google Scholar] [CrossRef]
- Ramos, C.L.; Thorsen, L.; Schwan, R.F.; Jespersen, L. Strain-Specific Probiotics Properties of Lactobacillus fermentum, Lactobacillus plantarum and Lactobacillus brevis Isolates from Brazilian Food Products. Food Microbiol. 2013, 36, 22–29. [Google Scholar] [CrossRef]
- Dong, Y.; Liu, L.; Bao, Y.; Hao, A.; Qin, Y.; Wen, Z.; Xiu, Z. Biotransformation of Geniposide in Gardenia jasminoides to Genipin by Trichoderma harzianum CGMCC 2979. Chin. J. Catal. 2014, 35, 1534–1546. [Google Scholar] [CrossRef]
- Gong, G.; Zheng, Z.; Liu, H.; Wang, L.; Diao, J.; Wang, P.; Zhao, G. Purification and Characterization of a β-Glucosidase from Aspergillus niger and Its Application in the Hydrolysis of Geniposide to Genipin. J. Microbiol. Biotechnol. 2014, 24, 788–794. [Google Scholar] [CrossRef]
- Xu, M.; Sun, Q.; Su, J.; Wang, J.; Xu, C.; Zhang, T.; Sun, Q. Microbial Transformation of Geniposide in Gardenia Jasminoides Ellis into Genipin by Penicillium Nigricans. Enzym. Microbial. Technol. 2008, 42, 440–444. [Google Scholar] [CrossRef]
- Yang, Y.; Ding, Y.; Zhang, T. Biotransformation of Geniposide into Genipin by Immobilized Trichoderma reesei and Conformational Study of Genipin. BioMed Res. Int. 2018, 2018, 2079195. [Google Scholar] [CrossRef]
- Kang, M.K.; Kim, J.H.; Liu, M.J.; Jin, C.Z.; Park, D.J.; Kim, J.; Sung, B.H.; Kim, C.J.; Son, K.H. New Discovery on the Nematode Activity of Aureothin and Alloaureothin Isolated from Endophytic Bacteria Streptomyces sp. AE170020. Sci. Rep. 2022, 12, 3947. [Google Scholar] [CrossRef]
- Liu, P.; Yang, Z.Q.; Jin, C.Z.; Li, T.; Jin, F.J.; Lee, H.G.; Lee, C.S.; Jin, L. Antifungal Activity of Metabolites of Weissella cibaria KM14 Isolated from Traditional Korean Food Kimchi against Three Spoilage Fungi. LWT 2024, 205, 116545. [Google Scholar] [CrossRef]
- Kumar, S.; Stecher, G.; Tamura, K. MEGA7: Molecular Evolutionary Genetics Analysis Version 7.0 for Bigger Datasets. Mol. biol. evol. 2016, 33, 1870–1874. [Google Scholar] [CrossRef] [PubMed]
- Talib, N.; Mohamad, N.E.; Yeap, S.K.; Hussin, Y.; Aziz, M.N.M.; Masarudin, M.J.; Sharifuddin, S.A.; Hui, Y.W.; Ho, C.L.; Alitheen, N.B. Isolation and Characterization of Lactobacillus spp. from Kefir Samples in Malaysia. Molecules 2019, 24, 2606. [Google Scholar] [CrossRef] [PubMed]
- Sreepathi, N.; Kumari, V.B.C.; Huligere, S.S.; Al-Odayni, A.B.; Lasehinde, V.; Jayanthi, M.K.; Ramu, R. Screening for Potential Novel Probiotic Levilactobacillus brevis RAMULAB52 with Antihyperglycemic Property from Fermented Carica Papaya L. Front. Microbiol. 2023, 14, 1168102. [Google Scholar] [CrossRef] [PubMed]
- Wattam, A.R.; Davis, J.J.; Assaf, R.; Boisvert, S.; Brettin, T.; Bun, C.; Conrad, N.; Dietrich, E.M.; Disz, T.; Gabbard, J.L.; et al. Improvements to PATRIC, the All-Bacterial Bioinformatics Database and Analysis Resource Center. Nucleic Acids Res. 2017, 45, D535–D542. [Google Scholar] [CrossRef]
- Letunic, I.; Bork, P. Interactive Tree of Life (iTOL) v6: Recent Updates to the Phylogenetic Tree Display and Annotation Tool. Nucleic Acids Res. 2024, 52, W78–W82. [Google Scholar] [CrossRef]
- Blin, K.; Shaw, S.; Augustijn, H.E.; Reitz, Z.L.; Biermann, F.; Alanjary, M.; Fetter, A.; Terlouw, B.R.; Metcalf, W.W.; Helfrich, E.J.N.; et al. antiSMASH 7.0: New and Improved Predictions for Detection, Regulation, Chemical Structures and Visualisation. Nucleic Acids Res. 2023, 51, W46–W50. [Google Scholar] [CrossRef]
- Abramson, J.; Adler, J.; Dunger, J.; Evans, R.; Green, T.; Pritzel, A.; Ronneberger, O.; Willmore, L.; Ballard, A.J.; Bambrick, J.; et al. Accurate Structure Prediction of Biomolecular Interactions with AlphaFold 3. Nature 2024, 630, 493–500. [Google Scholar] [CrossRef]
- Liu, Y.; Yang, X.; Gan, J.; Chen, S.; Xiao, Z.X.; Cao, Y. CB-Dock2: Improved Protein–Ligand Blind Docking by Integrating Cavity Detection, Docking and Homologous Template Fitting. Nucleic Acids Res. 2022, 50, W159–W164. [Google Scholar] [CrossRef]
- Fujikawa, S.; Nakamura, S.; Koga, K.; Kumada, J.-I. Continuous Blue Pigment Formation by Gardenia Fruit Using Immobilized Growing Cells. J. Ferment. Technol. 1987, 65, 711–715. [Google Scholar] [CrossRef]
- Yang, L.; Akao, T.; Kobashi, K. Purification and Characterization of a Geniposide-Hydrolyzing β-Glucosidase from Eubacterium sp. A-44, a Strict Anaerobe from Human Feces. Biol. Pharm. Bull. 1995, 18, 1175–1178. [Google Scholar] [CrossRef]
- Yang, Y.S.; Zhang, T.; Yu, S.C.; Ding, Y.; Zhang, L.Y.; Qiu, C.; Jin, D. Transformation of Geniposide into Genipin by Immobilized β-Glucosidase in a Two-Phase Aqueous-Organic System. Molecules 2011, 16, 4295. [Google Scholar] [CrossRef] [PubMed]
- Shon, D.-H.; Choi, D.-W.; Kim, M.-H. Improvement of Anti-Inflammation Activity of Gardeniae Fructus Extract by the Treatment of β-Glucosidase. Korean J. Food Sci. Technol. 2012, 44, 331–336. [Google Scholar] [CrossRef]
- Pan, Y.; Wang, H.; Tan, F.; Yi, R.; Li, W.; Long, X.; Mu, J.; Zhao, X. Lactobacillus plantarum KFY02 Enhances the Prevention of CCl4-Induced Liver Injury by Transforming Geniposide into Genipin to Increase the Antioxidant Capacity of Mice. J. Funct. Foods 2020, 73, 104128. [Google Scholar] [CrossRef]
- Xie, Y.; Yan, X.; Li, C.; Wang, S.; Jia, L. Characterization and Insight Mechanism of an Acid-Adapted β-Glucosidase from Lactobacillus paracasei and Its Application in Bioconversion of Glycosides. Front. Bioeng. Biotechnol. 2024, 12, 1334695. [Google Scholar] [CrossRef]
- Volkov, M.; Turk, J.A.; Drizard, N.; Martin, N.; Hoffmann, B.; Gaston-Mathé, Y.; Rognan, D. On the Frustration to Predict Binding Affinities from Protein–Ligand Structures with Deep Neural Networks. J. Med. Chem. 2022, 65, 7946–7958. [Google Scholar] [CrossRef]
- Li, W.; Li, J.; Xu, Y.; Huang, Y.; Xu, S.; Ou, Z.; Long, X.; Li, X.; Liu, X.; Xiao, Z.; et al. Expression of Heat-Resistant β-Glucosidase in Escherichia coli and Its Application in the Production of Gardenia Blue. Synth. Syst. Biotechnol. 2021, 6, 216–223. [Google Scholar] [CrossRef]
- Salvetti, E.; Orrù, L.; Capozzi, V.; Martina, A.; Lamontanara, A.; Keller, D.; Cash, H.; Felis, G.E.; Cattivelli, L.; Torriani, S.; et al. Integrate Genome-Based Assessment of Safety for Probiotic Strains: Bacillus coagulans GBI-30, 6086 as a Case Study. Appl. Microbiol. Biotechnol. 2016, 100, 4595–4605. [Google Scholar] [CrossRef] [PubMed]
- Saarela, M.; Mogensen, G.; Fondén, R.; Mättö, J.; Mattila-Sandholm, T. Probiotic Bacteria: Safety, Functional and Technological Properties. J. Biotechnol. 2000, 84, 197–215. [Google Scholar] [CrossRef] [PubMed]
- Teixeira, C.G.; Fusieger, A.; Milião, G.L.; Martins, E.; Drider, D.; Nero, L.A.; De Carvalho, A.F. Weissella: An Emerging Bacterium with Promising Health Benefits. Probiotics Antimicrob. Proteins 2021, 13, 915–925. [Google Scholar] [CrossRef] [PubMed]
- Prasad, P.; Verma, S.; Surbhi; Ganguly, N.K.; Chaturvedi, V.; Mittal, S.A. Rheumatoid Arthritis: Advances in Treatment Strategies. Mol. Cell. Biochem. 2023, 478, 69–88. [Google Scholar] [CrossRef]





| No. | Closest Homologous | Similarity (%) | Length (bp) |
|---|---|---|---|
| LN180057 | Lacticaseibacillus rhamnosus JCM 1136T | 99.72 | 1435 |
| LN180061 | Lactiplantibacillus paraplantarum DSM 10667T | 99.93 | 1402 |
| LN180066 | Levilactobacillus brevis ATCC 14869T | 99.86 | 1431 |
| LN180069 | Levilactobacillus brevis ATCC 14869T | 99.65 | 1437 |
| LN180071 | Levilactobacillus brevis ATCC 14869T | 99.93 | 1435 |
| LN180079 | Lacticaseibacillus paracasei subsp. tolerans JCM 1171T | 100 | 1419 |
| LN180082 | Levilactobacillus brevis ATCC 14869T | 99.72 | 1437 |
| LN180087 | Pediococcus inopinatus DSM 20285T | 100 | 1448 |
| LN180088 | Secundilactobacillus malefermentans KCTC 3548T | 99.93 | 1472 |
| LN180090 | Secundilactobacillus malefermentans KCTC 3548T | 99.93 | 1431 |
| LN180092 | Lactiplantibacillus paraplantarum DSM 10667T | 100 | 1419 |
| LN180093 | Enterococcus durans NBRC 100479T | 99.79 | 1462 |
| LN180098 | Leuconostoc mesenteroides subsp. jonggajibkimchii DRC1506T | 99.93 | 1440 |
| LN180102 | Levilactobacillus brevis ATCC 14869T | 99.93 | 1420 |
| General Characteristics | LN180102 |
|---|---|
| Growth temperature (range, optimum) (°C) | 10–40, 25–37 |
| NaCl tolerance (%) | 0–7 |
| Hemolysis | - |
| Antibiotic strip | (MIC, μg/mL) |
| Ampicillin | 1 |
| Vancomycin | R |
| Clindamycin | 0.5 |
| Erythromycin | 0.19 |
| Tetracycline | 3 |
| Chloramphenicol | 3 |
| Ciprofloxacin | R |
| Gentamicin | 3 |
| Kanamycin | 12 |
| Streptomycin | 24 |
| Antimicrobial activity | |
| Staphylococcus aureus KCTC 1621 | + |
| Listeria monocytogenes KCTC 3569 | + |
| Streptococcus mutans KCTC 3065 | - |
| Streptococcus salivarius ATG-P1 | - |
| Escherichia coli KCTC 1682 | - |
| Pseudomonas aeruginosa KCTC 2004 | - |
| Cronobacter sakzakii KCTC 2949 | - |
Disclaimer/Publisher’s Note: The statements, opinions and data contained in all publications are solely those of the individual author(s) and contributor(s) and not of MDPI and/or the editor(s). MDPI and/or the editor(s) disclaim responsibility for any injury to people or property resulting from any ideas, methods, instructions or products referred to in the content. |
© 2025 by the authors. Licensee MDPI, Basel, Switzerland. This article is an open access article distributed under the terms and conditions of the Creative Commons Attribution (CC BY) license (https://creativecommons.org/licenses/by/4.0/).
Share and Cite
Jin, C.-Z.; Jin, L.; Zhuo, Y.; Li, T.; Liu, H.; Shin, K.-S.; Kang, L. Bioconversion of Geniposide from Gardenia jasminoides via Levilactobacillus Enhancing Anti-Inflammatory Activity. Foods 2025, 14, 4156. https://doi.org/10.3390/foods14234156
Jin C-Z, Jin L, Zhuo Y, Li T, Liu H, Shin K-S, Kang L. Bioconversion of Geniposide from Gardenia jasminoides via Levilactobacillus Enhancing Anti-Inflammatory Activity. Foods. 2025; 14(23):4156. https://doi.org/10.3390/foods14234156
Chicago/Turabian StyleJin, Chun-Zhi, Long Jin, Ye Zhuo, Ting Li, Huimin Liu, Kee-Sun Shin, and Le Kang. 2025. "Bioconversion of Geniposide from Gardenia jasminoides via Levilactobacillus Enhancing Anti-Inflammatory Activity" Foods 14, no. 23: 4156. https://doi.org/10.3390/foods14234156
APA StyleJin, C.-Z., Jin, L., Zhuo, Y., Li, T., Liu, H., Shin, K.-S., & Kang, L. (2025). Bioconversion of Geniposide from Gardenia jasminoides via Levilactobacillus Enhancing Anti-Inflammatory Activity. Foods, 14(23), 4156. https://doi.org/10.3390/foods14234156

