Contaminants and Residues in Food: Analytical Monitoring and Risk Assessment

A special issue of Foods (ISSN 2304-8158). This special issue belongs to the section "Food Quality and Safety".

Deadline for manuscript submissions: closed (20 September 2025) | Viewed by 10733

Special Issue Editors


E-Mail Website
Guest Editor
Departamento de Ciencias Básicas, Facultad de Ingeniería, Universidad EAN, Bogotá, Colombia
Interests: multi-residue analysis; contaminants; environmental and food analysis; sample preparation; chromatographic techniques, mass spectrometry; analytical methods
Special Issues, Collections and Topics in MDPI journals

E-Mail Website
Guest Editor
1. Department of Food Engineering, Faculty of Engineering, Hitit University, Corum, Turkey
2. Biotechnology Laboratory, Machinery and Manufacturing Technology Application and Research Center, Hitit University, Corum, Turkey
Interests: mycotoxin; pesticides; food safety; food analysis; food contaminants; risk assessment
Special Issues, Collections and Topics in MDPI journals

Special Issue Information

Dear Colleagues,

Chemical contaminants and residues in food remain a significant global concern, posing potential risks to public health and the environment. These contaminants, including pesticide residues, heavy metals, mycotoxins, and other toxic substances, often enter the food chain through agricultural practices, environmental pollution, and industrial processes. As a result, rigorous monitoring and assessments of these hazardous substances are crucial for ensuring food safety and complying with regulatory standards. Robust and validated analytical methods are essential for the accurate detection and quantification of contaminants in complex food matrices. This Special Issue is dedicated to monitoring and analyzing chemical residues in food, focusing on applying advanced analytical techniques such as chromatography coupled with mass spectrometry and other sensitive detection methods. We also welcome contributions that explore developments in analytical methods, whether in sample preparation or chromatographic processes, to enhance the sensitivity, selectivity, and reliability of contaminant detection. We welcome contributions that discuss the implementation of monitoring programs, report on the prevalence of contaminants in various regions, and explore the implications of these findings regarding risk assessment and public health. Through this Special Issue, we aim to provide a comprehensive overview of current efforts to monitor food contaminants and to highlight the importance of continuous surveillance in ensuring food quality and safety worldwide.

Prof. Dr. Miguel Ángel González-Curbelo
Prof. Dr. Bulent Kabak
Guest Editors

Manuscript Submission Information

Manuscripts should be submitted online at www.mdpi.com by registering and logging in to this website. Once you are registered, click here to go to the submission form. Manuscripts can be submitted until the deadline. All submissions that pass pre-check are peer-reviewed. Accepted papers will be published continuously in the journal (as soon as accepted) and will be listed together on the special issue website. Research articles, review articles as well as short communications are invited. For planned papers, a title and short abstract (about 250 words) can be sent to the Editorial Office for assessment.

Submitted manuscripts should not have been published previously, nor be under consideration for publication elsewhere (except conference proceedings papers). All manuscripts are thoroughly refereed through a single-blind peer-review process. A guide for authors and other relevant information for submission of manuscripts is available on the Instructions for Authors page. Foods is an international peer-reviewed open access semimonthly journal published by MDPI.

Please visit the Instructions for Authors page before submitting a manuscript. The Article Processing Charge (APC) for publication in this open access journal is 2900 CHF (Swiss Francs). Submitted papers should be well formatted and use good English. Authors may use MDPI's English editing service prior to publication or during author revisions.

Keywords

  • food contaminants
  • analytical methods
  • residue monitoring
  • food safety
  • environmental monitoring
  • risk assessment
  • chromatography
  • mass spectrometry

Benefits of Publishing in a Special Issue

  • Ease of navigation: Grouping papers by topic helps scholars navigate broad scope journals more efficiently.
  • Greater discoverability: Special Issues support the reach and impact of scientific research. Articles in Special Issues are more discoverable and cited more frequently.
  • Expansion of research network: Special Issues facilitate connections among authors, fostering scientific collaborations.
  • External promotion: Articles in Special Issues are often promoted through the journal's social media, increasing their visibility.
  • Reprint: MDPI Books provides the opportunity to republish successful Special Issues in book format, both online and in print.

Further information on MDPI's Special Issue policies can be found here.

Published Papers (5 papers)

Order results
Result details
Select all
Export citation of selected articles as:

Research

26 pages, 1083 KB  
Article
Occurrence and Dietary Exposure of PFAS in Singapore: Insights from a Total Diet Study
by Ignatius Lim, Ping Shen, Wei Min Ang, Yee Soon Chin, Raymond Rong Sheng Shi, Wesley Zongrong Yu and Sheot Harn Chan
Foods 2025, 14(23), 4165; https://doi.org/10.3390/foods14234165 - 4 Dec 2025
Viewed by 493
Abstract
Per- and poly-fluoroalkyl substances (PFAS) are synthetic compounds known for their environmental persistence, bioaccumulation, and adverse human risks. This study presents Singapore’s first Total Diet Study assessing the occurrence and dietary exposure of four PFAS, with 503 pooled samples analysed across 23 categories [...] Read more.
Per- and poly-fluoroalkyl substances (PFAS) are synthetic compounds known for their environmental persistence, bioaccumulation, and adverse human risks. This study presents Singapore’s first Total Diet Study assessing the occurrence and dietary exposure of four PFAS, with 503 pooled samples analysed across 23 categories of commonly consumed food prepared using representative cooking methods. The majority (75%) of the food categories had non-detectable levels. Fish and seafood accounted for 89.7% of detections, with frequencies in decreasing order of PFOS > PFOA > PFNA > PFHxS, and an overall mean concentration of 0.67 µg/kg. As 93% of results are left-censored, dietary exposure assessment using a lower bound approach (LB) identified clams and crabs as having a higher estimated exposure risk for consumers, exceeding the EFSA’s Health-Based Guidance Value of 0.63 ng/kg bw/day by factors of 4.8 and 1.9, respectively. PFAS LB dietary exposure for the general population was estimated at 3.1 × 10−3 ng/kg bw/day (average) and 1.7 × 10−1 ng/kg bw/day (95th percentile), indicating a low risk to the population. However, the limit of quantification of 0.1 μg/kg requires improvement to reduce left-censored data and improve dietary estimates. Further research including a broader range of PFAS compounds is recommended for high-risk food categories to increase the accuracy of exposure assessments. Full article
Show Figures

Graphical abstract

20 pages, 273 KB  
Article
Risk Assessment of Toxic Heavy Metal Exposure in Selected Seafood Species from Thailand
by Alongkote Singhato, Narisa Rueangsri, Purimprat Thanaratsotornkun, Konpong Boonyingsathit, Piyanut Sridonpai, Nunnapus Laitip, Nattikarn Ornthai and Kunchit Judprasong
Foods 2025, 14(21), 3725; https://doi.org/10.3390/foods14213725 - 30 Oct 2025
Viewed by 1616
Abstract
This study evaluates the risk of toxic heavy metal exposure in 20 commonly consumed seafood species from Thailand, focusing on arsenic (As), cadmium (Cd), mercury (Hg), and lead (Pb). Seafood is nutritionally valuable but may accumulate harmful metals due to environmental contamination from [...] Read more.
This study evaluates the risk of toxic heavy metal exposure in 20 commonly consumed seafood species from Thailand, focusing on arsenic (As), cadmium (Cd), mercury (Hg), and lead (Pb). Seafood is nutritionally valuable but may accumulate harmful metals due to environmental contamination from industrial, agricultural, and medical sources. Samples were collected from markets in Chonburi, prepared through boiling, frying, and grilling, and analyzed using ICP-MS/MS. Most toxic metal levels were within Thai regulatory limits; however, Wedge shell and Musk crab showed arsenic concentrations exceeding permissible levels. Risk assessment employed hazard quotient and margin of exposure calculations using consumption data stratified by age and cooking methods. Results demonstrated that arsenic presents the highest risk, particularly for children aged 0–5.9 years, with Wedge shell and Musk crab posing significant concerns. Cadmium and mercury generally posed low or no risk across samples, except for isolated high-level cadmium exposure in Wedge shell and occasional mercury concerns. Lead, based on the margin of exposure assessment, showed significant health risk for eater only group. The study concludes that although arsenic contamination in certain seafood species requires careful monitoring and public awareness, other toxic metals—particularly cadmium, mercury, and lead—currently present minimal health risks. Routine surveillance of seafood contaminants is essential to safeguard consumer health, particularly among vulnerable groups. Full article
21 pages, 3027 KB  
Article
Residues of Priority Organic Micropollutants in Eruca vesicaria (Rocket) Irrigated by Reclaimed Wastewater: Optimization of a QuEChERS SPME-GC/MS Protocol and Risk Assessment
by Luca Rivoira, Simona Di Bonito, Veronica Libonati, Massimo Del Bubba, Mihail Simion Beldean-Galea and Maria Concetta Bruzzoniti
Foods 2025, 14(17), 2963; https://doi.org/10.3390/foods14172963 - 25 Aug 2025
Viewed by 807
Abstract
The increasing use of reclaimed wastewater in agriculture raises growing concerns about the accumulation of priority organic micropollutants in edible crops. In this study, we developed and validated a novel QuEChERS–SPME–GC/MS method for the simultaneous determination of 15 polycyclic aromatic hydrocarbons (PAHs), 3 [...] Read more.
The increasing use of reclaimed wastewater in agriculture raises growing concerns about the accumulation of priority organic micropollutants in edible crops. In this study, we developed and validated a novel QuEChERS–SPME–GC/MS method for the simultaneous determination of 15 polycyclic aromatic hydrocarbons (PAHs), 3 nitro-PAHs, and 14 polychlorinated biphenyls congeners in Eruca vesicaria (rocket) leaves. The method was optimized to address the matrix complexity of leafy vegetables and included a two-step dispersive solid-phase extraction (d-SPE) cleanup and aqueous dilution prior to SPME. Validation showed excellent performance, with MDLs between 0.1 and 6.7 µg/kg, recoveries generally between 70 and 120%, and precision (RSD%) below 20%. The greenness of the protocol was assessed using the AGREE metric, yielding a score of 0.60. Application to rocket samples irrigated with treated wastewater revealed no significant accumulation of target pollutants compared to commercial samples. All PCB and N-PAH congeners were below detection limits, and PAH concentrations were low and mostly limited to lighter compounds. Human health risk assessment based on toxic equivalent concentrations confirmed that estimated cancer risk (CR) values 10−9–10−8 were well below accepted safety thresholds. These findings support the safe use of reclaimed water for leafy crop irrigation under proper treatment conditions and highlight the suitability of the method for trace-level food safety monitoring. Full article
Show Figures

Figure 1

18 pages, 1556 KB  
Article
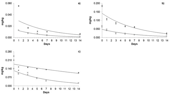
Dynamics of the Dissipation of Acetamiprid, Azoxystrobin, and β-Cyfluthrin in Jalapeño Pepper (Capsicum annuum L.) Produced Under Greenhouse and Open-Field Conditions
by Luis Alfonso Jiménez-Ortega, Jaime Villa-Bojórquez, Pedro de Jesús Bastidas-Bastidas, Rosalba Contreras-Martínez, José Armando Carrillo-Fasio and Manuel Alonzo Báez-Sañudo
Foods 2025, 14(6), 1023; https://doi.org/10.3390/foods14061023 - 17 Mar 2025
Cited by 1 | Viewed by 1399
Abstract
Pepper is one of the most widely consumed foods around the world. China is the leading producer, while Mexico is the primary exporter. To support these roles, the responsible use of agrochemicals is essential. Additionally, investigating the factors influencing pesticide dissipation is critical [...] Read more.
Pepper is one of the most widely consumed foods around the world. China is the leading producer, while Mexico is the primary exporter. To support these roles, the responsible use of agrochemicals is essential. Additionally, investigating the factors influencing pesticide dissipation is critical to ensure that residue levels do not exceed established Maximum Residue Limits (MRLs) and to achieve the required pre-harvest interval (PHI). This is essential to prevent trade-related issues and mitigate potential health risks to consumers. Consequently, this study aims to evaluate the dissipation dynamics of acetamiprid, azoxystrobin, and β-cyfluthrin residues in jalapeño peppers cultivated under both greenhouse and open-field conditions. Three applications of a manufacturer’s suggested dosage were evaluated, with 7-day intervals between each. The residual content was quantified after 1 h and 1, 3, 7, 14, and 21 days following each application. A QuEChERS method utilizing ultra-high-performance liquid chromatography coupled with tandem mass spectrometry (UHPLC-MS/MS) and gas chromatography equipped with a micro electron capture detector (GC-µECD) to determine the pesticide residues was optimized and validated, obtaining suitable performance, with satisfactory linearity, detection and quantification limits, recovery rates, and accuracy. The dissipation curves were constructed from the residues and dissipation percentages of the pesticides over time, elucidating the initial residuality, accumulation, half-life, residence time, and total persistence of the active ingredient. In addition, an analysis was carried out, relating climatic conditions to the cumulative dissipation of pesticides. The results show an increase in the initial residues, half-life, and residence time of pesticides in the greenhouse. Otherwise, in the open field, the residues of the pesticides acetamiprid and azoxystrobin increased over the initial applications. Climatic conditions, mainly evapotranspiration during crop growing, involve the dissipation of pesticides in jalapeño pepper. The validation method demonstrated satisfactory parameters, aligning with the guidelines provided by the US EPA and SENASICA. All concentrations quantified in real samples were found to be below the MRLs, ensuring compliance with regulatory standards. Additionally, the dissipation kinetics played a critical role in elucidating key aspects such as residence times, latency periods, and marketing timelines for ensuring food safety. This kinetics provided essential insights into the behavior and persistence of the residues, contributing to a more comprehensive understanding of their dynamics in agricultural and commercial contexts. We believe these findings underscore the reliability and applicability of the method for monitoring pesticide residues in real-world scenarios. Full article
Show Figures

Graphical abstract

13 pages, 1006 KB  
Article
Monitoring and Risk Assessment of Multi-Pesticide Residues in Apples: A Focus on Consumer Safety
by Eylem Odabas, Mehmet Keklik, Ozgur Golge, Miguel Ángel González-Curbelo and Bulent Kabak
Foods 2024, 13(19), 3186; https://doi.org/10.3390/foods13193186 - 7 Oct 2024
Cited by 10 | Viewed by 5479
Abstract
Pesticide residues in human diets pose significant health hazards, particularly for vulnerable populations such as infants and children. This study aimed to determine pesticide residues in apples and to assess the cumulatively chronic risk posed to adult and child consumers from simultaneous exposure [...] Read more.
Pesticide residues in human diets pose significant health hazards, particularly for vulnerable populations such as infants and children. This study aimed to determine pesticide residues in apples and to assess the cumulatively chronic risk posed to adult and child consumers from simultaneous exposure to multiple residues. During the 2022–2023 harvest seasons, 100 apple samples from Turkey were analyzed for the presence of 225 different pesticide residues. Pesticide extraction was performed using the QuEChERS method, followed by detection through liquid chromatography coupled with tandem mass spectrometry. Fifteen distinct pesticides (ten insecticides and five fungicides) were detected in 64 out of the 100 apple samples analyzed. Eleven samples contained pesticide residues that exceeded the maximum residue limit (MRL) set by the Turkish Food Codex and the European Union. Thiophanate-methyl was the most frequently detected pesticide (34%) in apples, with concentrations ranging from 0.012 to 0.108 mg kg−1, all of which were well below the MRL of 0.5 mg kg−1. Other commonly detected residues included chlorantraniliprole (28%), acetamiprid (24%), sulfoxaflor (22%), bifenazate (18%), indoxacarb (13%), diflubenzuron (12%), and carbendazim (10%). Under a worst-case scenario, the hazard index (HI) values for adults and children were 0.85% and 2.60%, respectively, indicating that these values remain significantly below the risk threshold of 100%, suggesting no associated health risks from apple consumption. However, regular monitoring of pesticide residues in fresh fruits and vegetables remains critically important. Full article
Show Figures

Figure 1

Back to TopTop