Next Issue
Volume 18, March-1
Previous Issue
Volume 18, February-1
 
 
cancers-logo

Journal Browser

Journal Browser

Cancers, Volume 18, Issue 4 (February-2 2026) – 175 articles

Cover Story (view full-size image): Dysregulation of the p53 tumor suppressor protein is a common mechanism underlying the pathogenesis of many types of cancer. A major protein involved in p53 disruption and degradation is the negative regulator, MDM2. Due to its ability to modulate p53 levels, MDM2 has become a major target of inhibition for anti-cancer therapies. Inhibitors of the p53-MDM2 pathway have been developed, with most acting to block the p53-MDM2 binding interaction. More recent research, however, has pursued the inhibiting of the MDM2 RING domain due to their potential to work in cancers with mutated p53, in addition to impairing MDM2’s p53-independent functions. Furthermore, the discovery of MDM2 RING domain inhibitors that function via novel, non-covalent mechanisms may prompt the development of anti-cancer therapies with improved tolerability and reduced toxicity. View this paper
  • Issues are regarded as officially published after their release is announced to the table of contents alert mailing list.
  • You may sign up for e-mail alerts to receive table of contents of newly released issues.
  • PDF is the official format for papers published in both, html and pdf forms. To view the papers in pdf format, click on the "PDF Full-text" link, and use the free Adobe Reader to open them.
Order results
Result details
Section
Select all
Export citation of selected articles as:
11 pages, 423 KB  
Article
Circulating ERVFRD-1 and MFSD2A Are Associated with Immunotherapy Response in Metastatic Clear Cell Renal Cell Carcinoma
by Hector Katifelis, Styliani-Evangelia Zerva, Aristotelis Bamias, Michalis V. Karamouzis, Konstantinos Stravodimos, Leonardo A. Sechi, Dimitra-Ioanna Lampropoulou, Evangelia Pliakou and Maria Gazouli
Cancers 2026, 18(4), 716; https://doi.org/10.3390/cancers18040716 - 23 Feb 2026
Viewed by 607
Abstract
Background/Objectives: Immune checkpoint inhibitor (ICI)-based combinations have significantly improved outcomes in metastatic clear cell renal cell carcinoma (mccRCC). However, a substantial number of patients fail to derive clinical benefit, highlighting the need for reliable predictive biomarkers. Circulating biomarkers represent an attractive, non-invasive [...] Read more.
Background/Objectives: Immune checkpoint inhibitor (ICI)-based combinations have significantly improved outcomes in metastatic clear cell renal cell carcinoma (mccRCC). However, a substantial number of patients fail to derive clinical benefit, highlighting the need for reliable predictive biomarkers. Circulating biomarkers represent an attractive, non-invasive alternative to tissue-based assays. This study aimed to evaluate the immunity-related genes ERVFRD-1 and MFSD2A as potential blood-based candidate biomarkers associated with response to ICI-based therapy in mccRCC. Methods: Peripheral blood samples were collected prior to treatment initiation from 34 patients with mccRCC receiving PD-1-based therapy. Gene expression levels of ERVFRD-1 and MFSD2A were quantified using real-time PCR. Treatment response was assessed according to the Response Evaluation Criteria in Solid Tumors (RECIST) version 1.1. Peripheral blood samples from healthy individuals were included as controls. Results: Both ERVFRD-1 and MFSD2A were significantly dysregulated in mccRCC patients compared with healthy controls. Their expression differed between patients with clinical benefit and those with progressive disease. Specifically, patients with progressive disease exhibited reduced ERVFRD-1 expression and increased MFSD2A expression compared with patients showing clinical benefit. Conclusions: ERVFRD-1 and MFSD2A were associated with treatment response in this pilot cohort and may represent promising blood-based biomarker candidates, requiring validation in larger prospective multicenter studies. Full article
(This article belongs to the Section Cancer Biomarkers)
Show Figures

Figure 1

18 pages, 637 KB  
Review
Antigen Remodeling in Colorectal Cancer: How Radiotherapy and Chemotherapy Enhance Immunotherapy Responsiveness
by Yuki Matsumi, Kunitoshi Shigeyasu, Toshiaki Takahashi, Kazuya Moriwake, Masashi Kayano and Toshiyoshi Fujiwara
Cancers 2026, 18(4), 715; https://doi.org/10.3390/cancers18040715 - 23 Feb 2026
Viewed by 571
Abstract
Colorectal cancer (CRC) is traditionally considered a “cold tumor” characterized by low immunogenicity and limited responsiveness to immune checkpoint inhibitors (ICIs). However, recent findings reveal that cytotoxic modalities can reprogram this immunologically inert landscape. This review integrates these evolving concepts to guide the [...] Read more.
Colorectal cancer (CRC) is traditionally considered a “cold tumor” characterized by low immunogenicity and limited responsiveness to immune checkpoint inhibitors (ICIs). However, recent findings reveal that cytotoxic modalities can reprogram this immunologically inert landscape. This review integrates these evolving concepts to guide the optimization of future treatments. Radiotherapy induces extensive DNA double-strand breaks, which may generate de novo mutations through error-prone repair while simultaneously exposing cryptic antigens via increased transcriptional instability, alternative splicing, and enhanced proteasomal processing. Chemoradiation also amplifies epigenetic and epitranscriptomic sources of neoepitope diversity, including RNA editing and stress-induced splicing alterations, expanding the immunopeptidome beyond canonical mutation-driven neoantigens. These changes collectively enhance antigen presentation and facilitate T-cell priming. Chemotherapy further reduces immunosuppressive cell populations and promotes dendritic cell activation, creating a permissive milieu for subsequent immune engagement. Clinically, the VOLTAGE studies demonstrated that long-course chemoradiotherapy can sensitize even mismatch repair–proficient rectal cancers to PD-1 blockade, yielding clinically meaningful pathological responses. In contrast, mismatch repair–deficient rectal tumors may respond completely to ICIs alone. Short-course radiotherapy combined with chemotherapy and ICIs has also shown encouraging activity in the setting of total neoadjuvant therapy. Collectively, these findings support a paradigm in which radiotherapy, chemotherapy, and epigenetic/epitranscriptomic alterations—including RNA editing—act as potent modulators of tumor antigenicity. By expanding the neoantigen repertoire and reshaping the tumor microenvironment, these strategies can transform CRC from a cold tumor into one that is increasingly responsive to immunotherapy. Full article
(This article belongs to the Special Issue Chemo-Radio-Immunotherapy for Colorectal Cancer)
Show Figures

Figure 1

16 pages, 1440 KB  
Article
Predictors of Pre- and Postoperative Quality of Life and Overall Survival in Patients with Non-Small Cell Lung Cancer: A Prospective Study
by Ryuta Fukai, Tomoki Nishida, Nobuo Yamaguchi, Hideyasu Sugimoto, Tomoya Fukui, Satoshi Noma, Makoto Hibino, Shigeto Horiuchi, Tetsuri Kondo, Keiko Asou, Etsuko Shimizu, Shinichi Teshima, Yumiko Minagawa and Toshitaka Tsukiyama
Cancers 2026, 18(4), 714; https://doi.org/10.3390/cancers18040714 - 23 Feb 2026
Cited by 1 | Viewed by 447
Abstract
Background/Objectives: Surgery is the most effective treatment for early-stage lung cancer but imposes a greater physical burden than other therapies. We previously identified socioclinical factors associated with reduced perioperative health-related quality of life (HR-QOL) in patients undergoing anatomical pulmonary resection. This study aimed [...] Read more.
Background/Objectives: Surgery is the most effective treatment for early-stage lung cancer but imposes a greater physical burden than other therapies. We previously identified socioclinical factors associated with reduced perioperative health-related quality of life (HR-QOL) in patients undergoing anatomical pulmonary resection. This study aimed to evaluate the relationship between predictors of HR-QOL and long-term survival. Methods: In this prospective study, 87 patients undergoing anatomical pulmonary resection for non-small cell lung cancer at Shonan Kamakura General Hospital, Japan, were evaluated using the Short Form Health Survey 36. Multivariable analyses identified socioclinical factors associated with physical and mental QOL preoperatively and at 6 months postoperatively. Survival analyses were performed for factors showing differences in multivariable analysis and related trends in univariable analysis of HR-QOL. Results: Preoperatively, lower performance status (PS) and living alone were independently associated with poorer physical QOL (regression coefficient [95% CI]: −10.94 [−14.34–−7.54] and −9.86 [−13.89–−5.82], respectively; both p < 0.001) and mental QOL (−9.34 [−13.30–−5.37] and −10.33 [−15.30–−5.35]; both p < 0.001). At 6 months postoperatively, smoking cessation within 1 year, lower PS, and living alone predicted worse physical QOL, while smoking cessation and lower PS predicted worse mental QOL. Lower PS and higher comorbidity burden were also adverse prognostic factors for long-term survival (p < 0.001 and p = 0.015, respectively). Conclusions: Reduced physical activity and greater comorbidity are associated with poorer HR-QOL and survival after lung cancer surgery. These findings highlight the need for careful consideration of surgical indications in patients with these risk factors. Full article
Show Figures

Figure 1

27 pages, 983 KB  
Review
Acylcarnitines in Cancer Metabolism: Mechanistic Insights and Stratification Potential
by Hwa Pyoung Lee, Jieun Oh, Nury Lee, Yujin Jung, Jisu Yum, Minsu Kim, Maro Yoo, Jae Gwang Park and Jae Youl Cho
Cancers 2026, 18(4), 713; https://doi.org/10.3390/cancers18040713 - 23 Feb 2026
Viewed by 819
Abstract
Metabolic reprogramming constitutes a fundamental hallmark of malignancy, enabling cancer cells to sustain proliferation and survival under physiological stress. While aerobic glycolysis is well characterized, fatty acid oxidation (FAO) has emerged as a decisive driver of oncogenic progression and therapeutic resistance. Acylcarnitines (ACs), [...] Read more.
Metabolic reprogramming constitutes a fundamental hallmark of malignancy, enabling cancer cells to sustain proliferation and survival under physiological stress. While aerobic glycolysis is well characterized, fatty acid oxidation (FAO) has emerged as a decisive driver of oncogenic progression and therapeutic resistance. Acylcarnitines (ACs), obligatory intermediates for the mitochondrial transport of long-chain fatty acids, have transcended their traditional categorization as passive metabolic byproducts to function as potent signaling entities and functional readouts of mitochondrial oxidative throughput. This review delineates the AC metabolic axis in oncology, examining the coordinated biochemical machinery, including the carnitine palmitoyltransferase (CPT) system, carnitine–acylcarnitine translocase (CACT; SLC25A20), and organic cation/carnitine transporter 2 (OCTN2), that governs cellular AC homeostasis. We further evaluate the clinical utility of altered AC profiles as non-invasive biomarkers for early diagnosis and risk stratification across diverse malignancies, highlighting their capacity to reflect metabolic bottlenecks and flux dynamics. Additionally, we scrutinize therapeutic strategies targeting the AC-FAO axis, demonstrating how the inhibition of key transporters and enzymes sensitizes tumors to conventional chemotherapy and immunotherapy. Ultimately, deciphering the systemic and spatial dynamics of ACs remains essential for advancing precision metabolic oncology and developing personalized therapeutic strategies based on metabolic profiling. Full article
(This article belongs to the Section Molecular Cancer Biology)
Show Figures

Figure 1

20 pages, 770 KB  
Review
Liquid Biopsy and Molecular Biomarkers in Mucinous Appendiceal and Colorectal Tumors: Current Evidence and Unmet Challenges in Precision Oncology
by Diana Maria Orzata, Adrian-Iosif Moldoveanu, Gabriel Veniamin Cozma, Radu Gheorghe Dan, Ovidiu Alexandru Mederle and Laurentiu Vasile Sima
Cancers 2026, 18(4), 712; https://doi.org/10.3390/cancers18040712 - 23 Feb 2026
Viewed by 526
Abstract
Mucinous appendiceal and colorectal tumors represent a biologically and clinically distinct subset of gastrointestinal malignancies, defined by abundant extracellular mucin, characteristic molecular alterations, and a strong predilection for peritoneal dissemination. Despite these distinctive features, they remain relatively underrepresented in biomarker-driven clinical frameworks, and [...] Read more.
Mucinous appendiceal and colorectal tumors represent a biologically and clinically distinct subset of gastrointestinal malignancies, defined by abundant extracellular mucin, characteristic molecular alterations, and a strong predilection for peritoneal dissemination. Despite these distinctive features, they remain relatively underrepresented in biomarker-driven clinical frameworks, and evidence specific to liquid biopsy performance in this subgroup is fragmented. These features complicate clinical assessment and limit the applicability of tissue-based and circulating biomarkers that perform well in non-mucinous colorectal cancer. Although liquid biopsy is now integral to precision oncology across multiple solid tumors, its role in mucinous disease remains incompletely defined. This review synthesizes evidence on liquid biopsy and molecular biomarkers in mucinous appendiceal and colorectal tumors, with emphasis on circulating tumor DNA (ctDNA) and emerging multi-analyte approaches. Rather than extrapolating from non-mucinous colorectal cancer paradigms, we examine liquid biopsy performance through the lens of mucinous tumor biology and peritoneal compartmentalization. We summarize how peritoneal-dominant spread, limited vascular access, low tumor cellularity, and sequestration of malignant cells within mucin pools constrain biomarker shedding into peripheral blood and contribute to low ctDNA detectability. We discuss the clinical implications for postoperative surveillance after cytoreductive surgery and hyperthermic intraperitoneal chemotherapy, molecular profiling when tissue is limited, and longitudinal monitoring in selected patient subsets. A central focus is the context-dependent interpretation of positive versus negative plasma findings, particularly in low-shedding disease, where false reassurance may occur. We also review strategies beyond plasma ctDNA, including compartment-specific sampling and non-mutational platforms that may improve sensitivity in low-shedding settings. By integrating biological rationale with comparative findings across studies, we identify key evidence gaps and priorities for prospective, biologically stratified validation. We further outline practical considerations for integrating liquid biopsy results into multidisciplinary decision-making in mucinous malignancies. Aligning biomarker class and sampling compartment with mucinous tumor biology may improve interpretability and support more precise clinical management. Full article
(This article belongs to the Section Cancer Biomarkers)
Show Figures

Figure 1

15 pages, 611 KB  
Article
The Trial of Intraoperative Cell Salvage Versus Transfusion in Ovarian Cancer (TIC TOC): Results of a Randomized Controlled Feasibility Study
by Khadra Galaal, Patricia Jane Vickery, Elsa Marques, Joanne Palmer, Benjamin Jones, Emma O’Shaughnessy, Alberto Lopes, Paul Ewings, Ruud L. M. Bekkers and The TIC TOC Trial Group
Cancers 2026, 18(4), 711; https://doi.org/10.3390/cancers18040711 - 22 Feb 2026
Viewed by 517
Abstract
Objectives: To evaluate the acceptability and feasibility of intraoperative cell salvage (ICS) in women with ovarian cancer. A prospective multicenter randomized controlled feasibility trial. Setting: Four U.K. cancer centers. Women FIGO stage III/IV ovarian cancer supported by CT scan evidence. We randomized women [...] Read more.
Objectives: To evaluate the acceptability and feasibility of intraoperative cell salvage (ICS) in women with ovarian cancer. A prospective multicenter randomized controlled feasibility trial. Setting: Four U.K. cancer centers. Women FIGO stage III/IV ovarian cancer supported by CT scan evidence. We randomized women to receive ICS or donor blood (as required) during surgery for ovarian cancer. The acceptability and feasibility of ICS in women with ovarian cancer having cytoreductive surgery; rates of recruitment for a larger trial and the likely completeness of resource use and outcome data; and blinding of allocation for participants and outcome assessors. A total of 57 women were included; the rate of recruitment was 1.4 cases per month, which closely aligns with the target, and 66% of the eligible patients were recruited. Overall, 91% of women completed the 30-day follow-up, and 75% completed the six-week follow-up. Mean (SD) blood loss in the ICS group was 1022 mL (SD 929 mL) and 924 mL (SD 646 mL) in the control group. A total of 16 (62%) of the participants undergoing surgery in the ICS arm received ICS reinfusion. Of the ten participants in the intervention group who did not receive ICS, six participants lost a significant volume of blood requiring transfusion. In the donor blood group, 14 of the 29 participants received donor blood. In the ICS group, 20/24 (83%) of participants, and 23/24 (96%) of research nurses did not know their group allocation. In the control group, 24/28 (86%) and 25/29 (86%) of participants and research nurses did not know the group allocation. Our study provides clinical evidence of the feasibility and acceptability of using ICS in ovarian cancer surgery and provides useful insights into the use of ICS within clinical trials. Women are open to having ICS as an alternative to blood transfusion. An appropriately powered randomized controlled trial is now required. Full article
(This article belongs to the Section Methods and Technologies Development)
Show Figures

Figure 1

15 pages, 1334 KB  
Systematic Review
Survival Assessment by Central Review vs. Local Investigator in Metastatic Melanoma: A Systematic Review and Meta-Analysis
by Islam Eljilany, Eissa Jafari, Abdullah Alhumaid, Zeynep Eroglu, Andrew S. Brohl, Lilit Karapetyan, Joseph Markowitz, Nikhil I. Khushalani, Patrick Hwu and Ahmad A. Tarhini
Cancers 2026, 18(4), 710; https://doi.org/10.3390/cancers18040710 - 22 Feb 2026
Viewed by 604
Abstract
Background: Although blinded independent central review (BICR) can reduce assessment variability, it introduces additional financial and logistical burdens to trial operations. This study analyzed the discrepancy indexes (DIs) to evaluate differences between progression-free survival (PFS) assessments by local investigators (LIs) and BICR in [...] Read more.
Background: Although blinded independent central review (BICR) can reduce assessment variability, it introduces additional financial and logistical burdens to trial operations. This study analyzed the discrepancy indexes (DIs) to evaluate differences between progression-free survival (PFS) assessments by local investigators (LIs) and BICR in randomized clinical trials (RCTs) of patients with metastatic melanoma. Methods: A comprehensive literature search was conducted on PubMed, Embase, and Cochrane databases up to 30 June 2024. The primary outcome was the DI, which was calculated for each trial as a ratio of the hazard ratios (HR)BICR by HRLI. The agreement between PFS HRs was also evaluated using the intraclass correlation coefficient (ICC) and Pearson’s correlation coefficient (r). Results: Twelve studies comprising 4915 patients were included in this study. Of these, 10 (83%) were Phase III, 11 (92%) were cutaneous melanoma, one was uveal, and all identified PFS as the primary endpoint. Most (86%) of the PFS comparisons yielded the same statistical inference by both BICR and LIs. The overall combined DI was calculated at 1.08 (95% CI: 1.01–1.15), indicating a statistically significant, numerically small difference in PFS evaluations driven primarily by the uveal Phase III double-blinded study, while there was a strong overall correlation [(ICC: 0.87, p < 0.001); (r = 0.89, 95% CI 0.67–0.96, p < 0.0001)]. Cutaneous melanoma trials demonstrated strong agreement between BICR and local investigator assessments. Conclusions: In randomized trials of metastatic cutaneous melanoma, LI-assessed PFS closely aligns with BICR and provides equivalent trial-level conclusions in most cases. These findings support the use of LI-assessed PFS as a valid and practical primary endpoint, without routine requirement for BICR. Central review should be reserved for selected scenarios. Full article
(This article belongs to the Section Systematic Review or Meta-Analysis in Cancer Research)
Show Figures

Figure 1

23 pages, 1303 KB  
Review
Evolution of Immune Checkpoint Blockade in Metastatic NSCLC: A Narrative Review of Emerging Bispecific Antibodies and the Practical Challenges of Clinical Integration
by Jin Hyoung Kang
Cancers 2026, 18(4), 709; https://doi.org/10.3390/cancers18040709 - 22 Feb 2026
Viewed by 784
Abstract
Background/Objectives: Metastatic non-small cell lung cancer (mNSCLC) is challenged by toxicity, pharmacokinetic (PK) mismatch, and resistance inherent in current immune checkpoint inhibitor (ICI) regimens. Bispecific antibodies (BsAbs), which unify dual-target engagement within a single, structurally engineered molecule, offer a next-generation strategy to [...] Read more.
Background/Objectives: Metastatic non-small cell lung cancer (mNSCLC) is challenged by toxicity, pharmacokinetic (PK) mismatch, and resistance inherent in current immune checkpoint inhibitor (ICI) regimens. Bispecific antibodies (BsAbs), which unify dual-target engagement within a single, structurally engineered molecule, offer a next-generation strategy to transcend these therapeutic ceilings. Their engineering formats—ranging from IgG-like full-size antibodies to non-IgG-like fragment-based or smaller scaffolds—are selected to further optimize target affinity and enhance therapeutic efficacy. Methods: This narrative review analyzes landmark trials establishing the current standard of care (SoC) and evaluates the mechanistic rationale and status of emerging BsAb, including dual checkpoint blockers and tumor microenvironment (TME)-modulating BsAbs, using the data from the latest early-phase clinical studies. Results: The review critically focuses on comparing the theoretical benefits of BsAbs, such as PK consistency and synergistic efficacy via affinity-controlled dual targeting, against the practical drawbacks of conventional combination therapies. Most importantly, it assesses the BsAbs’ potential to secure superior overall survival (OS) or progression-free survival (PFS) against established SoC and deeply reviews the clinical feasibility of managing their unique safety profiles. Conclusions: While BsAbs offer a potent, innovative approach to enhancing anti-tumor immunity, substantial hurdles remain for their widespread clinical integration. Key challenges include: (1) demonstrating clear survival benefits over high-efficacy SoCs in late-stage trials; (2) establishing guidelines for managing novel toxicity profiles; and (3) addressing logistical barriers related to complex manufacturing and high costs. Furthermore, the validation of predictive biomarkers is essential to guide the personalized application of BsAb-based immunotherapies. Full article
(This article belongs to the Section Cancer Immunology and Immunotherapy)
Show Figures

Figure 1

16 pages, 568 KB  
Review
Non-Invasive Assessment of Treatment Response in Actinic Keratosis: A Clinically Oriented Multimodal Review
by Gianluca Pistore, Luca Ambrosio, Antonio Di Guardo, Anna Rita Panebianco, Giovanni Di Lella, Claudio Conforti, Giovanni Pellacani, Francesco Moro, Paolo Marchetti, Damiano Abeni, Luca Fania and Francesco Ricci
Cancers 2026, 18(4), 708; https://doi.org/10.3390/cancers18040708 - 22 Feb 2026
Viewed by 410
Abstract
Background: In actinic keratosis (AK), clinical clearance after field-directed therapies does not necessarily correspond to histological resolution, resulting in subclinical persistence and risk of recurrence. Objective: To provide a practical, up-to-date framework for non-invasive monitoring of treatment response in AK, integrating clinical assessment [...] Read more.
Background: In actinic keratosis (AK), clinical clearance after field-directed therapies does not necessarily correspond to histological resolution, resulting in subclinical persistence and risk of recurrence. Objective: To provide a practical, up-to-date framework for non-invasive monitoring of treatment response in AK, integrating clinical assessment and dermoscopy with high-resolution imaging techniques, reflectance confocal microscopy (RCM), line-field confocal optical coherence tomography (LC-OCT), and high-frequency ultrasound (HFUS), and to discuss emerging optical biomarkers based on Raman spectroscopy. Results: For each modality, we summarize pre- and post-treatment imaging patterns, proposed response criteria, recommended follow-up timing, and correlations with clinical outcomes (including clearance and AKASI) and, when available, histological findings. The available evidence is derived from a limited number of observational studies, predominantly involving RCM and LC-OCT, whereas data on HFUS and Raman spectroscopy remain comparatively scarce. RCM and LC-OCT allow in vivo assessment of epidermal architectural normalization and reduction of intraepidermal keratinocyte atypia. HFUS captures quantitative trajectories of superficial dermal remodeling, including changes in the subepidermal low-echogenic band (SLEB) and dermal echogenicity after photodynamic therapy and other field treatments. Dermoscopy remains the first-line tool for routine follow-up but may fail to detect minimal subclinical persistence. Finally, we discuss the potential role of in vivo Raman spectroscopy for dynamic molecular endpoints and its possible integration with artificial intelligence–based analytical approaches. Conclusions: A standardized multimodal follow-up strategy improves the accuracy of treatment-response assessment compared with clinical evaluation alone. We propose a technique-specific checklist of minimal response criteria and a pragmatic temporal assessment scheme, and outline a research roadmap to support validation and clinical implementation of non-invasive imaging-guided monitoring in actinic keratosis. Full article
(This article belongs to the Section Methods and Technologies Development)
Show Figures

Figure 1

17 pages, 1779 KB  
Article
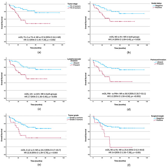
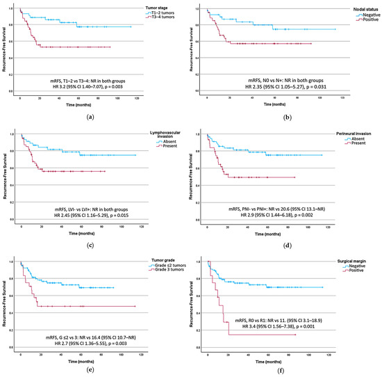
Ampullary Carcinoma: Prognostic Factors and a Literature Review
by Ivánia Furtado, Nuno Gião, Ana Gonçalves, Emanuel Vigia, Mariana Sardinha and João Boavida Ferreira
Cancers 2026, 18(4), 707; https://doi.org/10.3390/cancers18040707 - 22 Feb 2026
Viewed by 557
Abstract
Background/Objectives: Ampullary carcinoma (AC) is a rare gastrointestinal malignancy arising from the ampullary complex, encompassing intestinal, pancreaticobiliary, and mixed subtypes with distinct biological behaviors. Surgery is the only potentially curative treatment, yet relapse occurs in more than half of patients. Due to the [...] Read more.
Background/Objectives: Ampullary carcinoma (AC) is a rare gastrointestinal malignancy arising from the ampullary complex, encompassing intestinal, pancreaticobiliary, and mixed subtypes with distinct biological behaviors. Surgery is the only potentially curative treatment, yet relapse occurs in more than half of patients. Due to the scarcity of AC-specific prospective trials, treatment guidelines are largely extrapolated from other gastrointestinal cancers. This study aimed to characterize the clinicopathological features, treatment approaches, and outcomes of AC and to identify potential prognostic factors in a single-center cohort. Methods: We retrospectively analyzed 106 patients diagnosed with AC between January 2015 and December 2023 to characterize clinicopathological features, treatment approaches, and survival outcomes, and to explore potential prognostic factors. Kaplan–Meier analysis was used to estimate recurrence-free survival (RFS) and overall survival (OS), while prognostic factors were assessed using univariate and multivariable Cox regression models. Results: Most patients presented with resectable disease and underwent pancreaticoduodenectomy (96.2%). The predominant histological subtype was pancreaticobiliary (45.3%). In localized disease, median RFS and OS were not reached, with 36-month RFS and OS rates of 68.1% (95% CI, 59.2–78.3) and 70.1% (95% CI, 61.1–80.3), respectively. In univariate analyses, adverse prognostic factors for both RFS and OS included the advanced T TNM category, nodal involvement, lymphovascular invasion, perineural invasion, high-grade histology, and R1 resection margins; however, only R1 resection margin remained independently associated with shorter RFS in the multivariate analysis (HR 2.5, 95% CI 1.02–5.94, p = 0.046). Survival outcomes did not differ significantly according to histological subtype. Exploratory adjusted analyses accounting for nodal status and surgical resection margin suggested an association between adjuvant therapy and improved survival, while unadjusted analyses showed no significant associations. Median OS for metastatic patients was 13.6 months. Discussion/Conclusion: R1 resection margin emerged as the only independent prognostic factor for RFS, with no independent association with OS, in resected AC. These findings highlight the importance of surgical margin optimization, high-quality pathological assessment, and multidisciplinary management in routine clinical practice. Full article
(This article belongs to the Section Clinical Research of Cancer)
Show Figures

Figure 1

11 pages, 1294 KB  
Article
Robotic Surgical Outcomes in Endometrial Cancer: Does Class III Obesity Matter?
by Vito Andrea Capozzi, Asya Gallinelli, Elisa Scarpelli, Stefano Restaino, Giuseppe Vizzielli and Roberto Berretta
Cancers 2026, 18(4), 706; https://doi.org/10.3390/cancers18040706 - 22 Feb 2026
Viewed by 440
Abstract
Background/Objective: Women with Class III obesity (BMI ≥ 40 kg/m2) have a lifetime risk of endometrial cancer (EC) as high as 10–15%. However, evidence focused specifically on Class III obese patients remains limited. This study evaluated the surgical feasibility and safety [...] Read more.
Background/Objective: Women with Class III obesity (BMI ≥ 40 kg/m2) have a lifetime risk of endometrial cancer (EC) as high as 10–15%. However, evidence focused specifically on Class III obese patients remains limited. This study evaluated the surgical feasibility and safety of robotic surgery in Class III obese women with EC. Methods: A single-center retrospective study was conducted at the ESGO-accredited University Hospital of Parma (Italy) from October 2021 to February 2025. All women had apparent early-stage EC and underwent robotic hysterectomy with bilateral salpingo-oophorectomy and sentinel lymph node (SLN) mapping with Indocyanine Green. Patients were categorized into three BMI groups: Group A (BMI ≥ 40 kg/m2), Group B (BMI 30–39 kg/m2), and Group C (BMI < 30 kg/m2). Perioperative variables—including operative time, estimated blood loss, conversion to laparotomy, intra- and postoperative complications, hospital and Intensive Care Unit (ICU) stay, and SLN mapping failure—were compared across groups. Results: A total of 109 women were included: 26 (23.9%) in Group A, 45 (41.3%) in Group B, and 38 (34.9%) in Group C. Class III obesity was not associated with higher intraoperative (p = 0.390) or postoperative (p = 0.805) complication rates. Conversion to laparotomy (p = 0.720), estimated blood loss (p = 0.123), ICU stay (p = 0.156), and hospital stay (p = 0.491) were superimposable across groups. Operative time was significantly longer in Group A (p = 0.003) compared to the other groups. Successful bilateral SLN mapping differed significantly across groups (p = 0.026), being lower in Group A (73.1%) compared to Group B (95.6%) and Group C (81.6%). Conclusions: Robotic surgery is safe and feasible in Class III obese EC patients, with perioperative morbidity comparable to that of lower BMI groups. Nevertheless, longer operative times and a lower rate of successful bilateral SLN mapping highlight the need for tailored strategies and further research to optimize nodal staging in severely obese women. Full article
(This article belongs to the Special Issue Gynecologic Cancer: From Diagnosis to Treatment: 2nd Edition)
Show Figures

Figure 1

21 pages, 2753 KB  
Systematic Review
Primary Angiosarcoma of Breast: Surgery Alone Versus Chemotherapy and/or Radiotherapy—A Systematic Review and Meta-Analysis
by Konstantinos Skarentzos, Anastasia Kourtesa, Abraham Pouliakis, Menelaos G. Samaras, Andrea Palicelli, Maurizio Zizzo, Giuseppe Broggi, Serena Salzano, Rosario Caltabiano, Magda Zanelli and Nektarios I. Koufopoulos
Cancers 2026, 18(4), 705; https://doi.org/10.3390/cancers18040705 - 21 Feb 2026
Viewed by 399
Abstract
Background: Primary angiosarcoma of the breast (PAB) is a rare malignancy with no standardized treatment protocol. Objective: To quantify the impact of tumor grade on overall survival (OS) and evaluate the association of adjuvant chemotherapy and radiotherapy with survival in primary angiosarcoma of [...] Read more.
Background: Primary angiosarcoma of the breast (PAB) is a rare malignancy with no standardized treatment protocol. Objective: To quantify the impact of tumor grade on overall survival (OS) and evaluate the association of adjuvant chemotherapy and radiotherapy with survival in primary angiosarcoma of the breast (PAB). Methods: We systematically searched PubMed, Scopus, and Cochrane Library until 27 June 2025. Two reviewers independently screened studies, extracted data, and assessed risk of bias using the Newcastle-Ottawa Scale. Kaplan–Meier curve digitization was used to reconstruct individual patient data. Random-effects meta-analysis was performed for grade comparisons and therapy associations. Results: Eleven studies (436 patients) were included. Meta-analysis of six studies showed increasing tumor grade significantly predicted mortality, with homogeneous hazard ratios (HRs) of 1.2 (Grade 2 vs. 1) and 3.7 (Grade 3 vs. 1). Analysis of five studies revealed that adjuvant chemotherapy was associated with significantly improved survival (HR = 0.11, 95% CI: 0.02–0.45), while radiotherapy showed no benefit (p = 0.96). Included studies demonstrated low-moderate risk of bias. Conclusions: This first quantitative synthesis establishes histologic grade as a paramount prognostic factor in PAB and shows a strong association between adjuvant chemotherapy and survival benefit. These findings provide crucial evidence for risk stratification and support considering chemotherapy in multimodal treatment for this rare disease. Full article
(This article belongs to the Section Cancer Therapy)
Show Figures

Figure 1

14 pages, 1613 KB  
Article
A Treatment Decision Model for Cutaneous Squamous Cell Carcinoma Based on Bayesian Networks
by Eenas Ghura, Jan Gaebel, Thomas Neumuth, Andreas Dietz, Gunnar Wichmann and Matthaeus Stoehr
Cancers 2026, 18(4), 704; https://doi.org/10.3390/cancers18040704 - 21 Feb 2026
Viewed by 557
Abstract
Background: One of the most prevalent non-melanoma skin cancers (NMSCs) is cutaneous squamous cell carcinoma (cSCC), which is typically treated surgically. For patients with advanced or inoperable disease, systemic therapies—particularly immune checkpoint inhibitors—have become increasingly important. The anti-PD-1 monoclonal antibody Cemiplimab was approved [...] Read more.
Background: One of the most prevalent non-melanoma skin cancers (NMSCs) is cutaneous squamous cell carcinoma (cSCC), which is typically treated surgically. For patients with advanced or inoperable disease, systemic therapies—particularly immune checkpoint inhibitors—have become increasingly important. The anti-PD-1 monoclonal antibody Cemiplimab was approved for the treatment of advanced cSCC, providing patients who are unable to receive conventional therapy with additional options. Methods: In this study, we developed a clinical decision support tool based on Bayesian networks (BNs) to help clinicians choose the most suitable treatment strategies for cSCC. The model can manage missing or uncertain data and includes patient-specific clinical, histological, and genetic information, such as tumor type, stage, and PD-L1 expression. Results: Using data from 66 patients with either basal cell carcinoma (BCC) or cSCC, we retrospectively validated the model by comparing the treatment recommendations from the tool with the actual choices made by multidisciplinary tumor boards. The model demonstrated an overall accuracy of 95.5% and statistical significance with a p-value of <0.001. Conclusions: Our results suggest that BNs are a valuable tool for representing complex clinical decision-making processes. Full article
(This article belongs to the Special Issue New Perspectives in Skin Cancer: From Biology to Therapy)
Show Figures

Figure 1

15 pages, 957 KB  
Review
Glioblastoma and Melatonin’s Effects: A Narrative Review
by Gaia Favero, Francesca Sulas, Mauro Labanca, Francesco Scilla, Corrado Federico Punzi, Claudio Lonati and Rita Rezzani
Cancers 2026, 18(4), 703; https://doi.org/10.3390/cancers18040703 - 21 Feb 2026
Viewed by 675
Abstract
Glioblastoma (GB) is an extremely aggressive, highly invasive brain tumor of astrocytic or oligodendrocyte glial origin. This tumor often infiltrates adjacent healthy brain tissue and can migrate significant distances from the primary tumor site. Given the poor overall survival of GB patients and [...] Read more.
Glioblastoma (GB) is an extremely aggressive, highly invasive brain tumor of astrocytic or oligodendrocyte glial origin. This tumor often infiltrates adjacent healthy brain tissue and can migrate significant distances from the primary tumor site. Given the poor overall survival of GB patients and the limited efficacy of current local and systemic treatments, new therapeutic strategies are needed to improve outcomes, reduce side effects, and enhance patients’ quality of life. In recent years, the potential chemotherapeutic effects of natural molecules have been investigated, either as primary agents or in combination with established chemotherapies in various types of cancer. Melatonin (MLT, N-acetyl-5-methoxytryptamine) is an endogenous indolamine primarily secreted by the pineal gland. MLT appears to discriminate between normal and tumoral cellular contexts and to modulate appropriate actions, thereby acting as a “smart killer” against cancer cells; however, further studies are needed to clarify this apparently paradoxical behavior. This review aims to summarize recent findings on the potential regulatory role of MLT in the modulation of key intracellular pathways in GB, underlining its potential role as a complementary adjuvant to conventional therapies. The clinical advantage of MLT in GB patients has not been demonstrated in randomized controlled trials; therefore, multicenter studies with well-defined objectives, appropriate dosage schedules, and clear patient classification are needed. Full article
(This article belongs to the Special Issue Cancer and Melatonin: Updates on Current Findings)
Show Figures

Graphical abstract

17 pages, 2146 KB  
Article
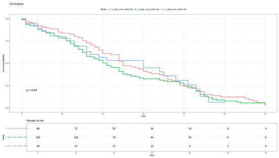
Validation of the 9th Edition of the TNM Classification in Patients with NSCLC and Lymph Node Involvement: A Retrospective, Multicentric, Observational Study
by Carolina Sassorossi, Marco Chiappetta, Filippo Lococo, Gloria Santoro, Pierluigi Novellis, Giulia Veronesi, Riccardo Di Fonzo, Filippo Tommaso Gallina, Francesco Facciolo, Vittorio Aprile, Alessandra Lenzini, Marco Lucchi, Sara Ricciardi, Giuseppe Cardillo, Andrea Tornese, Ludovic Fournel, Marco Alifano and Stefano Margaritora
Cancers 2026, 18(4), 702; https://doi.org/10.3390/cancers18040702 - 20 Feb 2026
Viewed by 542
Abstract
Background: The ninth edition of the TNM classification introduced refinements in nodal staging, subdividing mediastinal N2 disease into N2a (single-station) and N2b (multi-station) involvement, alongside several stage group adjustments. The aim of this study is to validate the new TNM in patients with [...] Read more.
Background: The ninth edition of the TNM classification introduced refinements in nodal staging, subdividing mediastinal N2 disease into N2a (single-station) and N2b (multi-station) involvement, alongside several stage group adjustments. The aim of this study is to validate the new TNM in patients with nodal involvement who underwent surgery. Methods: This is a multicentric, retrospective study including NSCLC patients with pathological N1 or N2 involvement who underwent anatomical pulmonary resection between January 2020 and December 2023. Clinical, surgical, and pathological data were collected, including tumor characteristics, lymphadenectomy details, and adjuvant therapy. Patients were reclassified according to the ninth TNM groups: stage IIB, including T1N1, T2N1, and T3N0; IIIA, including T1N2b, T2-3N2a, T3N1, T4N0, and T4N1; and IIIB, including T2-3N2b, T4N2a, and T4N2b. Overall survival (OS) and disease-free survival (DFS) were analyzed using Kaplan–Meier curves. Results: The final analysis involved 291 patients. The three- and five-year OS rates were 82% and 71% for stage IIB, and 75% and 58% for stage IIIA, respectively. At stage IIB, a significant difference was found only for DFS comparing T2N1 and T1N2a, whereas stage IIIA showed no significant differences in either OS or DFS, confirming its prognostic homogeneity. Conversely, stage IIIB exhibited significant heterogeneity in survival (OS p = 0.031; DFS p < 0.0001), with T4N2b subgroups showing the worst outcomes compared to T2-3N2b and T4N2a. Conclusions: Our validation of the ninth edition of lung cancer staging shows improved prognostic granularity: IIB shows non-homogeneous DFS, IIIA is homogeneous, and IIIB shows major OS/DFS substage differences, warranting analyses with larger samples for refined stratification. Full article
(This article belongs to the Special Issue Emerging Technologies in Thoracic Surgery)
Show Figures

Figure 1

26 pages, 1647 KB  
Review
Lipid Metabolism Reprogramming in Diffuse Large B-Cell Lymphoma (DLBCL): Mechanisms and Treatment Strategies
by Yue-E Ding, Yi-Ran Zhong, Lai-Shun Zhang, Lei Xu, Jia Li and Yi Wen
Cancers 2026, 18(4), 701; https://doi.org/10.3390/cancers18040701 - 20 Feb 2026
Viewed by 700
Abstract
Diffuse large B-cell lymphoma (DLBCL) is a common, aggressive non-Hodgkin lymphoma with significant molecular heterogeneity. This variability arises in part from its distinct molecular subtypes, including germinal center B-cell-like (GCB) DLBCL, activated B-cell-like (ABC) DLBCL, and primary mediastinal B-cell lymphoma (PMBL), which differ [...] Read more.
Diffuse large B-cell lymphoma (DLBCL) is a common, aggressive non-Hodgkin lymphoma with significant molecular heterogeneity. This variability arises in part from its distinct molecular subtypes, including germinal center B-cell-like (GCB) DLBCL, activated B-cell-like (ABC) DLBCL, and primary mediastinal B-cell lymphoma (PMBL), which differ markedly in their genetic profiles, signaling pathway activities, and clinical outcomes. Although rituximab-based R-CHOP regimens have significantly improved patient outcomes, around 40% of patients still experience relapsed or refractory disease. DLBCL cells sustain their rapid proliferation through the establishment of an intricate lipid metabolism regulatory network. The interplay between this network, cell death mechanisms (e.g., ferroptosis), and the tumor immune microenvironment (TIME) significantly impacts the malignant progression of the disease and its resistance to treatment. This review summarizes recent advances in understanding the molecular mechanisms and interplay among these processes in DLBCL and discusses the clinical relevance of associated prognostic biomarkers, thus providing new insights into the development of precision therapies. Full article
(This article belongs to the Section Molecular Cancer Biology)
Show Figures

Graphical abstract

14 pages, 1526 KB  
Article
The Value of Stereotactic Radiotherapy After FOLFIRINOX in Patients with Pancreatic Cancer with Vascular Contact—A Nationwide, Retrospective Cohort Study
by Freek R. van ‘t Land, Leonard W. F. Seelen, Maaike Verheij, Thomas F. Stoop, Olivier R. Busch, Marc G. H. Besselink, Lois A. Daamen, Marcel den Dulk, Sebastiaan Festen, Ignace H. J. T. de Hingh, Marjolein Y. V. Homs, Martijn P. W. Intven, Daan J. Lips, Maartje Los, Vincent E. de Meijer, Joost J. Nuyttens, Martijn W. J. Stommel, Roeland F. de Wilde, Johanna W. Wilmink, I. Quintus Molenaar, Hjalmar C. van Santvoort, Bas Groot Koerkamp and Casper H. J. van Eijckadd Show full author list remove Hide full author list
Cancers 2026, 18(4), 700; https://doi.org/10.3390/cancers18040700 - 20 Feb 2026
Viewed by 578
Abstract
Background/Objectives: Stereotactic body radiotherapy (SBRT) aims to prolong overall survival (OS) in patients with pancreatic ductal adenocarcinoma (PDAC) with vascular contact without progression of disease after (m)FOLFIRINOX. The primary objective of this study was to determine the potential value of SBRT. Methods: This [...] Read more.
Background/Objectives: Stereotactic body radiotherapy (SBRT) aims to prolong overall survival (OS) in patients with pancreatic ductal adenocarcinoma (PDAC) with vascular contact without progression of disease after (m)FOLFIRINOX. The primary objective of this study was to determine the potential value of SBRT. Methods: This nationwide, retrospective cohort study included patients with PDAC without progression of disease after at least four cycles of (m)FOLFIRINOX. The study comprised two cohorts, the SBRT and the No SBRT group. A landmark analysis excluded patients with a follow-up or OS time less than 12 months to minimize immortal time bias in the SBRT group. The primary outcome was OS from diagnosis. Secondary outcomes were the histopathological characteristics after resection. Results: Overall, 331 patients were included, of whom 231 were in the landmark analysis. In the overall cohort, the median OS was 20.7 months in the SBRT group versus 15.7 months in the No SBRT group (p = 0.004). In the landmark analysis, the median OS was 23.2 months in the SBRT group compared to 22.3 months in the No SBRT group (p = 0.554). These results indicate the presence of immortal time bias in the overall cohort in favor of the SBRT group. In the subgroup after resection, ypT0-2 (95% versus 76.5% [p = 0.026]), ypN0 (75% versus 37.3% [p < 0.004]), and absence of perineural invasion (50% versus 68.6% [p = 0.015]) were more prevalent in the SBRT group. Conclusions: In a landmark analysis, including only patients who survived at least 12 months after diagnosis, we found no difference in median OS between (m)FOLFIRINOX-only and (m)FOLFIRINOX with consecutive SBRT. Full article
(This article belongs to the Section Cancer Therapy)
Show Figures

Figure 1

12 pages, 674 KB  
Article
Long-Term Outcome of Intraoperative Radiotherapy for Early-Stage Breast Cancer
by Eyal Bratt, Orit Pasternak, Daphne Levin, Yonina Tova, Vladislav Grinberg, Moshe Papa, Mordechay Gutman, Svetlana Zalmanov, Raphael Moshe Pfeffer, Roxolyana Abdah-Bortnyak and Merav Akiva Ben-David
Cancers 2026, 18(4), 699; https://doi.org/10.3390/cancers18040699 - 20 Feb 2026
Viewed by 483
Abstract
Background: Intraoperative radiotherapy (IORT) offers single-session treatment during breast-conserving surgery (BCS). Outcomes depend heavily on patient selection and tumor characteristics. Objectives: To assess local recurrence (LR) and prognosis using the 2024 American Society for Radiation Oncology (ASTRO) risk classification in IORT-treated patients. Methods: [...] Read more.
Background: Intraoperative radiotherapy (IORT) offers single-session treatment during breast-conserving surgery (BCS). Outcomes depend heavily on patient selection and tumor characteristics. Objectives: To assess local recurrence (LR) and prognosis using the 2024 American Society for Radiation Oncology (ASTRO) risk classification in IORT-treated patients. Methods: This multicenter retrospective study analyzed 358 IORT cases (356 patients) treated between 2014 and 2018 using the Zeiss INTRABEAM system. Cases were classified per the 2024 ASTRO partial-breast irradiation guidelines. The primary endpoint was local recurrence-free survival (LRFS); secondary endpoints included overall survival (OS) and mastectomy-free survival (MFS). Findings: The median age was 66 years (range 48–80); all tumors were invasive with a median tumor size of 10 mm. At a median follow-up of 7.1 years, LR occurred in 14/358 cases (3.9%) at a median of 5.2 years post-diagnosis. Five- and 8-year LRFS were 98.3% and 94.8%, respectively; 5- and 8-year OS were 99.4% and 97.7%; MFS at 8 years was 98.2%. Cases that were classified as “conditionally recommended” or “conditionally not recommended” had significantly higher LR than the “suitable” group (8.5% vs. 2.7%; HR 3.25, 95% CI 1.05–10.08, p = 0.041). Exploratory analysis showed that cases with ≥2 conditional criteria carried a markedly higher risk than those with 0–1 (21.4% vs. 3.2%; Firth-penalized Cox HR 8.26, 95% CI 2.06–26.06, p = 0.005). Conclusions: In appropriately selected patients, IORT achieves local control consistent with contemporary series. The 2024 ASTRO risk classification effectively identifies high-risk cases, supporting its use for risk-adapted candidate selection. Full article
(This article belongs to the Special Issue Accelerated Partial Breast Irradiation)
Show Figures

Figure 1

15 pages, 1167 KB  
Article
Metabolic Predictors in Risk Stratification for Oral Cavity and Oropharyngeal Cancer Patients Undergoing Free Flap Tissue Transfer: A Retrospective Study
by Darko Solter, Andro Koren, Luciana Koren, Emili Dragaš, Alan Pegan, Goran Geber, Davor Vagić and Andro Košec
Cancers 2026, 18(4), 698; https://doi.org/10.3390/cancers18040698 - 20 Feb 2026
Viewed by 2912
Abstract
Background/Objectives: Oral and oropharyngeal cancers are highly prevalent and associated with a high mortality. The primary treatment modality is surgery with free flap reconstruction becoming the gold standard. Our study aimed to assess the anthropometric and metabolic predictors of the occurrence of [...] Read more.
Background/Objectives: Oral and oropharyngeal cancers are highly prevalent and associated with a high mortality. The primary treatment modality is surgery with free flap reconstruction becoming the gold standard. Our study aimed to assess the anthropometric and metabolic predictors of the occurrence of postoperative complications after free flap reconstruction, and to present a PRISM (Predictive Reconstructive Index for Soft-tissue Microflaps) scoring system. Methods: This retrospective cohort study included 92 patients with advanced oral and oropharyngeal squamous cell carcinoma who underwent primary surgical treatment with microvascular free flap reconstruction between 2020 and 2024. Clinical, surgical, and biochemical parameters (operative and flap ischemia time, BMI; serum albumin, total protein, and calcium) were analyzed in relation to postoperative complications. Associations were assessed using correlation analyses and binary logistic regression. Based on the key predictive variables, the PRISM scoring system was developed to estimate perioperative risk. Results: Underweight or overweight patients showed higher complication rates (Kruskal–Wallis, p = 0.019). Longer surgeries were associated with a higher incidence of SIRS, which in turn correlated with increased flap ischemia (Man-Whitney, p = 0.032 and 0.039). Lower albumin and total protein levels on the second postoperative day were linked to more complications (Kruskal–Wallis, p = 0.001 and 0.010), as were lower calcium levels on the first postoperative day (p = 0.033). Additionally, longer hospitalization was significantly associated with complication severity (p = 0.031). The PRISM score stratified patients into low-, moderate-, and high-risk groups. Conclusions: Free flap outcomes in oral and oropharyngeal cancer are influenced by SIRS, nutritional status, and surgical factors. Longer surgeries, flap ischemia, low albumin, protein, calcium, and abnormal BMI increased the complication risk. Careful preoperative assessment, optimization of patient condition, and strategies to minimize operative time and ischemia are essential. The PRISM score may help stratify patients and guide clinical decisions. Full article
Show Figures

Figure 1

14 pages, 1250 KB  
Systematic Review
Elective Neck Dissection Strategies Guided by AJCC-8 Depth-of-Invasion (DOI) in cT1–T2N0 Oral Cavity Cancer—A Systematic Review
by Nishath Sayed Abdul, Sahana Shivakumar, Lulwah Alreshaid, Ankur Jethlia, Honey Lunkad, Maria Maddalena Marrapodi, Gabriele Cervino and Giuseppe Minervini
Cancers 2026, 18(4), 697; https://doi.org/10.3390/cancers18040697 - 20 Feb 2026
Viewed by 589
Abstract
Background/Objectives: Clinically node-negative (cN0) neck management in cT1–T2 oral cavity squamous cell carcinoma continues to be a subject of controversy. The eighth edition AJCC has incorporated depth of invasion (DOI) as a significant factor in staging and consideration for possible neck dissection. Establishment [...] Read more.
Background/Objectives: Clinically node-negative (cN0) neck management in cT1–T2 oral cavity squamous cell carcinoma continues to be a subject of controversy. The eighth edition AJCC has incorporated depth of invasion (DOI) as a significant factor in staging and consideration for possible neck dissection. Establishment of accurate DOI thresholds and their clinical relevance is crucial to maximize oncological outcomes with reduced unnecessary morbidity. Methods: A comprehensive analysis of clinical research assessing elective neck dissection (END) techniques in oral cavity cancers classified by DOI in cT1–T2N0 patients was carried out. The included studies reported occult nodal metastasis rates, overall survival, disease-specific survival, disease-free survival, and regional control. Results: With hazard ratios favoring END for overall survival (HR 0.64; 95% CI 0.45–0.92) and disease-free survival (HR 0.45; 95% CI 0.34–0.59), elective neck dissection provided advantages in both survival and regional control. In a national registry, DOI ≥ 5 mm independently raised the risk of nodal failure (HR 2.099; 95% CI 1.346–3.271), while END enhanced neck control in comparison to observation (HR 1.749; 95% CI 1.141–2.680). With ROC-derived cut-offs like 4.59 mm producing positive predictive values for nodal metastasis up to 41.7%, diagnostic thresholds clustered around 4 mm. Conclusions: Under DOI guidance, elective neck dissection consistently showed oncologic benefit, with practical thresholds convergent around 4 mm for sites in the mixed oral cavity and 3 mm for high-risk subsites. The synthesized results confirmed that DOI is the primary determinant of END when combined with histopathologic and subsite-specific risk factors. Full article
Show Figures

Figure 1

14 pages, 3340 KB  
Article
Uptake Patterns of [18F]Fluoroestradiol PET/MRI in Benign Breast Lesions and Molecular Breast Cancer Subtypes
by Thomas Spiegel, Sazan Rasul, Nina Pötsch, Alexander Stiglbauer-Tscholakoff, Panagiotis Kapetas, Lukas Nics, Paulina Gebhart, Ivo Rausch, Zsuzsanna Bago-Horvath, Paola Clauser, Pascal A. T. Baltzer, Marcus Hacker, Thomas H. Helbich and Katja Pinker
Cancers 2026, 18(4), 696; https://doi.org/10.3390/cancers18040696 - 20 Feb 2026
Viewed by 576
Abstract
Background/Objectives: Estrogen receptor (ER) expression is a key biomarker in breast cancer (BC) and guides endocrine therapy selection. Estrogen receptor-targeted imaging with 16ɑ-[18F]-fluoro-17β-estradiol (18F-FES) PET is recommended in several clinical guidelines for noninvasive assessment of ER status. In clinical [...] Read more.
Background/Objectives: Estrogen receptor (ER) expression is a key biomarker in breast cancer (BC) and guides endocrine therapy selection. Estrogen receptor-targeted imaging with 16ɑ-[18F]-fluoro-17β-estradiol (18F-FES) PET is recommended in several clinical guidelines for noninvasive assessment of ER status. In clinical practice, 18F-FES PET may also identify ER-negative malignancies or benign breast lesions with variable uptake patterns. This study aimed to systematically characterize 18F-FES PET/MRI uptake patterns in benign breast lesions and across breast cancer subtypes defined by receptor status, histology, and molecular phenotype. Methods: This retrospective single-center study included 41 women with 50 breast lesions who underwent simultaneous 18F-FES PET/MRI prior to any treatment. Histopathology or long-term follow-up served as the standard of reference. Maximum and mean standardized uptake values (SUVmax and SUVmean) were derived using MRI-based lesion delineation. Results: Both benign and malignant breast lesions measuring < 10 mm demonstrated low 18F-FES uptake (SUVmax < 1.00). 18F-FES uptake among benign breast lesions was variable, with SUVmax ranging from 0.44 to 1.57. In contrast, ER-positive lesions ≥ 10 mm exhibited substantially higher 18F-FES uptake (median SUVmax 2.76; range 1.23–9.74) compared with ER-negative tumors of similar size (SUVmax 0.30–0.94). 18F-FES uptake was consistent across histologic BC subtypes and did not differ significantly among ER-positive molecular subtypes. No significant associations were observed with HER2 status or tumor grade. Conclusions: Awareness of the heterogeneous 18F-FES uptake patterns in benign breast lesions, as well as the limited sensitivity for detecting ER-positive tumors < 10 mm, is essential for accurate image interpretation. 18F-FES PET/MRI enables reliable assessment of ER expression in BC lesions ≥ 10 mm, with uptake patterns remaining consistent across molecular and histologic subtypes. Full article
Show Figures

Figure 1

24 pages, 440 KB  
Review
Malignancy of Urinary Tract in Kidney Transplant Recipients—A Narrative Review
by Sławomir Jerzy Małyszko, Letycja Rog, Ben Sprangers, Amanda DeMauro Renaghan, Mitchell H. Rosner, Rafal Stec, Leszek Kraj, Jacek Stanisław Malyszko and Jolanta Małyszko
Cancers 2026, 18(4), 695; https://doi.org/10.3390/cancers18040695 - 20 Feb 2026
Viewed by 691
Abstract
Kidney transplantation is the optimal treatment for end-stage kidney failure. However, after successful kidney transplantation, patients require long-term immunosuppression. Due to immunosuppressive therapy, the development of malignancies is more common in solid organ transplant recipients than in the general population. Because renal transplantation [...] Read more.
Kidney transplantation is the optimal treatment for end-stage kidney failure. However, after successful kidney transplantation, patients require long-term immunosuppression. Due to immunosuppressive therapy, the development of malignancies is more common in solid organ transplant recipients than in the general population. Because renal transplantation has been performed for many decades—much longer than other solid organ transplants—data on malignancies in kidney allograft recipients are the most comprehensive. Malignancies are the third most common cause of death in kidney allograft recipients, after cardiovascular disease and infections. In kidney allograft recipients, malignancies may develop de novo, be transmitted with the transplanted organ, or arise from previously present but undiagnosed cancers in the recipient. Over 90% of malignancies in renal allograft recipients are de novo. In this review, we first present the epidemiology of malignancies after kidney transplantation. Subsequently, the most common urinary tract malignancies, along with their diagnosis, treatment, and screening, are discussed. We also outline the limitations of the published data, propose research priorities, and identify existing gaps and unmet needs. Full article
(This article belongs to the Special Issue Cancer After Kidney Transplant)
Show Figures

Figure 1

20 pages, 963 KB  
Article
Subsequent Primary Neoplasms and Mortality Among Survivors of Childhood Cancer in Alberta, Canada
by King Wa Tam, Tona M. Pitt, Kathleen Reynolds, Maria Spavor, Tony H. Truong, Jennifer Giles, Gregory M. T. Guilcher, Natalie Logie, Iqra Rahamatullah, Fiona Schulte and Miranda M. Fidler-Benaoudia
Cancers 2026, 18(4), 694; https://doi.org/10.3390/cancers18040694 - 20 Feb 2026
Viewed by 517
Abstract
Background: While research shows childhood cancer survivors experience elevated subsequent primary neoplasm (SPN) and premature mortality risks, few studies have included contemporary survivors. Methods: This study quantifies the risk of SPNs and mortality among modern survivors of childhood cancer. Utilizing a [...] Read more.
Background: While research shows childhood cancer survivors experience elevated subsequent primary neoplasm (SPN) and premature mortality risks, few studies have included contemporary survivors. Methods: This study quantifies the risk of SPNs and mortality among modern survivors of childhood cancer. Utilizing a retrospective, population-based cohort of individuals diagnosed with cancer before the age of 18 in Alberta, Canada (2001–2018), we evaluated their risks of SPNs and mortality compared to the general population in Alberta, overall and after 5-year survival, using standardized mortality and incidence ratios, and absolute excess risks per 10,000 person-years. Results: Among 2581 survivors, including 1385 5-year survivors, 50 individuals developed at least one SPNs and 408 deaths were observed, with 21 SPNs and 38 deaths occurring after 5-year survival. The SPN incidence was 13.3- (95% CI: 9.8–17.5) and 10.0-fold (95% CI: 6.2–15.2) higher than expected overall and in 5-year survivors, respectively, with risks varying depending on the treatment received. For mortality, survivors experienced 62.5-fold (95% CI: 56.5–68.8) higher mortality than expected overall, equating to 233.9 (95% CI: 210.8–257.0) excess deaths per 10,000 person-years, with corresponding risks among 5-year survivors at 10.9 (95% CI: 7.7–15.0) and 43.8 (95% CI: 28.4–59.1), respectively. The excess deaths were predominantly due to recurrence/progression (89.9% overall, 66.4% in 5-year survivors), with SPNs and non-neoplastic causes contributing more excess deaths with increasing follow-up time. Risks for mortality included treatment and cancer type. Conclusions: Contemporary childhood cancer survivors in Alberta experience substantial excess SPNs and mortality, highlighting the need for long-term surveillance and tailored risk mitigation interventions. Full article
(This article belongs to the Section Pediatric Oncology)
Show Figures

Figure 1

19 pages, 1049 KB  
Review
Image-Guided Adaptive Brachytherapy for Uterine Cancer: A Comprehensive Review
by Yi-Ching Chen and Chi-Yuan Yeh
Cancers 2026, 18(4), 693; https://doi.org/10.3390/cancers18040693 - 20 Feb 2026
Viewed by 557
Abstract
Background/Objectives: Image-guided adaptive brachytherapy (IGABT) has transformed the standard of care for locally advanced cervical cancer (LACC), enabling volumetric target definition and dose–volume histogram (DVH)-based planning to improve pelvic tumor control while limiting severe late toxicity. Methods: A comprehensive literature search [...] Read more.
Background/Objectives: Image-guided adaptive brachytherapy (IGABT) has transformed the standard of care for locally advanced cervical cancer (LACC), enabling volumetric target definition and dose–volume histogram (DVH)-based planning to improve pelvic tumor control while limiting severe late toxicity. Methods: A comprehensive literature search of PubMed/MEDLINE and Embase was done for articles published up to August 2024, using combinations of the following keywords and Medical Subject Heading (MeSH) terms: “cervical cancer”, “endometrial cancer”, “vaginal cancer”, “uterine neoplasms”, “brachytherapy”, “high-dose-rate”, “image-guided”, “MRI-guided”, “3D brachytherapy”, “IGABT”, “interstitial”, “locoregional control”, “toxicity”, “quality of life”, and “patient-reported outcomes”. Results: We summarized the contemporary evidence on IGABT for cervical, endometrial, and primary or recurrent vaginal cancers, focusing on local control, survival, late morbidity, and patient-reported outcomes. We described the key target volume concepts (gross tumor volume, high- and intermediate-risk clinical target volumes), and the role of MRI-, CT-, and ultrasound-based planning with intracavitary, intracavitary–interstitial, and interstitial applicators. Conclusions: Image-guided adaptive brachytherapy has redefined the standard of care for the management of locally advanced cervical cancer. Through the integration of volumetric target concepts, DVH-based dose reporting, and advanced imaging, IGABT has enabled consistent dose escalation to the residual tumor while accounting for organ-at-risk constraints, resulting in high local control rates and reduced severe morbidity compared with historical 2D brachytherapy. Full article
Show Figures

Figure 1

14 pages, 4266 KB  
Article
Beyond the T: Volumetric MRI Predicts Lymphatic Spread in Oral Squamous Cell Carcinoma
by Philipp Thoenissen, Davide Giardino, Ibrahim Yel, Thomas J. Vogl, Scherwin Mahmoudi, Andreea I. Nica, Julian Diers, Max Fleischmann, Christian Issing, Robert Sader, Rossano Girometti, Tommaso D’angelo, Christian Booz and Shahram Ghanaati
Cancers 2026, 18(4), 692; https://doi.org/10.3390/cancers18040692 - 20 Feb 2026
Viewed by 408
Abstract
Purpose: To assess the relationship between primary tumor volume, the spatial distribution of cervical lymph node metastases, and TNM (Tumor, node, metastasis) staging in patients with oral squamous cell carcinoma (OSCC) based on high-resolution MRI. Methods: This retrospective analysis evaluated 116 predominantly male [...] Read more.
Purpose: To assess the relationship between primary tumor volume, the spatial distribution of cervical lymph node metastases, and TNM (Tumor, node, metastasis) staging in patients with oral squamous cell carcinoma (OSCC) based on high-resolution MRI. Methods: This retrospective analysis evaluated 116 predominantly male (62.9%) patients (age 67.7 ± 11.5 years) with histologically confirmed OSCC who underwent surgical resection with neck dissection or definitive chemoradiation. MRI-based volumetry and center-to-center distance measurements between primary tumor and cervical lymph node metastases were performed using 3D postprocessing software. Results: Tumor-to-lymph node center-to-center distances ranged from 11.7 to 117.3 mm (median: 44.8 mm; interquartile range [IQR]: 32.1–59.6 mm). Primary tumor volume ranged from 0.5 to 87.2 cm3 (median: 13.3 cm3; IQR: 6.4–21.5 cm3) and was higher in male patients. A significant association was observed between tumor volume and both lymph node distance and pT-stage (p < 0.0001). The association between tumor volume and tumor–node distance was stronger (Spearman’s r = 0.4541, p < 0.0001) than that between pT-stage (TNM classification) and nodal distance (Spearman’s r coefficient =0.2682, p = 0.0036). Conclusion: MRI-based assessment indicated that tumor volume has a stronger association with the spatial extent of lymph node metastases compared with T-stage alone. Larger tumors were associated with greater distances to metastatic lymph nodes. These findings highlight the value of quantitative 3D MRI-based volume and distance analyses in potentially improving surgical and radiotherapeutic planning. Full article
(This article belongs to the Special Issue The Biomarkers of Oral Cancer)
Show Figures

Figure 1

3 pages, 297 KB  
Editorial
Do DNA Repair Gene Mutations Cause Clonal Hematopoiesis?
by Dik C. van Gent and Zofia M. Komar
Cancers 2026, 18(4), 691; https://doi.org/10.3390/cancers18040691 - 20 Feb 2026
Viewed by 391
Abstract
The maintenance of genome integrity by DNA damage response (DDR) mechanisms is indispensable to sustain life [...] Full article
(This article belongs to the Section Molecular Cancer Biology)
Show Figures

Figure 1

21 pages, 629 KB  
Review
The Development of Novel Treatment Strategies for Rhabdomyosarcoma
by Kenji Nakano
Cancers 2026, 18(4), 690; https://doi.org/10.3390/cancers18040690 - 19 Feb 2026
Viewed by 1016
Abstract
Rhabdomyosarcoma is a small round-cell soft tissue tumor that occurs mainly in pediatric and adolescent/young adult (AYA) patients but also rarely in adults. Multidisciplinary treatments including multidrug therapy and local therapy (surgery and/or radiation) are the current standard of care, and treatment strategies [...] Read more.
Rhabdomyosarcoma is a small round-cell soft tissue tumor that occurs mainly in pediatric and adolescent/young adult (AYA) patients but also rarely in adults. Multidisciplinary treatments including multidrug therapy and local therapy (surgery and/or radiation) are the current standard of care, and treatment strategies are determined according to the estimated risk based on the patient’s age, site of onset, and histologic type, as well as the disease stage. New treatment developments in recent years have been based on risk; lower cumulative doses of alkylating agents to reduce late toxicity for low-risk patients are being studied, and long-term maintenance therapy or the addition of new drugs inhibitors to standard multidisciplinary therapy for intermediate- to high-risk patients have been investigated. For high-risk and metastatic patients, novel molecular targeted drug candidates are being evaluated. The target candidates for rhabdomyosarcoma have included the RAS-signaling pathway, ALK, NTRK, FGFR, and MSI-High. In addition, fusion genes (e.g., PAX3/7-FOXO1), which play an important role in diagnostic and prognostic factors, are also being investigated as potential therapeutic targets as their underlying backgrounds are gradually becoming clear. This review summarizes the overall picture of the development of novel therapies for rhabdomyosarcoma and discusses the direction that should be taken in the future. Full article
(This article belongs to the Special Issue Recent Research on Soft Tissue Sarcomas)
Show Figures

Graphical abstract

19 pages, 3691 KB  
Article
FIGO 2018 Versus Ontogenetic Staging for Locally Advanced Cervical Cancer: An International Multicenter Cohort Study Comparing the Two Classifications and Their Prognostic Implications
by Bruno Rezende, Benjamin Wolf, Vinicius Colman, Rivadavio de Oliveira, Svetlana Kulikova and Pavel Sorokin
Cancers 2026, 18(4), 689; https://doi.org/10.3390/cancers18040689 - 19 Feb 2026
Viewed by 479
Abstract
Background/Objective: The aim of this study was to compare two different staging systems (FIGO 2018 and ontogenetic staging) for cervical cancer in a locally advanced setting and to determine which one provides better prognostic stratification and a stronger association with oncological outcomes. Methods: [...] Read more.
Background/Objective: The aim of this study was to compare two different staging systems (FIGO 2018 and ontogenetic staging) for cervical cancer in a locally advanced setting and to determine which one provides better prognostic stratification and a stronger association with oncological outcomes. Methods: A multicenter retrospective cohort study was conducted in patients with cervical cancer (FIGO 2018 stages IIB-IVA) primarily treated with chemoradiotherapy. The primary endpoint was the difference in accuracy for predicting cancer-specific survival at 3 years between the ontogenetic tumor staging system and the FIGO 2018 staging system. Secondary endpoints assessed the same difference in prognostic power with respect to recurrence-free survival and overall survival. Results: Of 341 patients with locally advanced cervical cancer, the ontogenetic tumor staging system demonstrated superior prognostic performance compared to the FIGO 2018 system. The ontogenetic system showed clear separation of Kaplan–Meier curves for recurrence-free, overall, and cancer-specific survival, unlike the overlapping FIGO 2018 survival curves. Multivariable Cox models controlling clinicopathological factors revealed a progressive, significant worsening of cancer-specific survival across ontogenetic tumor (oT) stages, which was not observed with FIGO staging. Formal comparisons using Harrell’s C-index, time-dependent areas under the curve (AUC), and Akaike’s information criterion confirmed the ontogenetic model’s significantly better discriminative ability and fit. Furthermore, ontogenetic staging provided significant risk stratification within the FIGO IIIC nodal-positive group and among patients with parametrial invasion, demonstrating its refined prognostic utility. Conclusions: Ontogenetic tumor staging can be effectively applied using imaging alone and was superior to the FIGO 2018 classification in this study. Full article
(This article belongs to the Section Clinical Research of Cancer)
Show Figures

Figure 1

32 pages, 5476 KB  
Article
Chromosome 3p Deletion Leads to Extensive Genomic Alterations in Diverse Cancers and Confers Synthetic Lethality in Uveal Melanoma
by Mitchell C. Cutler, Porter B. Howland, Miroslav Hejna and Jun S. Song
Cancers 2026, 18(4), 688; https://doi.org/10.3390/cancers18040688 - 19 Feb 2026
Viewed by 604
Abstract
Background: Chromosome 3p (chr3p) is frequently deleted in multiple cancers, indicating the presence of shared tumor suppressors. In aggressive uveal melanomas (UVM), this deletion often co-occurs with chr8q amplification (8q+), suggesting strong selection pressure during UVM evolution. Methods: To understand the pattern of [...] Read more.
Background: Chromosome 3p (chr3p) is frequently deleted in multiple cancers, indicating the presence of shared tumor suppressors. In aggressive uveal melanomas (UVM), this deletion often co-occurs with chr8q amplification (8q+), suggesting strong selection pressure during UVM evolution. Methods: To understand the pattern of genomic alterations mediated by chr3p deletion, we have developed an algorithm for detecting isochromosomes in 10,632 TCGA cancer patients. We further perform integrative genomics analysis to investigate how chr3p deletion could affect subsequent cancer genome evolution and synthetic lethality in UVM. Results: Analysis of genomic alterations in 33 different cancer types implicates the deletion or deleterious mutations of SET-domain-containing 2 (SETD2) at chr3p21 in significantly facilitating the formation of isochromosomes, thereby promoting genomic instability conducive to rapid cancer genome evolution. Fracturing of dicentric isochromosomes during cell division is pervasive and follows the dynamic fragmentation pattern of solids under impulse. In the most aggressive UVM subtype, chr3 deletion includes MITF, a master regulator of melanocyte survival and differentiation, and co-occurs with 8q+. We demonstrate that MITF is a master transcriptional regulator of GNAQ/GNA11 and associated synthetic-lethal genes in UVM. MITF maintains MAPK and calcium homeostasis in UVM, and its hemizygous deletion is thus accidental, likely creating an early crisis during oncogenesis. We further show that MITF, MYC, and GNAQ/GNA11 form coupled regulatory feedback loops in the melanocyte lineage, and MITF deletion in UVM creates acute dependency on MYC-mediated rescue via 8q+. The discovered feedback loops predict both overall and relapse-free patient survival within the most aggressive UVM subtype, explain sensitivity to therapeutic gene perturbations, and inform effective combinatorial therapies. Conclusions: SETD2 deletion potentiates isochromosome formation across diverse cancers. Combinatorial targeting of MITF together with a previously identified synthetic lethal gene may benefit UVM patients harboring both chr3 deletion and 8q+. Full article
(This article belongs to the Section Cancer Informatics and Big Data)
Show Figures

Figure 1

17 pages, 2052 KB  
Article
Signatures of Pancreatic Ductal Adenocarcinoma Uncovered by Integrative Multi-Omics Analysis
by Benjamin Miao, Tung-Shing Mamie Lih, Yingwei Hu and Hui Zhang
Cancers 2026, 18(4), 687; https://doi.org/10.3390/cancers18040687 - 19 Feb 2026
Cited by 1 | Viewed by 575
Abstract
Background—Pancreatic ductal adenocarcinoma (PDAC) is among the deadliest malignancies, with a dismal 5-year survival rate. Despite continuous efforts to study its molecular signatures, the high degree of tumor-associated cellular heterogeneity in PDAC introduces extraneous microenvironmental components that complicate analysis. In recent years, [...] Read more.
Background—Pancreatic ductal adenocarcinoma (PDAC) is among the deadliest malignancies, with a dismal 5-year survival rate. Despite continuous efforts to study its molecular signatures, the high degree of tumor-associated cellular heterogeneity in PDAC introduces extraneous microenvironmental components that complicate analysis. In recent years, multi-omics approaches have shown promise in deconvoluting cellular composition and enabling more specific, comprehensive cancer profiling. Method—To better characterize PDAC, we analyzed transcriptomic and proteomic data from 140 tumor tissues with 67 paired normal adjacent tissues and single-cell RNA sequencing data from 73 tumor tissues. Results—Using this approach, we successfully attributed molecular signatures to distinct cell-type populations. Overall, we found 59 tumor-cell-derived PDAC molecular signatures and evaluated them for functional relevance, prognostic value, and potential therapeutic implications. Among these, we identified molecular features associated with increased tumorigenic activity and immunosuppression. Moreover, survival analysis of protein phosphorylation and overall expression informed prognostic significance for potential therapeutic targets. Notably, we found that several phosphorylation changes correlate with poor patient survival, suggesting potential paths for therapeutic intervention by targeting protein post-translational modifications. Conclusion—Our study provides a detailed understanding of PDAC by characterizing key tumor-specific signatures that could serve as potential targets to improve clinical outcomes for this disease. Full article
Show Figures

Figure 1

Previous Issue
Next Issue
Back to TopTop