Skip to Content

Forests, Volume 17, Issue 2

2026 February - 139 articles

Cover Story: The aim of this research was to investigate the extractive content of bark beetle-attacked and dead wind-damaged Norway spruce trees relative to healthy trees, in order to assess their potential for extractives recovery. After harvesting, three discs were dissected along the stem height of each tree, and samples of sapwood, heartwood, knots, and bark were collected. Sequential extraction of the samples was performed using cyclohexane and acetone–water mixture in an accelerated solvent extractor. Lipophilic and hydrophilic extractives were determined gravimetrically, while total phenols and proanthocyanidins were measured by UV–Vis spectrophotometry. Results showed that knotwood contained the highest amounts of hydrophilic extractives and total phenols among investigated tissues. View this paper
  • Issues are regarded as officially published after their release is announced to the table of contents alert mailing list .
  • You may sign up for email alerts to receive table of contents of newly released issues.
  • PDF is the official format for papers published in both, html and pdf forms. To view the papers in pdf format, click on the "PDF Full-text" link, and use the free Adobe Reader to open them.

Articles (139)

  • Article
  • Open Access
265 Views
19 Pages

23 February 2026

Accurate prediction of spring phenology is critical for understanding ecosystem carbon and water dynamics under changing climates. In this study, we applied a revised optimality-based model (R-OPT) that integrates a mechanistic photosynthesis framewo...

  • Review
  • Open Access
352 Views
23 Pages

23 February 2026

X-ray computed microtomography (µCT) provides an important complement to optical imaging for understanding the three-dimensional (3D) organization and function of xylem and wood. Unlike conventional sectioning, µCT is a non-destructive pr...

  • Article
  • Open Access
267 Views
17 Pages

23 February 2026

Taxus cuspidata is a threatened subalpine conifer in South Korea, necessitating evidence-based restoration strategies to counter the impacts of climate change. In this study, we assessed 13 natural populations using 15 polymorphic nuclear simple sequ...

  • Article
  • Open Access
228 Views
18 Pages

22 February 2026

Thermo-hydro-mechanical (THM) densification is an effective method for improving the mechanical performance of low-density, fast-growing hardwoods such as poplar. This study examined the bending performance of THM-densified poplar wood at different c...

  • Article
  • Open Access
256 Views
19 Pages

21 February 2026

The application of forestry waste as organic mulch on soil represents an increasingly recognized management practice. However, studies on how different mulching strategies regulate soil fertility and microbial community responses remain limited. In t...

  • Article
  • Open Access
206 Views
17 Pages

21 February 2026

Heartwood proportion (HWP) and specific gravity (SG) are two important properties of Dalbergia retusa and Platymiscium curuense wood, which is considered to be of high value. The objective of this study was to establish which morphological and soil f...

  • Article
  • Open Access
202 Views
21 Pages

21 February 2026

Forest fire occurrence prediction remains challenging despite advances in operational fire danger rating systems. In South Korea, the Korea Forest Fire Danger Rating Index (KFDRI) incorporates meteorological conditions, terrain (elevation, aspect), a...

  • Article
  • Open Access
236 Views
18 Pages

19 February 2026

Silver fir bark (Abies alba Mill.) is an underutilized renewable resource containing valuable extractives and polyphenols of industrial importance. This study compared the influence of two storage methods on the extraction of total hydrophilic extrac...

  • Article
  • Open Access
225 Views
20 Pages

Real-Time IoT-Enabled Decision Support for Forest Supply Chains: An Optimization-Simulation Approach to Mitigating Wildfire Risk

  • Reinaldo Gomes,
  • Bernardine Chigozie Chidozie,
  • João C. O. Matias and
  • Ruxanda Godina Silva

19 February 2026

Climate change has intensified wildfire risk, creating an urgent need for integrated, data-driven tools that connect forest operations with fuel-reduction strategies. This paper introduces a real-time IoT-enabled Decision Support System (DSS) that un...

  • Article
  • Open Access
254 Views
22 Pages

19 February 2026

Projections of species distribution shifts induced by climate change are essential for adaptive management, yet regional-scale projections that explicitly address uncertainty remain underexplored. Future habitat suitability for Larix principis-ruppre...

  • Article
  • Open Access
237 Views
24 Pages

Multi-Scenario Recognition and Detection Model in National Parks Based on Improved YOLOv8

  • Xiongwei Lou,
  • Zixuan Qin,
  • Hanbao Lou,
  • Xinyu Zheng,
  • Linhao Sun,
  • Faneng Wang,
  • Dasheng Wu,
  • Sheng Chen and
  • Guangyu Jiang

19 February 2026

With the advancement of unmanned aerial vehicle (UAV) technology, its use in ecological monitoring and safety management of national parks has expanded significantly. However, object detection in complex scenes remains challenging due to environmenta...

  • Article
  • Open Access
266 Views
15 Pages

Interactions Between Snow Cover and Forest Composition Drive Seasonal and Regional Variability in Soil Thermal Regimes of Hemiboreal Forests in the Eastern Baltic Region

  • Andris Seipulis,
  • Kristīne Riekstiņa,
  • Kārlis Bičkovskis,
  • Didzis Elferts,
  • Endijs Bāders,
  • Roberts Matisons and
  • Oskars Krišāns

18 February 2026

Wind disturbance is the major driver of forest damage in Northern Europe, particularly during late autumn and winter when cyclonic activity might coincide with unfrozen soil conditions. We quantified the thermal regime of periodically waterlogged min...

  • Article
  • Open Access
232 Views
16 Pages

18 February 2026

The aim of this study was to examine the level of participation of residents of the Warsaw metropolitan area in environmental education and to identify the relationship between the frequency of forest visits and self-assessed environmental and forest...

  • Article
  • Open Access
188 Views
18 Pages

Genome-Wide Identification of Members of the Juglans mandshurica Maxim. HD-Zip Gene Family and Their Responses to Light Intensity

  • Xinye Gu,
  • Dadi Liu,
  • Wenbo Li,
  • Shuai Zhu,
  • Xinxin Zhang,
  • Mulualem Tigabu,
  • Xiaona Pei,
  • Xiyang Zhao and
  • Yuxi Li

18 February 2026

Homeodomain-Leucine Zipper (HD-Zip) constitutes a distinct class of plant-specific transcription factors (TFs) that serves an essential function in mediating plant responses to environmental cues, with the HD-Zip II subfamily recognized as a major re...

  • Article
  • Open Access
268 Views
19 Pages

18 February 2026

Accurate monitoring of aboveground biomass (AGB) is essential for forest carbon accounting and climate change mitigation, yet signal saturation and the treatment of forest landscapes as biophysically homogeneous entities remain significant barriers t...

  • Article
  • Open Access
312 Views
22 Pages

Tree Geo-Positioning in Coniferous Forest Plots: A Comparison of Ground Survey and Laser Scanning Methods

  • Lina Beniušienė,
  • Donatas Jonikavičius,
  • Monika Papartė,
  • Marius Aleinikovas,
  • Iveta Varnagirytė-Kabašinskienė,
  • Ričardas Beniušis and
  • Gintautas Mozgeris

18 February 2026

Accurate spatial information on individual tree locations is essential for precision forestry, the integration of field and remote sensing data, and tree-level forest analyses. This study compared the positional accuracy and tree identification perfo...

  • Article
  • Open Access
213 Views
21 Pages

Integrating Remotely Sensed Data to Reconcile Gaps in Growing Stock Volume Accounting for National Forest Inventory

  • Temitope Olaoluwa Omoniyi,
  • Allan Sims,
  • Ronald E. McRoberts and
  • Mercy Ajayi-Ebenezer

18 February 2026

National forest inventory (NFI) data are often collected over a 5-year or 10-year period, meaning some are already outdated by the time the complete results are available. This study assesses changes in growing stock volume (GSV, m3/ha) using hybrid...

  • Article
  • Open Access
308 Views
16 Pages

Bioactive Compounds in Cornus mas L. and Juniperus communis L.

  • Anna Przybylska-Balcerek and
  • Kinga Stuper-Szablewska

17 February 2026

The growing interest in plant-derived bioactive compounds has intensified research on traditional but underexplored species as potential sources of health-promoting metabolites. This study aimed to compare the phytochemical profiles and antioxidant p...

  • Article
  • Open Access
293 Views
22 Pages

Genotypic and Silvicultural Controls on Wind Damage, Failure Mode, and Productivity in a Radiata Pine Trial Following Cyclone Gabrielle

  • Michael S. Watt,
  • Kate Halstead,
  • Tommaso Locatelli,
  • Nicolò Camarretta,
  • Sadeepa Jayathunga and
  • Juan C. Suárez

17 February 2026

Storm damage poses an increasing risk to radiata pine (Pinus radiata D. Don) plantations in New Zealand as extreme wind events intensify under climate change. This study quantified wind damage following ex-tropical Cyclone Gabrielle in a seven-year-o...

  • Article
  • Open Access
239 Views
17 Pages

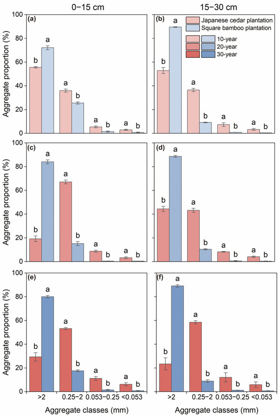
Forest Type Regulates Soil Aggregate Stability and Soil Organic Carbon Stabilization in Subtropical Plantations

  • Xinyu Wei,
  • Jie Xiao,
  • Yuan Gong,
  • Jiaming Chang,
  • Lulu Xia,
  • Ye Hu,
  • Wei Liu and
  • Xiang Nong

16 February 2026

The influence of forest type on soil aggregates distribution, stability, and the contribution of aggregate-associated carbon (C) to bulk soil organic carbon (SOC) remains poorly understood. This may be crucial for the accumulation and persistence of...

  • Review
  • Open Access
440 Views
25 Pages

16 February 2026

Climate-smart forestry (CSF) is a comprehensive approach that aims to sustainably enhance wood productivity (production), improve forest resilience and adaptation, sequester carbon (mitigation), and support broader development goals. This strategy is...

  • Article
  • Open Access
338 Views
24 Pages

Mapping Spatial Drivers of Predicted Active Fires Kernel Density with Geographically Weighted Regression in Mexico

  • Norma Angélica Monjarás-Vega,
  • Daniel José Vega-Nieva,
  • Carlos Ivan Briones-Herrera,
  • Jaime Briseño-Reyes,
  • José Javier Corral-Rivas,
  • Pablito Marcelo López-Serrano,
  • Marín Pompa-García,
  • Julián Cerano-Paredes,
  • Diego Rafael Pérez Salicrup and
  • Ernesto Alvarado-Celestino
  • + 1 author

16 February 2026

Despite the need to understand the spatial variation in human and biophysical drivers of fire spread, studies aimed at predicting remotely sensed fire kernel density at multiple scales are still relatively scarce. The current study aimed at the predi...

  • Article
  • Open Access
294 Views
19 Pages

ALS and SfM Field Data Survey as a Basis of Forest Road Design

  • Ivica Papa,
  • Luka Hodak,
  • Maja Popović,
  • Andreja Đuka,
  • Tibor Pentek and
  • Mihael Lovrinčević

16 February 2026

Field data of high accuracy and precision is the basis for creating the high-quality design of a forest road. In this study, three survey methods for collecting field data were tested: ALS UAV, LiDAR data of the Republic of Croatia, collected by airp...

  • Article
  • Open Access
258 Views
19 Pages

16 February 2026

Prunus sibirica L. is a key ecological and economic tree species in northern China that is threatened by habitat degradation due to climate change and human activities. To address the gaps of incomplete historical dynamics and lack of conservation in...

  • Article
  • Open Access
178 Views
21 Pages

15 February 2026

Under strict ecological protection regimes, identifying development pathways that can be integrated into forest governance without undermining conservation boundaries remains a critical challenge. This study adopts a qualitative case-study approach t...

  • Article
  • Open Access
153 Views
23 Pages

15 February 2026

Pine wilt disease poses a significant threat to forest ecosystems. This study evaluates the efficacy and economic–ecological benefits of its control measures in Weihai City, China, from 2019 to 2022. Employing disaster economics theory and a si...

  • Article
  • Open Access
200 Views
17 Pages

15 February 2026

Old trees function as enduring ecological legacies that preserve historical biodiversity within intensively human-modified landscapes, yet the relative influence of environmental versus anthropogenic drivers on their diversity remains unclear. Here,...

  • Article
  • Open Access
229 Views
26 Pages

Optimization of Planting Trees Can Improve Thermal Comfort in Historic Districts

  • Suming Guo,
  • Yuyan Lin,
  • Meiling Feng,
  • Mu He and
  • Xinyi Zhu

15 February 2026

Under the dual pressures of global climate change and rapid urbanization, historic districts face the challenge of improving livability and adapting to climate conditions while preserving their historical fabric. While street greening is recognized a...

  • Article
  • Open Access
214 Views
18 Pages

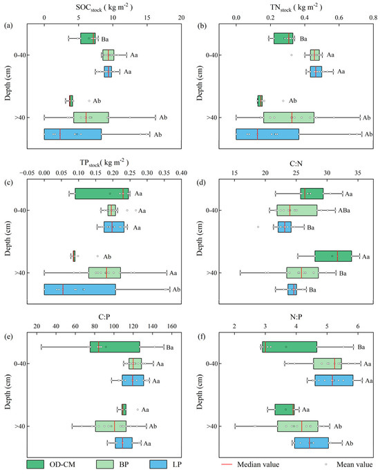
Deep Soil as a Critical Nutrient Reservoir: Different C–N–P Stoichiometry and Drivers Between Surface and Subsoil in the Loess Plateau, China

  • Yugang Guo,
  • Tianyu Hao,
  • Jianhao Song,
  • Xiang Fan,
  • Jingyue Xiao,
  • Yuanyuan Wang,
  • Dingning Wang,
  • Jiahui Luo,
  • Zhongke Bai and
  • Ziqiang Liu

15 February 2026

Soil stoichiometric characteristics serve as key indicators for assessing soil nutrient status and quality. Previous studies have predominantly focused on surface soil (0–40 cm), with limited understanding of deep soil (>40 cm) stoichiometri...

  • Article
  • Open Access
301 Views
30 Pages

15 February 2026

Monitoring multi-temporal forest vertical structure in anthropogenically disturbed and topographically complex landscapes remains a major challenge, particularly when low-cost remote sensing technologies are used. This study aims to quantify forest v...

  • Article
  • Open Access
306 Views
12 Pages

15 February 2026

Agarwood is highly valued; however, its formation process is relatively slow. In this study, carbon isotope labeling was used to investigate the effects of girdling on agarwood formation. The starch, soluble sugar, and essential oil contents of the s...

  • Article
  • Open Access
218 Views
21 Pages

Ecology-Oriented Assessment of Temporal Stumping Effects on Soil Respiration in the Kubuqi Desert

  • Congyu Chen,
  • Haichao Wang,
  • Zhiyong Pei,
  • Hengkai Li,
  • Jixuan Wang and
  • Suhe Alateng

14 February 2026

Given the significant regulatory effect of stumping on carbon exchange processes in the vegetation–soil system, this study conducted a one-year continuous observation of soil respiration in Salix psammophila stands starting six months after stu...

  • Article
  • Open Access
253 Views
20 Pages

Mathematical Models for Studying Growth of Retrophyllum rospigliosii in Agroforestry Systems with Coffee: A Case Study in Northern Peru

  • Jhon F. Oblitas-Troyes,
  • Candy Lisbeth Ocaña-Zúñiga,
  • Lenin Quiñones-Huatangari,
  • Teiser Sánchez-Fuentes,
  • Nilton Atalaya-Marin,
  • Darwin Gómez-Fernández,
  • Victor H. Taboada-Mitma,
  • Daniel Tineo and
  • Malluri Goñas

14 February 2026

Romerillo (Retrophyllum rospigliosii), a vulnerable conifer native to the cloud forests of Cajamarca, Peru, persists in small remnants at high altitudes in San Ignacio province, where its integration into agroforestry systems may support both conserv...

  • Article
  • Open Access
180 Views
10 Pages

14 February 2026

Nighttime temperatures in the Afro-alpine zone (>2050 m) of Kahuzi-Biega National Park frequently fall below 5 °C. However, the thermal advantages provided by night nests of Grauer’s gorilla, Gorilla beringei graueri along this elevation...

  • Article
  • Open Access
247 Views
22 Pages

Quantifying Bilberry Counts and Densities: A Comparative Assessment of Segmentation and Object Detection Models from Drone and Camera Imagery

  • Susanna Hyyppä,
  • Josef Taher,
  • Harri Kaartinen,
  • Teemu Hakala,
  • Kirsi Karila,
  • Leena Matikainen,
  • Marjut Turtiainen,
  • Antero Kukko and
  • Juha Hyyppä

13 February 2026

Nordic forest management is increasingly emphasizing multi-functional goals, expanding beyond timber production towards non-wood forest products such as wild berries. Wild berry yield maps are based on sample plot data combined with meteorological, r...

  • Review
  • Open Access
501 Views
39 Pages

A Review of Low-Temperature Plasma for Surface Engineering of Biomass Materials

  • Yanghong Zhang,
  • Yan Ma,
  • Jianhua Wu,
  • Youqing Wu,
  • Yanjun Li,
  • Lei Xu and
  • Zhichao Lou

13 February 2026

The inherent surface limitations of biomass materials restrict their use in high-performance composites, highlighting the need for effective surface modification. Low-temperature plasma technology has emerged as a promising solution owing to its rapi...

  • Article
  • Open Access
205 Views
29 Pages

13 February 2026

Under the imperative of carbon emission mitigation, digital trade, emerging as a fusion of digital technologies and international commerce, has become a pivotal conduit for advancing sustainable development. This study constructs an innovative and co...

  • Article
  • Open Access
291 Views
15 Pages

Preliminary Metrological Characterization of Low-Cost MEMS Inclinometer for Tree Stability Assessment: From Laboratory to Field

  • Ilaria Incollu,
  • Francesca Giannetti,
  • Yamuna Giambastiani,
  • Andrea Giachetti,
  • Hervè Atsè Corti,
  • Tommaso Tognetti,
  • Gianni Bartoli and
  • Filippo Giadrossich

13 February 2026

Urban trees provide important benefits but can also pose safety risks when stability is reduced. Visual Tree Assessment (VTA) is typically the first step in risk analysis and is sometimes complemented by instrumental methods such as dynamic and stati...

  • Article
  • Open Access
226 Views
25 Pages

13 February 2026

Mixed forests provide several ecosystem service benefits, and they also often show higher productivity than pure forests. In mixed forests, several interactions among tree species occur, with size-symmetric and size-asymmetric competition being parti...

  • Article
  • Open Access
244 Views
13 Pages

Analyzing Social Service Provision Experience and Perceptions of Forest Welfare Professionals

  • Mijin Lee,
  • Soojin Kim,
  • Jeonghee Lee,
  • Jinyoung Jeon and
  • Yeonhee Lee

13 February 2026

Forest welfare services are public services derived from forests that contribute to physical, emotional, and social health, ultimately aiming to improve quality of life. This study aimed to empirically analyze the qualifications of forest welfare pro...

  • Article
  • Open Access
169 Views
15 Pages

13 February 2026

Phyllostachys edulis (P. edulis) expansion threatens the structure and function of subtropical forests. Yet, how it impacts soil microbial diversity and network topology has not been fully explored. Herein, a typical transect of P. edulis expansion i...

  • Article
  • Open Access
186 Views
20 Pages

Visitor Perceptions of Natural and Social Elements of the Tourist Experience—A Case of Two Landscapes of Outstanding Features

  • Nikola Božić,
  • Igor Trišić,
  • Snežana Štetić,
  • Svetlana D. Živković-Radeta,
  • Florin Nechita and
  • Brankica Tabak

13 February 2026

Socio-cultural tourism factors include folk music, cuisine and gastronomic brands, domestic handicrafts, crafts, folk customs, events, local tourist culture and cultural–historical heritage, language, social life of residents, and other factors...

  • Article
  • Open Access
224 Views
30 Pages

12 February 2026

Global climate change is intensively altering precipitation regimes, with profound consequences for the structure and function of various terrestrial ecosystems. Soil microbes are a key driver of organic matter decomposition and nutrient cycling; how...

  • Article
  • Open Access
241 Views
20 Pages

12 February 2026

Traditional burn severity assessment methods have predominantly leveraged optical remote sensing data, yet such methods often overlook critical vegetation structural information inherent to post-fire ecosystems. Synthetic Aperture Radar (SAR) data of...

  • Article
  • Open Access
284 Views
18 Pages

11 February 2026

Cracks and holes are commonly found in wooden components, and ancient Chinese wooden buildings, represented by the Yingxian Wooden Pagoda, demonstrate the ability to work with defects. This study systematically investigated the effects of longitudina...

  • Article
  • Open Access
181 Views
16 Pages

Evaluation of the Mechanical Properties, Microstructure and Biological Resistance of Six Species of Wood Treated with Tannin-Boron Preservative

  • Kaiyuan Jiang,
  • Zehong Huang,
  • Jingwen Yan,
  • Lianqi Han,
  • Yongxin Yao,
  • Yuan Peng,
  • Yongjian Xie,
  • Dayu Zhang and
  • Chengyuan Pan

11 February 2026

Tannin-boron (TB) treatment is an effective method for enhancing the biological resistance of some types of wood, although knowledge regarding its efficacy as a preservative in a wider range of wood is limited. In this study, we investigated the effe...

  • Review
  • Open Access
365 Views
19 Pages

Bibliometric Analysis of Highly Cited Publications on Mangrove Sustainability

  • Mangala Jayarathne,
  • Takehiro Morimoto and
  • Manjula Ranagalage

11 February 2026

This bibliometric analysis synthesizes 39 years (1987–2025) worth of highly cited publications on mangrove sustainability, using 2465 publications from the Web of Science and Scopus. This study offers researchers and policymakers a clear map of...

  • Article
  • Open Access
244 Views
28 Pages

10 February 2026

Green spaces (GS) play a pivotal role in promoting ecological sustainability and enhancing public well-being. However, traditional park green spaces (PGS), characterized by centralized layouts, often fail to meet the spatially diverse needs of urban...

  • Article
  • Open Access
177 Views
14 Pages

Viscoelastic Behaviour of a Sixteenth-Century Panel Painting: Experimental Analysis and Bilayer Modelling

  • Paola Mazzanti,
  • Joseph Gril,
  • Lorenzo Riparbelli,
  • Luciano Ricciardi,
  • Sandra Rossi and
  • Marco Fioravanti

10 February 2026

This research focuses on the analysis of the viscoelastic (VE) behaviour of panel paintings (PPs), which are artworks made of various materials. Each PP is different from others because of their unique assembly, the changes due to the passage of time...

of 3

XFacebookLinkedIn
Forests - ISSN 1999-4907