Journal Description
Sustainability
Sustainability
is an international, peer-reviewed, open-access journal on environmental, cultural, economic, and social sustainability of human beings, published semimonthly online by MDPI. The Canadian Urban Transit Research & Innovation Consortium (CUTRIC), International Council for Research and Innovation in Building and Construction (CIB) and Urban Land Institute (ULI) are affiliated with Sustainability and their members receive discounts on the article processing charges.
- Open Access— free for readers, with article processing charges (APC) paid by authors or their institutions.
- High Visibility: indexed within Scopus, SCIE and SSCI (Web of Science), GEOBASE, GeoRef, Inspec, RePEc, CAPlus / SciFinder, and other databases.
- Journal Rank: JCR - Q2 (Environmental Studies) / CiteScore - Q1 (Geography, Planning and Development)
- Rapid Publication: manuscripts are peer-reviewed and a first decision is provided to authors approximately 19.3 days after submission; acceptance to publication is undertaken in 3.4 days (median values for papers published in this journal in the first half of 2025).
- Recognition of Reviewers: reviewers who provide timely, thorough peer-review reports receive vouchers entitling them to a discount on the APC of their next publication in any MDPI journal, in appreciation of the work done.
- Testimonials: See what our editors and authors say about Sustainability.
- Companion journals for Sustainability include: World, Sustainable Chemistry, Conservation, Future Transportation, Architecture, Standards, Merits, Bioresources and Bioproducts and Accounting and Auditing.
Impact Factor:
3.3 (2024);
5-Year Impact Factor:
3.6 (2024)
Latest Articles
Integration of Digital Twin Technologies in Urban Regeneration of a Small Historic Town in Europe
Sustainability 2025, 17(23), 10740; https://doi.org/10.3390/su172310740 (registering DOI) - 1 Dec 2025
Abstract
Digital twin technologies integrate data, models, and physical entities. The paper explores technologies applied in the Urban Digital Twin (UDT) to support Urban regeneration (UR), with a case study of the small historic town of Draguć in Istria, Croatia, Europe. The subject of
[...] Read more.
Digital twin technologies integrate data, models, and physical entities. The paper explores technologies applied in the Urban Digital Twin (UDT) to support Urban regeneration (UR), with a case study of the small historic town of Draguć in Istria, Croatia, Europe. The subject of this research is to investigate and develop a digital twin model and to assess its usefulness in multidisciplinary applications for urban regeneration. The particularity of this scientific project lies in the application of multiple tools for 3D urban data collection and the modeling of this spatial information for its presentation and use, all aimed at spatial planning and sustainable urban development. The applied methods address a common challenge in projects aimed at establishing UDT. These methods encompass the integration of various technologies and tools (geodetic surveying, UAV photogrammetry, 3D laser scanning) for urban data collection, complemented by additional datasets from multiple sources. The results present an established UDT platform (environment) built upon the analyzed datasets relevant to urban regeneration. The urban matrix is displayed, together with buildings and their characteristics, cadastral data with ownership structure are analyzed, and a 3D city model has been generated. The proposed Urban Digital Twin model for the study area aims to facilitate, accelerate, and optimize urban regeneration, while also initiating integrated sustainable regeneration efforts for small historic towns.
Full article
(This article belongs to the Special Issue Digital Twins in Regional Spatial Planning and Sustainable Urban Development)
►
Show Figures
Open AccessArticle
Modeling the Risks of Green Financing Water-Energy-Food Nexus Projects in BRICS Countries
by
Svetlana Gutman, Maya Egorova, Andrey Zatrsev, Dmitriy Rodionov and Mukesh Kumar Barua
Sustainability 2025, 17(23), 10739; https://doi.org/10.3390/su172310739 (registering DOI) - 30 Nov 2025
Abstract
The conceptual foundation of this study is that a country’s exposure to risk when using green bonds as a mechanism for financing sustainable development is shaped by a combination of macroeconomic, market, and social factors. This paper develops and empirically validates a fuzzy-set
[...] Read more.
The conceptual foundation of this study is that a country’s exposure to risk when using green bonds as a mechanism for financing sustainable development is shaped by a combination of macroeconomic, market, and social factors. This paper develops and empirically validates a fuzzy-set model to assess national-level risks associated with green financing projects within the Water–Energy–Food (WEF) Nexus in BRICS countries. Building on established theoretical frameworks and empirical evidence, the study conceptualises risk as a function of economic development, the scale of the domestic green bond market, institutional trust, and performance on the Multidimensional Poverty Index (MPI). The study employs fuzzy-set modelling to integrate these heterogeneous indicators into a unified quantitative risk score. This approach enables cross-country comparison and captures the non-linear nature of relationships between socio-economic and institutional factors. The country sample includes Brazil, Russia, India, and China, which have successively chaired the BRICS association between 2021 and 2025, thereby ensuring methodological consistency and representativeness. The empirical results reveal a clear stratification of green-finance risk levels across the four economies: China demonstrates the lowest risk (Y = 0.243), followed by Russia with a below-average risk (Y ≈ 0.41), while India (Y = 0.53) and Brazil (Y = 0.51) exhibit the highest relative risks. These outcomes highlight the critical role of institutional trust and market maturity in reducing financing uncertainty within the WEF nexus. The study contributes to the literature by integrating macroeconomic, social, and institutional indicators into a unified fuzzy-logic model of green-finance risk; offering a transparent methodology for country-level comparison; and providing policy insights for improving the enabling environment for green bond markets in emerging economies.
Full article
Open AccessArticle
Analysis of the Structural Evolution and Determinants of the Global Digital Service Trade Network
by
Xiang Yuan and Lingying Pan
Sustainability 2025, 17(23), 10738; https://doi.org/10.3390/su172310738 (registering DOI) - 30 Nov 2025
Abstract
Amid global digital transformation, digital service trade has become a transformative force reshaping international economies. We employ an innovative combination of Social Network Analysis (SNA) and Quadratic Assignment Procedure (QAP) to simultaneously dissect the macroscopic structure and microscopic determinants of the global digital
[...] Read more.
Amid global digital transformation, digital service trade has become a transformative force reshaping international economies. We employ an innovative combination of Social Network Analysis (SNA) and Quadratic Assignment Procedure (QAP) to simultaneously dissect the macroscopic structure and microscopic determinants of the global digital service trade network. Key findings reveal: (1) The global digital service trade network exhibits distinct scale-free and small-world characteristics, reflecting deepening globalization. (2) The global hierarchy demonstrates structural rigidity, wherein core nations persistently reinforce their dominance despite selective upward mobility achieved by certain emerging economies. (3) Clear community differentiation emerges, featuring stable European subgroups, dynamic Asia-Pacific reorganization, and marginalized yet internally diverging Africa-Latin America clusters. (4) QAP regression identifies technological gaps and economic disparities as primary enablers, whereas geographical distance, internet development asymmetries and digital infrastructure divides constitute significant barriers, with linguistic commonality exerting positive effects. Based on empirical findings, we propose policy suggestion from four aspects: multilateral coordination for digital trade rules, digital infrastructure development, regional digital integration, and cross-civilizational digital communities. The study enriches analytical approaches to digital trade networks and provides theoretical foundations and policy insights for constructing an inclusive global digital economy framework.
Full article
(This article belongs to the Section Economic and Business Aspects of Sustainability)
Open AccessArticle
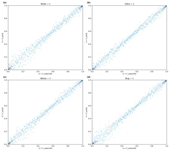
Air and Water Temperature Relationships in Major Polish Rivers and Their Long-Term Changes
by
Mariusz Ptak, Mariusz Sojka, Katarzyna Szyga-Pluta and Teerachai Amnuaylojaroen
Sustainability 2025, 17(23), 10737; https://doi.org/10.3390/su172310737 (registering DOI) - 30 Nov 2025
Abstract
Large rivers are crucial for the functioning of individual regions and entire countries. However, despite their importance, relevant data allowing for a full assessment of the processes and phenomena occurring within them are often lacking. In the contemporary context, climate change has become
[...] Read more.
Large rivers are crucial for the functioning of individual regions and entire countries. However, despite their importance, relevant data allowing for a full assessment of the processes and phenomena occurring within them are often lacking. In the contemporary context, climate change has become a key factor affecting river ecosystems, leading to transformations in one of their fundamental characteristics—thermal conditions. This study analyzes the relationships between air temperature and water temperature in the four largest rivers in Poland, using a diversified methodological approach (wavelet analysis, lag non-linear models, copula), which broadens the current understanding of rivers in Central Europe. All three analytical paths confirmed a strong relationship between the two media, forming a basis for further research aimed at addressing data gaps and determining the direction and rate of changes over the period 1965–2024. All cases showed a statistically significant positive trend, with rates varying slightly from 0.32 to 0.38 °C · decade−1 (an average increase of 0.35 °C · decade−1). The ongoing transformation of the thermal regime—its scale and rate—should be taken into account in interdisciplinary studies of river ecosystems, as well as by agencies responsible for water resource management. This issue is particularly important in the context of sustainable development, where the economic use and ecological condition of river systems are closely linked to water temperature.
Full article
(This article belongs to the Section Air, Climate Change and Sustainability)
►▼
Show Figures

Figure 1
Open AccessArticle
Navigating Sustainability: The Green Transition of the Port of Bar
by
Milutin Lakićević and Aleksandar Niković
Sustainability 2025, 17(23), 10736; https://doi.org/10.3390/su172310736 (registering DOI) - 30 Nov 2025
Abstract
The shift to green ports is essential for meeting worldwide sustainability targets and lowering emissions related to maritime activities. This paper presents a comprehensive analysis of the Port of Bar in Montenegro and its prospects for transforming into a low-carbon sustainable port hub
[...] Read more.
The shift to green ports is essential for meeting worldwide sustainability targets and lowering emissions related to maritime activities. This paper presents a comprehensive analysis of the Port of Bar in Montenegro and its prospects for transforming into a low-carbon sustainable port hub within the Adriatic region. By a mixed-method approach consisting of empirical data, theoretical modeling, expert interviews, and other relevant methodologies, the study designs a comprehensive roadmap for the port’s multi-phase green transition. The first phase (2026–2030) focuses on partial electrification of cargo handling equipment, installation of on-site photovoltaic systems, and modernization of the Port Community System (PCS) to improve efficiency and environmental monitoring. The second phase (2030–2038) includes full electrification of port operations, Onshore Power Supply (OPS) accessibility for vessels at berth, and full renewable resource adoption. Results indicate the measures can significantly reduce annual CO2 emissions during the first phase, with a long-term potential to attain net-zero emissions. This transformation is in line with international regulations, European Union policies, as well as Montenegro’s national strategies and policies, positioning the Port of Bar as a regional model for green port development.
Full article
(This article belongs to the Special Issue Achieving Carbon Neutrality: Recent Progress of Sustainable Energy Economic, Energy Policy and Energy Transition, 2nd Edition)
Open AccessArticle
Sustainable Public Transportation Service Quality Assessment by a Hybrid Bayesian BWM and Picture Fuzzy WASPAS Methodology: A Real Case in Izmir, Turkey
by
Ecem Tumsekcali and Alev Taskin
Sustainability 2025, 17(23), 10735; https://doi.org/10.3390/su172310735 (registering DOI) - 30 Nov 2025
Abstract
Especially in crowded cities, the public transportation system is one of the most crucial elements that influences quality of life and also demonstrates progress. For this purpose, a new SERVQUAL model, expanded with sustainability and Industry 4.0 dimensions, is proposed to evaluate service
[...] Read more.
Especially in crowded cities, the public transportation system is one of the most crucial elements that influences quality of life and also demonstrates progress. For this purpose, a new SERVQUAL model, expanded with sustainability and Industry 4.0 dimensions, is proposed to evaluate service quality in the public transport system. This model, called SPT SERVQUAL 4.0 (Sustainable Public Transport SERVQUAL 4.0), is created with a three-level hierarchical criteria structure by developing the structure of the traditional SERVQUAL model. First of all, criteria weights are determined using the Bayesian Best–Worst Method (BWM) and expert evaluations for each level. Afterwards, the Picture Fuzzy WASPAS method is applied in order to rank the public transportation alternatives using the obtained criteria weights. The proposed hybrid methodology is applied on a real case study of five different bus alternatives in the Izmir public transportation system. As a result, the best public transportation bus alternative is found to be electric buses. The study, which adapts the dimensions of Industry 4.0 and sustainability, two of the most important issues of our age, to the evaluation of public transport system service quality, contributes by providing insights into system improvement and strategy development in the public or private sector.
Full article
(This article belongs to the Collection Sustainable Urban Mobility Project)
Open AccessArticle
Consumer Preferences and Sustainability in the Food and Beverage Sector: Empirical Evidence in Greece During the COVID-19 Pandemic
by
Paraskevi Boufounou, Panagiotis Chatzimichalis, Kanellos Toudas, Chrisovalantis Malesios and Antonios Skouloudis
Sustainability 2025, 17(23), 10734; https://doi.org/10.3390/su172310734 (registering DOI) - 30 Nov 2025
Abstract
This study focuses on the interplay between digital marketing and the F&B industry in Greece during the health crisis of COVID-19 in shaping consumer choices. The theoretical section discusses the most popular digital marketing methods and their importance, particularly during a crisis that
[...] Read more.
This study focuses on the interplay between digital marketing and the F&B industry in Greece during the health crisis of COVID-19 in shaping consumer choices. The theoretical section discusses the most popular digital marketing methods and their importance, particularly during a crisis that confined most citizens to their homes and forced F&B stores to find new ways to attract customers. From an empirical perspective, a survey was conducted utilizing a structured questionnaire, involving 70 consumers in Athens, Greece. Participants expressed their views through closed-ended questions on the criteria for selecting F&B stores, the positive and negative aspects of digital marketing, and their preferences in general, as well as specifically for restaurants, bars, and cafés. The findings highlight that consumer confidence is a key priority (as the most important criterion for selecting F&B stores is the quality of the products) and that digital transformation of the F&B industry is essential as it can bolster resilience and drive growth in the F&B sector amid ongoing challenges.
Full article
(This article belongs to the Section Economic and Business Aspects of Sustainability)
►▼
Show Figures

Figure 1
Open AccessArticle
Efficiency Evaluation and Regional Disparities of Green Agricultural Product Supply Chains: A Case Study of Hebei Province, China
by
Man Wu, Xiaotong Wu and Yahui Lyu
Sustainability 2025, 17(23), 10733; https://doi.org/10.3390/su172310733 (registering DOI) - 30 Nov 2025
Abstract
Building a sustainable and efficient green agricultural product supply chain (GASC) is crucial for ensuring global food security and promoting environmental sustainability. However, at the regional level, the spatial differentiation patterns of its efficiency and underlying driving mechanisms—particularly the synergistic relationship between technical
[...] Read more.
Building a sustainable and efficient green agricultural product supply chain (GASC) is crucial for ensuring global food security and promoting environmental sustainability. However, at the regional level, the spatial differentiation patterns of its efficiency and underlying driving mechanisms—particularly the synergistic relationship between technical efficiency and scale efficiency—remain to be elucidated. This study focuses on Hebei Province, a key agricultural region in China. By constructing a multidimensional evaluation index system and employing a two-stage approach combining Principal Component Analysis (PCA) with Data Envelopment Analysis (DEA), we measure and analyze the operational efficiency and regional disparities of green agricultural product supply chains across 11 prefecture-level cities. Findings revealed that the overall efficiency of Hebei’s green agricultural product supply chains required improvement and exhibited a distinct spatial pattern characterized by “high-efficiency dominance with localized lags.” The core bottleneck lies in the failure of most regions to achieve effective synergy between technology and scale, resulting in widespread resource misallocation—either “technology without scale” or “scale without technology”—and causing some areas to experience diminishing returns to scale. Furthermore, excessive reliance on single factor advantages in many cities reveals structural vulnerabilities within their supply chain systems. This study’s primary contribution lies in deepening the understanding that efficiency cannot be driven by technology or scale alone. It theoretically emphasizes that the synergistic coupling of “technology-scale” is key to enhancing the efficiency of regional green agricultural product supply chains. These findings provide empirical evidence and policy insights for building a more resilient and balanced regional green agricultural system.
Full article
Open AccessArticle
Comprehensive Evaluation of the Integrated Operational Capability of the Former General Electric Power Companies in Japan Based on Entropy-TOPSIS–Coupling Coordination–Grey Correlation Degree
by
Bingying Ma and Seiichi Ogata
Sustainability 2025, 17(23), 10732; https://doi.org/10.3390/su172310732 (registering DOI) - 30 Nov 2025
Abstract
The Former General Electric Utility in Japan is a major participant in the electricity market. The integrated operational capabilities of these power companies have significant impacts on the stable development and sustainability of the power industry. This study evaluates the comprehensive operational capabilities
[...] Read more.
The Former General Electric Utility in Japan is a major participant in the electricity market. The integrated operational capabilities of these power companies have significant impacts on the stable development and sustainability of the power industry. This study evaluates the comprehensive operational capabilities of these power companies from 2003 to 2015 and analyzes the indicators that may affect their operational capabilities. Establishing an evaluation index system comprising five subsystems, namely profitability, management, solvency, growth, and scale, and optimizing it using principal component analysis. The Technique for Order of Preference by Similarity to Ideal Solution was utilized to calculate the relative closeness of each company, with a score representing the integrated operational capabilities. Furthermore, coupling coordination and grey correlation analyses were conducted to assess the internal coordination among subsystems and to identify critical drivers of sustainable performance. The results show that (1) the Kyushu Electric Power Company and Tohoku Electric Power Company have strong integrated operational capabilities. (2) The five evaluation subsystems of integrated operational capability during the period of 2003–2015, fluctuated between moderate and high levels. (3) The top 5 indicators with the highest average grey correlation are as follows: “Hydropower capacity factor”, “Operating cash flow to current liabilities ratio”, “Operating profit growth rate”, “Net profit growth rate”, “Total capital utilization”. This study contributes to the sustainable management of the electricity industry by providing a systematic and data-driven assessment framework. The findings offer practical insights for optimizing corporate governance, enhancing energy efficiency, and formulating policy measures that support the long-term sustainability and competitiveness of Japan’s power utilities.
Full article
(This article belongs to the Section Sustainable Management)
►▼
Show Figures

Figure 1
Open AccessArticle
Emergency Control Strategies Research for Sudden Pollution Incident in Long-Distance Water Diversion Tunnels
by
Chenchen Ji, Boran Zhu, Meiling Li, Haipeng Bi, Xiaodong Xu, Junqiang Lin, Shangtuo Qian and Wei Huang
Sustainability 2025, 17(23), 10731; https://doi.org/10.3390/su172310731 (registering DOI) - 30 Nov 2025
Abstract
This study investigates emergency response strategies for sudden pollution incidents in long-distance water diversion tunnels. The tunnel section of the Yin Chao Ji Liao Project in Inner Mongolia is used as a case study. A one-dimensional hydrodynamic water quality model was developed in
[...] Read more.
This study investigates emergency response strategies for sudden pollution incidents in long-distance water diversion tunnels. The tunnel section of the Yin Chao Ji Liao Project in Inner Mongolia is used as a case study. A one-dimensional hydrodynamic water quality model was developed in Storm Water Management Model (SWMM) to analyze pollutant transport characteristics in the tunnel under various operating conditions. Based on the actual engineering conditions, control scenarios with multiple flow rates and multiple gate combinations were set up. Emergency control strategies for sudden pollution events were developed to address extreme pollution scenarios. The feasibility of scheduling gate operations according to pollutant transport response time for effective pollution mitigation was evaluated. On this basis, an expression for calculating gate-operation timings for emergency pollution control was derived. The results indicate that the peak concentration in the tunnel shows a decreasing trend as the flow rate increases, and the change process shows a stage-by-stage characteristic. Accounting for the response time of water discharge can improve pollution disposal efficiency by 4.34–52.14%. The efficiency gains become increasingly pronounced at higher flow rates, indicating that this strategy can effectively enhance water discharge efficiency. Installing water quality monitoring instruments near the drainage gate section helps improve the precision of regulation and effectively enhances the timeliness and accuracy of operations, and provides a theoretical reference for on-site emergency regulation and control.
Full article
(This article belongs to the Topic Sustainable River and Lake Restoration: From Challenges to Solutions)
►▼
Show Figures

Figure 1
Open AccessArticle
Urban Design and Resilient Cities: Simulating Crowd Behavior to Reduce Urban Risk
by
Donato Di Ludovico, Federico Eugeni, Gennaro Zanfardino and Antinisca Di Marco
Sustainability 2025, 17(23), 10730; https://doi.org/10.3390/su172310730 (registering DOI) - 30 Nov 2025
Abstract
The growing incidence of natural and man-made disasters, exacerbated by climate change, has highlighted the role of urban planning and design in reducing the impact of the risks they pose. This refers to pre-disaster recovery planning (PDRP), an innovative practice that aims to
[...] Read more.
The growing incidence of natural and man-made disasters, exacerbated by climate change, has highlighted the role of urban planning and design in reducing the impact of the risks they pose. This refers to pre-disaster recovery planning (PDRP), an innovative practice that aims to improve the response of urban contexts affected by a disaster, with urban planning actions implemented in peacetime, i.e., before the disaster occurs. This paper presents a methodology that integrates agent-based simulation and safety-based urban design within a sustainability-oriented urban planning framework. The methodology aims to support the design of safer and more resilient public spaces, focusing on open areas within heritage districts and operating within a sustainability-oriented urban planning framework. The proposed approach integrates simulation and design to evaluate the performance of existing spatial layouts under stress conditions and explore alternative configurations that optimize evacuation dynamics and minimize risks. The result of applying the simulation to the current urban context therefore allows for the identification of appropriate urban design techniques and practices aimed at defining alternative spatial scenarios and improving the urban form in terms of its evacuation performance.
Full article
(This article belongs to the Special Issue Spatial Analysis and Spatial Planning for Sustainability in Urban Areas)
►▼
Show Figures

Figure 1
Open AccessArticle
Phygital Enjoyment of the Landscape: Walkability and Digital Valorisation of the Phlegraean Fields
by
Ivan Pistone, Antonio Acierno and Alessandra Pagliano
Sustainability 2025, 17(23), 10729; https://doi.org/10.3390/su172310729 (registering DOI) - 30 Nov 2025
Abstract
The contemporary landscape is characterised by overlapping values and pressures, where ecosystem services and cultural spaces are used by diverse categories of users. In fragile contexts such as the Phlegraean Fields in Italy, the exponential growth of mass tourism has intensified the anthropogenic
[...] Read more.
The contemporary landscape is characterised by overlapping values and pressures, where ecosystem services and cultural spaces are used by diverse categories of users. In fragile contexts such as the Phlegraean Fields in Italy, the exponential growth of mass tourism has intensified the anthropogenic impacts, exacerbated by limited landscape awareness among local communities. Thus, walkability fosters direct exploration, while experiential transects provide a lens to read ecological, cultural, and perceptual layers of places. Together with digital storytelling, these approaches converge in a phygital approach that enriches physical experience without supplanting it. The study covered approximately 115 km of routes across five municipalities, combining road audits, an 11-item survey, participatory mapping, and ArcGIS StoryMaps. Results showed a structurally complex and functionally fragile mobility system: sidewalks are discontinuous, lighting insufficient, less than one quarter of the network is fully pedestrian, and cycling facilities are almost absent. At the same time, digital layers diversified routes and supported situated learning. By integrating geo-spatial analysis and phygital tools, the research demonstrates a replicable strategy to enhance the awareness and sustainable enjoyment of complex landscapes. The present research is part of the PNRR project Changes ‘PE5Changes_Spoke1-WP4-Historical Landscapes Traditions and Cultural Identities’.
Full article
(This article belongs to the Special Issue Study and Research Between Cultural Heritage and Sustainable Development Goals for the Built Environment in Transition)
►▼
Show Figures

Figure 1
Open AccessArticle
Micro/Nanoplastics Alter Daphnia magna Life History by Disrupting Glucose Metabolism and Intestinal Structure
by
Biying Zhao, Chaoyang Zhang, Chunliu Wang and Hai-Ming Zhao
Sustainability 2025, 17(23), 10728; https://doi.org/10.3390/su172310728 (registering DOI) - 30 Nov 2025
Abstract
Microplastic pollution poses growing risks to aquatic zooplankton, yet its impact on Daphnia magna life history remains incompletely understood. This study explored the influences of micro/nanoplastics (MPs/NPs) on D. magna by exposing organisms to size- and concentration-varied microplastics, tracking microplastic distribution via fluorescence
[...] Read more.
Microplastic pollution poses growing risks to aquatic zooplankton, yet its impact on Daphnia magna life history remains incompletely understood. This study explored the influences of micro/nanoplastics (MPs/NPs) on D. magna by exposing organisms to size- and concentration-varied microplastics, tracking microplastic distribution via fluorescence imaging. Results demonstrated significant microplastic-induced impairments in growth and reproduction. Gut microbiota analysis revealed microplastic-altered microbial communities, with functional prediction identifying disrupted glucose metabolism as a key driver of life-history changes. Intestinal structure observations further showed microplastic-accelerated aging. Collectively, our findings highlight that microplastic accumulation in D. magna disrupts gut microbiota and tissue integrity, ultimately impairing life-history traits. These alterations in growth and gut characteristics of D. magna may further propagate through the aquatic food web, potentially damaging the intestinal structure and function of plankton communities. Given the pivotal role of zooplankton in nutrient cycling and energy transfer, our findings underscore that microplastic-induced disruptions in key species like D. magna could threaten the stability and sustainability of aquatic ecosystems.
Full article
(This article belongs to the Special Issue Sustainable Treatment of Organic Pollutants and Microbial Degradation for Environmental Sustainability)
►▼
Show Figures

Graphical abstract
Open AccessArticle
Points of Entry for Enhancing Policymakers’ Capacity to Develop Green Economy Agenda-Setting
by
Mahawan Karuniasa and Thoriqi Firdaus
Sustainability 2025, 17(23), 10727; https://doi.org/10.3390/su172310727 (registering DOI) - 30 Nov 2025
Abstract
►▼
Show Figures
Indonesia has articulated ambitious green economy objectives through frameworks such as the Low Carbon Development Initiative (LCDI). Despite this ambition, a critical research gap exists. The weak ‘green political capabilities’ of policymakers—defined as their ability to navigate political processes, build coalitions, and translate
[...] Read more.
Indonesia has articulated ambitious green economy objectives through frameworks such as the Low Carbon Development Initiative (LCDI). Despite this ambition, a critical research gap exists. The weak ‘green political capabilities’ of policymakers—defined as their ability to navigate political processes, build coalitions, and translate technical knowledge into viable policy—hinder effective agenda-setting and implementation. This study addresses this deficit by identifying strategic points of entry for enhancing these capabilities to strengthen a more sustainable economic transition. Employing a mixed-methods approach guided by the UNDP Capacity Assessment Framework, this research gathered data from 170 stakeholders via workshops, focus group discussions, and surveys. The analysis identifies four principal entry points: (1) internal institutional development, (2) accreditation processes, (3) bureaucratic reform, and (4) external partnerships. Critically, ordinal regression reveals which actors most significantly influence capacity development priorities. Governmental/legislative institutions (Estimate = 1.855, p < 0.010) and the private sector (Estimate = 3.173, p < 0.020) exert a significant positive influence on advancing the green economy agenda. Conversely, competencies such as policy strengthening exhibit a significant negative correlation (Estimate = −3.467, p < 0.000), which indicates a concentration of need among institutions with substantial capacity gaps. The study’s key contribution is a framework for systematically integrating green competencies into national accreditation standards and bureaucratic reforms, providing a clear pathway to transform entry points into effective levers for enhancing the state’s green political capabilities.
Full article

Figure 1
Open AccessArticle
Community Perceptions of Ecosystem Services from Homegarden-Based Urban Agriculture in Bandung City, Indonesia
by
Aji Saputra, Oekan S. Abdoellah, Gemilang Lara Utama, Indri Wulandari, Dede Mulyanto and Yusep Suparman
Sustainability 2025, 17(23), 10726; https://doi.org/10.3390/su172310726 (registering DOI) - 30 Nov 2025
Abstract
►▼
Show Figures
Urban agriculture, particularly homegarden-based urban agriculture, has gained recognition as a valuable tool for promoting sustainability in rapidly urbanizing cities. This study investigates community perceptions of the ecosystem services provided by homegarden-based urban agriculture in Bandung City, Indonesia. The research aims to assess
[...] Read more.
Urban agriculture, particularly homegarden-based urban agriculture, has gained recognition as a valuable tool for promoting sustainability in rapidly urbanizing cities. This study investigates community perceptions of the ecosystem services provided by homegarden-based urban agriculture in Bandung City, Indonesia. The research aims to assess how urban residents perceive the contributions of homegardens to food security, environmental sustainability, and social well-being. Using a mixed-methods approach, qualitative data were collected through semi-structured interviews with key informants, while quantitative data were obtained from a survey of members of the urban agriculture community. The results revealed that homegardens play a supplementary role in food production, providing fresh produce but contributing only minimally to overall food security. They were recognized for their role in biodiversity conservation, microclimate regulation, disaster risk reduction, social cohesion, and improving mental well-being. Despite these benefits, challenges such as limited space, lack of knowledge, and competing land uses hinder the full integration of homegardens into urban systems. The findings suggest that enhancing education and policy support for urban agriculture can help maximize the utilization of the potential of homegardens in urban sustainability. Future research should focus on overcoming these barriers and exploring strategies for expanding homegarden practices in urban areas.
Full article

Figure 1
Open AccessSystematic Review
Effect of Metakaolin and Biochar Addition on the Performance of 3D Concrete Printing: A Meta-Analysis Approach
by
Imtiaz Iqbal, Tala Kasim, Waleed Bin Inqiad, Svetlana Besklubova, Payam Sadrolodabaee, Daniel Jozef Nowakowski and Mujib Rahman
Sustainability 2025, 17(23), 10725; https://doi.org/10.3390/su172310725 (registering DOI) - 30 Nov 2025
Abstract
Three-dimensional (3D) concrete printing (3DCP) is an emerging digital construction technology that enables geometrically complex structures with reduced labour, material waste, and formwork. However, the sustainability of 3DCP remains constrained by its heavy reliance on Portland cement, a major source of global CO
[...] Read more.
Three-dimensional (3D) concrete printing (3DCP) is an emerging digital construction technology that enables geometrically complex structures with reduced labour, material waste, and formwork. However, the sustainability of 3DCP remains constrained by its heavy reliance on Portland cement, a major source of global CO2 emissions. This study systematically examines metakaolin (MK) and biochar (BC) as sustainable additives for 3DCP, focusing on their independent effects on mechanical performance, printability, dimensional stability, and environmental impact. A comprehensive literature review (2015 to June 2025) identified 254 publications, of which 21 met the inclusion criteria for quantitative meta-analysis, contributing a total of 95 datasets for compressive and flexural strength. Pooled effect sizes were calculated using a random-effects model, supported by risk-of-bias and heterogeneity analyses. The results indicate statistically significant improvements in mechanical properties, with an overall pooled ratio of means (ROM) of 1.12 (95% CI: 1.06–1.20; I2 = 48.9%), representing the overall mechanical performance effect across all datasets, while ROM for compressive and flexural strength was calculated separately in the main analysis. Meta-regression revealed that BC increased compressive and flexural strengths by 7% and 9%, respectively, while MK achieved greater enhancements of 21% and 13.4%. Optimum performance was observed at 15–20% MK for compressive strength and 10–15% for flexural strength, whereas BC performed best at 3–5% and 2–5%, respectively. BC contributed to CO2 reductions of up to 43% through clinker substitution and biogenic carbon sequestration. These findings demonstrate that MK and BC are complementary eco-efficient modifiers capable of enhancing both structural and environmental performance in 3DCP. Future research should address long-term durability, standardisation of printing parameters, and cradle-to-grave life cycle assessments to strengthen practical implementation.
Full article
(This article belongs to the Special Issue Innovations in Bio-Inspired Materials for Sustainable Construction Evolution)
Open AccessArticle
Ecological Security Assessment Based on Sensitivity, Connectivity, and Ecosystem Service Value and Pattern Construction: A Case Study of Chengmai County, China
by
Yaoyao Zhao, Yuan Feng, Qing Liu, Yixian Mo, Shuhai Zhuo and Peng Zhou
Sustainability 2025, 17(23), 10724; https://doi.org/10.3390/su172310724 (registering DOI) - 30 Nov 2025
Abstract
Against the backdrop of continuous natural space loss and accelerated urbanization, considerable attention has been directed toward balancing economic development demands with the protection of fragile ecosystems within limited spatial boundaries to achieve regional sustainable development. This study therefore focuses on Chengmai County,
[...] Read more.
Against the backdrop of continuous natural space loss and accelerated urbanization, considerable attention has been directed toward balancing economic development demands with the protection of fragile ecosystems within limited spatial boundaries to achieve regional sustainable development. This study therefore focuses on Chengmai County, a small-scale region prioritizing both green development and ecological conservation. Land-use changes and trends in ecosystem services value (ESV) from 2000 to 2020 were analyzed. An ecological security assessment model was developed, integrating ecosystem services, ecological sensitivity, and landscape connectivity, which enabled the identification of areas with high ecological security value as ecological sources. Ecological corridors and nodes were extracted using the minimum cumulative resistance model and the gravity model, culminating in the construction of Chengmai County’s ecological security pattern through overlay analysis. The main findings are summarized as follows: (1) Construction land expanded rapidly between 2000 and 2020. The ecological sensitivity of Chengmai County displayed a spatial distribution pattern of “high in the south, low in the north,” while ESV exhibited a pattern of “high in the central-south and low in the northeast,” showing an overall increasing trend. (2) The overall ecological security status was relatively favorable. A total of 10 ecological nodes and 45 ecological corridors were identified, including 16 core corridors. (3) Based on these analyses, an ecological security pattern described as “one axis, two belts, and three zones” was established for Chengmai County. This study provides a practical spatial strategy for ecological conservation and sustainable development in Chengmai County and offers a transferable methodological framework for similar coastal regions facing development pressures.
Full article
(This article belongs to the Special Issue Ecosystem Services in the Planning and Sustainable Development of Urban Green Spaces)
Open AccessArticle
Environmental Courts and Supply Chain Financing in China
by
Kandi Yang, Guangfan Sun, Xueqin Hu and Yao Wang
Sustainability 2025, 17(23), 10723; https://doi.org/10.3390/su172310723 (registering DOI) - 30 Nov 2025
Abstract
The institutionalization of environmental courts enhances regional environmental enforcement efficacy, which in turn exerts intensified regulatory pressure on local pollution intensive enterprises. Empirical evidence confirms that such judicial mechanisms significantly improve the supply chain financing capacity of regulated firms through a green governance
[...] Read more.
The institutionalization of environmental courts enhances regional environmental enforcement efficacy, which in turn exerts intensified regulatory pressure on local pollution intensive enterprises. Empirical evidence confirms that such judicial mechanisms significantly improve the supply chain financing capacity of regulated firms through a green governance channel. This causal pathway operates via three interrelated mechanisms: increased environmental disclosure transparency, strategic recruitment of executives with environmental expertise, and systematic ESG performance upgrades. Collectively these adaptations enable polluting enterprises to achieve better supply chain financing conditions. Subgroup analysis identifies three dimensions of heterogeneous treatment effects. First, the financing enhancement effect is more pronounced among larger enterprises due to their greater resource allocation flexibility. Second, firms with gender-diverse leadership, particularly those employing female executives, demonstrate stronger responsiveness to environmental regulations. Third, enterprises operating in less technology intensive sectors benefit more substantially from compliance driven financing improvements, as their operational structures are more amenable to rapid environmental governance adjustments.
Full article
(This article belongs to the Special Issue Sustainability Strategy, Corporate Growth and Risk Perspectives)
►▼
Show Figures

Figure 1
Open AccessArticle
Green Fund Shareholding and Corporate Carbon Performance: An Empirical Analysis Based on Chinese A-Share Listed Companies
by
Qiao Chang and Hua Wang
Sustainability 2025, 17(23), 10722; https://doi.org/10.3390/su172310722 (registering DOI) - 30 Nov 2025
Abstract
►▼
Show Figures
Against the global low-carbon transition, China, as one of the world’s major carbon emitters, relies on green finance to drive corporate carbon reduction. However, existing research has paid limited attention to green funds, an important component of China’s green finance system, leaving their
[...] Read more.
Against the global low-carbon transition, China, as one of the world’s major carbon emitters, relies on green finance to drive corporate carbon reduction. However, existing research has paid limited attention to green funds, an important component of China’s green finance system, leaving their role in shaping corporate carbon performance understudied. This study addresses this gap by exploring how green fund shareholding affects corporate carbon performance. Using data of Chinese A-share listed companies from 2008 to 2022, this work employed baseline regression, robustness checks, mediation analysis, and heterogeneity tests. Key findings include: green fund shareholding is associated with significant improvements in corporate carbon performance; green technology innovation plays a partial mediating role in this relationship; external supervision positively moderates the link between green fund shareholding and corporate carbon performance; and the positive effect tends to be more pronounced for firms with higher green fund ownership and net value ratios. This study helps fill the gap of ignoring investor heterogeneity in prior related research. It also suggests that regulators could optimize information disclosure and supervision for green funds, while enterprises may strengthen collaboration with green funds, providing support for China’s green finance development and corporate low-carbon transition.
Full article

Figure 1
Open AccessArticle
Can Virtual Influencers Drive Online Consumer Behavior? An Applied Examination of ELM Model Investigating the Marketing Effects of Virtual Influencers
by
Wei-Kuo Tseng and Chueh-Chu Ou
Sustainability 2025, 17(23), 10721; https://doi.org/10.3390/su172310721 (registering DOI) - 30 Nov 2025
Abstract
With the rapid advancement of social media and AI technologies, influencer marketing has evolved significantly. Virtual influencers have emerged as alternatives to traditional human influencers. Grounded in the Elaboration Likelihood Model (ELM), this study examines how virtual influencers’ source credibility dimensions (expertise, attractiveness,
[...] Read more.
With the rapid advancement of social media and AI technologies, influencer marketing has evolved significantly. Virtual influencers have emerged as alternatives to traditional human influencers. Grounded in the Elaboration Likelihood Model (ELM), this study examines how virtual influencers’ source credibility dimensions (expertise, attractiveness, and trustworthiness) affect consumer attitudes and purchase intentions. Using the case of virtual influencer Imma, this study collected 344 valid online survey responses. The empirical results show that, along the central route, perceived product value has a significant and positive effect on purchase intention. Along the peripheral route, the trustworthiness, attractiveness, and expertise of the virtual influencer all exert significant positive effects on purchase intention. However, product involvement moderates these effects differently: for high-involvement consumers, the effects of trustworthiness and attractiveness on purchase intention are significantly strengthened, while the moderating effects on expertise and perceived value remain non-significant. This study contributes to the emerging literature on virtual influencer marketing by demonstrating how source credibility dimensions and perceived value interact with product involvement to shape consumer responses. Additionally, virtual influencers offer sustainability benefits by minimizing carbon emissions from travel and physical production inherent in traditional influencer campaigns. The findings offer practical implications for marketers: virtual influencers can effectively enhance brand exposure, but their persuasive impact varies by product involvement requiring tailored content strategies for high- versus low-involvement products. Furthermore, future research could extend this work by examining the effects of different product categories and cultural contexts on the effectiveness of virtual influencer marketing.
Full article
(This article belongs to the Special Issue AI-Powered Virtual Assistants in Sustainable Marketing: Enhancing Customer Experience Through Innovation Technologies)
►▼
Show Figures

Figure 1
Journal Menu
► ▼ Journal Menu-
- Sustainability Home
- Aims & Scope
- Editorial Board
- Reviewer Board
- Topical Advisory Panel
- Instructions for Authors
- Special Issues
- Topics
- Sections & Collections
- Article Processing Charge
- Indexing & Archiving
- Editor’s Choice Articles
- Most Cited & Viewed
- Journal Statistics
- Journal History
- Journal Awards
- Society Collaborations
- Conferences
- Editorial Office
Journal Browser
► ▼ Journal BrowserHighly Accessed Articles
Latest Books
E-Mail Alert
News
Topics
Topic in
Buildings, CivilEng, Energies, Sustainability
Energy Systems in Buildings and Occupant Comfort
Topic Editors: Eusébio Z. E. Conceição, Hazim B. AwbiDeadline: 20 December 2025
Topic in
Education Sciences, Future Internet, Information, Sustainability
Advances in Online and Distance Learning
Topic Editors: Neil Gordon, Han ReichgeltDeadline: 31 December 2025
Topic in
Geosciences, Land, Remote Sensing, Sustainability
Disaster and Environment Monitoring Based on Multisource Remote Sensing Images
Topic Editors: Bing Guo, Yuefeng Lu, Yingqiang Song, Rui Zhang, Huihui ZhaoDeadline: 1 January 2026
Topic in
Geosciences, JMSE, Sustainability
Marine Isotope Geochemistry: Recoding Ocean History and Climate Change
Topic Editors: Mauro César Geraldes, Guilherme Loriato PotratzDeadline: 31 January 2026
Conferences
Special Issues
Special Issue in
Sustainability
Integrating Consumer Preferences into Sustainable Offerings: Marketing Innovations for a Green Economy
Guest Editors: Eun Joo Kim, James A. Busser, Minji KimDeadline: 1 December 2025
Special Issue in
Sustainability
Resilience Enhancement and Sustainable Development of Engineering Structures
Guest Editors: Chengqing Liu, Ying Ma, Dengjia FangDeadline: 1 December 2025
Special Issue in
Sustainability
Traditional Land-Based Knowledge and Practice as Environmental Sustainability
Guest Editors: Ranjan Datta, Rani Muthukrishnan, Jean Kayira, Yvonne VizinaDeadline: 1 December 2025
Special Issue in
Sustainability
Sustainable Production and Supply Chain Management
Guest Editors: Eirini Aivazidou, Naoum TsolakisDeadline: 1 December 2025
Topical Collections
Topical Collection in
Sustainability
Life Cycle Assessment of Modern Mobility (Technologies) – Managing the Turnaround
Collection Editor: Eckard Helmers
Topical Collection in
Sustainability
Advances in Biomass Waste Valorization
Collection Editors: Petronela Nechita, Rodica-Mihaela Dinicǎ, Bianca Furdui
Topical Collection in
Sustainability
The Impact of Digitalization on the Quality of Life
Collection Editor: Yury Klochkov
Topical Collection in
Sustainability
Marketing and Sustainability
Collection Editor: Colin Michael Hall





