Journal Description
Nutrients
Nutrients
is an international, peer-reviewed, open access journal of human nutrition published semimonthly online by MDPI. The Asia Pacific Nutrigenomics Nutrigenetics Organisation (APNNO), Italian Society for Pediatric Gastroenterology, Hepatology and Nutrition (SIGENP), Nutrition Society of New Zealand (NSNZ), Ocular Wellness & Nutrition Society (OWNS) and others are affiliated with Nutrients and their members receive a discount on article processing charges.
- Open Access— free for readers, with article processing charges (APC) paid by authors or their institutions.
- High Visibility: indexed within Scopus, SCIE (Web of Science), PubMed, MEDLINE, PMC, Embase, PubAg, AGRIS, and other databases.
- Journal Rank: JCR - Q1 (Nutrition and Dietetics) / CiteScore - Q1 (Nutrition and Dietetics)
- Rapid Publication: manuscripts are peer-reviewed and a first decision is provided to authors approximately 12.9 days after submission; acceptance to publication is undertaken in 2.3 days (median values for papers published in this journal in the first half of 2025).
- Recognition of Reviewers: reviewers who provide timely, thorough peer-review reports receive vouchers entitling them to a discount on the APC of their next publication in any MDPI journal, in appreciation of the work done.
- Companion journal: Dietetics.
- Journal Cluster of Food, Nutrition, and Health Science: Beverages, Dietetics, Foods, Nutraceuticals, Nutrients and Obesities.
Impact Factor:
5.0 (2024);
5-Year Impact Factor:
6.0 (2024)
Latest Articles
Effects of Homocysteine Circulating Levels on Human Spontaneous Fertility and In Vitro Fertilization Outcomes: A Literature Review
Nutrients 2025, 17(20), 3211; https://doi.org/10.3390/nu17203211 (registering DOI) - 13 Oct 2025
Abstract
Background: Homocysteine (Hcy) plays a pivotal role in human reproduction, influencing gamete quality, embryo development, implantation, and pregnancy outcomes. It is central to folate and methionine metabolism and supports methylation-dependent epigenetic processes. Hyperhomocysteinemia (HHcy) exerts diverse biological effects and is associated with reproductive
[...] Read more.
Background: Homocysteine (Hcy) plays a pivotal role in human reproduction, influencing gamete quality, embryo development, implantation, and pregnancy outcomes. It is central to folate and methionine metabolism and supports methylation-dependent epigenetic processes. Hyperhomocysteinemia (HHcy) exerts diverse biological effects and is associated with reproductive impairments in both sexes, affecting both spontaneous fertility and the outcome of assisted reproduction, including In Vitro Fertilization (IVF). Although the mechanisms of HHcy toxicity in reproduction are not fully understood, significant progress has been made in elucidating its effects. The emerging picture is complex, as Hcy and its metabolites impact biomolecules and cellular processes in a tissue- and sex-specific manner. Results: In men, HHcy compromises sperm deoxyribonucleic acid (DNA) integrity, methylation, and testicular microcirculation, reducing fertility potential. In women, HHcy disrupts follicular growth, oocyte competence, embryo quality, and endometrial receptivity, increasing the risk of implantation failure, miscarriage, and pregnancy complications. In assisted reproduction, HHcy and 5,10-methylenetetrahydrofolate reductase (MTHFR) variants may lower oocyte yield and embryo quality, although folate and B-vitamin supplementation can mitigate these effects. Conclusions: These effects largely reflect oxidative, inflammatory, vascular and epigenetic mechanisms, highlighting Hcy as a modifiable factor for improving natural fertility, optimizing IVF outcomes, and supporting healthy offspring development.
Full article
(This article belongs to the Section Proteins and Amino Acids)
►
Show Figures
Open AccessArticle
Synergistic Association of Glycemic Variability and Severe Vitamin D Deficiency with Proliferative Diabetic Retinopathy
by
Nejla Dervis, Simona Carniciu, Alina Spinean and Sanda Jurja
Nutrients 2025, 17(20), 3210; https://doi.org/10.3390/nu17203210 (registering DOI) - 13 Oct 2025
Abstract
Background: Oscillating hyperglycemia (glycemic variability) and vitamin D deficiency each damage the retinal microvasculature, yet their combined effect on sight-threatening proliferative diabetic retinopathy (PDR) is uncertain. Objective: To determine whether high GV and severe vitamin D deficiency independently, and additively, associate with retinal
[...] Read more.
Background: Oscillating hyperglycemia (glycemic variability) and vitamin D deficiency each damage the retinal microvasculature, yet their combined effect on sight-threatening proliferative diabetic retinopathy (PDR) is uncertain. Objective: To determine whether high GV and severe vitamin D deficiency independently, and additively, associate with retinal neovascularization in adults with diabetes. Materials and Methods: We conducted a cross-sectional study between January 2025 and June 2025 in 58 adults with diabetes at Constanța County Emergency Hospital, Romania. GV was classified as high (coefficient of variation > 36% or SMBG-SD > 50 mg/dL) or low. Serum 25-hydroxy-vitamin D [25(OH)D] was measured; severe deficiency < 10 ng/mL. Dilated funduscopy graded retinopathy as non-proliferative (NPDR) or proliferative (PDR). Multivariable logistic regression adjusted for HbA1c, diabetes duration, BMI, smoking, triglycerides and therapy. Results: From 58 adults (mean ± SD 59 ± 11 years), high GV characterized 29/58 participants (50%). Severe vitamin D deficiency was more frequent in the GV-high group (45% vs. 31%). PDR prevalence was 48% in GV-high and 31% in GV-low patients. After adjustment, high GV (adjusted OR 2.31, 95% CI 1.05–5.09) and severe vitamin D deficiency (OR 2.04, 95% CI 0.98–4.25) each predicted PDR. Concomitant exposure to both stressors conferred 3.9-fold higher odds of PDR (OR 3.88, 95% CI 1.35–11.1). No interaction term reached significance (p = 0.21), indicating additive effects. Conclusions: High GV and severe vitamin D deficiency independently and additively associate with PDR. Screening for both parameters may enhance risk stratification of PDR. Within adults with diabetes, high glycemic variability and severe vitamin D deficiency were each associated with higher odds of PDR after adjustment for HbA1c, diabetes duration, BMI, smoking, triglycerides, and treatment pattern; their effects appeared additive rather than multiplicative. These findings reflect associations within diabetes and do not imply that vitamin D deficiency produces retinopathy in euglycemic individuals.
Full article
(This article belongs to the Special Issue Pathophysiology of Glucose and Lipid Metabolism in Noncommunicable Diseases (NCDs))
Open AccessReview
Artificial Intelligence in Endurance Sports: Metabolic, Recovery, and Nutritional Perspectives
by
Gerasimos V. Grivas and Kousar Safari
Nutrients 2025, 17(20), 3209; https://doi.org/10.3390/nu17203209 (registering DOI) - 13 Oct 2025
Abstract
Background: Artificial Intelligence (AI) is increasingly applied in endurance sports to optimize performance, enhance recovery, and personalize nutrition and supplementation. This review synthesizes current knowledge on AI applications in endurance sports, emphasizing implications for metabolic health, nutritional strategies, and recovery optimization, while
[...] Read more.
Background: Artificial Intelligence (AI) is increasingly applied in endurance sports to optimize performance, enhance recovery, and personalize nutrition and supplementation. This review synthesizes current knowledge on AI applications in endurance sports, emphasizing implications for metabolic health, nutritional strategies, and recovery optimization, while also addressing ethical considerations and future directions. Methods: A narrative review was conducted using targeted searches of PubMed, Scopus, and Web of Science with cross-referencing. Extracted items included sport/context, data sources, AI methods including machine learning (ML), validation type (internal vs. external/field), performance metrics, comparators, and key limitations to support a structured synthesis; no formal risk-of-bias assessment or meta-analysis was undertaken due to heterogeneity. Results: AI systems effectively integrate multimodal physiological, environmental, and behavioral data to enhance metabolic health monitoring, predict recovery states, and personalize nutrition. Continuous glucose monitoring combined with AI algorithms allows precise carbohydrate management during prolonged events, improving performance outcomes. AI-driven supplementation strategies, informed by genetic polymorphisms and individual metabolic responses, have demonstrated enhanced ergogenic effectiveness. However, significant challenges persist, including measurement validity and reliability of sensor-derived signals and overall dataset quality (e.g., noise, missingness, labeling error), model performance and generalizability, algorithmic transparency, and equitable access. Furthermore, limited generalizability due to homogenous training datasets restricts widespread applicability across diverse athletic populations. Conclusions: The integration of AI in endurance sports offers substantial promise for improving performance, recovery, and nutritional strategies through personalized approaches. Realizing this potential requires addressing existing limitations in model performance and generalizability, ethical transparency, and equitable accessibility. Future research should prioritize diverse, representative, multi-site data collection across sex/gender, age, and race/ethnicity. Coverage should include performance level (elite to recreational), sport discipline, environmental conditions (e.g., heat, altitude), and device platforms (multi-vendor/multi-sensor). Equally important are rigorous external and field validation, transparent and explainable deployment with appropriate governance, and equitable access to ensure scientifically robust, ethically sound, and practically relevant AI solutions.
Full article
(This article belongs to the Special Issue The Role of Nutritional Intake and Supplements in Improving Athletic Performance)
►▼
Show Figures

Figure 1
Open AccessArticle
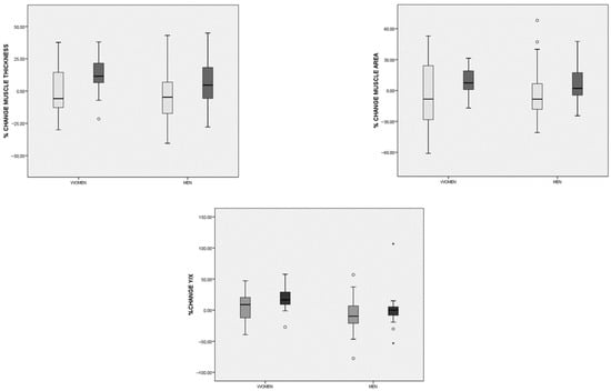
Effect of Calcium Hydroxy-Methyl-Butyrate-Enriched Diabetes-Specific Oral Nutritional Supplementation on Patients with Heterogeneous Diabetes Mellitus Population with Disease Related Malnutrition Assessed with AI-Assisted Ultrasound Imaging
by
Juan J. López-Gómez, Jaime González-Gutiérrez, Paloma Pérez-López, Olatz Izaola-Jauregui, Ángela Cebriá, Lucía Estévez-Asensio, David Primo-Martín, Mario Alfredo Saavedra-Vasquez, Beatriz Ramos-Bachiller, Daniel Rico-Bargues, Eduardo Jorge Godoy and Daniel Antonio De Luis-Román
Nutrients 2025, 17(20), 3208; https://doi.org/10.3390/nu17203208 (registering DOI) - 13 Oct 2025
Abstract
Background/Objectives: Sarcopenia is common in patients with diabetes mellitus. The use of branched-chain amino acids may influence muscle mass. The aim of this study is to evaluate the effect of a diabetes-specific formula enriched with calcium hydroxy-methyl-butyrate (CaHMB) on muscle mass in
[...] Read more.
Background/Objectives: Sarcopenia is common in patients with diabetes mellitus. The use of branched-chain amino acids may influence muscle mass. The aim of this study is to evaluate the effect of a diabetes-specific formula enriched with calcium hydroxy-methyl-butyrate (CaHMB) on muscle mass in patients with diabetes and high risk of malnutrition. Methods: A prospective observational study in 95 patients divided into two cohorts of patients with diabetes, treated with a tailored diet, dietary counseling, and diabetes-specific oral nutritional supplements (ONSs) administered between meals: one enriched with CaHMB (CaHMB Diabetes ONS) 44 (46.32%) patients; and another without CaHMB (Diabetes-Specific ONS) 51 (53.68%) patients. Anthropometric parameters, bioimpedance, artificial intelligence (AI)-assisted ultrasound of the rectus femoris muscle (PIIXMEDTM), and handgrip strength were assessed. Evaluations were conducted at baseline and after 3 months. Results: The mean age was 71.05 (10.67) years; 56.8% were male. After three months, both groups increased their nutritional intake with no differences in dietary protein content between groups. The CaHMB group showed a greater increase in muscle mass as measured by ultrasound, both in muscle area (CaHMB ONS: +5.84 (−3.3 ± 21.58)% vs. Diabetes-Specific ONS: −9.34% (−25.78 ± 12.02)%; p < 0.01) and muscle thickness (CaHMB ONS: +9.17 (−4.40 ± 21.05)% vs. Diabetes-Specific ONS −6.30 (−18.57 ± 12.56)%; p < 0.01). The CaHMB ONS group showed a higher likelihood of increased muscle mass compared to the Diabetes-Specific ONS, with an odds ratio (OR) of 9.31 (95%CI: 2.16–40.13) for thickness and 3.96 (95%CI: 1.11–14.13) for area, adjusted for gender, age, serum albumin, and baseline glycated hemoglobin. Conclusions: Supplementation with Ca-HMB in patients with diabetes and high risk of malnutrition showed significant improvements in muscle mass as assessed by AI-assisted ultrasound. Both groups increased nutritional intake, but only the CaHMB group showed specific benefits in muscle parameters.
Full article
(This article belongs to the Special Issue Dietary Recommendations for Clinical Patients After Diagnosis)
►▼
Show Figures

Figure 1
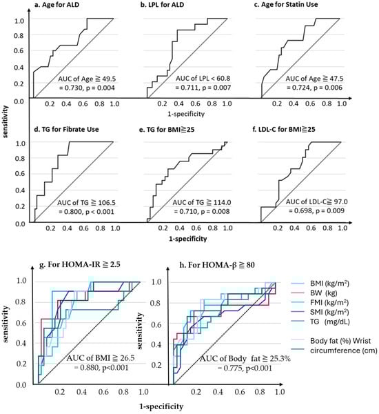
Open AccessArticle
Clinical Significance of Lipoprotein Lipase (LPL) in People Living with HIV: A Comprehensive Assessment Including Lipidemia, Body Composition, Insulin Secretion, and Insulin Resistance
by
Akira Matsumoto, Kunio Yanagisawa, Yoshiyuki Ogawa, Takumi Nagasawa, Mayumi Nishiyama, Koji Sakamaki, Akihiro Yoshida, Masami Murakami, Katsuhiko Tsunekawa, Hiroshi Handa and Takao Kimura
Nutrients 2025, 17(20), 3207; https://doi.org/10.3390/nu17203207 (registering DOI) - 13 Oct 2025
Abstract
Background/Objectives: Dyslipidemia is one of the major problems of long-term management in people living with human immunodeficiency virus (HIV) (PLH) as a risk factor for cardiovascular diseases. Lipoprotein lipase (LPL) is anchored on the surface of the capillary endothelial cells and plays
[...] Read more.
Background/Objectives: Dyslipidemia is one of the major problems of long-term management in people living with human immunodeficiency virus (HIV) (PLH) as a risk factor for cardiovascular diseases. Lipoprotein lipase (LPL) is anchored on the surface of the capillary endothelial cells and plays a pivotal role in triglyceride metabolism by catabolizing dietary chylomicrons and very low-density lipoprotein synthesized in the liver. However, the details of the mechanisms in the era of integrase strand transfer inhibitor-based antiretroviral therapy have not yet been clarified. Methods: This study was a cross-sectional, single-center, non-interventional study evaluating the underlying factors associated with dyslipidemia, insulin resistance or secretion, and changes in the body composition of PLH. Results: Among PLH (n = 48), lower LPL (<60.8 ng/mL) and older age independently predicted antilipemic drug (ALD) necessity. A comparison of ALD-naïve PLH (n = 33) and age- and sex-matched non-HIV controls (n = 33) showed that PLH were significantly associated with lower high-density lipoprotein cholesterol (HDL-C) and higher HOMA-β. LPL was also the independent predictor of HDL-C < 40 mg/dL in PLH (adjusted odds ratio = 0.901, p = 0.044). Furthermore, LPL < 65.3 ng/mL predicted HDL-C < 40 mg/dL with 100% sensitivity and 60.9% specificity. Low levels of HIV-RNA were detected in the high HOMA-β group. Conclusions: In Japanese individuals, compared to non-HIV controls, PLH has low HDL-C and LPL. The measurement of LPL may confer the risk assessment and decision-making with relevance to ALD in PLH. Additionally, the effectiveness of HIV antiviral therapy and glucose tolerance may interact with each other.
Full article
(This article belongs to the Section Nutrition and Metabolism)
►▼
Show Figures

Figure 1
Open AccessArticle
Metabolic Dysfunction-Associated Steatotic Liver Disease Is Linked to Environmental Sustainability: The Role of the Mediterranean Diet
by
Silvia García, Cristina Bouzas, Marina Ródenas-Munar, Violeta Cepeda, Lucía Ugarriza, Miguel Casares, Cristina Gómez, David Mateos and Josep A. Tur
Nutrients 2025, 17(20), 3206; https://doi.org/10.3390/nu17203206 (registering DOI) - 12 Oct 2025
Abstract
Background: Metabolic dysfunction-associated steatotic liver disease (MASLD) and climate change are major global health challenges. Aim: Our aim was to assess the relationship between intrahepatic fat content (IFC) and diet-related environmental impact in a Mediterranean diet (MD)-based intervention. Design: The design included a
[...] Read more.
Background: Metabolic dysfunction-associated steatotic liver disease (MASLD) and climate change are major global health challenges. Aim: Our aim was to assess the relationship between intrahepatic fat content (IFC) and diet-related environmental impact in a Mediterranean diet (MD)-based intervention. Design: The design included a six-month longitudinal analysis within the frame of a FLIPAN randomized controlled trial, including 60 participants aged 40–60 years with MASLD, metabolic syndrome and obesity. Methods: IFC expressed as a percentage (%IFC) was measured by magnetic resonance imaging, and dietary intake was assessed via a validated food frequency questionnaire (FFQ). Environmental impacts of diets were estimated using life cycle assessment data from the Agribalyse® database, focusing on greenhouse gas (GHG) emissions, water use, energy use and land use. A composite sustainability score was also calculated. Changes in liver fat and environmental footprints were analyzed using a general linear model (GLM) adjusted for within-subject variability and partial correlation analysis adjusted for energy intake, MD adherence and body weight. Results: The participants with the highest %IFC reduction group in the GLM showed the highest decreases in GHG emissions and land use. Water use increased in this same group. Energy use and the composite sustainability score did not differ significantly between groups. Higher %IFC reductions were also associated with higher MD adherence and lower visceral fat. When the adjusted partial correlation analysis for the environmental parameters was performed, only water use remained significant. Conclusions: Higher reductions in %IFC were linked to dietary patterns with lower GHG emissions and land use and higher water use. However, when adjusted by energy intake, MD adherence and body weight in continuous modeling, only higher water use was related to lower %IFC. These findings highlight the complexity of achieving environmentally sustainable and health-promoting diets.
Full article
(This article belongs to the Special Issue Mediterranean Diet: Health Benefits and Sustainability)
Open AccessArticle
The Association of Serum Erythroferrone, a Regulator of Erythropoiesis and Iron Homeostasis, with Cardiometabolic Risk Factors in Apparently Healthy Young Adults—A Preliminary Study
by
Katarzyna Bergmann, Anna Stefańska and Magdalena Krintus
Nutrients 2025, 17(20), 3205; https://doi.org/10.3390/nu17203205 (registering DOI) - 12 Oct 2025
Abstract
Background: Recent studies suggest that erythroferrone (ERFE), an iron-regulating protein whose primary role is to inhibit hepcidin synthesis, may affect glucose and lipid metabolism, and its serum concentration is reduced in obese and diabetic individuals. The aim of this study was to
[...] Read more.
Background: Recent studies suggest that erythroferrone (ERFE), an iron-regulating protein whose primary role is to inhibit hepcidin synthesis, may affect glucose and lipid metabolism, and its serum concentration is reduced in obese and diabetic individuals. The aim of this study was to evaluate the association of ERFE concentration with selected cardiometabolic risk factors in apparently healthy young adults. Methods: This preliminary study consisted of 122 (63 females, 59 males) normoglycemic, non-smoking subjects aged 25–40 years. In all participants, anthropometric measurements and the following laboratory tests were performed: fasting plasma glucose, glycated hemoglobin (HbA1c) and serum iron, lipid profile, insulin, Homeostatic Model Assessment for Insulin Resistance (HOMA-IR), C-reactive protein (CRP), ERFE and hepcidin. Results: The serum ERFE concentration was significantly lower in men compared to women (p = 0.009) and in subjects who were overweight (p < 0.001) and had abdominal obesity (p < 0.001). ERFE showed significant negative correlations with body mass index, waist–hip ratio, HbA1c, CRP, insulin, HOMA-IR and triglycerides. In the logistic regression analysis, ERFE was significantly associated with being overweight (OR = 0.051; p = 0.004), abdominal obesity (OR = 0.372; p < 0.001), HOMA-IR ≥ 2.0 (OR = 0.584; p = 0.013), CRP > 1 mg/L (OR = 0.648; p = 0.020) and triglycerides (OR = 0.521; p = 0.033). A relevant predominance in the prevalence of cardiometabolic risk factors was observed in subjects with ERFE levels in the first tertile (<1.35 ng/mL), compared to the third tertile (>2.19 ng/mL). Conclusions: Serum ERFE is inversely associated with being overweight, increased waist circumference, CRP, and markers of insulin resistance and lipid abnormalities, suggesting its potential relevance as a marker of early cardiometabolic risk in apparently healthy young adults.
Full article
(This article belongs to the Special Issue Physiology and Pathophysiology of Iron Metabolism—2nd Edition)
►▼
Show Figures

Figure 1
Open AccessArticle
Research on the Protective Effects and Mechanisms of Gallic Acid Against Cognitive Impairment Induced by Chronic Sleep Deprivation
by
Xiangfei Zhang, Jingwen Cui, Jing Sun, Fengzhong Wang, Bei Fan and Cong Lu
Nutrients 2025, 17(20), 3204; https://doi.org/10.3390/nu17203204 (registering DOI) - 12 Oct 2025
Abstract
Background: Gallic acid (GA) is a dietary polyphenol widely found in walnuts, tea leaves, and grapes, and it is recognized for its potent antioxidant and anti-inflammatory properties. Chronic sleep deprivation (CSD) is known to disrupt redox balance, promote neuroinflammation, and impair cognition,
[...] Read more.
Background: Gallic acid (GA) is a dietary polyphenol widely found in walnuts, tea leaves, and grapes, and it is recognized for its potent antioxidant and anti-inflammatory properties. Chronic sleep deprivation (CSD) is known to disrupt redox balance, promote neuroinflammation, and impair cognition, while effective nutritional strategies to mitigate these effects remain scarce. This study was designed to evaluate the protective potential of GA against CSD-induced cognitive deficits in mice and to elucidate the underlying mechanisms. Methods: Seventy-two male ICR mice were randomly allocated to six groups, including control, CSD model, Ginkgo biloba extract, and GA at three doses (50, 100, and 200 mg/kg). After 28 days of treatment, cognitive performance was assessed using the open field test (OFT), novel object recognition (NOR), step-through passive avoidance (ST), and Morris water maze (MWM). Redox status and inflammatory mediators were determined by ELISA, while the hippocampal expression of proteins related to antioxidant defense and NF-κB signaling was analyzed by Western blotting. Results: GA supplementation improved exploratory activity, recognition memory, and spatial learning in the CSD mice. Biochemical evaluation revealed that total antioxidant capacity (T-AOC) and superoxide dismutase (SOD) activity were restored, while malondialdehyde (MDA) levels, an indicator of lipid peroxidation, were reduced. These changes were accompanied by decreased circulating concentrations of interleukin-1β (IL-1β), interleukin-6 (IL-6), and tumor necrosis factor-α (TNF-α). At the molecular level, GA enhanced the expression of Nrf2, HO-1, and NQO1, while inhibiting p-p65, iNOS, and COX2 in the hippocampus. Conclusions: These findings demonstrate that GA alleviates CSD-induced cognitive deficits through the activation of the Nrf2/HO-1 antioxidant pathway and inhibition of NF-κB–mediated inflammatory responses. Thus, GA may represent a promising nutraceutical candidate for maintaining cognitive health under chronic sleep loss.
Full article
(This article belongs to the Special Issue Therapeutic Potential of Phytochemicals in Neurodegenerative Diseases)
►▼
Show Figures

Graphical abstract
Open AccessArticle
Minimum Dietary Fat Threshold for Effective Ketogenesis and Obesity Control in Mice
by
Jiawen Shou, Xingchen Dong, Fei Sun, Jia Li, Huiren Wang, Qing Ai, Michael Pellizzon and Ting Fu
Nutrients 2025, 17(20), 3203; https://doi.org/10.3390/nu17203203 (registering DOI) - 12 Oct 2025
Abstract
Background/Objectives: Ketogenic diets (KDs), defined by very low carbohydrate and high fat content, are widely studied for obesity and metabolic disease. However, KD formulations vary from 60–95% fat, leading to inconsistent induction of ketogenesis and variable outcomes. The fat threshold required for
[...] Read more.
Background/Objectives: Ketogenic diets (KDs), defined by very low carbohydrate and high fat content, are widely studied for obesity and metabolic disease. However, KD formulations vary from 60–95% fat, leading to inconsistent induction of ketogenesis and variable outcomes. The fat threshold required for sustained ketosis, and the tissue-specific programs that mediate KD efficacy, remain unclear. Methods: We evaluated multiple KD formulations (80–95% fat) in C57BL/6J wild-type (WT) and diet-induced obese (DIO) mice. Plasma, hepatic, and intestinal β-hydroxybutyrate (BHB) were measured together with expression of ketogenesis and fatty acid oxidation genes. Body weight, adipose distribution, and liver morphology were assessed under both direct feeding and therapeutic settings. Results: In WT mice, only diets exceeding 85% fat induced robust ketogenesis, reflected by elevated BHB and hepatic upregulation of Cd36, Cpt1a, Acat1, and Hmgcs2. Moderate KDs (80–85%) failed to trigger ketosis and resembled high-fat feeding. In obese mice, an 80% KD lowered fasting glucose without reducing body weight, whereas a 90% KD promoted systemic ketosis, weight loss, and adipose reduction. Interestingly, hepatic transcriptional programs for fatty acid oxidation and ketogenesis were suppressed under 90% KD despite elevated BHB, suggesting reliance on substrate availability and peripheral utilization. In contrast, intestinal Hmgcs2 was strongly induced in both WT and DIO mice, with Oxct1 upregulated only in obesity, indicating local ketone production and consumption. Conclusions: These findings identify > 85% dietary fat as a threshold for sustained ketosis and highlight distinct liver–intestine contributions, underscoring ketogenesis as the central driver of KD’s anti-obesity benefits.
Full article
(This article belongs to the Section Nutrition and Public Health)
Open AccessReview
The Neuroprotective Potential of Vitamin D3
by
Jacek Pietruszkiewicz, Katarzyna Mrozek, Mateusz Zwierz, Agata Wińska, Maria Suprunowicz, Aleksandra Julia Oracz and Napoleon Waszkiewicz
Nutrients 2025, 17(20), 3202; https://doi.org/10.3390/nu17203202 (registering DOI) - 12 Oct 2025
Abstract
Vitamin D3 plays a pivotal role not only in bone health but also in the functioning of the nervous system, particularly in the context of age-related neurodegenerative diseases such as Alzheimer’s disease, multiple sclerosis, and Parkinson’s disease. Vitamin D3 deficiency has
[...] Read more.
Vitamin D3 plays a pivotal role not only in bone health but also in the functioning of the nervous system, particularly in the context of age-related neurodegenerative diseases such as Alzheimer’s disease, multiple sclerosis, and Parkinson’s disease. Vitamin D3 deficiency has been associated with cognitive decline, heightened inflammation, and shortened leukocyte telomere length, which may contribute to accelerated cellular aging. Therapeutic interventions involving vitamin D3 have been reported in selected clinical studies and meta-analyses to potentially enhance cognitive function, decrease amyloid β biomarkers, and prolong telomere length, although heterogeneity remains across study designs and populations. Furthermore, vitamin D3 has been shown to influence the expression of genes implicated in DNA repair and oxidative stress response, including NRF2, OGG1, MYH, and MTH1. This narrative review synthesizes current knowledge on the molecular mechanisms of vitamin D3 action in the context of neuroprotection and discusses potential directions for future research, including its possible therapeutic applications in neurodegenerative diseases.
Full article
(This article belongs to the Special Issue Vitamin D and Age-Related Diseases)
►▼
Show Figures

Figure 1
Open AccessArticle
Isorhamnetin Exhibits Hypoglycemic Activity and Targets PI3K/AKT and COX-2 Pathways in Type 1 Diabetes
by
Lijia Li, Jia Li, Jie Ren and Jengyuan Yao
Nutrients 2025, 17(20), 3201; https://doi.org/10.3390/nu17203201 (registering DOI) - 11 Oct 2025
Abstract
Background: Isorhamnetin (ISO), a dietary O-methylated flavonol, was evaluated for hypoglycemic activity and mechanism in a streptozotocin (STZ) model of type 1 diabetes. Methods: We conducted untargeted plasma metabolomics (ESI±), network integration and docking, and measured pancreatic PI3K, phosphorylated AKT, and COX-2; INS-1
[...] Read more.
Background: Isorhamnetin (ISO), a dietary O-methylated flavonol, was evaluated for hypoglycemic activity and mechanism in a streptozotocin (STZ) model of type 1 diabetes. Methods: We conducted untargeted plasma metabolomics (ESI±), network integration and docking, and measured pancreatic PI3K, phosphorylated AKT, and COX-2; INS-1 β cells challenged with the PI3K inhibitor LY294002 were used to assess viability, intracellular ROS, and PI3K phosphorylation. Results: ISO lowered fasting glycemia, increased circulating insulin, improved dyslipidemia by reducing low-density lipoprotein cholesterol (LDL-C), and preserved islet architecture. Untargeted plasma metabolomics (ESI±) indicated broad remodeling with enrichment of arachidonic-, linoleic-, starch/sucrose- and glycerophospholipid pathways. Network integration and docking prioritized targets converging on PI3K/AKT and COX-2/eicosanoid signaling. Consistently, in pancreatic tissue, ISO increased PI3K, phosphorylated AKT, and reduced COX-2. In INS-1 beta cells challenged with the PI3K inhibitor LY294002, ISO improved viability, decreased intracellular ROS, and partially restored PI3K phosphorylation at 4 µM. Conclusions: Together, these data indicate that ISO exerts hypoglycemic effects while supporting β-cell integrity through activation of PI3K/AKT and tempering of COX-2–linked lipid-mediator pathways. ISO therefore emerges as a food-derived adjunct candidate for autoimmune diabetes, and the work motivates targeted lipidomics and in vivo pathway interrogation in future studies.
Full article
(This article belongs to the Special Issue Hypoglycemic Properties and Pathways of Natural Substances)
►▼
Show Figures

Figure 1
Open AccessArticle
Developmental Regulation of the Murine Selenoproteome Across Embryonic and Postnatal Stages: Implications for Human Nutrition and Health
by
Shan-Shan Wang, Tong Li, Cheng-Jia Wei and Lan-Yu Cui
Nutrients 2025, 17(20), 3200; https://doi.org/10.3390/nu17203200 (registering DOI) - 11 Oct 2025
Abstract
Background/Objectives: Selenoproteins play indispensable roles in embryonic development, with their dysregulation linked to various metabolic and neurological disorders. This study aims to systematically quantify the mRNA expression levels of all 24 selenoprotein genes in murine heart, brain, liver, and kidney tissues across embryonic
[...] Read more.
Background/Objectives: Selenoproteins play indispensable roles in embryonic development, with their dysregulation linked to various metabolic and neurological disorders. This study aims to systematically quantify the mRNA expression levels of all 24 selenoprotein genes in murine heart, brain, liver, and kidney tissues across embryonic (E8.5, E12.5, E18.5) and postnatal (P7, P30, P90) developmental stages, in order to elucidate the regulatory landscape of selenium metabolism during development. Methods: We collected tissues from mice at six developmental stages and performed RNA extraction followed by quantitative real-time PCR (qPCR) to measure the expression of all 24 selenoprotein genes. Data were normalized using the geometric mean of ActB and Gapdh, and statistical analyses were conducted using one-way ANOVA with Duncan’s post hoc test. Results: Our analysis reveals three principal findings: (1) Distinct expression patterns emerge among selenoprotein families—deiodinases (Dio1-3) and thioredoxin reductases (Txnrd1-3) exhibit limited embryonic expression (<20-fold changes), while glutathione peroxidases (Gpx1, Gpx3, Gpx4) and biosynthesis-related genes (Selenop, Msrb1) show substantial postnatal upregulation (up to 600-fold increases); (2) Selenoproteins essential for embryonic survival (Gpx4, Txnrd1, Txnrd2, Selenoi, Selenot) display expression profiles concordant with their essential developmental functions; (3) Selenop and Msrb1, involved in selenium transport and redox regulation, demonstrate early embryonic upregulation with further increases during postnatal development. Conclusions: These spatiotemporal expression patterns elucidate the regulatory landscape of selenium metabolism during development and provide mechanistic insights into the phenotypes associated with selenium deficiency. The findings offer valuable implications for human nutritional interventions and developmental health.
Full article
(This article belongs to the Special Issue Micronutrients and Bioactive Molecules: Their Development, Interaction, and Impact on Human Health)
►▼
Show Figures

Figure 1
Open AccessArticle
Phase-Specific Alterations in Gut Microbiota and Their Associations with Energy Intake and Nutritional Clustering in Competitive Weightlifters
by
Chun-Yu Kuo, Yu-Ching Lo, Wei-Ling Chen and Yi-Ju Hsu
Nutrients 2025, 17(20), 3199; https://doi.org/10.3390/nu17203199 (registering DOI) - 11 Oct 2025
Abstract
Background/Objectives: This study investigated how phase-specific dietary strategies and weight regulation influence gut microbiota composition and diversity in competitive weightlifters. Particular emphasis was placed on integrating energy intake, macronutrient clustering, and weight fluctuations across distinct training phases. Methods: Thirteen competitive weightlifters
[...] Read more.
Background/Objectives: This study investigated how phase-specific dietary strategies and weight regulation influence gut microbiota composition and diversity in competitive weightlifters. Particular emphasis was placed on integrating energy intake, macronutrient clustering, and weight fluctuations across distinct training phases. Methods: Thirteen competitive weightlifters were recruited, with 10–12 contributing complete data per phase. Fecal and dietary samples were collected during the preparation, competition, and transition phases. Gut microbiota was profiled via 16S rRNA gene sequencing, and alpha/beta diversity was analyzed using QIIME2. K-means clustering based on caloric/macronutrient intake identified dietary patterns. Taxonomic differences were assessed using DESeq2, and microbial structures were compared across training phases, weight classes, and weight-change categories. Results: Overall phylum- and genus-level profiles and diversity indices remained stable across training phases, indicating community-level resilience. However, specific genera varied with dietary and physiological factors. Enterococcus was higher during the preparation phase, whereas Lactobacillus was enriched during the competition and transition phases as well as in the high-calorie cluster. Lightweight and heavyweight athletes also showed distinct microbial structures, and pre- and post-competition weight changes were associated with shifts in selected taxa. Notably, the low-calorie group exhibited higher Shannon diversity than the high-calorie group (p = 0.0058), with Lactobacillus dominance contributing to reduced evenness in high-energy diets. Conclusions: Despite overall microbial stability, dietary energy availability and body-weight regulation modulated specific taxa relevant to performance and recovery. By integrating dietary clustering, weight-class comparison, and pre- and post-competition weight changes, this study provides novel insight into the microbiota of resistance-trained athletes, a population underrepresented in previous research. Despite the modest sample size and single-season scope, this study offers new evidence linking dietary strategies, weight regulation, and gut microbiota in weightlifters, and highlights the need for validation in broader cohorts.
Full article
(This article belongs to the Special Issue Advanced Research on Nutrition and Gut–Brain Axis)
Open AccessArticle
Lacticaseibacillus rhamnosus AC1 Aggravates Bone Loss in a Male Rat Model of Deoxycorticosterone Acetate (DOCA)-Salt-Induced Osteoporosis
by
Xiaoqing Kuang, Haicui Wu, Tim Fat Shum, Chunyi Wen and Jiachi Chiou
Nutrients 2025, 17(20), 3198; https://doi.org/10.3390/nu17203198 (registering DOI) - 11 Oct 2025
Abstract
Background/Objectives: Osteoporosis is a prevalent and debilitating skeletal disease characterized by a progressive loss of bone mass and deterioration of bone microarchitecture. Probiotics have emerged as a potential therapeutic tool for treating osteoporosis through modulation of the gut microbiota. In this study,
[...] Read more.
Background/Objectives: Osteoporosis is a prevalent and debilitating skeletal disease characterized by a progressive loss of bone mass and deterioration of bone microarchitecture. Probiotics have emerged as a potential therapeutic tool for treating osteoporosis through modulation of the gut microbiota. In this study, we aimed to examine the effects of live Lacticaseibacillus rhamnosus AC1 (LR-AC1), isolated from a fecal sample from a newborn in Hong Kong, on deoxycorticosterone acetate (DOCA)-induced bone loss in a rat model. Methods: Bone mass and microarchitecture were assessed using micro-computed tomography (micro-CT). Immunostaining for CD31+ and osterix, markers of endothelial cells and osteoblast precursors, respectively, was performed. Gut microbiota composition was analyzed via 16S rRNA sequencing. The effects of an LR-AC1 cell-free conditioned supernatant (CCS) on osteoclastogenesis, angiogenesis, and migration of bone marrow mesenchymal stem cells (BMSCs) were evaluated in vitro using RT-qPCR and wound healing assays. Results: LR-AC1 administration did not induce adverse effects in healthy rats; however, it exacerbated bone loss in rats with DOCA-salt-induced osteoporosis. Correspondingly, the number of CD31-positive endothelial cells and osterix-positive osteoprogenitors decreased with bone loss. In vitro, LR-AC1 CCS promoted osteoclastogenesis and angiogenesis, while in the presence of DOCA, LR-AC1 CCS inhibited BMSC migration. Gut microbiota analysis revealed that the relative abundances of the genera g_RF39 and g_Clostridia_UCG-014 correlated with the severity of bone loss. Conclusions: While several studies suggest that probiotics can prevent and treat osteoporosis, our findings indicate that in a male rat model of DOCA-salt-induced osteoporosis, live LR-AC1 aggravated bone loss. This effect is associated with alterations in gut microbiota and disruption of the coupling process in bone remodeling.
Full article
(This article belongs to the Special Issue Effects of Probiotics, Prebiotics, and Postbiotics on Human Health (2nd Edition))
►▼
Show Figures

Figure 1
Open AccessReview
Avoidant/Restrictive Food Intake Disorder in Celiac Disease
by
Ridhima Kaul, Claire Jansson-Knodell, Madison L. Simons, Kendra Weekley, David Gardinier and Alberto Rubio-Tapia
Nutrients 2025, 17(20), 3197; https://doi.org/10.3390/nu17203197 (registering DOI) - 11 Oct 2025
Abstract
Celiac disease (CeD) is an autoimmune disorder where adherence to a lifelong gluten-free diet (GFD) is the only available treatment. While this approach is rather effective, some patients experience ongoing symptoms, and this factor, along with the rigidity of the GFD, may predispose
[...] Read more.
Celiac disease (CeD) is an autoimmune disorder where adherence to a lifelong gluten-free diet (GFD) is the only available treatment. While this approach is rather effective, some patients experience ongoing symptoms, and this factor, along with the rigidity of the GFD, may predispose some to disordered eating behaviors, including Avoidant/Restrictive Food Intake Disorder (ARFID). ARFID is characterized by persistent food avoidance that is not driven by body image concerns, resulting in nutritional, psychological, and social impairment. This scoping literature review explores the emerging intersection between ARFID and CeD, examining prevalence, pathophysiology, clinical features, complications, and management strategies. Recent studies report that 14–57% of individuals with CeD may meet the criteria for ARFID, depending on the population and screening tools used. Factors contributing to ARFID in CeD may include ongoing gastrointestinal symptoms, anxiety over gluten exposure, negative conditioned responses to food, social challenges related to GFD adherence, and psychiatric co-morbidities. ARFID in CeD is associated with worsened nutritional deficiencies, anxiety, depression, and impaired social functioning, making the diagnosis of ARFID challenging due to symptom overlap with CeD and other psychiatric conditions. Management requires a multidisciplinary approach, including medical, nutritional, and psychological interventions. Routine screening, early intervention, and integrated care models may improve outcomes and quality of life.
Full article
(This article belongs to the Special Issue Diet on Gut Health and Celiac Disease)
Open AccessArticle
Integrated Behavioral Profiles of Physical Activity and Dietary Intake in Young Adults and Their Associations with Lower Limb Injury Occurrence
by
Jarosław Domaradzki
Nutrients 2025, 17(20), 3196; https://doi.org/10.3390/nu17203196 (registering DOI) - 11 Oct 2025
Abstract
Background/Objectives: To delineate integrated lifestyle profiles combining physical activity (PA) and dietary intake (DI) and test their links with lower limb injury in physically active young adults. Methods: We analyzed a cross-sectional convenience sample of university students (men: n = 91,
[...] Read more.
Background/Objectives: To delineate integrated lifestyle profiles combining physical activity (PA) and dietary intake (DI) and test their links with lower limb injury in physically active young adults. Methods: We analyzed a cross-sectional convenience sample of university students (men: n = 91, 20.5 ± 1.0 years; women: n = 118, 20.3 ± 0.8 years). PA (IPAQ) and DI (QEB) were assessed alongside self-reported injuries. Latent class modeling derived PA–DI profiles. Injury prevalence across profiles was compared (χ2), and logistic regression examined injury odds adjusting for sex, age, and BMI. Results: Four profiles emerged. Two reflected less healthy patterns (Profiles 2–3) and two healthier ones (Profiles 1, 4). Profile 4 showed higher vegetables/legumes/fermented milk and lower fast food/sugary drinks; Profile 3 combined greater sitting and fried/sweetened items with lower walking/milk intake. Overall injury prevalence was 56.9%, ranging from 44.1% (Profile 2) to 66.7% (Profile 4 exceeded Profile 2 in pairwise comparison (χ2 (1) = 5.08, p = 0.024)). In adjusted models, men had higher injury odds (OR = 1.94, 95% CI: 1.09–3.48, p = 0.025); profile membership was not independently predictive, and profile × sex interactions were null. Conclusions: Young adults cluster into distinct PA–DI patterns that differ behaviorally, but sex—rather than profile—was the most consistent correlate of injury. Prevention should integrate lifestyle screening with sex-specific strategies.
Full article
(This article belongs to the Special Issue Relationship Between Dietary Habits and Physical Activity in Modern Lifestyles)
►▼
Show Figures

Figure 1
Open AccessArticle
FokI Polymorphism of the VDR Gene Is Associated with Vitamin D Insufficiency in Elite Male Power Athletes of Kazakhstan
by
Aidana Gabdulkayum, Saya Amangeldikyzy, Adil Yerezhepov, Sayipzhamal Khassanova, Kenes R. Akilzhanov, Ulan Kozhamkulov, Saule Rakhimova, Ulykbek Kairov, Ainur Akilzhanova and Dauren Yerezhepov
Nutrients 2025, 17(20), 3195; https://doi.org/10.3390/nu17203195 (registering DOI) - 11 Oct 2025
Abstract
Background/Objectives: We aimed to investigate the association between VDR gene variants and vitamin D levels in elite male power athletes of Kazakhstan. Methods: We recruited 92 elite male power athletes of Kazakhstan. Concentrations of serum 25(OH)D were measured with the Access
[...] Read more.
Background/Objectives: We aimed to investigate the association between VDR gene variants and vitamin D levels in elite male power athletes of Kazakhstan. Methods: We recruited 92 elite male power athletes of Kazakhstan. Concentrations of serum 25(OH)D were measured with the Access 25(OH) Vitamin D Total Assay on the Unicel Dxl 800 Access Immunoassay System. Gene polymorphisms were determined by a real-time polymerase chain reaction (RT-PCR) allelic discrimination assay using TaqMan™ probes. Results: Vitamin D insufficiency was registered in 63% of athletes. Age (χ2 = 6.83, p < 0.01), BMI (χ2 = 6.83, p < 0.01), and sport experience (χ2 = 4.44, p < 0.04) showed a statistically significant association with vitamin D insufficiency and deficiency (age, χ2 = 7.93, p < 0.01; BMI, χ2 = 5.11, p < 0.03; sport experience, χ2 = 6.19, p = 0.01). The A/A genotype of the VDR FokI polymorphism (rs2228570) showed a strong correlation with vitamin D insufficiency (G/G-G/A vs. A/A, OR = 9.25, 95% CI = 2.01–42.51, p < 0.01) but not deficiency. Conclusions: Our study reveals a significant prevalence of vitamin D insufficiency and deficiency among elite male power athletes of Kazakhstan. Age, BMI, and sport experience are essential factors in developing personalized strategies to address vitamin D insufficiency. The A/A genotype of the VDR FokI polymorphism can be used as a potential biomarker for vitamin D inadequacy in elite male power athletes of Kazakhstan.
Full article
(This article belongs to the Section Micronutrients and Human Health)
►▼
Show Figures

Figure 1
Open AccessArticle
Dietary Modification with Food Order and Divided Carbohydrate Intake Improves Glycemic Excursions in Healthy Young Women
by
Yuki Higuchi, Takashi Miyawaki, Shizuo Kajiyama, Kaoru Kitta, Shintaro Kajiyama, Yoshitaka Hashimoto, Michiaki Fukui and Saeko Imai
Nutrients 2025, 17(20), 3194; https://doi.org/10.3390/nu17203194 (registering DOI) - 10 Oct 2025
Abstract
Background/Objectives: Previous studies show that allocating carbohydrates earlier and vegetables/protein later in late-evening meals improves glycemic control in both healthy individuals and those with type 2 diabetes. However, evidence remains insufficient regarding the effects of distributing carbohydrate intake across the day by dividing
[...] Read more.
Background/Objectives: Previous studies show that allocating carbohydrates earlier and vegetables/protein later in late-evening meals improves glycemic control in both healthy individuals and those with type 2 diabetes. However, evidence remains insufficient regarding the effects of distributing carbohydrate intake across the day by dividing three regular meals into five smaller meals. Methods: We conducted a randomized, controlled, crossover trial to compare the effects of two dietary patterns: (1) a conventional three-meal pattern with simultaneous intake of all food components, and (2) a five-meal pattern incorporating divided carbohydrate portions and a fixed food order—vegetables first, followed by protein, and then carbohydrates. Eighteen healthy young women consumed the same test meals under both patterns. Glucose fluctuations were monitored using an intermittently continuous glucose monitoring system. Results: The five-meal pattern with food sequencing significantly improved the mean amplitude of glycemic excursions (MAGE; 2.56 ± 0.13 vs. 3.49 ± 0.32 mmol/L, p < 0.01), glucose peak, and incremental area under the glucose curve for breakfast, lunch, and dinner, and the time above the target glucose range [>7.8 mmol/L; 1.4 ± 0.6 vs. 4.2 ± 1.0%, p < 0.01] compared to the three-meal pattern. Conclusions: These findings suggest that divided carbohydrate intake and food order ameliorates the MAGE in healthy young women.
Full article
(This article belongs to the Section Clinical Nutrition)
►▼
Show Figures

Figure 1
Open AccessArticle
Safety of FEES Performed by Speech-Language Pathologists and Physicians–Evidence Supporting Task Sharing from a Retrospective Observational Study of 964 Consecutive Examinations
by
Małgorzata Polit, Joanna Chmielewska-Walczak, Maria Sobol, Izabela Domitrz and Kazimierz Niemczyk
Nutrients 2025, 17(20), 3193; https://doi.org/10.3390/nu17203193 - 10 Oct 2025
Abstract
(1) Background: Fiberoptic Endoscopic Evaluation of Swallowing (FEES) is one of the two gold-standard tools for assessing oropharyngeal dysphagia (alongside Videofluoroscopic Swallowing Study). Although generally considered safe, concerns about complications persist, particularly in systems where FEES is not routine and professional roles differ.
[...] Read more.
(1) Background: Fiberoptic Endoscopic Evaluation of Swallowing (FEES) is one of the two gold-standard tools for assessing oropharyngeal dysphagia (alongside Videofluoroscopic Swallowing Study). Although generally considered safe, concerns about complications persist, particularly in systems where FEES is not routine and professional roles differ. The aim of this study was to evaluate the safety of FEES performed by both speech-language pathologists (SLPs) and physicians, in order to provide evidence of its safety in a healthcare system where the procedure is not yet widely established and to identify patient subgroups potentially at higher risk of procedure-related complications. (2) Methods: This retrospective study analyzed 964 consecutive FEES procedures. Examinations were carried out by trained SLPs or physicians. Data included demographics, clinical status, operator qualifications, setting, and complications, classified as minor (vomiting, poor tolerance, early termination) or major (laryngospasm, epistaxis). (3) Results: The overall complication rate was 1.14% (11/964): 0.6% minor and 0.5% major. All events were self-limiting. Complication rates did not differ between SLPs (1.05%) and physicians (1.23%) or by experience, setting, drug use, penetration–aspiration scale score, or nasogastric tube. Four complications occurred in amyotrophic lateral sclerosis patients, suggesting higher risk. (4) Conclusions: FEES is safe and well tolerated when performed by either physicians or SLPs. These findings underscore the value of task sharing in dysphagia diagnostics, demonstrating that a shared model increases service capacity, reduces delays, and facilitates timely management of dysphagia.
Full article
(This article belongs to the Section Geriatric Nutrition)
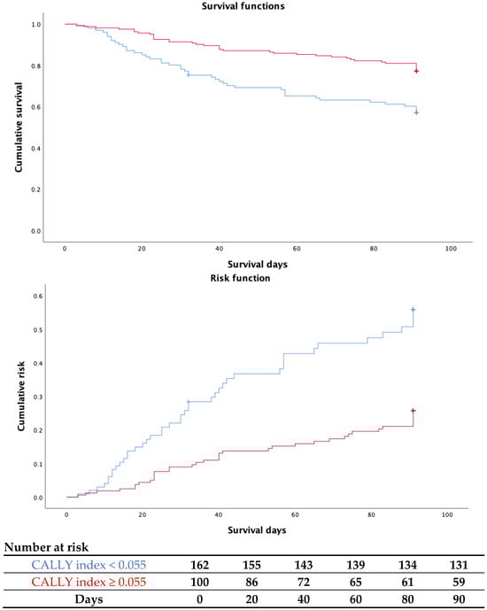
Open AccessArticle
Integrating Nutrition, Inflammation, and Immunity: The CALLY Index as a Novel Prognostic Biomarker in Acute Geriatric Care
by
Francesca Mancinetti, Anna Giulia Guazzarini, Martina Gaspari, Michele Francesco Croce, Rocco Serra, Patrizia Mecocci and Virginia Boccardi
Nutrients 2025, 17(20), 3192; https://doi.org/10.3390/nu17203192 - 10 Oct 2025
Abstract
Background/Objectives: Malnutrition, systemic inflammation, and immune dysfunction are key determinants of adverse outcomes in older adults following acute illness. Composite biomarkers integrating these domains could enhance early risk stratification. This study investigates, for the first time in acute geriatric care, the prognostic value
[...] Read more.
Background/Objectives: Malnutrition, systemic inflammation, and immune dysfunction are key determinants of adverse outcomes in older adults following acute illness. Composite biomarkers integrating these domains could enhance early risk stratification. This study investigates, for the first time in acute geriatric care, the prognostic value of the C-reactive protein–albumin–lymphocyte (CALLY) index—a composite marker of nutritional, inflammatory, and immune status—in predicting short-term survival. Methods: We retrospectively analyzed 264 patients admitted to the acute geriatrics ward of Santa Maria della Misericordia Hospital in Perugia. The CALLY index was calculated as: (Albumin × Lymphocytes)/(CRP × 104). The optimal prognostic cut-off was determined using receiver operating characteristic (ROC) curve analysis. Three-month survival was assessed by Kaplan–Meier analysis. Results: The cohort included 167 women (63.3%) and 97 men (36.7%), with a mean age of 88.0 ± 6.4 years. At 3-month follow-up, 80 patients (30.3%) had died. The CALLY index showed an area under the ROC curve of 0.647 (95% CI: 0.576–0.718; p < 0.001), with a cut-off of 0.055 (sensitivity: 68.5%, specificity: 46.3%). Among deceased patients, 42.5% had a CALLY index <0.055. After multivariable adjustment, a lower CALLY index remained independently associated with increased mortality (B = −0.805; OR = 0.45; 95% CI: 0.215–0.930; p = 0.031). Kaplan–Meier analysis demonstrated significantly higher survival in patients with a CALLY index ≥ 0.055 (Log-rank test: 13.71; p < 0.001). Conclusions: The CALLY index shows a modest but statistically significant discriminative ability for predicting short-term mortality in acutely ill older adults. As a simple, low-cost marker derived from routine laboratory tests, it holds potential for integration into clinical workflows to guide nutritional, metabolic, and prognostic management strategies in geriatric acute care.
Full article
(This article belongs to the Special Issue Nutritional Support for Critically Ill Patients)
►▼
Show Figures

Figure 1

Journal Menu
► ▼ Journal Menu-
- Nutrients Home
- Aims & Scope
- Editorial Board
- Reviewer Board
- Topical Advisory Panel
- Instructions for Authors
- Special Issues
- Topics
- Sections & Collections
- Article Processing Charge
- Indexing & Archiving
- Editor’s Choice Articles
- Most Cited & Viewed
- Journal Statistics
- Journal History
- Journal Awards
- Society Collaborations
- Conferences
- Editorial Office
Journal Browser
► ▼ Journal BrowserHighly Accessed Articles
Latest Books
E-Mail Alert
News
Topics
Topic in
Agriculture, Economies, Foods, Land, Water, Nutrients
Food Security and Healthy Nutrition
Topic Editors: Xinru Han, Ehsan Elahi, Guo WeiDeadline: 31 October 2025
Topic in
Biomolecules, Cancers, IJMS, Nutrients, Antioxidants
Advances in Adiponectin
Topic Editors: Puran S. Bora, Mayank ChoubeyDeadline: 24 November 2025
Topic in
Cancers, Children, Nutrients
Nutrition and Health During and After Childhood Cancer
Topic Editors: Valérie Marcil, Joya ChandraDeadline: 15 December 2025
Topic in
Applied Microbiology, Fermentation, Foods, Microbiology Research, Microorganisms, Nutrients
News and Updates on Probiotics
Topic Editors: Alessandra Pino, Mutamed AyyashDeadline: 31 December 2025

Conferences
Special Issues
Special Issue in
Nutrients
Sarcopenia in Older Adults: Is There a Place for Nutritional Interventions
Guest Editors: Edite Teixeira-Lemos, João PinheiroDeadline: 15 October 2025
Special Issue in
Nutrients
Dietary Recommendations for Gynecological Diseases and Pregnancy Complications
Guest Editor: Laura SarnoDeadline: 15 October 2025
Special Issue in
Nutrients
Impact of the Western Dietary Pattern on Human Health—Resolving Controversies and Challenges
Guest Editor: Richard HoffmanDeadline: 15 October 2025
Special Issue in
Nutrients
Nutrition Strategy and Resistance Training
Guest Editor: Jungjun ParkDeadline: 15 October 2025
Topical Collections
Topical Collection in
Nutrients
Connection between Microbiome, Lifestyle and Diet
Collection Editors: Eva Untersmayr, Peter M. Abuja
Topical Collection in
Nutrients
Diet and Multi-Omics
Collection Editors: Mohsen Mazidi, Richard Webb
Topical Collection in
Nutrients
Plant-Based Diets in Sports Nutrition and Performance
Collection Editors: D. Enette Larson-Meyer, Heidi Lynch
Topical Collection in
Nutrients
Clinical Nutrition in Kidney Disease
Collection Editor: Piergiorgio BolascoConference Reports
Nutrients 2024, 16(15), 2528; https://doi.org/10.3390/nu16152528
Nutrients 2024, 16(8), 1157; https://doi.org/10.3390/nu16081157