Clinical Significance of Lipoprotein Lipase (LPL) in People Living with HIV: A Comprehensive Assessment Including Lipidemia, Body Composition, Insulin Secretion, and Insulin Resistance
Abstract
1. Introduction
2. Materials and Methods
2.1. Participants
2.2. Study Design
2.3. Anthropometric Measurement and Laboratory Analyses
2.4. Statistical Methods
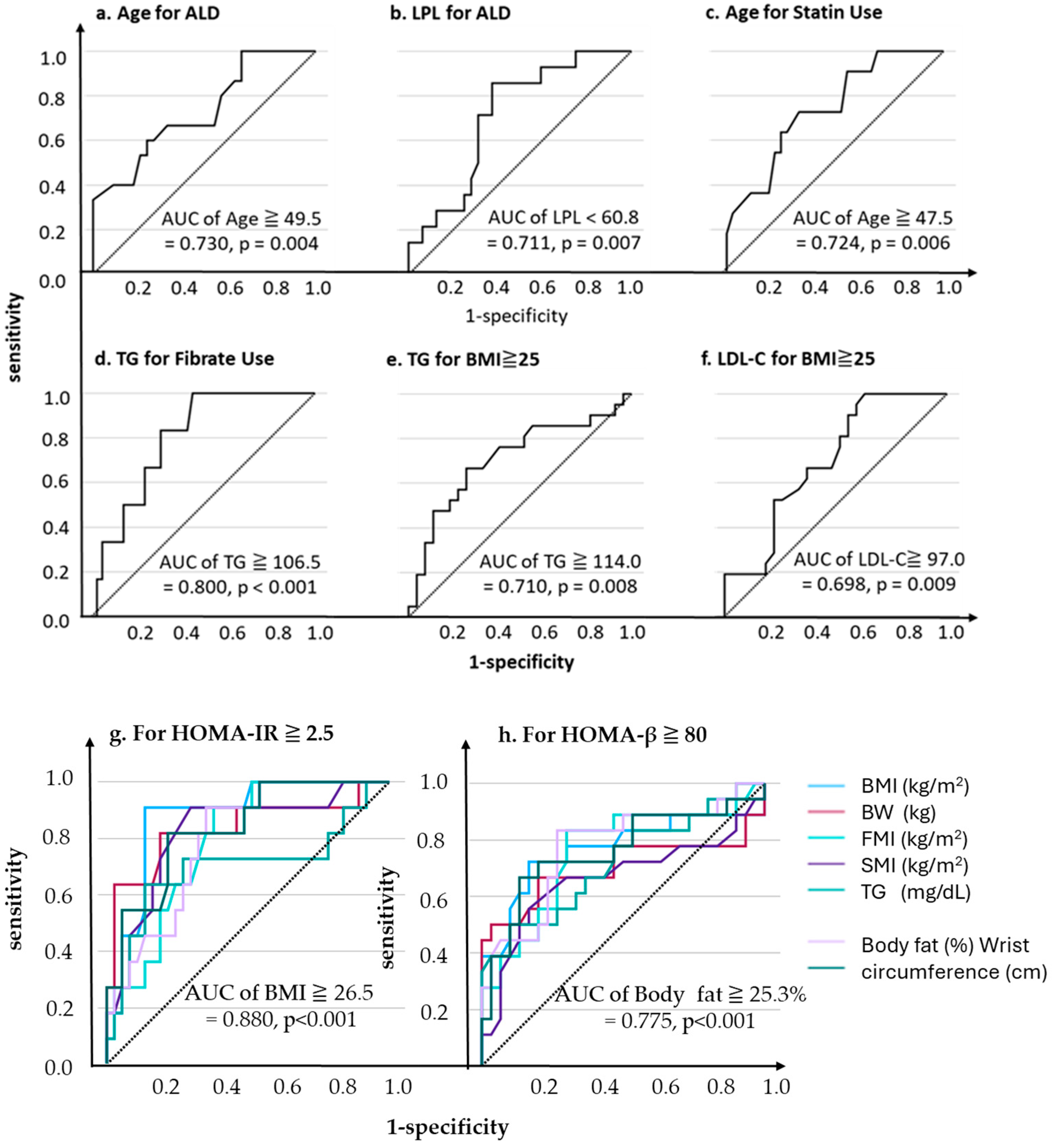
3. Results
3.1. Age- and Sex-Matched Analysis
3.2. PLH Single-Population Analysis
3.3. Analysis of PLH Without ALD and Controls
4. Discussion
5. Conclusions
Supplementary Materials
Author Contributions
Funding
Institutional Review Board Statement
Informed Consent Statement
Data Availability Statement
Conflicts of Interest
Abbreviations
| ALD | Antilipemic drug |
| AUC | Area under the curve |
| BMI | Body mass index |
| BW | Body weight |
| DBP | Diastolic blood pressure |
| ELISA | Enzyme-linked immunosorbent assay |
| FMI | Fat mass index |
| FPG | Fasting plasma glucose |
| ROC | Receiver operating characteristic |
| SMI | Skeletal muscle index |
| WC | Waist circumference |
References
- Obel, N.; Omland, L.H.; Kronborg, G.; Larsen, C.S.; Pedersen, C.; Pedersen, G.; Sørensen, H.T.; Gerstoft, J. Impact of non-HIV and HIV risk factors on survival in HIV-infected patients on HAART: A population-based nationwide cohort study. PLoS ONE 2011, 6, e22698. [Google Scholar] [CrossRef] [PubMed]
- Shah, A.S.V.; Stelzle, D.; Lee, K.K.; Beck, E.J.; Alam, S.; Clifford, S.; Longenecker, C.T.; Strachan, F.; Bagchi, S.; Whiteley, W.; et al. Global burden of atherosclerotic cardiovascular disease in people living with HIV: A systematic review and meta–analysis. Circulation 2018, 138, 1100–1112. [Google Scholar] [CrossRef] [PubMed]
- Jones, R.; Enogela, E.M.; Ruderman, S.A.; Kitahata, M.M.; Moore, R.; Jacobson, J.M.; Karris, M.; Greene, M.; Fleming, J.; Napravnik, S.; et al. Cardiometabolic disease among frailty phenotype clusters in adults aging with HIV. J. Frailty Aging 2025, 14, 100011. [Google Scholar] [CrossRef]
- Achhra, A.C.; Mocroft, A.; Reiss, P.; Sabin, C.; Ryom, L.; de Wit, S.; Smith, C.J.; d’Arminio Monforte, A.; Phillips, A.; Weber, R.; et al. Short-term weight gain after antiretroviral therapy initiation and subsequent risk of cardiovascular disease and diabetes: The D:A:D study. HIV Med. 2016, 17, 255–268. [Google Scholar] [CrossRef] [PubMed]
- Triant, V.A.; Lee, H.; Hadigan, C.; Grinspoon, S.K. Increased acute myocardial infarction rates and cardiovascular risk factors among patients with human immunodeficiency virus disease. J. Clin. Endocrinol. Metab. 2007, 92, 2506–2512. [Google Scholar] [CrossRef]
- Restrepo, L.; McArthur, J. Stroke and HIV infection. Stroke 2003, 34, e176–e177. [Google Scholar] [CrossRef][Green Version]
- Dave, J.A.; Levitt, N.S.; Ross, I.L.; Lacerda, M.; Maartens, G.; Blom, D. Anti-retroviral therapy increases the prevalence of dyslipidemia in South African HIV-infected patients. PLoS ONE 2016, 11, e0151911. [Google Scholar] [CrossRef]
- Dimala, C.A.; Blencowe, H. Association between highly active antiretroviral therapy and selected cardiovascular disease risk factors in sub-Saharan Africa: A systematic review and meta-analysis protocol. BMJ Open 2017, 7, e013353. [Google Scholar] [CrossRef]
- Kemal, A.; Teshome, M.S.; Ahmed, M.; Molla, M.; Malik, T.; Mohammed, J.; Abate, K.H. Dyslipidemia and associated factors among adult patients on antiretroviral therapy in armed force comprehensive and specialized hospital, Addis Ababa, Ethiopia. HIV/AIDS Res. Palliat. Care 2020, 12, 221–231. [Google Scholar] [CrossRef]
- Troll, J.G. Approach to dyslipidemia, lipodystrophy, and cardiovascular risk in patients with HIV infection. Curr. Atheroscler. Rep. 2011, 13, 51–56. [Google Scholar] [CrossRef]
- Petit, J.M.; Minello, A.; Jooste, V.; Bour, J.B.; Galland, F.; Duvillard, L.; Verges, B.; Olsson, N.O.; Gambert, P.; Hillon, P. Decreased plasma adiponectin concentrations are closely related to steatosis in hepatitis C virus-infected patients. J. Clin. Endocrinol. Metab. 2005, 90, 2240–2243. [Google Scholar] [CrossRef] [PubMed]
- Mohamadkhani, A.; Sayemiri, K.; Ghanbari, R.; Elahi, E.; Poustchi, H.; Montazeri, G. The Inverse association of serum HBV DNA level with HDL-C and adiponectin in chronic hepatitis B infection. Virol. J. 2010, 7, 228. [Google Scholar] [CrossRef]
- Beigneux, A.P.; Miyashita, K.; Ploug, M.; Blom, D.J.; Ai, M.; Linton, M.F.; Khovidhunkit, W.; Dufour, R.; Garg, A.; McMahon, M.A.; et al. Autoantibodies against GPIHBP1 as a cause of hypertriglyceridemia. N. Engl. J. Med. 2017, 376, 1647–1658. [Google Scholar] [CrossRef]
- Nagasawa, T.; Sakamaki, K.; Yoshida, A.; Machida, H.; Murakami, F.; Hashimoto, M.; Shinohara, T.; Murakami, M.; Tsunekawa, K.; Kimura, T. Reciprocal Fluctuations in Lipoprotein Lipase, Glycosylphosphatidylinositol-Anchored High-Density Lipoprotein-Binding Protein 1, and Hepatic Triglyceride Lipase Levels in the Peripheral Bloodstream Are Correlated with Insulin Resistance. Nutrients 2025, 17, 1880. [Google Scholar] [CrossRef]
- Yarasheski, K.E.; Tebas, P.; Claxton, S.; Marin, D.; Coleman, T.; Powderly, W.G.; Semenkovich, C.F. Visceral adiposity, C-peptide levels, and low lipase activities predict HIV-dyslipidemia. Am. J. Physiol.-Endocrinol. Metab. 2003, 285, E899–E905. [Google Scholar] [CrossRef][Green Version]
- Oka, R.; Miura, K.; Sakurai, M.; Nakamura, K.; Yagi, K.; Miyamoto, S.; Moriuchi, T.; Mabuchi, H.; Yamagishi, M.; Takeda, Y.; et al. Comparison of waist circumference with body mass index for predicting abdominal adipose tissue. Diabetes Res. Clin. Pract. 2009, 83, 100–105. [Google Scholar] [CrossRef]
- Bennasar-Veny, M.; Fresneda, S.; López-González, A.; Busquets-Cortés, C.; Aguiló, A.; Yañez, A.M. Lifestyle and progression to type 2 diabetes in a cohort of workers with prediabetes. Nutrients 2020, 12, 1538. [Google Scholar] [CrossRef]
- Ohmura, T.; Ueda, K.; Kiyohara, Y.; Kato, I.; Iwamoto, H.; Nakayama, K.; Nomiyama, K.; Ohmori, S.; Yoshitake, T.; Shinkawa, A.; et al. The association of the insulin resistance syndrome with impaired glucose tolerance and NIDDM in the Japanese general population: The Hisayama study. Diabetologia 1994, 37, 897–904. [Google Scholar] [CrossRef] [PubMed]
- Machida, T.; Miyashita, K.; Sone, T.; Tanaka, S.; Nakajima, K.; Saito, M.; Stanhope, K.; Havel, P.; Sumino, H.; Murakami, M. Determination of serum lipoprotein lipase using a latex particle-enhanced turbidimetric immunoassay with an automated analyzer. Clin. Chim. Acta 2015, 442, 130–135. [Google Scholar] [CrossRef]
- Miyashita, K.; Fukamachi, I.; Nagao, M.; Ishida, T.; Kobayashi, J.; Machida, T.; Nakajima, K.; Murakami, M.; Ploug, M.; Beigneux, A.P.; et al. An enzyme-linked immunosorbent assay for measuring GPIHBP1 levels in human plasma or serum. J. Clin. Lipidol. 2018, 12, 203–210.e1. [Google Scholar] [CrossRef] [PubMed]
- Miyashita, K.; Nakajima, K.; Fukamachi, I.; Muraba, Y.; Koga, T.; Shimomura, Y.; Machida, T.; Murakami, M.; Kobayashi, J. A new enzyme-linked immunosorbent assay system for human serum hepatic triglyceride lipase. J. Lipid Res. 2017, 58, 1591–1597. [Google Scholar] [CrossRef] [PubMed]
- Echouffo-Tcheugui, J.B.; Perreault, L.; Ji, L.; Dagogo-Jack, S. Diagnosis and management of prediabetes: A review. JAMA 2023, 329, 1206–1216. [Google Scholar] [CrossRef] [PubMed]
- Yoshida, A.; Kimura, T.; Tsunekawa, K.; Shoho, Y.; Yanagawa, Y.; Araki, O.; Aoki, T.; Ogiwara, T.; Murakami, M. Age-Related Sex Differences in Glucose Tolerance by 75 g Oral Glucose Tolerance Test in Japanese. Nutrients 2022, 14, 4868. [Google Scholar] [CrossRef]
- Lopez-Alvarenga, J.C.; Martinez, D.A.; Diaz-Badillo, A.; Morales, L.D.; Arya, R.; Jenkinson, C.P.; Curran, J.E.; Lehman, D.M.; Blangero, J.; Duggirala, R.; et al. Association of HIV-1 Infection and Antiretroviral Therapy With Type 2 Diabetes in the Hispanic Population of the Rio Grande Valley, Texas, USA. Front. Med. 2021, 8, 676979. [Google Scholar] [CrossRef]
- Wei, L.; Tao, C.; Huang, X.; Wang, R.C.; Che, J.; Nong, A.; Huang, R.; Yan, Z.; Huang, L.; Qin, J.; et al. High triglyceride-glucose index is associated with diabetes mellitus in people with HIV in Southwest China: A 13-year retrospective longitudinal cohort study. AIDS 2025. [Google Scholar] [CrossRef]
- Mulenga, L.B.; Musonda, P.; Chirwa, L.; Siwingwa, M.; Mweemba, A.; Suwilanji, S.; Fwoloshi, S.; Phiri, H.; Phiri, D.; Mulenga, P.L.; et al. Insulin Resistance is Associated with Higher Plasma Viral Load Among HIV-Positive Adults Receiving Longer-Term (1 Year) Combination Antiretroviral Therapy (ART). J. Infect. Dis. Ther. 2019, 7, 406. [Google Scholar]
- Tao, C.; Wei, L.; Aung, M.T.; Liao, L.; Nong, A.; Huang, L.; Huang, R.; Huang, L.; Wang, S.; Huang, X.; et al. Low-level viremia increases the risk of diabetes mellitus in people with HIV in China: A 7-year retrospective longitudinal cohort study. BMC Med. 2025, 23, 350. [Google Scholar] [CrossRef]
- Gorwood, J.; Bourgeois, C.; Pourcher, V.; Pourcher, G.; Charlotte, F.; Mantecon, M.; Rose, C.; Morichon, R.; Atlan, M.; Le Grand, R.; et al. The integrase inhibitors dolutegravir and raltegravir exert proadipogenic and profibrotic effects and induce insulin resistance in human/simian adipose tissue and human adipocytes. Clin. Infect. Dis. 2020, 71, e549–e560. [Google Scholar] [CrossRef]
- Domingo, P.; Quesada-López, T.; Villarroya, J.; Cairó, M.; Gutierrez, M.D.M.; Mateo, M.G.; Mur, I.; Corbacho, N.; Domingo, J.C.; Villarroya, F.; et al. Differential effects of dolutegravir, bictegravir, and raltegravir in adipokines and inflammation markers on human adipocytes. Life Sci. 2022, 308, 120948. [Google Scholar] [CrossRef]
- Grinspoon, S.K.; Ribaudo, H.J.; Douglas, P.S. Pitavastatin and cardiovascular disease in HIV. N. Engl. J. Med. 2023, 389, e46. [Google Scholar] [CrossRef] [PubMed]
- Lu, M.T.; Ribaudo, H.; Foldyna, B.; Zanni, M.V.; Mayrhofer, T.; Karady, J.; Taron, J.; Fitch, K.V.; McCallum, S.; Burdo, T.H.; et al. Effects of pitavastatin on coronary artery disease and inflammatory biomarkers in HIV: Mechanistic substudy of the REPRIEVE randomized clinical trial. JAMA Cardiol. 2024, 9, 323–334. [Google Scholar] [CrossRef]
- Kolossváry, M.; Schnittman, S.R.; Zanni, M.V.; Fitch, K.V.; Fichtenbaum, C.J.; Aberg, J.A.; Bloomfield, G.S.; Malvestutto, C.D.; Currier, J.; Diggs, M.R.; et al. Pitavastatin, Procollagen pathways, and plaque stabilization in patients with HIV: A secondary analysis of the REPRIEVE randomized clinical trial. JAMA Cardiol. 2025, 10, 254–264. [Google Scholar] [CrossRef] [PubMed]
- HIV(CDC). Available online: https://www.cdc.gov/hiv/treatment/index.html (accessed on 26 May 2025).
- Global HIV Programme (WHO). Available online: https://www.who.int/teams/global-hiv-hepatitis-and-stis-programmes/hiv/treatment/hiv-treatment-for-adults (accessed on 26 May 2025).
- Guidelines for the Use of Antiretroviral Agents in Adults and Adolescents With HIV(DHHS): What’s New: Adult and Adolescent ARV HIV Clinical Guidelines|NIH. Available online: https://clinicalinfo.hiv.gov/sites/default/files/guidelines/documents/adult-adolescent-arv/guidelines-adult-adolescent-arv.pdf (accessed on 26 May 2025).
- EACS Guidelines 2024. Available online: https://eacs.sanfordguide.com/ (accessed on 26 May 2025).
- Qiao, L.; Zou, C.; van der Westhuyzen, D.R.; Shao, J. Adiponectin reduces plasma triglyceride by increasing VLDL triglyceride catabolism. Diabetes 2008, 57, 1824–1833. [Google Scholar] [CrossRef] [PubMed]
- Ganguly, R.; Schram, K.; Fang, X.; Kim, M.; Rodrigues, B.; Thong, F.S.L.; Sweeney, G. Adiponectin increases LPL activity via RhoA/ROCK-mediated actin remodelling in adult rat cardiomyocytes. Endocrinology 2011, 152, 247–254. [Google Scholar] [CrossRef] [PubMed]
- Young, S.G.; Zechner, R. Biochemistry and pathophysiology of intravascular and intracellular lipolysis. Genes Dev. 2013, 27, 459–484. [Google Scholar] [CrossRef]
- Okamura, T.; Hayakawa, T.; Kadowaki, T.; Kita, Y.; Okayama, A.; Ueshima, H.; the NIPPON DATA90 Research Group. The inverse relationship between serum high-density lipoprotein cholesterol level and all-cause mortality in a 9.6-year follow-up study in the Japanese general population. Atherosclerosis 2006, 184, 143–150. [Google Scholar] [CrossRef]






| Control (n = 33) | PLH (n = 33) | p | |||
|---|---|---|---|---|---|
| Median/n | (IQR/%) | Median/n | (IQR/%) | ||
| Age | 51 | (45.0–56.0) | 51 | (44.0–56.0) | 0.933 |
| LPL (ng/mL) | 75.1 | (53.3–86.9) | 56.1 | (45.9–72.3) | 0.019 * |
| GPIHBP1 (pg/mL) | 856.1 | (683.4–1243.4) | 951.0 | (740.2–1101.0) | 0.537 |
| HTGL (ng/mL) | 42.8 | (30.8–57.7) | 48.4 | (37.6–71.8) | 0.177 |
| IRI (µU/mL) | 5.7 | (4.0–7.7) | 7.5 | (3.8–12.1) | 0.339 |
| FRTN (ng/mL) | 120.2 | (92.9–212.3) | 98.6 | (66.4–218.8) | 0.438 |
| FPG (mg/dL) | 107 | (98.5–113.0) | 97.0 | (90.5–107.5) | 0.011 * |
| HOMA-IR | 1.5 | (1.0–2.1) | 1.7 | (0.9–3.0) | 0.733 |
| HOMA-β | 49.8 | (34.2–70.3) | 66.4 | (48.7–102.6) | 0.027 * |
| TG (mg/dL) | 98 | (68.5–166.5) | 107 | (78.0–162.0) | 0.547 |
| HDL-C (mg/dL) | 57 | (51.0–74.0) | 53 | (42.5–62.0) | 0.021 * |
| LDL-C (mg/dL) | 120 | (101.0–135.5) | 117 | (102.0–133.5) | 0.783 |
| Ht (cm) | 169.6 | (165.8–173.5) | 172.0 | (168.0–175.8) | 0.466 |
| BW (kg) | 69.0 | (62.8–77.5) | 69.1 | (62.9–77.7) | 0.859 |
| BMI (kg/m2) | 23.6 | (21.8–25.8) | 24.0 | (21.2–27.0) | 0.906 |
| Body fat (%) | 22.6 | (19.6–26.7) | 25.5 | (19.8–29.9) | 0.423 |
| WC (cm) | 85.0 | (81.3–91.3) | 84.3 | (82.0–92.3) | 0.937 |
| Diabetes | 0 | (0.0) | 4 | (12.1) | 0.039 * |
| Hypertension | 20 | (60.6) | 11 | (33.3) | 0.026 * |
| TG ≥ 150 (mg/dL) | 10 | (30.3) | 11 | (33.3) | 0.792 |
| BMI ≥ 25 (kg/m2) | 10 | (30.3) | 14 | (43.8) | 0.261 |
| (a) | ||||||||||||||||
| ALD (−) (n = 33) | ALD (+) (n = 15) | p | Statin (−) (n = 37) | Statin (+) (n = 11) | p | Fibrate (−) (n = 42) | Fibrate (+) (n = 6) | p | ||||||||
| Median/n | (IQR/%) | Median/n | (IQR/%) | Median/n | (IQR/%) | Median/n | (IQR/%) | Median/n | (IQR/%) | Median/n | (IQR/%) | |||||
| Age | 43.0 | (35.0–50.0) | 52.0 | (42.0–61.0) | 0.011 * | 43.0 | (35.5–51.5) | 52.0 | (42.0–61.0) | 0.025 * | 43.5 | (36.8–52.3) | 52.0 | (39.5–63.3) | 0.180 | |
| LPL (ng/mL) | 65.5 | (46.6–79.5) | 50.6 | (42.4–59.3) | 0.024 * | 62.8 | (45.9–74.6) | 50.6 | (45.8–61.5) | 0.173 | 62.5 | (47.4–74.2) | 43.4 | (35.4–56.1) | 0.038 * | |
| HTGL (ng/mL) | 41.1 | (30.4–57.4) | 51.4 | (45.1–63.8) | 0.039 * | 42.1 | (31.1–57.4) | 56.0 | (45.1–76.7) | 0.053 | 43.6 | (31.9–64.0) | 50.9 | (45.2–60.2) | 0.408 | |
| FPG (mg/dL) | 94.0 | (89.0–99.0) | 99.0 | (95.0–117.0) | 0.020 * | 95.0 | (89.5–99.0) | 99.0 | (96.0–110.0) | 0.037 * | 96.0 | (90.0–99.3) | 101.0 | (93.8–117.3) | 0.249 | |
| HOMA-IR | 1.4 | (0.9–2.0) | 2.1 | (1.2–3.1) | 0.074 | 1.6 | (0.9–2.2) | 2.1 | (0.9–3.7) | 0.243 | 1.4 | (0.9–2.2) | 2.3 | (2.0–3.5) | 0.042 * | |
| Diabetes | 1 | (3.0) | 3 | (20.0) | 0.049 * | 2 | (5.4) | 2 | (18.2) | 0.178 | 2 | (4.8) | 2 | (33.3) | 0.018 | |
| TG (mg/dL) | 104.0 | (66.0–147.5) | 129.0 | (100.0–236.0) | 0.083 | 107.0 | (71.0–159.5) | 107.0 | (93.0–134.0) | 0.825 | 105.0 | (71.5–144.3) | 178.5 | (127.3–269.5) | 0.016 * | |
| Antilipenmic drug (ALD) | 0 | (0.0) | 15 | (100.0) | NA | 4 | (10.8) | 11 | (100.0) | <0.001 * | 9 | (21.4) | 6 | (100.0) | <0.001 * | |
| Statin | 0 | (0.0) | 11 | (73.3) | NA | 0 | (0.0) | 11 | (100.0) | NA | 9 | (21.4) | 2 | (33.3) | 0.516 | |
| Fibrate | 0 | (0.0) | 5 | (33.3) | NA | 4 | (10.8) | 2 | (18.2) | 0.516 | 0 | (0.0) | 6 | (100.0) | NA | |
| DTG | 8 | (24.2) | 8 | (53.3) | 0.048 * | 10 | (27.0) | 6 | (54.5) | 0.089 | 13 | (31.0) | 3 | (50.0) | 0.355 | |
| EVG/c | 0 | (0.0) | 2 | (13.3) | 0.032 * | 1 | (2.7) | 1 | (9.1) | 0.352 | 1 | (2.4) | 1 | (16.7) | 0.101 | |
| (b) | ||||||||||||||||
| HOMA-β < 80 (n = 30) | HOMA-β ≥ 80 (n = 18) | p | HOMA-IR < 2.5 (n = 37) | HOMA-IR ≥ 2.5 (n = 11) | p | BMI < 25 (n = 27) | BMI ≥ 25 (n = 21) | p | ||||||||
| Median/n | (IQR/%) | Median/n | (IQR/%) | Median/n | (IQR/%) | Median/n | (IQR/%) | Median/n | (IQR/%) | Median/n | (IQR/%) | |||||
| IRI (µU/mL) | 4.1 | (3.0–6.8) | 10.9 | (8.6–19.4) | <0.001 * | 5.6 | (3.6–7.8) | 15.1 | (12.9–29.1) | <0.001 * | 4.2 | (2.5–9.5) | 9.3 | (6.2–14.3) | <0.001 * | |
| FPG (mg/dL) | 96.0 | (90.8–101.0) | 96.5 | (90.0–101.8) | 0.848 | 94.0 | (89.5–99.0) | 99.0 | (97.0–122.0) | 0.003 * | 94 | (89.0–100.0) | 99.0 | (92.0–105.5) | 0.058 | |
| HOMA-IR | 0.9 | (0.8–1.7) | 2.7 | (2.0–4.8) | <0.001 * | 1.4 | (0.9–1.9) | 4.0 | (3.1–11.8) | <0.001 * | 0.9 | (0.6–2.7) | 2.3 | (1.5–3.9) | <0.001 * | |
| HOMA-β | 51.0 | (38.7–62.7) | 121.1 | (99.2–164.4) | <0.001 * | 56.0 | (39.3–75.2) | 151.0 | (99.3–252.0) | <0.001 * | 52.4 | (37.5–103.3) | 99.3 | (55.0–142.5) | 0.002 * | |
| TG (mg/dL) | 98.0 | (68.0–137.8) | 145.0 | (101.3–255.3) | 0.012 * | 106.0 | (75.5–138.5) | 163.0 | (72.0–254.0) | 0.048 * | 96.0 | (70.0–155.0) | 140.0 | (99.5–236.0) | 0.013 * | |
| TG ≥ 150 (mg/dL) | 4 | (13.3) | 9 | (50.0) | 0.006 * | 6.0 | (16.2) | 7.0 | (63.6) | 0.002 * | 3 | (11.1) | 10 | (47.6) | 0.005 * | |
| LDL (mg/dL) | 120.5 | (92.8–136.8) | 112.0 | (104.8–125.0) | 0.632 | 118.0 | (97.0–137.5) | 112.0 | (104.0–124.0) | 0.624 | 112.0 | (90.0–135.5) | 124.0 | (111.5–137.5) | 0.020 * | |
| BW (kg) | 68.0 | (63.7–73.5) | 79.6 | (66.4–90.0) | 0.021 * | 68.2 | (63.1–74.3) | 84.6 | (76.9–95.2) | <0.001 * | 65.0 | (60.3–79.0) | 80.0 | (73.0–88.1) | <0.001 * | |
| BMI (kg/m2) | 23.7 | (21.0–25.3) | 26.9 | (24.5–29.3) | 0.002 * | 23.8 | (20.9–25.5) | 27.3 | (26.6–29.3) | <0.001 * | 21.6 | (20.7–27.4) | 27.3 | (26.3–29.2) | <0.001 * | |
| BMI ≥ 25 (kg/m2) | 8 | (26.7) | 13 | (72.2) | 0.002 * | 11.0 | (29.7) | 10.0 | (90.9) | <0.001 * | 0 | (0.0) | 21 | (100.0) | NA | |
| SMI (kg/m2) | 7.9 | (7.3–8.2) | 8.4 | (7.4–8.8) | 0.060 | 7.8 | (7.3–8.2) | 8.6 | (8.2–9.0) | 0.001 * | 7.5 | (7.1–8.1) | 8.5 | (8.2–8.9) | <0.001 * | |
| FMI (kg/m2) | 5.6 | (3.9–7.4) | 7.7 | (6.7–10.4) | 0.003 * | 5.9 | (3.9–7.6) | 8.2 | (6.9–10.9) | 0.004 * | 4.8 | (3.8–8.4) | 8.2 | (6.8–9.7) | <0.001 * | |
| SMI/FMI | 1.4 | (1.1–1.9) | 1.1 | (0.9–1.3) | 0.007 * | 1.4 | (1.0–2.0) | 1.1 | (0.9–1.2) | 0.019 * | 1.6 | (1.1–1.3) | 1.0 | (0.9–1.3) | <0.001 * | |
| Body fat (%) | 21.7 | (18.0–26.8) | 27.7 | (25.6–33.4) | 0.002 * | 22.8 | (18.0–28.1) | 28.1 | (26.4–34.1) | 0.003 * | 20.7 | (17.2–29.1) | 28.1 | (25.2–32.3) | <0.001 * | |
| Waist circumference (cm) | 83.2 | (79.3–88.3) | 93.4 | (83.5–100.0) | 0.003 * | 83.2 | (79.2–90.1) | 96.5 | (91.0–109.1) | <0.001 * | 81.9 | (76.5–93.7) | 92.8 | (89.0–100.3) | <0.001 * | |
| CD4 | 620.0 | (492.3–826.0) | 517.0 | (457.0–694.8) | 0.198 | 639.0 | (481.5–814.5) | 508.0 | (461.0–673.0) | 0.215 | 599.0 | (427.0–730.5) | 562.0 | (493.5–714.0) | 0.843 | |
| HIV-RNA < 20 (c/mL) | 29 | (96.7) | 16 | (88.9) | 0.011 * | 35.0 | (94.6) | 10.0 | (90.9) | 0.249 | 25 | (92.6) | 20 | (95.2) | 0.121 | |
| For ALD (+) | Multivariate Analysis | p | Univariate Analysis | p | ||
|---|---|---|---|---|---|---|
| aOR | (95% CI) | cOR | (95% CI) | |||
| Age | 1.17 | (1.04–1.31) | 0.010 * | 1.11 | (1.03–1.20) | 0.008 * |
| LPL (ng/mL) | 0.91 | (1.85–0.98) | 0.014 * | 0.95 | (0.90–0.99) | 0.019 * |
| HTGL (ng/mL) | 1 | (1.97–1.04) | 0.923 | 1.02 | (1.00–1.05) | 0.121 |
| FPG (mg/dL) | 1.01 | (1.95–1.07) | 0.829 | 1.03 | (0.99–1.08) | 0.103 |
| Diabetes | 0.8 | (1.02–31.49) | 0.903 | 8 | (0.76–84.59) | 0.103 |
| DTG or EVG/c | 0.51 | (1.07–3.61) | 0.503 | 2.48 | (0.66–9.34) | 0.181 |
| For Statin (+) | aOR | (95% CI) | p | crOR | (95% CI) | p |
| Age | 1.08 | (1.99–1.17) | 0.069 | 1.09 | (1.01–1.18) | 0.035 * |
| FPG | 1.02 | (0.98–1.06) | 0.37 | 1.03 | (0.99–1.07) | 0.144 |
| For Fibrate (+) | aOR | (95% CI) | p | crOR | (95% CI) | p |
| LPL (ng/mL) | 0.95 | (0.86–1.06) | 0.357 | 0.92 | (0.85–1.01) | 0.065 |
| HOMA-IR | 0.06 | (0.00–0.87) | 0.039 * | 1.04 | (0.83–1.31) | 0.741 |
| Diabetes | 4128.1 | (2.89–5,900,350.40) | 0.025 * | 10 | (1.09–91.44) | 0.041 * |
| TG (mg/dL) | 1.04 | (1.00–1.09) | 0.061 | 1.01 | (1.00–1.02) | 0.029 * |
| For BMI ≥ 25 | aOR | (95% CI) | p | crOR | (95% CI) | p |
| IRI (µU/mL) | 1.18 | (1.03–1.35) | 0.018 * | 1.12 | (1.00–1.26) | 0.061 |
| TG (mg/dL) | 1.01 | (1.00–1.02) | 0.285 | 1.01 | (1.00–1.02) | 0.022 * |
| LDL-C | 1.06 | (1.01–1.10) | 0.010 * | 1.04 | (1.01–1.07) | 0.019 * |
| For HOMA-β ≥ 80 | aOR | (95% CI) | p | crOR | (95% CI) | p |
| TG (mg/dL) | 1.01 | (1.00–1.03) | 0.030 * | 1.01 | (1.00–1.03) | 0.006 * |
| BW (kg) | 1.12 | (0.84–1.50) | 0.434 | 1.08 | (1.01–1.15) | 0.016 * |
| BMI (kg/m2) | 1.11 | (0.56–2.22) | 0.763 | 1.38 | (1.10–1.74) | 0.006 * |
| FMI (kg/m2) | 1.82 | (0.66–5.02) | 0.249 | 1.54 | (1.14–2.10) | 0.006 * |
| Body fat (%) | 5.68 | (0.22–148.03) | 0.297 | 1.19 | (1.06–1.35) | 0.004 * |
| WC (cm) | 1.16 | (0.85–1.58) | 0.344 | 1.11 | (1.03–1.20) | 0.008 * |
| SMI/FMI | 0.82 | (0.53–1.25) | 0.349 | 0.19 | (0.04–0.80) | 0.024 * |
| HIV-RNA < 20 (copies/mL) | 0.04 | (0.00–1.27) | 0.067 | 0.28 | (0.02–3.28) | 0.308 |
| For HOMA-IR ≥ 2.5 | aOR | (95% CI) | p | crOR | (95% CI) | p |
| TG (mg/dL) | 1.01 | (0.99–1.03) | 0.196 | 1.01 | (1.00–1.02) | 0.019 * |
| BW (kg) | 1.1 | (0.68–1.80) | 0.691 | 1.15 | (1.05–1.26) | 0.003 * |
| BMI (kg/m2) | 40.56 | (0.67–2459.78) | 0.077 | 1.82 | (1.22–2.71) | 0.003 * |
| SMI (kg/m2) | 0.01 | (0.00–82.87) | 0.331 | 6.57 | (1.72–25.07) | 0.006 * |
| FMI (kg/m2) | 0.02 | (0.00–2.49) | 0.11 | 1.48 | (1.09–2.00) | 0.012 * |
| SMI/FMI | 0.2 | (0.00–26,078.05) | 0.787 | 0.09 | (0.01–0.82) | 0.033 * |
| Body fat (%) | 2.09 | (0.80–5.42) | 0.131 | 1.22 | (1.06–1.41) | 0.007 * |
| WC (cm) | 0.72 | (0.40–1.30) | 0.275 | 1.15 | (1.05–1.27) | 0.004 * |
| (a) | ||||||||||
| Control (n = 33) | ALD-Free PLH (n = 33) | |||||||||
| Median/n | (IQR/%) | PLH All (n = 33) | p | HOMA-IR < 2.5 (n = 26) | HOMA-IR ≥ 2.5 (n = 7) | p | ||||
| Median/n | (IQR/%) | Median/n | (IQR/%) | Median/n | (IQR/%) | |||||
| Age | 51.0 | (45.0–56.0) | 43.0 | (35.0–50.0) | 0.001 * | 43.5 | (34.8–51.3) | 40.0 | (35.0–46.0) | 0.560 |
| LPL (ng/mL) | 75.1 | (53.3–86.9) | 65.5 | (46.6–79.5) | 0.168 | 65.5 | (49.8–76.4) | 56.5 | (42.2–90.1) | 0.651 |
| GPIHBP1 (pg/mL) | 856.1 | (683.4–1243.4) | 951.0 | (735.3–1092.5) | 0.684 | 935.8 | (728.3–1076.7) | 1022.4 | (754.8–1110.4) | 0.651 |
| HTGL (ng/mL) | 42.8 | (30.8–57.7) | 41.1 | (30.4–57.4) | 0.948 | 37.8 | (29.7–54.0) | 53.8 | (36.7–68.1) | 0.651 |
| IRI (µU/mL) | 5.7 | (4.0–7.7) | 5.8 | (3.7–9.1) | 0.934 | 4.9 | (3.0–7.4) | 16.3 | (13.1–41.3) | 0.008 * |
| FRTN (ng/mL) | 120.2 | (92.9–212.3) | 90.5 | (59.0–146.0) | 0.066 | 86.3 | (58.1–124.5) | 100.0 | (64.9–383.1) | 0.928 |
| FPG (mg/dL) | 107.0 | (98.5–113.0) | 94.0 | (89.0–99.0) | <0.001 * | 92.0 | (88.8–97.3) | 99.0 | (97.0–122.0) | 0.073 |
| HOMA-IR | 1.5 | (1.0–2.1) | 1.4 | (0.9–2.0) | 0.516 | 1.1 | (0.6–1.7) | 4.0 | (2.9–12.4) | 0.005 * |
| HOMA-β | 49.8 | (34.2–70.3) | 64.2 | (39.3–107.7) | 0.038 * | 57.1 | (38.7–72.5) | 163.0 | (110.1–252.0) | 0.008 * |
| TG (mg/dL) | 98.0 | (68.5–166.5) | 104.0 | (66.0–147.5) | 0.626 | 90.0 | (60.8–121.3) | 163.0 | (72.0–254.0) | 0.346 |
| HDL-C (mg/dL) | 57.0 | (51.0–74.0) | 50.0 | (42.0–62.0) | 0.021 * | 56.0 | (43.0–65.0) | 48.0 | (33.8–51.5) | 0.169 |
| LDL-C (mg/dL) | 120.0 | (101.0–135.5) | 115.0 | (97.0–136.0) | 0.658 | 116.0 | (94.5–136.8) | 112.0 | (106.0–124.0) | 0.928 |
| Ht (cm) | 169.6 | (165.8–173.5) | 173.0 | (168.0–177.0) | 0.064 | 172.0 | (168.0–176.3) | 180.0 | (175.0–181.0) | 0.073 |
| BW (kg) | 69.0 | (62.8–77.5) | 70.0 | (62.4–81.8) | 0.724 | 67.8 | (61.6–74.9) | 89.8 | (84.6–104.1) | 0.073 |
| BMI (kg/m2) | 23.6 | (21.8–25.8) | 24.0 | (20.9–27.0) | 0.852 | 22.8 | (20.6–25.4) | 29.1 | (26.6–32.1) | 0.047 * |
| Body fat (%) | 22.6 | (19.6–26.7) | 22.8 | (18.0–30.1) | 0.878 | 20.9 | (17.0–27.3) | 32.2 | (27.3–37.5) | 0.073 |
| WC (cm) | 85.0 | (81.3–91.3) | 82.5 | (79.2–94.6) | 0.686 | 81.9 | (78.0–88.7) | 99.6 | (92.5–110.2) | 0.073 |
| Diabetes | 0 | (0.0) | 1 | (3.0) | 0.314 | 0 | (0.0) | 1 | (100.0) | 0.050 |
| Hypertension | 20 | (60.6) | 6 | (18.2) | <0.001 * | 3 | (11.5) | 3 | (42.9) | 0.057 |
| TG ≥ 150 (mg/dL) | 10 | (30.3) | 8 | (24.2) | 0.580 | 3 | (11.5) | 5 | (71.4) | 0.001 * |
| BMI ≥ 25 (kg/m2) | 10 | (30.3) | 14 | (42.4) | 0.306 | 8 | (30.8) | 6 | (85.7) | 0.009 * |
| (b) | ||||||||||
| ALD-Free PLH (n = 33) | ||||||||||
| HOMA-β < 80 (n = 21) | HOMA-β ≥ 80 (n = 12) | p | HDL-C ≥ 40 (n = 23) * | HDL-C < 40 (n = 6) * | p | |||||
| Median/n | (IQR/%) | Median/n | (IQR/%) | Median/n | (IQR/%) | Median/n | (IQR/%) | |||
| Age | 44.0 | (34.5–52.5) | 42.5 | (35.3–45.3) | 0.542 | 43.0 | (36.0–52.0) | 37.0 | (31.8–47.3) | 0.102 |
| LPL (ng/mL) | 65.8 | (51.2–77.2) | 62.5 | (42.8–86.6) | 0.506 | 69.7 | (50.3–87.3) | 46.1 | (39.0–57.6) | 0.039 * |
| GPIHBP1 (pg/mL) | 989.7 | (728.1–1095.6) | 950.7 | (755.4–1093.7) | 0.667 | 968.7 | (777.9–1098.2) | 827.1 | (693.5–1107.3) | 0.641 |
| HTGL (ng/mL) | 38.0 | (31.2–54.6) | 45.8 | (24.8–65.1) | 0.969 | 38.0 | (27.1–57.9) | 40.6 | (36.7–89.8) | 0.380 |
| IRI (µU/mL) | 3.9 | (2.5–5.8) | 11.8 | (8.6–25.6) | <0.001 * | 5.7 | (3.7–8.8) | 7.5 | (5.3–26.6) | 0.232 |
| FRTN (ng/mL) | 90.5 | (55.1–108.4) | 92.3 | (63.5–373.2) | 0.213 | 90.8 | (63.1–146.9) | 76.7 | (46.1–231.2) | 0.546 |
| FPG (mg/dL) | 93.0 | (89.0–98.5) | 95.5 | (89.3–116.3) | 0.449 | 95.0 | (89.0–99.0) | 99.0 | (91.8–106.3) | 0.174 |
| HOMA-IR | 0.9 | (0.6–1.4) | 2.7 | (1.9–9.9) | <0.001 * | 1.4 | (0.9–2.0) | 1.9 | (1.2–7.4) | 0.232 |
| HOMA-β | 50.1 | (35.4–63.2) | 133.0 | (101.3–167.1) | <0.001 * | 62.2 | (39.3–105.2) | 73.0 | (65.9–210.1) | 0.192 |
| TG (mg/dL) | 82.0 | (57.0–126.5) | 135.5 | (104.5–240.5) | 0.008 * | 104.0 | (59.0–140.0) | 116.5 | (83.5–188.3) | 0.232 |
| HDL-C (mg/dL) | 56.5 | (43.0–65.0) | 48.0 | (41.0–56.0) | 0.340 | 56.0 | (47.0–65.0) | 32.0 | (29.3–36.3) | <0.001 * |
| LDL-C (mg/dL) | 122.0 | (92.5–139.5) | 111.5 | (105.3–118.0) | 0.345 | 117.0 | (105.0–139.0) | 109.5 | (92.0–143.3) | 0.733 |
| Ht (cm) | 173.0 | (168.0–177.0) | 175.0 | (167.5–180.0) | 0.699 | 173.0 | (168.0–177.0) | 175.0 | (171.8–180.0) | 0.384 |
| BW (kg) | 67.8 | (63.4–75.7) | 85.5 | (59.6–94.1) | 0.187 | 70.0 | (60.3–79.3) | 75.7 | (66.6–85.0) | 0.414 |
| BMI (kg/m2) | 22.8 | (20.8–25.4) | 27.0 | (22.1–29.5) | 0.040 * | 24.0 | (20.7–27.4) | 25.1 | (22.2–26.8) | 0.694 |
| Body fat (%) | 20.7 | (17.6–24.7) | 29.5 | (23.2–33.9) | 0.010 * | 25.0 | (17.2–30.5) | 22.3 | (20.5–25.4) | 0.813 |
| WC (cm) | 81.8 | (78.9–88.4) | 95.3 | (82.4–107.1) | 0.020 * | 83.2 | (79.0–92.8) | 87.3 | (81.2–97.1) | 0.655 |
| Diabetes | 0 | (0.0) | 1 | (100.0) | 0.179 | 1 | (4.3) | 0 | (0.0) | 0.603 |
| Hypertension | 2 | (9.5) | 4 | (33.3) | 0.088 | 4 | 817.4) | 1 | (16.7) | 0.967 |
| TG ≥ 150 (mg/dL) | 2 | (9.5) | 6 | (50.0) | 0.009 * | 5 | (21.7) | 2 | (33.3) | 0.554 |
| BMI ≥ 25 (kg/m2) | 6 | (28.6) | 8 | (66.7) | 0.033 * | 10 | (43.5) | 3 | (50.0) | 0.775 |
| Multivariate Analysis | Univariate Analysis | ||||||
|---|---|---|---|---|---|---|---|
| aOR | (95% CI) | p | cOR | (95% CI) | p | ||
| Control | LPL (ng/mL) | 0.90 | (0.76–1.06) | 0.188 | 0.91 | (0.80–1.04) | 0.155 |
| HOMA-IR | 0.18 | (0.00–12.44) | 0.424 | 0.98 | (0.61–1.58) | 0.930 | |
| HOMA-β | 1.06 | (0.93–1.20) | 0.393 | 1.00 | (0.99–1.01) | 0.977 | |
| BMI | 1.24 | (0.72–2.12) | 0.436 | 1.25 | (0.86–1.83) | 0.243 | |
| PLH | LPL (ng/mL) | 0.90 | (0.81–1.00) | 0.044 * | 0.92 | (0.84–1.00) | 0.055 |
| HOMA-IR | 0.63 | (0.24–1.70) | 0.366 | 1.12 | (0.92–1.37) | 0.246 | |
| HOMA-β | 1.01 | (0.97–1.06) | 0.618 | 1.01 | (1.00–1.02) | 0.157 | |
| BMI | 1.03 | (0.67–1.60) | 0.882 | 1.00 | (0.81–1.24) | 0.975 | |
Disclaimer/Publisher’s Note: The statements, opinions and data contained in all publications are solely those of the individual author(s) and contributor(s) and not of MDPI and/or the editor(s). MDPI and/or the editor(s) disclaim responsibility for any injury to people or property resulting from any ideas, methods, instructions or products referred to in the content. |
© 2025 by the authors. Licensee MDPI, Basel, Switzerland. This article is an open access article distributed under the terms and conditions of the Creative Commons Attribution (CC BY) license (https://creativecommons.org/licenses/by/4.0/).
Share and Cite
Matsumoto, A.; Yanagisawa, K.; Ogawa, Y.; Nagasawa, T.; Nishiyama, M.; Sakamaki, K.; Yoshida, A.; Murakami, M.; Tsunekawa, K.; Handa, H.; et al. Clinical Significance of Lipoprotein Lipase (LPL) in People Living with HIV: A Comprehensive Assessment Including Lipidemia, Body Composition, Insulin Secretion, and Insulin Resistance. Nutrients 2025, 17, 3207. https://doi.org/10.3390/nu17203207
Matsumoto A, Yanagisawa K, Ogawa Y, Nagasawa T, Nishiyama M, Sakamaki K, Yoshida A, Murakami M, Tsunekawa K, Handa H, et al. Clinical Significance of Lipoprotein Lipase (LPL) in People Living with HIV: A Comprehensive Assessment Including Lipidemia, Body Composition, Insulin Secretion, and Insulin Resistance. Nutrients. 2025; 17(20):3207. https://doi.org/10.3390/nu17203207
Chicago/Turabian StyleMatsumoto, Akira, Kunio Yanagisawa, Yoshiyuki Ogawa, Takumi Nagasawa, Mayumi Nishiyama, Koji Sakamaki, Akihiro Yoshida, Masami Murakami, Katsuhiko Tsunekawa, Hiroshi Handa, and et al. 2025. "Clinical Significance of Lipoprotein Lipase (LPL) in People Living with HIV: A Comprehensive Assessment Including Lipidemia, Body Composition, Insulin Secretion, and Insulin Resistance" Nutrients 17, no. 20: 3207. https://doi.org/10.3390/nu17203207
APA StyleMatsumoto, A., Yanagisawa, K., Ogawa, Y., Nagasawa, T., Nishiyama, M., Sakamaki, K., Yoshida, A., Murakami, M., Tsunekawa, K., Handa, H., & Kimura, T. (2025). Clinical Significance of Lipoprotein Lipase (LPL) in People Living with HIV: A Comprehensive Assessment Including Lipidemia, Body Composition, Insulin Secretion, and Insulin Resistance. Nutrients, 17(20), 3207. https://doi.org/10.3390/nu17203207

