Effect of Calcium Hydroxy-Methyl-Butyrate-Enriched Diabetes-Specific Oral Nutritional Supplementation on Patients with Heterogeneous Diabetes Mellitus Population with Disease Related Malnutrition Assessed with AI-Assisted Ultrasound Imaging
Abstract
1. Introduction
2. Materials and Methods
2.1. Study Design and Eligibility Criteria
2.2. Nutritional Intervention
2.3. Study Variables
2.3.1. Body Composition and Muscle Function
2.3.2. Biochemical Variables
2.3.3. Nutritional Survey
2.3.4. Nutritional Diagnosis
2.4. Data Analysis
3. Results
3.1. Sample Description
3.2. Changes in Diet Characteristics Before and After Intervention
3.3. Changes in Nutritional Assessment Before and After Intervention
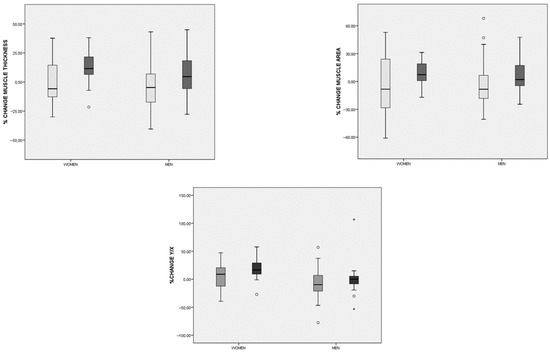
3.4. Relationship Between the Use of Hydroxy-Methyl-Butyrate-Enriched Diabetes-Specific Oral Nutritional Supplementation and Changes in Body Composition
4. Discussion
5. Conclusions
Author Contributions
Funding
Institutional Review Board Statement
Informed Consent Statement
Data Availability Statement
Conflicts of Interest
References
- International Diabetes Federation. IDF Diabetes Atlas, 11th ed.; International Diabetes Federation: Brussels, Belgium, 2025. [Google Scholar]
 - París, A.S.; García, J.M.; Gómez-Candela, C.; Burgos, R.; Martín, Á.; Matía, P.; Study VIDA group. Prevalencia de Desnutrición en Ancianos Hospitalizados Con Diabetes. Nutr. Hosp. 2013, 28, 592–599. [Google Scholar] [CrossRef]
 - Sanz-París, A.; Martín-Palmero, A.; Gomez-Candela, C.; García-Almeida, J.M.; Burgos-Pelaez, R.; Sanz-Arque, A.; Espina, S.; Arbones-Mainar, J.M.; Study VIDA group. GLIM Criteria at Hospital Admission Predict 8-Year All-Cause Mortality in Elderly Patients with Type 2 Diabetes Mellitus: Results from VIDA Study. J. Parenter. Enteral Nutr. 2020, 44, 1492–1500. [Google Scholar] [CrossRef]
 - Zugasti Murillo, A.; Petrina-Jáuregui, M.E.; Ripa-Ciáurriz, C.; Sánchez Sánchez, R.; Villazón-González, F.; González-Díaz Faes, Á.; Fernández-López, C.; Calles-Romero, L.; Palmero, M.Á.M.; Riestra-Fernández, M.; et al. SeDREno study–prevalence of hospital malnutrition according to GLIM criteria, ten years after the PREDyCES study. Nutr. Hosp. 2021, 38, 1016–1025. [Google Scholar] [CrossRef]
 - Barazzoni, R.; Jensen, G.L.; Correia, M.I.T.D.; Gonzalez, M.C.; Higashiguchi, T.; Shi, H.P.; Bischoffg, S.C.; Boirieh, Y.; Carrascoi, F.; Cruz-Jentoft, A.; et al. Guidance for assessment of the muscle mass phenotypic criterion for the Global Leadership Initiative on Malnutrition (GLIM) diagnosis of malnutrition. Clin. Nutr. 2022, 41, 1425–1433. [Google Scholar] [CrossRef] [PubMed]
 - Olpe, T.; Wunderle, C.; Bargetzi, L.; Tribolet, P.; Laviano, A.; Stanga, Z.; Pradog, C.M.; Muellera, B.; Schuetz, P. Muscle matters: Prognostic implications of malnutrition and muscle health parameters in patients with cancer. A secondary analysis of a randomised trial. Clin. Nutr. 2024, 43, 2255–2262. [Google Scholar] [CrossRef] [PubMed]
 - Kirk, B.; Cawthon, P.M.; Arai, H.; Ávila-Funes, J.A.; Barazzoni, R.; Bhasin, S.; Binder, E.F.; Bruyere, O.; Cederholm, T.; Chen, L.-K.; et al. The Conceptual Definition of Sarcopenia: Delphi Consensus from the Global Leadership Initiative in Sarcopenia (GLIS). Age Ageing 2024, 53, afae052. [Google Scholar] [CrossRef] [PubMed]
 - Meyer, F.; Valentini, L. Disease-Related Malnutrition and Sarcopenia as Determinants of Clinical Outcome. Visc. Med. 2019, 35, 282–291. [Google Scholar] [CrossRef]
 - Giha, H.A.; Alamin, O.A.O.; Sater, M.S. Diabetic sarcopenia: Metabolic and molecular appraisal. Acta Diabetol. 2022, 59, 989–1000. [Google Scholar] [CrossRef]
 - De Luis Román, D.; Gómez, J.C.; García-Almeida, J.M.; Vallo, F.G.; Rolo, G.G.; Gómez, J.J.L.; Tarazona-Santabalbina, F.J.; Sanz-Paris, A. Diabetic Sarcopenia. A proposed muscle screening protocol in people with diabetes: Expert document. Rev. Endocr. Metab. Disord. 2024, 25, 651–661. [Google Scholar] [CrossRef]
 - Galeano-Fernández, T.F.; Carretero-Gómez, J.; Vidal-Ríos, A.S.; García-García, G.M.; García-Carrasco, C.; Monreal-Periañez, F.J.; González-González, P.; Córdoba-Bueno, S.; Pijierro-Amador, A.; Carlos Arévalo-Lorido, J. Impact of diabetes, malnutrition and sarcopenia on the prognosis of patients admitted to internal medicine. Rev. Clin. Esp. 2023, 223, 523–531. [Google Scholar] [CrossRef]
 - Schuetz, P.; Fehr, R.; Baechli, V.; Geiser, M.; Deiss, M.; Gomes, F.; Kutz, A.; Triboletb, P.; Bregenzer, T.; Braun, N.; et al. Individualised nutritional support in medical inpatients at nutritional risk: A randomised clinical trial. Lancet 2019, 393, 2312–2321. [Google Scholar] [CrossRef]
 - Sanz-París, A.; Matía-Martín, P.; Martín-Palmero, Á.; Gómez-Candela, C.; Camprubi Robles, M. Diabetes-specific formulas high in monounsaturated fatty acids and metabolic outcomes in patients with diabetes or hyperglycaemia. A systematic review and meta-analysis. Clin. Nutr. 2020, 39, 3273–3282. [Google Scholar] [CrossRef]
 - López-Gómez, J.J.; Gutiérrez-Lora, C.; Izaola-Jauregui, O.; Primo-Martín, D.; Gómez-Hoyos, E.; Jiménez-Sahagún, R.; De Luis-Román, D.A. Real World Practice Study of the Effect of a Specific Oral Nutritional Supplement for Diabetes Mellitus on the Morphofunctional Assessment and Protein Energy Requirements. Nutrients 2022, 14, 4802. [Google Scholar] [CrossRef] [PubMed]
 - Bai, G.-H.; Tsai, M.-C.; Tsai, H.-W.; Chang, C.-C.; Hou, W.-H. Effects of branched-chain amino acid-rich supplementation on EWGSOP2 criteria for sarcopenia in older adults: A systematic review and meta-analysis. Eur. J. Nutr. 2022, 61, 637–651. [Google Scholar] [CrossRef] [PubMed]
 - Cogo, E.; Elsayed, M.; Liang, V.; Cooley, K.; Guerin, C.; Psihogios, A.; Papadogianis, P. Are Supplemental Branched-Chain Amino Acids Beneficial During the Oncological Peri-Operative Period: A Systematic Review and Meta-Analysis. Integr. Cancer Ther. 2021, 20. [Google Scholar] [CrossRef]
 - de Luis, D.; Cebria, A.; Primo, D.; Nozal, S.; Izaola, O.; Godoy, E.J.; Gomez, J.J.L. Impact of Hydroxy-Methyl-Butyrate Supplementation on Malnourished Patients Assessed Using AI-Enhanced Ultrasound Imaging. J. Cachexia Sarcopenia Muscle 2025, 16, e13700. [Google Scholar] [CrossRef]
 - Deutz, N.E.; Matheson, E.M.; Matarese, L.E.; Luo, M.; Baggs, G.E.; Nelson, J.L.; Hegazid, R.A.; Tappendene, K.A.; Zieglerf, T.R.; NOURISH Study Group. Readmission and mortality in malnourished, older, hospitalized adults treated with a specialized oral nutritional supplement: A randomized clinical trial. Clin. Nutr. 2016, 35, 18–26. [Google Scholar] [CrossRef]
 - Manzano, M.; Girón, M.D.; Salto, R.; Burgio, C.; Reinoso, A.; Cabrera, E.; Rueda, R.; López-Pedrosa, J.M. Arginine Lysine Supplementation Potentiates the Beneficial β-Hydroxy ß-Methyl Butyrate (HMB) Effects on Skeletal Muscle in a Rat Model of Diabetes. Nutrients 2023, 15, 4706. [Google Scholar] [CrossRef]
 - Stratton, R.J.; Hackston, A.; Longmore, D.; Dixon, R.; Price, S.; Stroud, M.; King, C.; Elia, M. Malnutrition in hospital outpatients and inpatients: Prevalence, concurrent validity and ease of use of the “malnutrition universal screening tool” (‘MUST’) for adults. Br. J. Nutr. 2004, 92, 799–808. [Google Scholar] [CrossRef] [PubMed]
 - American Diabetes Association Professional Practice Committee. 2. Diagnosis and Classification of Diabetes: Standards of Care in Diabetes-2025. Diabetes Care 2025, 48, S27–S49. [Google Scholar] [CrossRef]
 - Sergi, G.; De Rui, M.; Veronese, N.; Bolzetta, F.; Berton, L.; Carraro, S.; Bano, G.; Coin, A.; Manzato, E. Assessing appendicular skeletal muscle mass with bioelectrical impedance analysis in free-living Caucasian older adults. Clin. Nutr. 2015, 34, 667–673. [Google Scholar] [CrossRef]
 - Perkisas, S.; Baudry, S.; Bauer, J.; Beckwée, D.; De Cock, A.-M.; Hobbelen, H.; Jager-Wittenaar, H.; Kasiukiewicz, A.; Landi, F.; Marco, E.; et al. Application of ultrasound for muscle assessment in sarcopenia: Towards standardized measurements. Eur. Geriatr. Med. 2018, 9, 739–757. [Google Scholar] [CrossRef] [PubMed]
 - Liao, P.-S.; Chen, T.-S.; Chung, P.-C. A Fast Algorithm for Multilevel Thresholding. J. Inf. Sci. Eng. 2001, 17, 713–727. [Google Scholar] [CrossRef]
 - García-Herreros, S.; López Gómez, J.J.; Cebria, A.; Izaola, O.; Salvador Coloma, P.; Nozal, S.; Cano, J.; Godoy, E.J.; de Luis, D. Validation of an Artificial Intelligence-Based Ultrasound Imaging System for Quantifying Muscle Architecture Parameters of the Rectus Femoris in Disease-Related Malnutrition (DRM). Nutrients 2024, 16, 1806. [Google Scholar] [CrossRef]
 - de Luis Roman, D.; García Almeida, J.M.; Bellido Guerrero, D.; Guzmán Rolo, G.; Martín, A.; Primo Martín, D.; García-Delgado, Y.; Guirado-Peláez, P.; Palmas, F. Ultrasound Cut-Off Values for Rectus Femoris for Detecting Sarcopenia in Patients with Nutritional Risk. Nutrients 2024, 16, 1552. [Google Scholar] [CrossRef]
 - Cederholm, T.; Jensen, G.L.; Correia, M.I.T.D.; Gonzalez, M.C.; Fukushima, R.; Higashiguchi, T.; Baptistah, G.; Barazzonii, R.; Blaauwj, R.; Coatsk, A.; et al. GLIM criteria for the diagnosis of malnutrition—A consensus report from the global clinical nutrition community. Clin. Nutr. 2019, 38, 1–9. [Google Scholar] [CrossRef]
 - Cruz-Jentoft, A.J.; Bahat, G.; Bauer, J.; Boirie, Y.; Bruyère, O.; Cederholm, T.; Cooper, C.; Landi, F.; Rolland, Y.; Sayer, A.A.; et al. Sarcopenia: Revised European consensus on definition and diagnosis. Age Ageing 2019, 48, 16–31. [Google Scholar] [CrossRef]
 - García Almeida, J.M.; García García, C.; Vegas Aguilar, I.M.; Bellido Castañeda, V.; Bellido Guerrero, D. Morphofunctional assessment of patient’s nutritional status: A global approach. Nutr. Hosp. 2021, 38, 592–600. [Google Scholar] [CrossRef] [PubMed]
 - Yamazaki, H.; Nishimori, Y.; Takamatsu, N.; Fukushima, K.; Osaki, Y.; Taniguchi, Y.; Nozaki, T.; Kumon, Y.; Albayda, J. Correlation of muscle ultrasound with clinical and pathological findings in idiopathic inflammatory myopathies. Muscle Nerve 2023, 68, 39–47. [Google Scholar] [CrossRef]
 - American Diabetes Association Professional Practice Committee. 8. Obesity and Weight Management for the Prevention and Treatment of Type 2 Diabetes: Standards of Care in Diabetes—2025. Diabetes Care 2025, 48, S167–S180. [Google Scholar] [CrossRef]
 - Muangpaisan, W.; Wichansawakun, S.; Huynh, D.T.T.; Intalapaporn, S.; Chalermsri, C.; Thititagul, O.; Chupisanyarote, K.; Chuansangeam, M.; Laiteerapong, A.; Yalawar, M.; et al. Effects of a Specialized Oral Nutritional Supplement with Dietary Counseling on Nutritional Outcomes in Community-Dwelling Older Adults at Risk of Malnutrition: A Randomized Controlled Trial. Geriatrics 2024, 9, 104. [Google Scholar] [CrossRef]
 - Chew, S.T.H.; Tan, N.C.; Cheong, M.; Oliver, J.; Baggs, G.; Choe, Y.; How, C.H.; Chow, W.L.; Tan, C.Y.L.; Kwan, C.; et al. Impact of specialized oral nutritional supplement on clinical, nutritional, and functional outcomes: A randomized, placebo-controlled trial in community-dwelling older adults at risk of malnutrition. Clin. Nutr. 2021, 40, 1879–1892. [Google Scholar] [CrossRef]
 - Gu, W.-T.; Zhang, L.-W.; Wu, F.-H.; Wang, S. The effects of β-hydroxy-β-methylbutyrate supplementation in patients with sarcopenia: A systematic review and meta-analysis. Maturitas 2025, 195, 108219. [Google Scholar] [CrossRef]
 - Sanz-Paris, A.; Camprubi-Robles, M.; Lopez-Pedrosa, J.M.; Pereira, S.L.; Rueda, R.; Ballesteros-Pomar, M.D.; Almeida, J.M.G.; Cruz-Jentoft, A.J. Role of Oral Nutritional Supplements Enriched with β-Hydroxy-β-Methylbutyrate in Maintaining Muscle Function and Improving Clinical Outcomes in Various Clinical Settings. J. Nutr. Health Aging 2018, 22, 664–675. [Google Scholar] [CrossRef]
 - Din, U.S.U.; Brook, M.S.; Selby, A.; Quinlan, J.; Boereboom, C.; Abdulla, H.; Franchia, M.; Naricia, M.V.; Phillips, B.E.; Williams, J.W.; et al. A double-blind placebo-controlled trial into the impacts of HMB supplementation and exercise on free-living muscle protein synthesis, muscle mass and function, in older adults. Clin. Nutr. 2019, 38, 2071–2078. [Google Scholar] [CrossRef] [PubMed]
 - Koh, F.H.-X.; Yik, V.; Chin, S.-E.; Kok, S.S.-X.; Lee, H.-B.; Tong, C.; Tay, P.; Chean, E.; Lam, Y.-E.; Mah, S.-M.; et al. Evaluating the Impact of Multimodal Prehabilitation with High Protein Oral Nutritional Supplementation (HP ONS) with Beta-Hydroxy Beta-Methylbutyrate (HMB) on Sarcopenic Surgical Patients-Interim Analysis of the HEROS Study. Nutrients 2024, 16, 4351. [Google Scholar] [CrossRef] [PubMed]
 - Olveira, C.; García-Escobar, E.; Doña, E.; Palenque, F.J.; Porras, N.; Dorado, A.; Godoy, A.M.; Rubio-Martín, E.; Bermúdez-Silva, F.-J.; Romero-Zerbo, S.Y.; et al. Oxidative and inflammatory effects of pulmonary rehabilitation in patients with bronchiectasis. A prospective, randomized study. Nutr. Hosp. 2020, 37, 6–13. [Google Scholar] [CrossRef]
 - Nasimi, N.; Sohrabi, Z.; Dabbaghmanesh, M.H.; Eskandari, M.H.; Bedeltavana, A.; Famouri, M.; Talezadeh, P. A Novel Fortified Dairy Product and Sarcopenia Measures in Sarcopenic Older Adults: A Double-Blind Randomized Controlled Trial. J. Am. Med. Dir. Assoc. 2021, 22, 809–815. [Google Scholar] [CrossRef] [PubMed]
 - Carter, C.S.; Giovannini, S.; Seo, D.-O.; DuPree, J.; Morgan, D.; Chung, H.Y.; Lees, H.; Daniels, M.; Hubbard, G.B.; Lee, S.; et al. Differential effects of enalapril and losartan on body composition and indices of muscle quality in aged male Fischer 344 × Brown Norway rats. Age Dordr. Neth. 2011, 33, 167–183. [Google Scholar] [CrossRef]
 





| CaHMB Diabetes ONS | Diabetes-Specific ONS | |
|---|---|---|
| Caloric Content (kcal/100 mL) | 163 | 120 | 
| Caloric Density (kcal/mL) | 1.63 | 1.20 | 
| Protein | ||
| Amount (g/100 mL) | 8.32 | 6.6 | 
| %TCV | 20 | 22 | 
| Hydroxy-methyl-butyrate (g/100 mL) | 0.75 | - | 
| Carbohydrates | ||
| Amount (g/100 mL) | 12.75 | 12 | 
| %TCV | 31 | 40 | 
| Sugars (g/100 mL) | 0 | 2.5 | 
| Fiber (g/100 mL) | 1.9 | 1.8 | 
| Lipids | ||
| Amount (g/100 mL) | 8.27 | 4.66 | 
| %TCV | 45 | 35 | 
| Saturated (g/100 mL) | 0.98 | 1.04 | 
| Monounsaturated (g/100 mL) | 2.55 | 2.34 | 
| Polyunsaturated (g/100 mL) | 1.65 | 1.12 | 
| TOTAL (n = 95)  | CaHMB Diabetes ONS (n = 44)  | Diabetes-Specific ONS (n = 51)  | p-Value | |
|---|---|---|---|---|
| Age (years) | 71.05 (10.67) | 73.20 (8.73) | 69.20 (11.86) | 0.07 | 
| Sex (%M/%F) | 56.8/43.2 | 61.4/38.6 | 52.9/47.1 | 0.41 | 
| Anthropometry | ||||
| BMI (kg/m2) | 24.01 (4.91) | 23.33 (4.57) | 24.59 (5.16) | 0.21 | 
| Weight Loss (%) | 9.59 (3.40–16.14) | 9.86 (1.57–15.69) | 9.48 (3.74–16.31) | 0.81 | 
| Arm circumference (cm) | 25.38 (3.72) | 25.22 (3.63) | 25.51 (3.82) | 0.71 | 
| Calf circumference (cm) | 32.23 (3.98) | 32.41 (4.47) | 32.08 (3.54) | 0.69 | 
| Bioimpedanciometry | ||||
| Resistance/height (ohm/m) | 345.28 (69.92) | 355.01 (75.65) | 337.50 (64.70) | 0.24 | 
| Reactance/height (ohm/m) | 28.39 (6.36) | 27.73 (6.69) | 28.93 (6.09) | 0.37 | 
| Phase Angle (°) | 4.76 (0.91) | 4.53 (0.90) | 4.95 (0.87) | 0.03 | 
| ASMI (kg/m2) | 6.41 (1.21) | 6.23 (1.22) | 6.56 (1.19) | 0.19 | 
| FFMI (kg/m2) | 17.42 (2.77) | 17.50 (2.82) | 17.34 (2.76) | 0.79 | 
| Total Water (%) | 56.40 (6.22) | 56.17 (6.27) | 56.59 (6.23) | 0.75 | 
| ECW/ICW | 1.15 (0.40) | 1.25 (0.52) | 1.06 (0.25) | 0.03 | 
| Rectus Femoris Muscular Ultrasonography | ||||
| SFT (cm) | 0.59 (0.38–0.84) | 0.45 (0.23–0.78) | 0.66 (0.44–0.89) | 0.16 | 
| RFMT (cm) | 0.94 (0.25) | 0.91 (0.21) | 0.96 (0.28) | 0.34 | 
| RFMA (cm2) | 2.99 (0.93) | 2.93 (0.76) | 3.05 (1.05) | 0.56 | 
| Y/X index | 0.31 (0.21) | 0.26 (0.21–0.32) | 0.27 (0.22–0.36) | 0.09 | 
| Mi (%) | 45.41 (8.02) | 44.90 (7.04) | 45.80 (8.76) | 0.59 | 
| FATi (%) | 40.16 (5.57) | 40.03 (5.02) | 40.26 (6.02) | 0.85 | 
| NMNFi (%) | 14.44 (4.47) | 15.07 (3.83) | 13.94 (4.89) | 0.23 | 
| Pennation Angle (°) | 3.63 (2.26–5.49) | 3.52 (2.27–5.41) | 4.22 (2.16–5.59) | 0.73 | 
| Biochemical Parameters | ||||
| Albumin (g/dL) | 4.58 (1.29) | 5.12 (1.69) | 4.14 (0.54) | <0.01 | 
| Prealbumin (g/dL) | 22.35 (7.36) | 24.26 (7.27) | 21.18 (7.25) | 0.09 | 
| CRP (mg/dL) | 2.99 (1–10.57) | 3.66 (1–10.57) | 2.65 (1.04–10.54) | 0.82 | 
| CRP/albumin | 0.60 (0.26–2.34) | 0.74 (0.22–1.86) | 0.59 (0.26–2.74) | 0.39 | 
| CRP/prealbumin | 0.12 (0.05–0.59) | 0.10 (0.04–0.35) | 0.12 (0.05–0.79) | 0.16 | 
| Glucose (mg/dL) | 125.45 (38.66) | 125.05 (39.49) | 125.80 (38.34) | 0.93 | 
| HbA1c (%) | 6.71 (1.46) | 7.18 (1.68) | 6.29 (1.08) | <0.01 | 
| Nutritional Diagnosis | ||||
| Sarcopenia (EWGSOP2) (%) | 34.7 | 38.6 | 31.4 | 0.46 | 
| Dynapenia (EWGSOP2) (%) | 53.7 | 61.4 | 58.8 | 0.80 | 
| Malnutrition (GLIM) (%) | 82.1 | 86.4 | 78.4 | 0.31 | 
| CaHMB Diabetes ONS | Diabetes-Specific ONS | |||||
|---|---|---|---|---|---|---|
| Start (n = 44)  | 3 Months (n = 44)  | p-Value | Start (n = 51)  | 3 Months (n = 51)  | p-Value | |
| Anthropometry | ||||||
| BMI (kg/m2) | 23.33 (4.57) | 23.54 (3.85) | 0.43 | 24.59 (5.16) | 24.79 (5.21) | 0.29 | 
| %Weight Loss | −11.39 (11.57) | +1.50 (6.85) | <0.01 | 10.88 (9.03) | +1.24 (4.80) | <0.01 | 
| Arm circumference (cm) | 25.23 (3.67) | 25.38 (2.70) | 0.63 | 25.51 (3.82) | 25.99 (3.87) | 0.03 | 
| Calf circumference (cm) | 32.42 (4.52) | 31.96 (3.61) | 0.23 | 32.08 (3.54) | 32.75 (3.65) | 0.03 | 
| Bioimpedanciometry | ||||||
| Resistance/height (ohm/m) | 352.33 (71.34) | 345.26 (70.15) | 0.32 | 335.44 (63.69) | 333.54 (67.06) | 0.68 | 
| Reactance/height (ohm/m) | 27.92 (6.83) | 27.85 (7.59) | 0.96 | 28.68 (5.88) | 28.81 (6.72) | 0.87 | 
| Phase Angle (°) | 4.55 (0.80) | 4.56 (0.71) | 0.96 | 4.94 (0.88) | 4.98 (0.98) | 0.72 | 
| ASMI (kg/m2) | 6.23 (1.20) | 6.33 (1.05) | 0.47 | 6.59 (1.18) | 6.66 (1.22) | 0.28 | 
| FFMI (kg/m2) | 17.51 (2.79) | 17.54 (1.96) | 0.89 | 17.41 (2.74) | 17.65 (2.86) | 0.21 | 
| Total Water (%) | 56.66 (6.44) | 56.31 (6.43) | 0.61 | 56.46 (6.23) | 56.37 (6.42) | 0.83 | 
| ECW/ICW | 1.21 (0.38) | 1.17 (0.22) | 0.56 | 1.06 (0.26) | 1.07 (0.22) | 0.87 | 
| Rectus Femoris Muscular Ultrasonography | ||||||
| SFT (cm) | 0.54 (0.07) | 0.56 (0.06) | 0.56 | 0.73 (0.41) | 0.75 (0.44) | 0.41 | 
| RFMT (cm) | 0.92 (0.21) | 1.04 (0.31) | 0.02 | 0.95 (0.29) | 0.89 (0.28) | 0.09 | 
| RFMA (cm2) | 2.98 (0.74) | 3.37 (1.20) | <0.01 | 3.04 (1.06) | 2.78 (1.15) | <0.05 | 
| Y/X index | 0.27 (0.07) | 0.29 (0.09) | 0.11 | 0.35 (0.28) | 0.29 (0.16) | 0.08 | 
| Mi (%) | 45.07 (6.78) | 45.31 (6.64) | 0.87 | 45.76 (8.87) | 45.73 (6.99) | 0.99 | 
| FATi (%) | 40.09 (5.04) | 39.93 (5.16) | 0.89 | 40.30 (6.11) | 40.30 (4.86) | 0.98 | 
| NMNFi (%) | 14.84 (3.69) | 14.76 (3.02) | 0.87 | 13.94 (4.95) | 13.96 (4.58) | 0.98 | 
| Pennation Angle (°) | 3.93 (2.49) | 4.43 (2.50) | 0.28 | 4.11 (2.33) | 4.05 (2.76) | 0.91 | 
| Muscle Strength | ||||||
| Handgrip Strength (kg) | 20.36 (11.04) | 20.68 (11.33) | 0.51 | 20.72 (8.87) | 21.55 (8.85) | 0.07 | 
| Nutritional Diagnosis | ||||||
| Sarcopenia (EWGSOP2) (%) | 38.6 | 34.1 | <0.01 | 31.4 | 29.4 | <0.01 | 
| Dynapenia (EWGSOP2) (%) | 61.4 | 56.8 | <0.01 | 58.8 | 51 | <0.01 | 
| Malnutrition (GLIM) (%) | 86.4 | 61.4 | 0.54 | 78.4 | 49 | 0.10 | 
| CaHMB Diabetes ONS (n = 44)  | Diabetes-Specific ONS (n = 51)  | p-Value | |
|---|---|---|---|
| % Δ weight | +1.97 (−1.96 ± 5.32) | + 1.08 (−2.12 ± 4.55) | 0.61 | 
| % Δ Arm circumference | 0 (−2.33 ± 6.33) | +1.33 (0 ± 4.92) | 0.79 | 
| % Δ Calf circumference | 0 (−4.05 ± 3.70) | +1.69 (0 ± 3.44) | 0.11 | 
| % Δ Resistance | −0.47 (−5.46 ± 10.07) | −1.52 (−6.06 ± 4.57) | 0.84 | 
| % Δ Reactance | −1.69 (−9.51 ± 14.42) | 0 (−8.99 ± 11.76) | 0.81 | 
| % Δ Phase Angle | +2.13 (−11.36 ± 11.43) | 0 (−8.99 ± 11.76) | 0.79 | 
| % Δ ASMI | +2.49 (−3.59 ± 6.59) | +1.41 (−1.51 ± 4.68) | 0.59 | 
| % Δ FFMI | +2.22 (−3.03 ± 5.45) | +2.15 (−2.44 ± 4.64) | 0.94 | 
| % Δ Total Water | −0.28 (−5.71 ± 3.08) | −0.14 (−3.49 ± 2.32) | 0.58 | 
| % Δ ECW/ICW | −2.35 (−11.05 ± 14.03) | −0.87 (−8.42 ± 8.11) | 0.62 | 
| % Δ SFT | +5.83 (−4.79 ± 26.89) | +0.75 (−14.73 ± 22.03) | 0.31 | 
| % Δ RFMT | +9.17 (−4.40 ± 21.05) | −6.30 (−18.57 ± 12.56) | <0.01 | 
| % Δ RFMA | +5.84 (−3.33 ± 21.58) | −9.34 (−25.78 ± 12.02) | <0.01 | 
| % Δ Y/X | +4.33 (−7.74 ± 14.53) | −3.06 (−18.61 ± 17.29) | 0.03 | 
| % Δ Mi | −1.01 (−15.23 ± 14.53) | +1.69 (−12.06 ± 16.21) | 0.75 | 
| % Δ FATi | −2.41 (−11.82 ± 7.98) | +1.09 (−9.22 ± 8.21) | 0.67 | 
| % Δ NMNFi | +3.41 (−19.69 ± 17.84) | −0.11 (−28.59 ± 34.85) | 0.82 | 
| % Δ Handgrip Strength | 0 (−6.30 ± 12.95) | 0 (−0.66 ± 14.56) | 0.59 | 
| CaHMB Diabetes ONS | Diabetes-Specific ONS | |||||
|---|---|---|---|---|---|---|
| Baseline (n = 44)  | 3 Months (n = 44)  | p-Value | Baseline (n = 51)  | 3 Months (n = 51)  | p-Value | |
| HbA1c (%) | 7.37 (1.77) | 7.52 (1.84) | 0.18 | 6.19 (1.12) | 7.17 (1.13) | <0.01 | 
| Glucose (mg/dL) | 125.16 (41.49) | 125.39 (37.64) | 0.97 | 124.87 (38.79) | 125.81 (29.56) | 0.83 | 
| Total cholesterol (mg/dL) | 177.60 (51.89) | 171.66 (46.36) | 0.51 | 160.69 (44.07) | 162.56 (41.16) | 0.68 | 
| HDL cholesterol (mg/dL) | 58.59 (23.47) | 62.29 (27.03) | 0.31 | 57.87 (29.79) | 59.98 (24.21) | 0.25 | 
| LDL cholesterol (mg/dL) | 95.68 (44.89) | 92.18 (35.48) | 0.69 | 83.93 (35.39) | 85.64 (33.26) | 0.66 | 
| Triglycerides (mg/dL) | 108.23 (54.76) | 94.69 (40.67) | 0.07 | 116 (64.51) | 110.12 (53.33) | 0.24 | 
| Albumin (g/dL) | 5.23 (1.78) | 5.12 (1.74) | 0.52 | 4.13 (0.51) | 4.26 (0.41) | 0.02 | 
| Prealbumin (g/dL) | 22.03 (7.19) | 22.53 (6.89) | 0.27 | 21.21 (7.07) | 22.66 (6.74) | 0.04 | 
| CRP (mg/dL) | 3.66 (1–10.57) | 1.98 (1–5.20) | 0.69 | 2.65 (1.04–10.54) | 2.10 (1–5.28) | 0.62 | 
| CRP/albumin | 0.74 (0.22–1.87) | 0.45 (0.22–1.14) | 0.72 | 0.59 (0.26–2.74) | 0.53 (0.24–1.33) | 0.31 | 
| CRP/prealbumin | 0.10 (0.04–0.35) | 0.11 (0.05–0.27) | 0.16 | 0.12 (0.05–0.79) | 0.07 (0.05–0.19) | 0.34 | 
Disclaimer/Publisher’s Note: The statements, opinions and data contained in all publications are solely those of the individual author(s) and contributor(s) and not of MDPI and/or the editor(s). MDPI and/or the editor(s) disclaim responsibility for any injury to people or property resulting from any ideas, methods, instructions or products referred to in the content.  | 
© 2025 by the authors. Licensee MDPI, Basel, Switzerland. This article is an open access article distributed under the terms and conditions of the Creative Commons Attribution (CC BY) license (https://creativecommons.org/licenses/by/4.0/).
Share and Cite
López-Gómez, J.J.; González-Gutiérrez, J.; Pérez-López, P.; Izaola-Jauregui, O.; Cebriá, Á.; Estévez-Asensio, L.; Primo-Martín, D.; Saavedra-Vasquez, M.A.; Ramos-Bachiller, B.; Rico-Bargues, D.; et al. Effect of Calcium Hydroxy-Methyl-Butyrate-Enriched Diabetes-Specific Oral Nutritional Supplementation on Patients with Heterogeneous Diabetes Mellitus Population with Disease Related Malnutrition Assessed with AI-Assisted Ultrasound Imaging. Nutrients 2025, 17, 3208. https://doi.org/10.3390/nu17203208
López-Gómez JJ, González-Gutiérrez J, Pérez-López P, Izaola-Jauregui O, Cebriá Á, Estévez-Asensio L, Primo-Martín D, Saavedra-Vasquez MA, Ramos-Bachiller B, Rico-Bargues D, et al. Effect of Calcium Hydroxy-Methyl-Butyrate-Enriched Diabetes-Specific Oral Nutritional Supplementation on Patients with Heterogeneous Diabetes Mellitus Population with Disease Related Malnutrition Assessed with AI-Assisted Ultrasound Imaging. Nutrients. 2025; 17(20):3208. https://doi.org/10.3390/nu17203208
Chicago/Turabian StyleLópez-Gómez, Juan J., Jaime González-Gutiérrez, Paloma Pérez-López, Olatz Izaola-Jauregui, Ángela Cebriá, Lucía Estévez-Asensio, David Primo-Martín, Mario Alfredo Saavedra-Vasquez, Beatriz Ramos-Bachiller, Daniel Rico-Bargues, and et al. 2025. "Effect of Calcium Hydroxy-Methyl-Butyrate-Enriched Diabetes-Specific Oral Nutritional Supplementation on Patients with Heterogeneous Diabetes Mellitus Population with Disease Related Malnutrition Assessed with AI-Assisted Ultrasound Imaging" Nutrients 17, no. 20: 3208. https://doi.org/10.3390/nu17203208
APA StyleLópez-Gómez, J. J., González-Gutiérrez, J., Pérez-López, P., Izaola-Jauregui, O., Cebriá, Á., Estévez-Asensio, L., Primo-Martín, D., Saavedra-Vasquez, M. A., Ramos-Bachiller, B., Rico-Bargues, D., Godoy, E. J., & De Luis-Román, D. A. (2025). Effect of Calcium Hydroxy-Methyl-Butyrate-Enriched Diabetes-Specific Oral Nutritional Supplementation on Patients with Heterogeneous Diabetes Mellitus Population with Disease Related Malnutrition Assessed with AI-Assisted Ultrasound Imaging. Nutrients, 17(20), 3208. https://doi.org/10.3390/nu17203208
        
