-
Interactions of Astaxanthin and Omega-3 Fat in Health and Disease -
Study of Influencing Factors in Consumer Attitude, Consumption, and Purchasing Frequency in the Market of Flour and Bakery Products in Greece -
Produce Prescriptions for At-Risk Pediatric Populations in the United States: A Systematic Review of Observational Studies and Analysis of Effect Size
Journal Description
Dietetics
Dietetics
is an international, peer-reviewed, open access journal on all aspects of human dietetics published quarterly online by MDPI.
- Open Access— free for readers, with article processing charges (APC) paid by authors or their institutions.
- High Visibility: indexed within ESCI (Web of Science), EBSCO and other databases.
- Rapid Publication: manuscripts are peer-reviewed and a first decision is provided to authors approximately 27.3 days after submission; acceptance to publication is undertaken in 11.7 days (median values for papers published in this journal in the second half of 2025).
- Recognition of Reviewers: APC discount vouchers, optional signed peer review, and reviewer names published annually in the journal.
- Dietetics is a companion journal of Nutrients.
- Journal Cluster of Food, Nutrition, and Health Science: Beverages, Dietetics, Foods, Nutraceuticals, Nutrients and Obesities.
Latest Articles
Dietary and Medical Management of Small-Intestinal Bacterial Overgrowth: A Narrative Review
Dietetics 2026, 5(1), 10; https://doi.org/10.3390/dietetics5010010 - 6 Feb 2026
Abstract
Small-intestinal bacterial overgrowth (SIBO) is defined by an excessive microbial presence in the small intestine and is associated with a range of gastrointestinal symptoms. Its management remains complex due to diagnostic limitations and high recurrence rates following treatment. A narrative review was conducted
[...] Read more.
Small-intestinal bacterial overgrowth (SIBO) is defined by an excessive microbial presence in the small intestine and is associated with a range of gastrointestinal symptoms. Its management remains complex due to diagnostic limitations and high recurrence rates following treatment. A narrative review was conducted using MEDLINE (PubMed) and Cochrane databases to identify relevant studies published between 1984 and 2024. Search terms included small intestinal bacterial overgrowth SIBO, FODMAP, probiotics, prebiotics, synbiotics, and low-carbohydrate diets. Reference lists were also screened for additional studies. Antibiotics, particularly rifaximin, are commonly used for SIBO treatment but recurrence is frequent. Dietary strategies, such as low-FODMAP and low-carbohydrate diets, may help reduce symptoms, especially in patients with complications like D-lactic acidosis. Evidence for biotic agents (probiotics, prebiotics, synbiotics) is mixed, with limited high-quality studies and inconsistent outcomes. Some probiotic strains show symptom improvement, but effects on breath-test results are variable. A tailored, multidisciplinary approach combining dietary and medical therapies may offer optimal symptom control in SIBO. However, heterogeneity in study designs and limited evidence highlight the need for further research to inform standardised, evidence-based clinical practice.
Full article
(This article belongs to the Special Issue Personalized Nutrition and Dietary Interventions in Inflammatory Bowel Disease (IBD))
Open AccessArticle
Comprehensive Conservative Management Versus Dialysis in Uric Acid Control
by
Francesca K. Martino, Greta Redi, Marco Bogo, Elena Sgrò, Alessandra Zattarin, Giovanni Samassa, Lucia Federica Stefanelli, Anna Basso and Federico Nalesso
Dietetics 2026, 5(1), 9; https://doi.org/10.3390/dietetics5010009 - 3 Feb 2026
Abstract
Background: Hyperuricemia is a well-known problem in end-stage kidney disease. Currently, the end-stage kidney disease patients may be treated with comprehensive conservative management, hemodialysis, or peritoneal dialysis, which impact uric acid levels distinctly. We assessed the impact of these strategies on uric acid
[...] Read more.
Background: Hyperuricemia is a well-known problem in end-stage kidney disease. Currently, the end-stage kidney disease patients may be treated with comprehensive conservative management, hemodialysis, or peritoneal dialysis, which impact uric acid levels distinctly. We assessed the impact of these strategies on uric acid control and identified the factors that influence it. Methods: We conducted a preliminary case–control study comparing patients in comprehensive conservative management, hemodialysis and peritoneal dialysis. For each patient, we evaluated demographic characteristics, comorbidities, body mass index, protein intake, urine output and blood test results. Results: In the entire population, uric acid levels were slightly higher in the comprehensive conservative management group. Furthermore, uric acid control was influenced primarily by body mass index (β = −0.005, p = 0.03) and treatment modality (β = −0.0026, p = 0.05). In comprehensive conservative management, body mass index (β = −0.007, p = 0.02) and urine urea excretion (β = 0.014, p = 0.04) were independent predictors of uric acid level. Conversely, only the suggested protein intake (β = 0.16, p = 0.05), potassium levels (β = −0.046, p = 0.04) and allopurinol therapy (β = −0.073, p = 0.03) were independent predictors of uric acid in hemodialysis patients. Finally, only the recommended protein intake (B = −0.005, p = 0.03) was associated with uric acid levels in patients undergoing peritoneal dialysis. Conclusions: In our series, uric acid control correlates with the treatment modality used for end-stage kidney disease and dietary protein intake.
Full article
Open AccessArticle
“What I Eat in a Day”: The Effect of Social Media’s Diet Messaging on Body Image and Dieting Intentions
by
Bethany A. Roorda, Megan Molnar and Stephanie E. Cassin
Dietetics 2026, 5(1), 8; https://doi.org/10.3390/dietetics5010008 - 2 Feb 2026
Abstract
►▼
Show Figures
Negative body image is a widespread phenomenon among women in Western cultures. Appearance-related social media trends such as “thinspiration” and “fitspiration” have been found to be related to poor body image, and recent research suggests that food-related social media may also impact women’s
[...] Read more.
Negative body image is a widespread phenomenon among women in Western cultures. Appearance-related social media trends such as “thinspiration” and “fitspiration” have been found to be related to poor body image, and recent research suggests that food-related social media may also impact women’s body dissatisfaction, though this literature is in its infancy. The current study examined the impact of diet- and food-related social media among undergraduate women. Participants (N = 256) were randomized to view either “What I Eat in a Day” (WIEIAD) or interior design TikTok videos, with or without a depiction of a “thin-ideal” body. They completed measures of body image before and immediately after viewing the video, and a measure of dieting intentions after viewing. Results indicated a worsened body image among those who watched WIEIAD videos depicting thin-ideal bodies, which was significantly greater than the change reported by those who viewed either interior design videos (with or without thin-ideal bodies depicted). This finding suggests a possible detrimental effect of WIEIAD videos on body image; however, they did not appear to affect dieting intentions, as no significant group differences were found in this outcome between WIEIAD and interior design video groups. Considering WIEIAD videos are common across social media platforms, it is important for young women to be aware of the potential adverse impact of the social media they are exposed to.
Full article

Figure 1
Open AccessArticle
Assessing the Impact of Dietary Calcium–Magnesium Ratio on Calciotrophic Hormones and Body Composition Using Validated Food Frequency Questionnaires
by
Emad Aldeen Alsayed, Patricia A. Shewokis, Jennifer Nasser and Deeptha Sukumar
Dietetics 2026, 5(1), 7; https://doi.org/10.3390/dietetics5010007 - 23 Jan 2026
Abstract
►▼
Show Figures
Background: Calcium (Ca) and magnesium (Mg) are essential micronutrients integral to metabolic processes and cardiovascular health. Emerging evidence suggests that the dietary Ca:Mg ratio may influence chronic disease risk, yet variability in this ratio across diverse demographic groups and its relationship to body
[...] Read more.
Background: Calcium (Ca) and magnesium (Mg) are essential micronutrients integral to metabolic processes and cardiovascular health. Emerging evidence suggests that the dietary Ca:Mg ratio may influence chronic disease risk, yet variability in this ratio across diverse demographic groups and its relationship to body composition and vitamin D status remain unclear. Methods: Dietary intakes of Ca and Mg were assessed using validated Food Frequency Questionnaires (FFQs) and body composition was quantified via Dual-energy X-ray Absorptiometry (DXA) scans. Relationships between dietary Ca:Mg ratios and demographics, body composition parameters (lean and fat mass), and vitamin D and parathyroid hormone (PTH) levels were examined statistically using SPSS ver. 29.0 and R ver. 4.5.1 (2025) employing Kruskal–Wallis, regression, and moderated mediation analyses. Results: We examined 155 healthy adults with a mean age of 36.6 ± 12.5 years. Only 16.8% had adequate intakes of Mg compared with 45.8% who had adequate dietary Ca intakes. Significant differences in the Ca:Mg ratio were observed across racial groups (p = 0.023) and age groups (p = 0.017). South Asian Indians exhibited the highest median Ca:Mg ratio (4.83), whereas African Americans exhibited the lowest (2.67). Interestingly, our moderated mediation analysis indicated that African Americans were the most sensitive to the impact of PTH changes on the balance of Ca:Mg (indirect effect = −0.762, 95% CI [−1.298, −0.234]), indicating that even slight shifts in their Ca:Mg balances cause significant elevation in the PTH, which, in turn, leads to lowering of their vitamin D levels. Young adults (ages 18–29) had the highest median Ca:Mg ratio (4.73). No statistically significant differences were detected based on Gender (p = 0.425 and BMI (p = 0.744) on Ca:Mg ratios. Additionally, dietary Ca:Mg ratios were positively associated with sPTH in males (r = 0.203, p < 0.05), but not with body composition. Conclusion: Important variations in dietary Ca:Mg ratios exist across racial and age demographics, notably among young adults, and specific ethnic groups exhibited elevated ratios. Tailored nutritional interventions may be necessary for these populations to optimize Ca:Mg balance and support metabolic and cardiovascular health outcomes in these populations.
Full article

Figure 1
Open AccessArticle
Exploring the Association Between Weight Loss and Clinical Outcomes in Outpatients with Pancreatic Cancer Undergoing Chemotherapy: A Retrospective Cohort Pilot Study
by
Chanita Unhapipatpong, Abeer Abbasi, Cecillia Tang, Carole-Anne Williams, Sharvika Bharatselvam, Johane P. Allard and Katherine J. P. Schwenger
Dietetics 2026, 5(1), 6; https://doi.org/10.3390/dietetics5010006 - 22 Jan 2026
Abstract
►▼
Show Figures
Worsening nutritional status in patients with pancreatic cancer may be associated with poorer tolerance to chemotherapy and increased complications. This retrospective cohort pilot study, conducted between October 2023 and March 2024, aimed to evaluate the association between nutritional status, weight loss, and clinical
[...] Read more.
Worsening nutritional status in patients with pancreatic cancer may be associated with poorer tolerance to chemotherapy and increased complications. This retrospective cohort pilot study, conducted between October 2023 and March 2024, aimed to evaluate the association between nutritional status, weight loss, and clinical outcomes that included hospitalization, neutropenia, chemotherapy delay, and worsening laboratory changes. Patients were categorized into two groups: those with weight loss >5% of usual body weight and those with ≤5%. Of the 21 participants, 8 were male and 13 were female. Weight loss >5% was significantly associated with more patients requiring hospitalizations compared to weight loss ≤5% [6 (75%) vs. 3 (23.1%), p = 0.02], while no statistically significant differences were observed for other clinical outcomes. Risk factors associated with greater weight loss included age >72 years (crude odds ratio [COR] 9.17; 95% CI 1.15–73.24; p = 0.037), treatment with a paclitaxel plus gemcitabine regimen (COR 12.00; 95% CI 1.02–141.34; p = 0.048), and a history of hospitalization (COR 10.00; 95% CI 1.28–78.12; p = 0.028). Weight loss in pancreatic cancer is linked to poorer clinical outcomes, with older age, certain chemotherapy regimens, and hospitalization identified as risk factors. Early dietary counseling by registered dietitians may help mitigate this risk.
Full article

Figure 1
Open AccessArticle
WIC Participation and Diversity of Dietary Exposures During Infancy Are Associated with Diet Quality at Age 2 Years
by
Vivian M. Drewelow, Aleksandra S. Kristo, Suzanne Phelan and Alison K. Ventura
Dietetics 2026, 5(1), 5; https://doi.org/10.3390/dietetics5010005 - 8 Jan 2026
Abstract
►▼
Show Figures
The present work aimed to assess associations between food insecurity, WIC participation, diversity of dietary exposures, and diet quality in infancy. A secondary analysis was conducted of the WIC Infant and Toddler Feeding Practices Study-2 (WIC ITFPS-2), a national longitudinal study of WIC
[...] Read more.
The present work aimed to assess associations between food insecurity, WIC participation, diversity of dietary exposures, and diet quality in infancy. A secondary analysis was conducted of the WIC Infant and Toddler Feeding Practices Study-2 (WIC ITFPS-2), a national longitudinal study of WIC participation, feeding practices, and children’s health outcomes. Food security at 13 and 24 months, WIC participation at 13 and 24 months, diversity of dietary exposures between 5 and 13 months, and diet quality at 24 months were assessed in 1246 participants who had complete data on all variables of interest. Multivariable linear regression using weighted cases was used. Among families participating in WIC at 13 months, infants in families with low or very low food security had a greater diversity of dietary exposures (mean ± SE: 8.9 ± 0.3) compared to families with high or marginal food security (8.6 ± 0.2); the magnitude of this effect was small but significant (p = 0.03). In both food-insecure and -secure families, greater diversity of dietary exposures (b = 0.30, 95% CI 0.15, 0.44) and WIC participation at 24 months (b = 2.35, 95% CI 1.29, 3.40) were associated with higher diet quality at 24 months. Greater diversity of dietary exposures and participation in WIC may support improved diet quality during the first 2 years.
Full article

Figure 1
Open AccessArticle
Sleep and Cognition at Older Ages and the Moderating Role of Fruit and/or Vegetable Intake: The Empirical Evidence from China
by
Chen Bai, Yuning Xie and Danan Gu
Dietetics 2026, 5(1), 4; https://doi.org/10.3390/dietetics5010004 - 6 Jan 2026
Abstract
Background: Identifying factors associated with cognitive impairment among older adults is critical. This study investigates both concurrent and longitudinal associations between sleep quality, sleep duration, and cognitive performance among older adults in China, with particular emphasis on the moderating role of fruit and/or
[...] Read more.
Background: Identifying factors associated with cognitive impairment among older adults is critical. This study investigates both concurrent and longitudinal associations between sleep quality, sleep duration, and cognitive performance among older adults in China, with particular emphasis on the moderating role of fruit and/or vegetable intake (FVI), a factor rarely examined in previous research. Methods: We pooled five waves of a specially designed nationwide sample of adults aged 65 years or older (N = 64,690; mean age: 86.3 years; men: 43.5%) in 2005, 2008, 2011, 2014, and 2018 in China. Cognitive impairment was assessed by the Mini-Mental State Examination. Among the sample, 10.7% were cognitively impaired. FVI was dichotomized into frequent (almost daily) versus infrequent (other low frequencies). Sleep hours were grouped into short (≤6 h), normal (7–9 h), and long (≥10 h) durations. Both concurrent and cross-lagged analyses were performed after adjusting for a wide set of covariates (demographics, socioeconomic status, family/social connections, health practices, disability, self-rated health, and chronic conditions). Analyses were further stratified by gender, age group, and urban–rural residence. Results: When all covariates were present (the full model), good sleep quality was associated with 22% lower odds of the prevalence of cognitive impairment, whereas the long sleep duration was associated with 24% higher odds as compared with the normal sleep duration. Although the short sleep duration was not associated with the prevalence of cognitive impairment in the full model, it was associated with 8% higher odds of cognitive impairment when health condition was not controlled for. Interaction analyses revealed that frequent FVI buffered the adverse cognitive effects of poor sleep quality and both short and long sleep durations. Subgroup analyses further show similar patterns across subpopulations, with more pronounced protective associations in older women and the oldest-old. Conclusions: Good sleep quality, normal sleep durations, and frequent FVI jointly contribute to better cognitive functioning at older ages. While the observed relationships are largely concurrent rather than causal, promoting both healthy sleep and dietary habits may be important for cognitive health among older adults.
Full article
(This article belongs to the Topic The Link Between Dietary Patterns and Health Outcomes)
►▼
Show Figures

Figure A1
Open AccessArticle
Glycemic Responses, Enzyme Activity, and Sub-Acute Toxicity Evaluation of Unripe Plantain Peel Extract in Rats
by
Titilope R. Komolafe, Mary T. Olaleye, Afolabi C. Akinmoladun, Kayode Komolafe and Akintunde A. Akindahunsi
Dietetics 2026, 5(1), 3; https://doi.org/10.3390/dietetics5010003 - 1 Jan 2026
Abstract
Plantain (Musa paradisiaca L.) is a tropical monocotyledonous, succulent plant of the Musaceae family commonly grown for food in the tropical regions of the African, Asian, and South American continents, where its parts are also sought for ethnomedicinal purposes in the treatment
[...] Read more.
Plantain (Musa paradisiaca L.) is a tropical monocotyledonous, succulent plant of the Musaceae family commonly grown for food in the tropical regions of the African, Asian, and South American continents, where its parts are also sought for ethnomedicinal purposes in the treatment of burns, inflammation, and diabetes, among others. In the present preliminary exploratory study, the ethanol extract of the underutilized Musa paradisiaca peel (MPE) was evaluated for its in vitro inhibitory effects on α-amylase and α-glucosidase, as well as its in vivo hypoglycemic activity and potential biochemical toxicity. MPE (100, 200, 400 mg/kg) was orally administered to normal experimental rats for 30 days, following which the lipid profile, antioxidant status, and serum/tissue indices of hepatic, renal, and cardiac functions were evaluated. MPE produced significant inhibition (p < 0.05) of α-amylase (37%) and α-glucosidase (46%) at 120 µg/mL in vitro. The effect was lower than that of acarbose (IC50 = 44.4 ± 1.14 and 15.60 ± 0.01 µg/mL, respectively). A modest blood glucose-lowering effect of MPE was observed at the highest tested dose (400 mg/kg) following subacute oral administration. During this treatment period, no biochemical alterations of toxicological importance were caused by MPE, as the organ–body weight ratio and serum/tissue indicators of organ function/damage were not adversely altered. In conclusion, MPE demonstrated inhibitory activity against both α-amylase and α-glucosidase, which may contribute to its potential hypoglycemic effects. Additionally, the findings indicate that the peel extract is non-toxic in rats following sub-acute administration at doses up to 400 mg/kg body weight. Further studies involving diabetic models and chronic exposure will substantiate and extend these preliminary observations.
Full article
(This article belongs to the Topic Exploring Nutritional, Antioxidant and Functional Potential of Plant-Based Food and Plant Bioactive Compounds in Human Health)
►▼
Show Figures

Graphical abstract
Open AccessArticle
Practice What You Teach: Preschool Educators’ Dietary Behaviors and BMI
by
Alicia S. Landry, Candace F. Bolden, Mercedes Babin and Holly Huye
Dietetics 2026, 5(1), 2; https://doi.org/10.3390/dietetics5010002 - 1 Jan 2026
Abstract
►▼
Show Figures
The national obesity prevalence for children between 2 and 5 years old was 12.7% from 2017 to 2020. These prevalence rates are concerning because as obesity in youth increases, so do long-term health and psychosocial risks. Preschool children can spend up to 50%
[...] Read more.
The national obesity prevalence for children between 2 and 5 years old was 12.7% from 2017 to 2020. These prevalence rates are concerning because as obesity in youth increases, so do long-term health and psychosocial risks. Preschool children can spend up to 50% of their day in childcare with their educators, consuming meals and snacks together. Therefore, the role modeling of healthy eating behaviors by these educators may have an impact on children’s eating behaviors and future weight status. The purpose of this paper is to examine the relationship between Head Start educators’ self-reported dietary intake patterns and BMI. Variables included BMI and 8 items from the Starting the Conversation brief dietary assessment screener. Data were collected at educators’ respective Head Start centers in the spring of 2019. Pearson correlations were calculated to examine the relationship between educators’ self-reported dietary intake patterns and BMI. Of 66 teachers and teacher assistants who completed all items and BMI assessment, significant relationships were found between consumption of snack chips or crackers and fast food (r = 0.33, p = 0.007 and r = 0.27, p = 0.031, respectively). This study’s findings call attention to the importance of supporting healthier diets among early childhood educators.
Full article

Figure 1
Open AccessArticle
Maternal Self-Efficacy and the Relation with Children’s Dietary Behaviors in the Digital Era
by
Elisa Zambetti, Maura Crepaldi, Francesca Orgiu, Francesca Brivio, Marina Colombi, Aycannur Ince, Paola Palestini, Emanuela Cazzaniga and Andrea Greco
Dietetics 2026, 5(1), 1; https://doi.org/10.3390/dietetics5010001 - 22 Dec 2025
Abstract
►▼
Show Figures
Mothers’ behavior strongly influences children’s eating habits, with family attitudes and feeding practices playing a key role in dietary development. In accordance with the previous literature, this study examined these aspects, including also mothers’ use of social media to stay informed about nutrition
[...] Read more.
Mothers’ behavior strongly influences children’s eating habits, with family attitudes and feeding practices playing a key role in dietary development. In accordance with the previous literature, this study examined these aspects, including also mothers’ use of social media to stay informed about nutrition as an innovative element. The main goal was to validate the Italian version of the PSEPAD scale (Parental Self-Efficacy for Promoting Healthy Physical Activity and Dietary Behaviors in Children), which is a valid and reliable tool for assessing parental self-efficacy in encouraging healthy lifestyles in children, through exploratory factor analysis (EFA) and confirmatory factor analysis (CFA). The sample was composed of 217 mothers. Results were interpreted through groups comparisons (chi-square, ANOVA, and t-test). The findings confirmed the central role of mothers in managing children’s diets and using strategies against picky eating behaviors. The study also highlighted the growing use of social media among mothers, especially younger ones, as a source of nutritional information, meal planning, and peer support, despite a generally low level of satisfaction with the content available on pediatric nutrition. Finally, the results showed a positive link between maternal self-efficacy and healthier child behaviors: mothers with higher self-esteem and confidence were more effective in promoting healthy habits. These findings underscore the importance of targeted interventions to strengthen maternal self-efficacy and the development of digital tools to support healthy family lifestyles.
Full article

Graphical abstract
Open AccessArticle
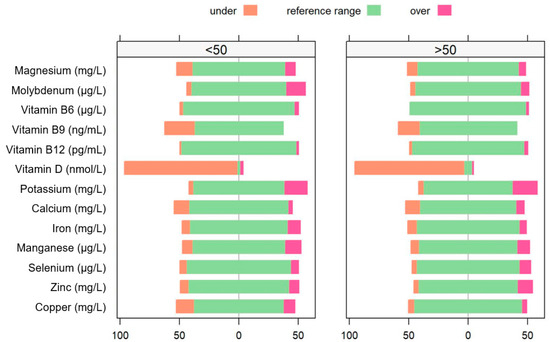
The Association of Blood Micronutrients with Blood Lipids and Body Composition in Young and Older Austrian Adults
by
Mohamad Motevalli, Derrick R. Tanous, Clemens Drenowatz, Markus Schauer, Susanne Mair, Michael Kohlberger, Gerhard Ruedl and Katharina Wirnitzer
Dietetics 2025, 4(4), 59; https://doi.org/10.3390/dietetics4040059 - 16 Dec 2025
Abstract
►▼
Show Figures
Nutrition has been recognized as a major contributor to health and well-being. However, the association between nutritional status and cardiometabolic health across different stages of adulthood is not yet well understood. This cross-sectional study examined the association between health and micronutrient status among
[...] Read more.
Nutrition has been recognized as a major contributor to health and well-being. However, the association between nutritional status and cardiometabolic health across different stages of adulthood is not yet well understood. This cross-sectional study examined the association between health and micronutrient status among young and older Austrian adults. Specifically, the study investigated how blood micronutrients, blood lipid measures, and body composition are interrelated. A total of 488 adults who fulfilled the study criteria were categorized into young adults (n = 380; aged 20–49 years; 48% female) and older adults (n = 108; aged 50–64 years; 45% female). Blood analyses were performed to assess blood micronutrient levels and serum concentrations of a wide range of cardiometabolic health biomarkers, including blood lipids. Micronutrient deficiencies and excesses were determined using sex-based reference ranges. Significant differences were found between younger and older adults for 16 out of the 28 blood biomarkers of cardiometabolic health using group comparison tests (p < 0.05). There were significant age-based differences in the levels of magnesium, copper, zinc, molybdenum and vitamin D, but only copper and molybdenum deficiency/excess differed significantly between age groups (p < 0.05). Multivariate regression analysis showed that several micronutrients and demographic factors were associated with body weight, body mass index, and blood lipids (p < 0.05), with variation in associations observed between younger and older adults. These findings highlight that age-related differences in specific micronutrients, as well as their associations with blood lipids and body composition, should be considered when developing targeted nutritional and cardiometabolic health interventions for adults.
Full article

Figure 1
Open AccessReview
European Olive (Olea europaea L.) as a Source of Cosmetically Valuable Raw Materials: A Narrative Review of Bioactive Constituents, Their Biological Mechanisms, and Applications
by
Anna Warias and Anna Kurkiewicz-Piotrowska
Dietetics 2025, 4(4), 58; https://doi.org/10.3390/dietetics4040058 - 9 Dec 2025
Abstract
►▼
Show Figures
The Olea europaea L., commonly known as the European olive, has been recognized for centuries as one of the most valuable species among useful plants. In contemporary applications, the olive tree provides a wide array of raw materials utilized in the food, pharmaceutical,
[...] Read more.
The Olea europaea L., commonly known as the European olive, has been recognized for centuries as one of the most valuable species among useful plants. In contemporary applications, the olive tree provides a wide array of raw materials utilized in the food, pharmaceutical, and nutraceutical industries. Extracts derived from the leaves, bark, and fruits of O. europaea have also gained significant relevance in dermatological and cosmetic formulations. The aim of this paper was to review scientific studies published between 2019 and 2025 concerning the application of olive oil and other derivatives of the European olive in the care of skin, hair, and nails. The analysis underscores the role of olive-derived bioactives in wound healing, stretch mark management, and skin regeneration, highlighting compounds such as oleocanthal and oleuropein in hydration, elasticity, wrinkle reduction, and photoprotection relevant to skin aging. The evidence for olive oil in hair and nail care mainly highlights their moisturizing and strengthening effects, though studies remain limited. O. europaea derivatives show a favorable safety profile with low allergenic potential, and their availability and minimal sensitization risk support use in home cosmetics. The importance of the European olive and its products is expected to grow in the coming years. However, the availability of technologies for processing waste materials obtained from this plant, as well as the associated technological costs, remain significant limitations.
Full article

Figure 1
Open AccessSystematic Review
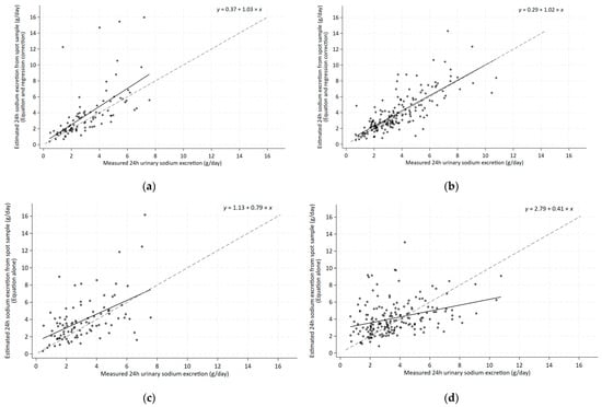
Produce Prescriptions for At-Risk Pediatric Populations in the United States: A Systematic Review of Observational Studies and Analysis of Effect Size
by
Nichole Cortez and Barbara Gordon
Dietetics 2025, 4(4), 57; https://doi.org/10.3390/dietetics4040057 - 9 Dec 2025
Abstract
►▼
Show Figures
This study examined the efficacy of pediatric Produce Prescription Programs (PPP) on food security status, dietary intake, and health outcomes among children, and aimed to determine the optimal prescription dosage and exposure duration required to promote beneficial outcomes. A systematic review of studies
[...] Read more.
This study examined the efficacy of pediatric Produce Prescription Programs (PPP) on food security status, dietary intake, and health outcomes among children, and aimed to determine the optimal prescription dosage and exposure duration required to promote beneficial outcomes. A systematic review of studies published within the past 10 years, reporting on discrete food security status, dietary quality, and health outcomes among children was conducted. Studies not reporting child-specific data or not published in the English language were excluded. Three databases were searched (PubMed, CINAHL Complete, and EBSCO), data was narratively compiled, and the Newcastle-Ottawa Quality Assessment was employed to assess risk of bias. Prescription monetary amounts (dosages) were standardized, facilitating comparison between programs and outcomes. Nine studies (n = 3808 at-risk children) conducted at 52 sites were retrieved. Program protocols varied. Participation improved food security and fruit/vegetable intake; some beneficial changes were similar regardless of produce dosage and exposure. Data suggest conjecturally that a minimum dosage of $70/month adjusted for locality, cost-of-living and implementation year and exposure of ≥6 months might promote achievement of FV recommended guidelines. The value of educational components emerged in the studies. The findings of this study are limited by the high risk of bias embedded in the included interventions, as well as high heterogeneity amongst the programs. More research on program designs, the impact of PPPs on health outcomes, and cost-benefit analyses are warranted. Rigorous study designs are needed to assess the health impacts and long-term efficacy of pediatric PPPs.
Full article

Figure 1
Open AccessArticle
Comparative Analysis of the Nutritional Composition of Gluten-Free and Gluten-Containing Bars Marketed to Children in Ontario
by
Dalia El Khoury, Laura Kuszaj and Ashley Goodliff
Dietetics 2025, 4(4), 56; https://doi.org/10.3390/dietetics4040056 - 1 Dec 2025
Abstract
The market for gluten-free (GF) snack products has expanded, even among children without gluten-related disorders, but few studies have assessed their nutritional quality relative to gluten-containing (GC) counterparts. This study compared the macronutrient composition and fibre additive content of such snack bars marketed
[...] Read more.
The market for gluten-free (GF) snack products has expanded, even among children without gluten-related disorders, but few studies have assessed their nutritional quality relative to gluten-containing (GC) counterparts. This study compared the macronutrient composition and fibre additive content of such snack bars marketed to children in Ontario. A total of 110 snack bars were identified using a standardized set of marketing-based criteria. Nutritional data, including macronutrient content and the presence of fibre additives such as inulin and fructooligosaccharides (FOSs), were collected. Data was standardized per 100 kcals and bar size, then analyzed using an independent sample t-test and chi-square. Results indicated that GF bars contained significantly higher levels of protein (1.7 ± 0.77 g vs. 1.3 ± 0.44 g; p = 0.002) and fibre (1.9 ± 0.95 g vs. 1.4 ± 0.98 g; p = 0.015). No significant differences were observed for sugar, carbohydrates, total fat, saturated fat, or trans fat content. Fibre additives were more common in GF bars (24.4% vs. 10.1%), though this association was not statistically significant (p = 0.079). Findings suggest that while GF bars show slight nutritional advantages, their similar overall profiles and greater use of fibre additives indicate room for improvement across both categories.
Full article
(This article belongs to the Special Issue The Nutritional Implications and Future Prospects of Gluten-Free Diets Beyond Celiac Disease)
Open AccessSystematic Review
Systematic Review of the Impact of Nutritional Support on the Mental Health and Quality of Life of Dependent Older Adults
by
Xinran Xiong and Manuel Martí-Vilar
Dietetics 2025, 4(4), 55; https://doi.org/10.3390/dietetics4040055 - 1 Dec 2025
Abstract
►▼
Show Figures
Population aging has significantly increased the number of older adults in situations of dependency, where they are more vulnerable to mental health problems and a decline in quality of life. Several studies have suggested that nutritional support could play a key role in
[...] Read more.
Population aging has significantly increased the number of older adults in situations of dependency, where they are more vulnerable to mental health problems and a decline in quality of life. Several studies have suggested that nutritional support could play a key role in improving these aspects. This study aimed to analyze the current scientific findings regarding how nutritional interventions influence mental well-being and life quality in elderly individuals with dependency. Following PRISMA methodology, literature was retrieved from internationally recognized bibliographic databases, including Web of Science, PubMed, Scopus, and ProQuest. Experimental and quasi-experimental studies that analyzed nutritional interventions aimed at dependent older adults with results related to mental health and/or quality of life were included. A total of 23 studies satisfying all inclusion standards were selected for the analysis. Most reported positive effects of nutritional interventions on mood, depressive symptoms, and/or perceived quality of life, although there was heterogeneity in the designs and measures used. Nutritional support may represent an effective strategy for improving mental health and quality of life in dependent older adults. However, further research with robust designs and standardized measures is needed to strengthen the available evidence.
Full article

Graphical abstract
Open AccessSystematic Review
Exploring the Associations Between Vegetarianism and Cardiometabolic Risk Factors in South Asian Populations: A Systematic Review
by
Rehan Jessa, Farris Kassam, Rachel A. Murphy, Nadia A. Khan and Tricia S. Tang
Dietetics 2025, 4(4), 54; https://doi.org/10.3390/dietetics4040054 - 13 Nov 2025
Abstract
►▼
Show Figures
Vegetarianism has historically been associated with cardiometabolic benefits and reduced diabetes risk. Despite having the highest prevalence of vegetarians globally, the prevalence of type 2 diabetes in South Asians is amongst the highest globally. This review explores the relationship between vegetarianism and cardiometabolic
[...] Read more.
Vegetarianism has historically been associated with cardiometabolic benefits and reduced diabetes risk. Despite having the highest prevalence of vegetarians globally, the prevalence of type 2 diabetes in South Asians is amongst the highest globally. This review explores the relationship between vegetarianism and cardiometabolic measures in South Asian populations to clarify this paradoxical relationship. Five databases were searched to identify observational studies published between January 2000 and May 2025 that compared vegetarian diets with non-vegetarian diets and reported cardiometabolic measures. A total of 973 articles were identified, 590 articles were assessed, and 7 studies (n = 184,345) were ultimately included. Overall, each study utilized different dietary intake assessments and reported variable cardiometabolic measures. The three highest-quality studies found that vegetarian adherence was associated with a lower BMI, waist circumference, diastolic blood pressure, lipid levels, and fasting blood glucose compared with non-vegetarian diets. Conclusive findings were limited by the small number of studies, variability in dietary assessment methods, and heterogeneity in the reporting of cardiometabolic measures. These results underscore the importance of conducting more methodologically robust studies to assess cardiometabolic measures and demonstrate the need for culturally consistent dietary assessment tools to reduce inter-study variability and improve dietary reporting in South Asians.
Full article

Figure 1
Open AccessArticle
Impact of Energy and Protein Intake on Growth Outcomes in Premature Infants—A Comparison Between a South African and Dutch Cohort
by
Marwyn Sowden, Monique van de Lagemaat, Dana Yumani, Evette van Niekerk and Mirjam Maria van Weissenbruch
Dietetics 2025, 4(4), 53; https://doi.org/10.3390/dietetics4040053 - 10 Nov 2025
Abstract
►▼
Show Figures
(1) Background: Preterm infants are deprived of crucial growth and development that occurs during the last trimester of pregnancy. Optimal nutrition after birth, including sufficient intakes of protein and energy, have been emphasized to improve postnatal growth and development of preterm infants. This
[...] Read more.
(1) Background: Preterm infants are deprived of crucial growth and development that occurs during the last trimester of pregnancy. Optimal nutrition after birth, including sufficient intakes of protein and energy, have been emphasized to improve postnatal growth and development of preterm infants. This study investigated the impact of routine nutritional strategies as used in a Neonatal Intensive Care Unit in South Africa and in the Netherlands, respectively, on the preterm infant’s postnatal growth; (2) Methods: This retrospective observational study included 100 preterm infants from a South African cohort and 86 preterm infants from a Dutch cohort. Over the first four postnatal weeks, total intravenous (IV) fluid volume (i.e., IV. glucose and/or parenteral nutrition (PN) and enteral nutrition (EN) were recorded, and total energy and protein intakes were calculated. Anthropometric measurements were taken and expressed as Z-scores per week; (3) Results: At birth, the South African cohort had a higher gestational age compared to the Dutch cohort; however, weight, length and head circumference Z-scores were lower. During the first four postnatal weeks, the Dutch cohort had a significant higher total energy and protein intakes by the combination of PN and EN than the South African cohort, that mostly received EN only. In addition, the South African cohort showed a more pronounced decline in Z-scores compared to the Dutch cohort; (4) Discussion: Over the 4-week study period, the South African cohort showed more pronounced growth faltering compared to the Dutch cohort preceded by lower total energy and protein intakes; (5) Conclusions: The use of PN, while EN is incremented daily, should be considered in the South African cohort to diminish postnatal growth faltering in preterm infants.
Full article

Figure 1
Open AccessArticle
Creation of a Meal-Planning Exchange List for Common Foods in Qatar and Other Gulf Cooperation Council Countries
by
Safa Abdul Majeed and Reema Tayyem
Dietetics 2025, 4(4), 52; https://doi.org/10.3390/dietetics4040052 - 10 Nov 2025
Abstract
►▼
Show Figures
Background/Objectives: Qatar and other Gulf Cooperation Council (GCC) countries are experiencing a growing incidence of diet-related non-communicable diseases (NCDs). The lack of a culturally relevant food exchange list (FEL) for commonly consumed foods in Qatar and the GCC limits the application of cultural
[...] Read more.
Background/Objectives: Qatar and other Gulf Cooperation Council (GCC) countries are experiencing a growing incidence of diet-related non-communicable diseases (NCDs). The lack of a culturally relevant food exchange list (FEL) for commonly consumed foods in Qatar and the GCC limits the application of cultural preferences in medical nutrition therapy (MNT) for managing diet-related NCDs, thereby reducing patient adherence and metabolic outcomes. Therefore, the primary objective of this study was to develop a culturally tailored FEL for 50 main course dishes widely consumed in the region. Methods: A four-phase approach was followed in this developmental study. First, common Qatari and GCC dishes were identified based on cultural practices and market availability. Second, nutrient composition was compiled from regional food composition tables and validated using dietary analysis software. Pearson correlation was conducted to compare macronutrient values, with significance set at p < 0.05. Third, standard serving sizes were determined using Wheeler et al.’s methodology and converted into household measures using a kitchen scale. Finally, we developed a macronutrient exchange list for the dishes based on the established Wheeler rounding-off criteria. Results: A culturally tailored FEL for 50 frequently consumed Qatari and GCC dishes was successfully developed. Significant correlations were observed between laboratory-derived and software-derived values for carbohydrates (r = 0.7) and protein (r = 0.9), with a weaker correlation for fat (r = 0.5). Macronutrient exchange analysis revealed substantial variation across dishes, with several carbohydrate-based dishes also contributing meaningful protein and fat exchanges. Findings indicated that visual assumptions about nutrient composition may not accurately reflect exchange values, highlighting the need for systematic analysis in diet planning. Conclusions: This study developed a novel culturally relevant FEL for commonly consumed composite dishes in Qatar and the GCC. The exchange list provides a practical tool for dietitians and healthcare professionals to support culturally tailored MNT and public health interventions in the region. It also serves as a valuable resource for researchers in nutritional epidemiology, enabling the analysis of dietary data by converting raw food intake information.
Full article

Figure 1
Open AccessReview
Dietary (Poly)phenols in the Management of Chronic Kidney Disease: A Narrative Review
by
Andrea J. Lobene, Annabel Biruete, Seyedeh Nooshan Mirmohammadali, Leah M. Ellis and Dennis P. Cladis
Dietetics 2025, 4(4), 51; https://doi.org/10.3390/dietetics4040051 - 7 Nov 2025
Cited by 1
Abstract
►▼
Show Figures
Chronic kidney disease (CKD) affects over 850 million individuals globally and has no cure. The treatment of CKD centers on lifestyle interventions, including dietary changes, that slow disease progression. As emerging evidence suggests that fruit and vegetable-derived (poly)phenols may slow CKD, the goal
[...] Read more.
Chronic kidney disease (CKD) affects over 850 million individuals globally and has no cure. The treatment of CKD centers on lifestyle interventions, including dietary changes, that slow disease progression. As emerging evidence suggests that fruit and vegetable-derived (poly)phenols may slow CKD, the goal of this narrative review is to synthesize current knowledge on the role of dietary (poly)phenols in CKD. To identify relevant articles, we searched databases including PubMed, Google Scholar, and Web of Science to identify relevant articles, using keywords including (poly)phenols, CKD, gut microbiome, and cardiovascular disease, among others. The relevant articles were synthesized into a summary of the evidence for (poly)phenols as a therapeutic strategy in CKD, though the paucity and heterogeneity of available research in this area precludes the identification of specific doses or types of (poly)phenols needed to slow CKD progression. The review is supplemented through our discussion of the gut microbiota and microbially derived metabolites as key targets in mediating the progression of CKD itself as well as subsequent cardiovascular outcomes. Finally, we discuss the integration of (poly)phenol-rich dietary patterns into CKD nutrition guidelines, highlighting future research directions to elucidate the potential therapeutic role of (poly)phenols in CKD.
Full article

Graphical abstract
Open AccessArticle
AI Recipe Blog Is Evaluated Similarly to a Recipe Blog Created by Nutrition and Dietetic Students
by
Katie N. Kraus, Stacy L. Bevan, Sarah Moore Smith, Maeci H. Armstrong, Brooke Campbell Jeppesen, Catherine Fish and Heidi J. Wengreen
Dietetics 2025, 4(4), 50; https://doi.org/10.3390/dietetics4040050 - 1 Nov 2025
Abstract
►▼
Show Figures
With the growing use of AI, it is important to know target audiences’ perceptions of its use. A convenience sample of students were invited to take an online survey in which they were randomly assigned to Group 1 (evaluated a student-generated blog; n
[...] Read more.
With the growing use of AI, it is important to know target audiences’ perceptions of its use. A convenience sample of students were invited to take an online survey in which they were randomly assigned to Group 1 (evaluated a student-generated blog; n = 456) or Group 2 (evaluated an AI-generated blog; n = 492). The results of independent t-tests and chi-squared tests indicated no group differences in ratings of ease of recipe preparation, time to prepare the recipe, utilization of common ingredients, and frequency of intended use of the blog. The student-generated blog was rated higher on budget friendliness (p = 0.025). A total of 42% indicated they would be less willing to use a blog if they knew it was AI-generated, while 43% indicated that it would make no difference and 4.4% indicated being more likely to view the AI-generated blog. Two researchers used a thematic analysis approach to evaluate participants’ free responses regarding the likelihood of using a recipe blog that was AI-generated. Participant perceptions of an AI-generated blog ranged from very positive to very negative. Some themes highlighted the potential benefits of AI or a more neutral stance indicating that “a recipe is a recipe”. The majority of themes highlighted the benefits of content that was created, verified, or tested by humans, or espoused a human touch. Students should be trained to cater to consumer preferences, and to add value in a world that includes AI-generated content.
Full article

Figure 1
Highly Accessed Articles
Latest Books
E-Mail Alert
News
Topics
Topic in
Antioxidants, Dietetics, Foods, Nutrients, Plants
Exploring Nutritional, Antioxidant and Functional Potential of Plant-Based Food and Plant Bioactive Compounds in Human Health
Topic Editors: Gianluca Rizzo, Andrea ArmaniDeadline: 31 May 2026
Topic in
Dairy, Dietetics, Nutraceuticals, Nutrients, Healthcare
The Link Between Dietary Patterns and Health Outcomes
Topic Editors: Federica Valeriani, Stefania PaduanoDeadline: 31 July 2026
Topic in
Dietetics, Nutrients, Obesities, Diseases, IJMS, Metabolites
Dietary Habits in Liver Health and Disease: Preclinical and Clinical Studies
Topic Editors: Evelyn Nunes Goulart Da Silva Pereira, Rosane Harter Griep, Anissa DaliryDeadline: 31 December 2026
Topic in
Dietetics, Diseases, Foods, Nutrients, JCM
Environmental Influences on Dietary Patterns and Disease Risk: Nutritional Pathways and Health Implications
Topic Editors: Yuquan Chen, Guanhu YangDeadline: 1 February 2027
Conferences
Special Issues
Special Issue in
Dietetics
The Nutritional Implications and Future Prospects of Gluten-Free Diets Beyond Celiac Disease
Guest Editor: Dalia El KhouryDeadline: 25 February 2026
Special Issue in
Dietetics
Personalized Nutrition and Dietary Interventions in Inflammatory Bowel Disease (IBD)
Guest Editor: Bahram H. ArjmandiDeadline: 25 April 2026
Special Issue in
Dietetics
Nutrigenetics, Nutrigenomics, and Personalized Nutrition
Guest Editors: Sara Mahdavi, Ahmed El-SohemyDeadline: 15 June 2026
Special Issue in
Dietetics
Clinical Nutrition in the Era of Precision: Bioactives, Microbiome and Targeted Dietetic Interventions
Guest Editor: Carmen Lucas-AbellánDeadline: 5 July 2026





