Next Issue
Volume 15, February-2
Previous Issue
Volume 15, January-2
 
 
foods-logo

Journal Browser

Journal Browser

Foods, Volume 15, Issue 3 (February-1 2026) – 194 articles

Cover Story (view full-size image): The control of Listeria monocytogenes in ready-to-eat (RTE) foods is defined by a fundamental regulatory division. While the EU adopts a risk-based philosophy, permitting low pathogen levels (<100 cfu/g) in non-growth-supporting foods, the US enforces a strict zero-tolerance hazard standard. This review offers a unique comparative analysis of these frameworks, examining the 2024 update to EU Regulation 2073/2005 alongside the US “Seek and Destroy” environmental strategy. We dissect how these philosophies drive divergent industrial compliance—from European shelf-life validation through challenge testing to American sanitation verification. By integrating epidemiological trends with a critical analysis of validation methods, this work provides a roadmap for harmonisation, which is essential for navigating global trade and enhancing consumer protection. View this paper
  • Issues are regarded as officially published after their release is announced to the table of contents alert mailing list.
  • You may sign up for e-mail alerts to receive table of contents of newly released issues.
  • PDF is the official format for papers published in both, html and pdf forms. To view the papers in pdf format, click on the "PDF Full-text" link, and use the free Adobe Reader to open them.
Order results
Result details
Section
Select all
Export citation of selected articles as:
16 pages, 4609 KB  
Article
Utilization of Turmeric Leaf Phenolic Extracts as Natural Antioxidants in Emulsion Systems
by Sorour Barekat, Sumanjot Kaur, Navam Hettiarachchy and Ali Ubeyitogullari
Foods 2026, 15(3), 602; https://doi.org/10.3390/foods15030602 - 6 Feb 2026
Viewed by 625
Abstract
This study evaluated the effect of turmeric leaf phenolic extract (TLP) on lipid oxidation and physicochemical properties of oil-in-water emulsions. The dried leaves were first extracted using hydroethanolic solvents (0, 30, 50, 70%, w/w ethanol), and the total phenolic content and [...] Read more.
This study evaluated the effect of turmeric leaf phenolic extract (TLP) on lipid oxidation and physicochemical properties of oil-in-water emulsions. The dried leaves were first extracted using hydroethanolic solvents (0, 30, 50, 70%, w/w ethanol), and the total phenolic content and antioxidant properties were evaluated. Then, TLP was incorporated into emulsions at concentrations of 0, 250, 500, and 1000 µM (0, 0.46, 0.92, and 1.84 mg extract/mL emulsion). The characteristics, including appearance, size, polydispersity index, charge, lipid oxidation, viscosity, and microstructure, were evaluated both before and after heating at 85 °C. The results showed that all emulsions were stable up to 6 h at 85 °C. All fresh emulsions were nanosized with high negative zeta potential (−45.59 to −48.76 mV). With longer incubation time (6 h), the size (264–523 nm) and polydispersity index (0.32–0.43) increased, and the zeta potential decreased (−29.34 to −31.78). The oxidation values after 6 h were highest for the control (16.33 meq/kg oil and 7.03 mg MDA/kg oil) and lowest for the 1000 µM TLP emulsion (7.20 meq/kg oil, 0.74 mg MDA/kg oil). The samples containing 500 µM BHT showed the lowest oxidation and were comparable to the 1000 µM TLP emulsion. The polymerization and oxidation of the oil increased the viscosity during incubation, and the droplet size increased as observed in the CLSM images. Finally, it can be concluded that turmeric leaves, a major agricultural waste, are a potent source of antioxidants, capable of preventing oxidation and preserving the physicochemical properties of emulsions. Full article
(This article belongs to the Special Issue Different Strategies for the Reuse and Valorization of Food Waste)
Show Figures

Graphical abstract

19 pages, 3262 KB  
Article
The Influence of Selected Winter Wheat Cultivars Grown in Poland and the Growing Season on the Quality of Wheat Beers Produced from Them
by Justyna Belcar and Józef Gorzelany
Foods 2026, 15(3), 601; https://doi.org/10.3390/foods15030601 - 6 Feb 2026
Viewed by 415
Abstract
The wheat cultivar significantly influences the quality of grain and malt, which are used to produce wheat beers, determining their potential for use in brewing. The brewing process influenced the quality of wheat beers obtained from selected winter wheat cultivars (Elixer, Lawina, Gimantis [...] Read more.
The wheat cultivar significantly influences the quality of grain and malt, which are used to produce wheat beers, determining their potential for use in brewing. The brewing process influenced the quality of wheat beers obtained from selected winter wheat cultivars (Elixer, Lawina, Gimantis and Rockefeller cultivars) from three growing seasons. Wheat beers obtained from malt from the Rockefeller and Gimantis cultivars were characterized by the highest real extract values, ethyl alcohol content (4.14 and 4.05% v/v, respectively), and therefore the caloric content of the finished beer product (the lowest energy value was obtained for the Lawina cultivar—43.19 kcal·100 mL−1). Furthermore, wheat beers obtained from malt from the Gimantis cultivar were characterized by the lightest color and the lowest bitterness perception (14.8 IBU). The highest quality wheat beers were obtained with grain from the second growing season, regardless of the cultivar used. Cluster analysis of all quality characteristics of wheat beers obtained from malt derived from winter wheat grain grown in field experiments showed that the Gimantis cultivar, and to a lesser extent the Rockefeller cultivar, was characterized by the lowest quality variability among wheat beers brewed from malt derived from cereals from three growing seasons in the Lower Silesian Voivodeship. Full article
Show Figures

Figure 1

18 pages, 6198 KB  
Article
Comparative Antibacterial Activity of Cabbage Varieties Against Thermophilic Bacillus spp. Isolated from Wheat Grains
by Liliya Alashbayeva and Madina Yakiyayeva
Foods 2026, 15(3), 600; https://doi.org/10.3390/foods15030600 - 6 Feb 2026
Viewed by 650
Abstract
The microbiological safety of whole wheat flour remains a critical issue due to its susceptibility to contamination by spore-forming thermophilic bacteria. In this study, two thermophilic species, Bacillus subtilis and Bacillus mesentericus, were isolated from locally produced wheat grains and used as target [...] Read more.
The microbiological safety of whole wheat flour remains a critical issue due to its susceptibility to contamination by spore-forming thermophilic bacteria. In this study, two thermophilic species, Bacillus subtilis and Bacillus mesentericus, were isolated from locally produced wheat grains and used as target microorganisms to evaluate the antibacterial potential of freshly pressed cabbage juices. Juices obtained from five cabbage varieties—red cabbage, white cabbage, napa (Chinese) cabbage, broccoli, and cauliflower—were comparatively assessed using the broth dilution method to determine their minimum inhibitory and bactericidal effects (n = 3). The results revealed pronounced differences in antibacterial efficacy among the tested samples. White cabbage juice exhibited selective inhibitory activity against B. subtilis at a dilution of 1:4, whereas napa cabbage and broccoli juices demonstrated the highest antibacterial activity against both Bacillus species at a dilution of 1:3. Importantly, napa cabbage juice showed no inhibitory effect on Saccharomyces cerevisiae, indicating its compatibility with dough fermentation processes. Spectroscopic analysis of the bioactive fraction obtained from napa cabbage juice revealed characteristic absorption bands at 3422 cm−1 (O–H stretching), 2907–2840 cm−1 (aliphatic C–H stretching), 1740 cm−1 (ester carbonyl group), and 1641 cm−1 (C=C stretching). The predominance of lipophilic compounds, including fatty acid esters, terpenes, and sulfur-containing compounds (734 cm−1), suggests a molecular basis for the observed antibacterial activity against Bacillus spp. Overall, these findings identify napa cabbage as a promising source of selective natural antimicrobial agents capable of enhancing the microbiological safety of whole wheat flour-based bakery products without compromising yeast activity. Full article
(This article belongs to the Section Grain)
Show Figures

Figure 1

37 pages, 2615 KB  
Article
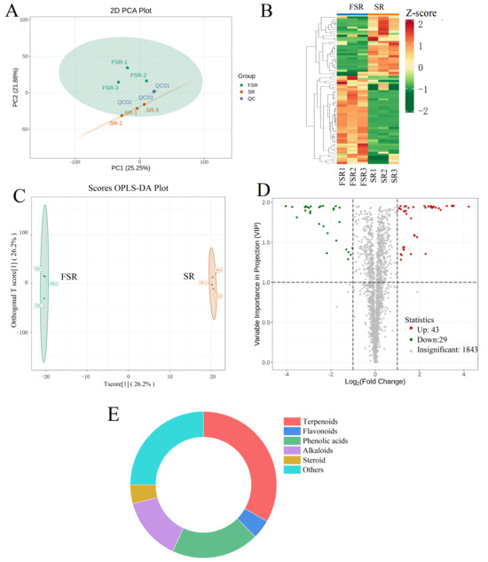
Integrated Molecular Informatics and Sensory-Omics Study of Core Trace Components and Microbial Communities in Sauce-Aroma High-Temperature Daqu from Chishui River Basin
by Dandan Song, Lulu Song, Xian Zhong, Yashuai Wu, Yuchao Zhang and Liang Yang
Foods 2026, 15(3), 599; https://doi.org/10.3390/foods15030599 - 6 Feb 2026
Viewed by 615
Abstract
Flavor-relevant trace volatiles and microbial communities were examined in six sauce-aroma high-temperature Daqu samples. Headspace solid-phase microextraction coupled with gas chromatography–mass spectrometry (HS-SPME-GC-MS) quantified 210 trace volatile compounds across 14 chemical classes. Orthogonal partial least squares discriminant analysis (OPLS-DA) with variable importance in [...] Read more.
Flavor-relevant trace volatiles and microbial communities were examined in six sauce-aroma high-temperature Daqu samples. Headspace solid-phase microextraction coupled with gas chromatography–mass spectrometry (HS-SPME-GC-MS) quantified 210 trace volatile compounds across 14 chemical classes. Orthogonal partial least squares discriminant analysis (OPLS-DA) with variable importance in projection (VIP) screening was integrated with sensory scoring, correlation analysis, and molecular docking to an olfactory receptor model. Volatile profiles showed clear stratification in total abundance. Pyrazines dominated the high-total group. Tetramethylpyrazine served as a major driver. Sensory evaluation indicated that aroma explained overall quality best. (E)-2-pentenal and dimethyl trisulfide showed significant positive associations with aroma and overall scores. In the olfactory receptor, the polar residue module that provides directional constraints for Daqu odor activation was formed by Ser75, Ser92, Ser152, Ser258, Thr74, Thr76, Thr98, Thr200, Gln99, and Glu94. The hydrogen-bond or charge network was further reinforced by Arg150, Arg262, Asn194, His180, His261, Asp182, and Gln181. The core discriminant set comprised acetic acid, hexanoic acid, (E)-2-pentenal, nonanal, decanal, dimethyl trisulfide, trans-3-methyl-2-n-propylthiophane, 2-hexanone oxime, ethyl linoleate, propylene glycol, 2-ethenyl-6-methylpyrazine, 4-methylquinazoline, 5-methyl-2-phenyl-2-hexenal, and 1,2,3,4-tetramethoxybenzene. Sequencing revealed higher bacterial diversity than fungal. Bacillus and Kroppenstedtia were dominant bacterial genera. Aspergillus, Paecilomyces, Monascus, and Penicillium were major fungal genera. Correlation patterns suggested that Bacillus and Monascus were positively linked to acetic acid and 1,2,3,4-tetramethoxybenzene. Together, these results connected chemical fingerprints, sensory performance, receptor-level plausibility, and microbial ecology. Concrete targets are provided for quality control of high-temperature Daqu. Full article
(This article belongs to the Special Issue Sensory Detection and Analysis in Food Industry)
Show Figures

Figure 1

15 pages, 2070 KB  
Article
Functional Characterization of Naematelia aurantialba Basidiospore Polysaccharides in L929 Cells: Photoprotective, Antioxidant, and Anti-Inflammatory Effects Against UVB-Induced Damage
by Lihan Sun, Sijie Liu, Tao Sun, Rui Wang, Yian Gu, Liang Sun, Hong Xu and Peng Lei
Foods 2026, 15(3), 598; https://doi.org/10.3390/foods15030598 - 6 Feb 2026
Viewed by 465
Abstract
Ultraviolet (UV) radiation is a primary driver of skin photoaging, characterized by oxidative stress, persistent inflammatory responses, and excessive degradation of the extracellular matrix (ECM). Naematelia aurantialba is a traditional medicinal and edible fungus recognized for its diverse pharmacological activities. In this study, [...] Read more.
Ultraviolet (UV) radiation is a primary driver of skin photoaging, characterized by oxidative stress, persistent inflammatory responses, and excessive degradation of the extracellular matrix (ECM). Naematelia aurantialba is a traditional medicinal and edible fungus recognized for its diverse pharmacological activities. In this study, N. aurantialba polysaccharides (NAPS-A)—high-value bioactive compounds obtained through liquid fermentation—were subjected to detailed functional characterization to evaluate their restorative potential against UVB-induced damage. The results demonstrated that NAPS-A treatment effectively mitigated UVB-induced cytotoxicity. Furthermore, NAPS-A significantly suppressed the accumulation of reactive oxygen species (ROS) and malondialdehyde (MDA), while robustly revitalizing the endogenous antioxidant defense system by restoring superoxide dismutase (SOD) and catalase (CAT) activities. Moreover, NAPS-A exerted potent anti-inflammatory effects by inhibiting the secretion of nitric oxide (NO) and pro-inflammatory cytokines, including IL-1β, IL-6, and TNF-α. NAPS-A maintained ECM homeostasis by counteracting collagen depletion, exhibiting inhibitory activity against collagenase and elastase, and modulating the mRNA expression of Col1a1 and Col3a1. These findings suggested that NAPS-A protects fibroblasts from UVB-induced damage through a synergistic mechanism involving radical scavenging, the enhancement of cellular redox homeostasis, and the modulation of ECM metabolism. Overall, NAPS-A represents a promising, sustainably produced, food-derived bioactive ingredient with significant potential for the development of functional foods and nutricosmetics aimed at mitigating UVB-induced skin damage. Full article
Show Figures

Figure 1

24 pages, 7604 KB  
Review
Engineering Allosteric Transcription Factor-Based Biosensors: Advances and Prospects for Modern Food Contaminant Monitoring
by Xinyue Lan, Ziying Zhou, Yanger Liu, Xiangyang Li, Wenbiao Shi, Longjiao Zhu and Wentao Xu
Foods 2026, 15(3), 597; https://doi.org/10.3390/foods15030597 - 6 Feb 2026
Viewed by 497
Abstract
Allosteric transcription factor (aTF)-based in vitro biosensors constitute a class of detection tools formed by the functional coupling of the ligand-binding domain of aTFs with a reporter system. Owing to advantages such as high specificity and sensitivity, these biosensors have emerged as a [...] Read more.
Allosteric transcription factor (aTF)-based in vitro biosensors constitute a class of detection tools formed by the functional coupling of the ligand-binding domain of aTFs with a reporter system. Owing to advantages such as high specificity and sensitivity, these biosensors have emerged as a research hotspot in the field of modern food contaminant monitoring. Our work centers on the core aspect of engineering design and systematically elaborates on the modular design strategies for aTF-based in vitro biosensors, with a focus on the design principles of the molecular recognition system, signal amplification strategies, signal output systems, and sensing systems. Furthermore, the article summarizes the advances in the application of aTF biosensors for detecting various typical food contaminants and analyzes their performance advantages. Finally, in light of existing technical limitations, it prospectively discusses future directions for enhancing specificity, improving stability, and promoting commercial applications, aiming to provide a theoretical reference and application guidance for transitioning this technology from laboratory platforms to on-site real-time monitoring. Full article
(This article belongs to the Section Food Biotechnology)
Show Figures

Graphical abstract

18 pages, 2729 KB  
Article
Enhancement Effect of Lemon Flower on the Flavor Quality of White Tea and Its Formation Mechanism
by Jun Wang, Yiwen Hu, Deyu Hu, Zhihong Lu, Li Xiang, Jinsong Xiang, Min Hong, Lili Ling and Yanyan Ma
Foods 2026, 15(3), 596; https://doi.org/10.3390/foods15030596 - 6 Feb 2026
Viewed by 516
Abstract
This study involved developing a novel lemon flower-scented white tea (LT) through multiple aroma-imparting cycles, and taking an integrated approach to investigating its flavour formation mechanism. Sensory evaluation and electronic tongue analysis revealed that the LT exhibited more balanced taste characteristics, with significantly [...] Read more.
This study involved developing a novel lemon flower-scented white tea (LT) through multiple aroma-imparting cycles, and taking an integrated approach to investigating its flavour formation mechanism. Sensory evaluation and electronic tongue analysis revealed that the LT exhibited more balanced taste characteristics, with significantly reduced bitterness and astringency, attributed to the decreased caffeine content and conversion of esterified catechins. Electronic nose and HS-SPME/GC-MS results confirmed that the LT had acquired a distinctive aroma characterised by floral and citrus notes, primarily originating from lemon flower volatiles such as methyl anthranilate and limonene. Multivariate statistical analysis identified 32 key differential compounds (variable importance in projection value > 1), with methyl anthranilate, β-ionone, and geraniol (relative odour activity value > 80) jointly forming the shared flavour base among teas. These findings demonstrate that lemon flower infusion can effectively enhance the sensory quality of white tea and provide theoretical support for the development of diverse floral teas. Full article
Show Figures

Figure 1

14 pages, 2425 KB  
Article
Monitoring Antioxidant Preservation in Microwave-Dried Tea Using H2O2-Responsive Electrochemical Sensor
by Jiaoling Wang, Hao Li, Xinxin Wu, Xindong Wang and Xinai Zhang
Foods 2026, 15(3), 595; https://doi.org/10.3390/foods15030595 - 6 Feb 2026
Viewed by 527
Abstract
Considering the demand for nutritional assessment and product quality control in the tea industry, this work develops an effective electrochemical sensor based on gold nanoparticles electrodeposited onto a zeolitic imidazolate framework (Au/MOF(Zn)) for evaluating the antioxidant activity of tea subjected to microwave-assisted drying [...] Read more.
Considering the demand for nutritional assessment and product quality control in the tea industry, this work develops an effective electrochemical sensor based on gold nanoparticles electrodeposited onto a zeolitic imidazolate framework (Au/MOF(Zn)) for evaluating the antioxidant activity of tea subjected to microwave-assisted drying (MAD) through hydrogen peroxide (H2O2) scavenging. The MOF(Zn) enables uniform deposition of AuNPs, which significantly enhances the electrocatalytic oxidation of H2O2. The fabricated sensor exhibits a wide linear detection range from 400 μM to 1.8 mM for H2O2 with a correlation coefficient of 0.9983. The experimental results demonstrate acceptable selectivity, with signal interference <5% from common tea compounds like inorganic ions, sugars, and organic acids. Electrochemical methods, including cyclic voltammetry (CV) and differential pulse voltammetry (DPV) analysis, were employed to quantify H2O2 by measuring oxidation currents in phosphate-buffered saline (PBS, pH 7.0). The relative standard deviation (RSD) for repeatability and reproducibility was 5.1% and 6.8%, respectively, confirming high reliability. This sensor was successfully applied to assess antioxidant capacity in tea extracts obtained from fresh leaves subjected to microwave-assisted drying under varying power and duration. Results indicate that increasing microwave power enhances antioxidant activity, while prolonged drying at low power initially increases activity (peaking at 120 s) but reduces it upon extended exposure. Optimal antioxidant preservation was achieved at 120 s. This real-time, reliable sensing strategy offers theoretical foundations for optimizing tea processing parameters to preserve bioactive compounds, particularly polyphenols like catechins, thereby improving tea quality and health benefits. Full article
Show Figures

Figure 1

22 pages, 2618 KB  
Article
Preparation, Characterization, and In Vitro Digestion Behavior of Alginate–Chitosan Microspheres Loaded with Ziziphus jujuba Pulp
by Dan Zhao, Nannan Chen, Beizhi Zhang, Fuzhi Xie, Qing Zhang, Bei Fan, Xiaona Liu, Ziguo Rong, Min Ju, Mengmeng Yu, Yongchang Dai, Fengzhong Wang and Liang Zhang
Foods 2026, 15(3), 594; https://doi.org/10.3390/foods15030594 - 6 Feb 2026
Viewed by 673
Abstract
In this study, sodium alginate–chitosan composite microspheres (S-C Ms) were prepared by ionic gelation to encapsulate Ziziphus jujuba pulp from wild jujube pulp. The effects of sodium alginate (SA) concentration, chitosan (CS) concentration, and core-to-wall ratio on encapsulation efficiency (EE%) and loading capacity [...] Read more.
In this study, sodium alginate–chitosan composite microspheres (S-C Ms) were prepared by ionic gelation to encapsulate Ziziphus jujuba pulp from wild jujube pulp. The effects of sodium alginate (SA) concentration, chitosan (CS) concentration, and core-to-wall ratio on encapsulation efficiency (EE%) and loading capacity (LC%) were systematically investigated. The results showed that both EE% and LC% were maximized when the SA concentration was 2.0% (w/v) and the CS concentration was 1.5% (w/v). The FTIR and XRD analyses confirmed the successful encapsulation of a phenolic-rich extract from Z. jujuba pulp (PRE) and its transformation into an amorphous state, while the SEM observations revealed that the composite microspheres possessed a well-defined morphology and a dense internal structure. Particle size analysis further indicated a narrow and uniform size distribution. Thermogravimetric analysis (TGA) and in vitro simulated digestion demonstrated that S-C Ms exhibited a pH-responsive release profile, characterized by slow, limited release in the gastric phase and markedly enhanced release in the intestinal phase. The release mechanism in simulated gastric fluid was dominated by Fickian diffusion, whereas it shifted to an erosion-controlled process in simulated intestinal fluid. Consistently, the swelling ratio of the microspheres was low at pH 1.2 but increased sharply at pH 7.0, reflecting a “gastric protection–intestinal release” behavior. Antibacterial assays showed that P-loaded microspheres exerted significant inhibitory effects against Staphylococcus aureus and other test strains, with the antibacterial activity possibly associated with the controlled release during the in vitro digestion of compounds with antimicrobial potential, such as phenolic compounds. Overall, SA-CS composite microspheres exhibited favorable encapsulation performance, structural stability, and controlled-release potential, making them a promising delivery and protection system for Ziziphus jujube pulp bioactive compounds. Full article
Show Figures

Figure 1

18 pages, 2394 KB  
Article
Physicochemical Properties of Safflower (Carthamus tinctorius L.) Seed Meal Protein and the Effects of pH and Ionic Strength on Its Functional Characteristics
by Yanling Yang, Yucheng Bai, Xiaoling Xie, Bingjing Li, Liping Luo, Qian Zhang, Cheng Luo, Wenxing Nie, Rui Qin, Hong Liu, Jiao Liu and Hongzao He
Foods 2026, 15(3), 593; https://doi.org/10.3390/foods15030593 - 6 Feb 2026
Viewed by 656
Abstract
In recent years, plant proteins recycled from agricultural waste have gained increasing attention in food manufacturing due to the relatively low environmental and economic cost. Safflower (Carthamus tinctorius L.) is an important edible oil crop which generates a large amount of seed [...] Read more.
In recent years, plant proteins recycled from agricultural waste have gained increasing attention in food manufacturing due to the relatively low environmental and economic cost. Safflower (Carthamus tinctorius L.) is an important edible oil crop which generates a large amount of seed meal as by-products. Thus, this study aimed to investigate the properties of proteins extracted from the safflower seed meal as food materials. The physicochemical properties and functional characteristics of safflower seed meal protein (SMP) were analyzed at different NaCl concentrations and pH. Results showed that the extraction rate of SMP is 55% and SMP contains 86% protein with an isoelectric point of 4.5. The molecular weight of proteins in SMP predominantly ranged from 10 to 43 kilodaltons (kDa), with a maximum weight loss temperature of 317 °C. Glutamic acid exhibited the highest, while lysine served as the primary limiting amino acid. All seven essential amino acids were present except for tryptophan, which was not included in the testing scope. Additionally, SMP exhibited its highest solubility (59.55%) and emulsifying capacity (62.63 m2/g) at pH 11, and its highest foaming capacity (70.67%) at pH 9. The highest solubility (41.56%) was observed at 1 mol/L NaCl; the highest emulsifying capacity (16.88 m2/g) was observed at 0.6 mol/L NaCl; and the highest foaming capacity (90.67%) was observed at 0.7 mol/L NaCl. This study demonstrates that SMP has excellent nutritional value and a variety of functional properties, making it a promising plant-based protein source for the food processing industry. Subsequent processing involving adjustment to a high pH and increased NaCl concentration can help SMP to exhibit its processing characteristics. Full article
Show Figures

Figure 1

14 pages, 2811 KB  
Article
Fermentation by Wickerhamomyces anomalus Improved Production Yield of Fructooligosaccharides Through Transglycosidation of β-Fructofuranosidase
by Hong Liu, Qiaojuan Yan, Susu Han, Xiaoxiao Wang, Yanxiao Li and Zhengqiang Jiang
Foods 2026, 15(3), 592; https://doi.org/10.3390/foods15030592 - 6 Feb 2026
Viewed by 444
Abstract
Fructooligosaccharides (FOS), an important prebiotic, are widely used in the food industry. β-Fructofuranosidases are commonly used for FOS production with yield of 55~60% (crude FOS syrup). The by-products glucose and fructose are produced during enzymatic conversion of FOS. Thus, the strategy for FOS [...] Read more.
Fructooligosaccharides (FOS), an important prebiotic, are widely used in the food industry. β-Fructofuranosidases are commonly used for FOS production with yield of 55~60% (crude FOS syrup). The by-products glucose and fructose are produced during enzymatic conversion of FOS. Thus, the strategy for FOS production with high content (higher than 95%) has long been a topic of concern. In this study, a novel yeast Wickerhamomyces anomalus CAU331 was isolated from Daqu and applied for fermentation of crude FOS syrup. Impurities of glucose and fructose in the syrup were metabolized, which yielded a FOS content of 87.6%. Subsequently, the β-fructofuranosidase (AnFTase70) was added and synergistically worked with W. anomalus CAU331. A maximum FOS content of 95.1% with a concentration of 288.1 g/L and productivity of 6.26 g/L/h was obtained through the sequential action of β-fructofuranosidase and W. anomalus CAU331 in a 200 L fermenter. Moreover, the FOS components were composed of 19.2 g/L 1-kestose (GF2), 127.8 g/L nystose (GF3), 115.8 g/L 1F-fructofuranosylnystose (GF4), and 25.5 g/L kestohexaose (GF5). The findings gained in this study might provide a cost-effective approach for the production of FOS with high purity and expand their applications as functional food materials. Full article
(This article belongs to the Section Food Biotechnology)
Show Figures

Figure 1

23 pages, 665 KB  
Review
Analytical Methodologies for Benzo[a]pyrene in Foods: A Review of Advances in Sample Preparation and Detection Techniques
by Di Yuan, Shan Zhang, Bin Hong, Shan Shan, Jingyi Zhang, Qi Wu, Dixin Sha, Shuwen Lu and Chuanying Ren
Foods 2026, 15(3), 591; https://doi.org/10.3390/foods15030591 - 6 Feb 2026
Viewed by 624
Abstract
Benzo[a]pyrene (BaP), a potent carcinogenic polycyclic aromatic hydrocarbon, is a critical food contaminant originating from environmental deposition and thermal processing, posing a significant threat to public health and driving stringent global regulations. This review critically examines recent advancements in analytical methodologies for BaP [...] Read more.
Benzo[a]pyrene (BaP), a potent carcinogenic polycyclic aromatic hydrocarbon, is a critical food contaminant originating from environmental deposition and thermal processing, posing a significant threat to public health and driving stringent global regulations. This review critically examines recent advancements in analytical methodologies for BaP determination, giving particular emphasis to sample preparation and detection techniques. The discussion covers the evolution from conventional methods, such as solid-phase extraction, towards more efficient and sustainable approaches, including magnetic, dispersive, and molecularly imprinted solid-phase extraction, as well as microextraction techniques and gel permeation chromatography. For detection, the performance of established chromatographic methods, such as gas chromatography–mass spectrometry (GC-MS) and high-performance liquid chromatography with fluorescence detection (HPLC-FLD), is evaluated against emerging rapid techniques such as sensors, immunoassays, and spectroscopic methods. The analysis reveals that while significant progress has been made in improving sensitivity, selectivity, and throughput, challenges remain in balancing speed with accuracy, managing matrix effects, and translating novel materials from research to routine application. The review concludes by underscoring the necessity for future development to focus on the integration of smart materials, automation, and advanced data science to achieve robust, on-site, and holistic monitoring solutions for ensuring food safety against BaP contamination. Full article
(This article belongs to the Section Food Analytical Methods)
Show Figures

Graphical abstract

4 pages, 155 KB  
Correction
Correction: Ali et al. Nutritional Composition and Bioactive Compounds in Tomatoes and Their Impact on Human Health and Disease: A Review. Foods 2021, 10, 45
by Md Yousuf Ali, Abu Ali Ibn Sina, Shahad Saif Khandker, Lutfun Neesa, E. M. Tanvir, Alamgir Kabir, Md Ibrahim Khalil and Siew Hua Gan
Foods 2026, 15(3), 590; https://doi.org/10.3390/foods15030590 - 6 Feb 2026
Viewed by 380
Abstract
In the original publication [...] Full article
(This article belongs to the Special Issue Functional Foods and Health Effects)
16 pages, 6041 KB  
Article
Dual-Enzyme Co-Catalysis Strategy for Fructooligosaccharides (FOS) Biocatalytic Synthesis for Valorization of Low-Cost Byproduct Sugarcane Molasses
by Gan-Lin Chen, Jing Chen, Jia-Xuan Dai, Xiao-Hua Dai, Feng-Jin Zheng, Krishan K. Verma and Li-Fang Yang
Foods 2026, 15(3), 589; https://doi.org/10.3390/foods15030589 - 6 Feb 2026
Viewed by 504
Abstract
Fructooligosaccharides (FOS) represent a major source of prebiotic compounds. They are widely used in functional foods for their ability to modify intestinal microbiota in animals and humans. To address the significant issue of fructooligosaccharide production being influenced by glucose concentration, this study designed [...] Read more.
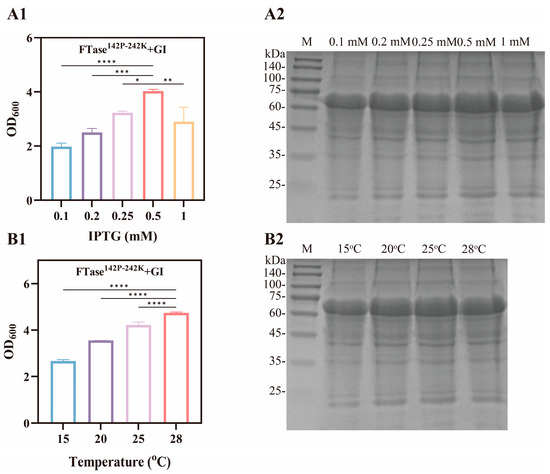
Fructooligosaccharides (FOS) represent a major source of prebiotic compounds. They are widely used in functional foods for their ability to modify intestinal microbiota in animals and humans. To address the significant issue of fructooligosaccharide production being influenced by glucose concentration, this study designed a dual-enzymatic co-catalysis system for glucose isomerase (GI) and a mutant FTase (FTase142P-242K). This system successfully increased the FOS synthesis rate (42.31 to 55.51%, w/w). Glucose isomerase catalyzes the isomerization of glucose to fructose, and the subsequent release of fructose from the active site permits the enzyme to re-enter its catalytic cycle. The optimal conditions for catalysis were found at 45 °C, pH 5.5, and 1 mM Ba2+. In contrast, the optimal fermentation process was established at 25 °C and induction with 1 mM IPTG. Finally, the efficient production of FOS using low-cost byproduct molasses was achieved. Fermentation optimization of the dual-enzyme system resulted in FOS yield of 53.92% (w/w), a significant increase (44.54%, w/w) from the yield obtained using single-enzyme catalysis. Based on the research, a novel and sustainable approach for high-yield synthesis of Fructooligosaccharides involves minimizing the inhibitory effect of glucose produced during sucrose transformation. Full article
Show Figures

Graphical abstract

15 pages, 3156 KB  
Article
LC-MS/MS-Based Metabolomics Identifies 2-Aminopurine as a Predictive Freshness Biomarker in Goose Egg Yolk During Refrigerated Storage
by Suyu Fan, Laidi Wang, Yuchun Cai, Hongyan Sun, Wenming Zhao, Guohong Chen, Youqing Bian and Yang Zhang
Foods 2026, 15(3), 588; https://doi.org/10.3390/foods15030588 - 6 Feb 2026
Viewed by 463
Abstract
Goose yolk, the primary source of nutrients and flavor, is particularly susceptible to quality deterioration during storage, yet its metabolic dynamics remain poorly characterized. To elucidate these changes, we combined physicochemical assays with untargeted LC-MS/MS metabolomics to systematically profile the temporal metabolic alterations [...] Read more.
Goose yolk, the primary source of nutrients and flavor, is particularly susceptible to quality deterioration during storage, yet its metabolic dynamics remain poorly characterized. To elucidate these changes, we combined physicochemical assays with untargeted LC-MS/MS metabolomics to systematically profile the temporal metabolic alterations in goose egg yolks stored at 4 °C for up to 60 days, using day-1 yolks as fresh controls. Our analysis quantified 1005 metabolites and identified a critical metabolic shift occurring after 30 days of storage. Among 21 significantly altered metabolites, the sustained decline of adenosine and 2-aminopurine, alongside the accumulation of 4-hydroxyretinoic acid, strongly correlated with the loss of egg freshness. Interaction network and pathway analyses pinpointed purine metabolism—with adenosine and 2-aminopurine as central nodes—as a core pathway impaired in yolk during storage. Crucially, we identify 2-aminopurine as a novel, storage-sensitive biomarker for goose egg freshness derived from yolk metabolomics, directly linking intracellular metabolic dysregulation to observable quality decline. This study deciphers the metabolic landscape of goose egg yolk aging and provides a targeted, mechanism-based strategy for yolk-centric quality monitoring and preservation, offering new insights for food composition analysis and safety assurance. Full article
(This article belongs to the Special Issue Quality of Eggs, Poultry Meat and Egg Products)
Show Figures

Graphical abstract

19 pages, 1135 KB  
Article
Improving Meat Quality and Lipid Metabolism of Finishing Pigs by Replacing Dietary Soybean Meal with Enzyme–Bacteria Co-Fermented Rapeseed Meal
by Luobin Yang, An Tao, Hailong Hu, Minfeng Ding, Jun Chen, Xin Li, Xingping Chen, Tiande Zou and Jinming You
Foods 2026, 15(3), 587; https://doi.org/10.3390/foods15030587 - 6 Feb 2026
Viewed by 718
Abstract
This study aimed to investigate the effects of enzyme-bacteria co-fermented rapeseed meal (FRSM) on the growth performance, serum biochemical parameters, meat quality, and lipid metabolism of finishing pigs. A total of twenty-eight Duroc × Landrace × Yorkshire finishing pigs (4 months of age; [...] Read more.
This study aimed to investigate the effects of enzyme-bacteria co-fermented rapeseed meal (FRSM) on the growth performance, serum biochemical parameters, meat quality, and lipid metabolism of finishing pigs. A total of twenty-eight Duroc × Landrace × Yorkshire finishing pigs (4 months of age; initial body weight: 60.92 ± 1.08 kg) were randomly allotted to one of four dietary treatments for a 45-day feeding trial, consisting of corn-soybean meal diet (CSD) and three experimental diets in which 50, 75 and 100% of soybean meal in the corn-soybean diet was replaced with FRSM. Results showed that replacing soybean meal with FRSM had no negative effects on the growth performance of finishing pigs, maintaining average daily gain and feed efficiency (p > 0.05). Compared with the CSD group, the FRSM group exhibited lower serum cholesterol (p < 0.05). The serum low-density lipoprotein cholesterol, alanine aminotransferase, and urea content levels were lower in the FRSM75 or FRSM100 groups than in the CSD group (p < 0.05). Compared to the CSD, FRSM feeding increased the pH24h and triglyceride content but significantly decreased the drip loss, shear force and chewiness in longissimus thoracis et lumborum (LTL) muscle (p < 0.05). Importantly, compared with the CSD, FRSM feeding significantly lowered the muscle SFA/UFA ratio, increased the PUFA/SFA ratio, and elevated threonine and valine levels (p < 0.05). The FRSM100 group exhibited further increases in umami amino acids (AAs), total essential AAs, and total AAs (p < 0.05). Morphological analysis indicated that, compared to CSD, the FRSM100 group had a significantly reduced muscle fiber perimeter in the LTL muscle (p < 0.05). Moreover, FRSM feeding up-regulated the expression levels of MyHC I and MyHC IIa and the lipogenic genes FASN, SREBP1, and SCD (p < 0.05). These results indicated that compared with rapeseed meal, FRSM exhibited a positive effect on improving the meat quality and lipid metabolism in finishing pigs and can be used as a suitable alternative protein source for soybean meal in finishing pig diets. Full article
Show Figures

Figure 1

16 pages, 1851 KB  
Article
Multi-Analysis Characterization of Makgeolli Made from the Novel Glutinous Rice Cultivar ‘Gureumchal’: Free Amino Acids, GC–MS Volatiles, and Electronic Tongue-Derived Flavor Profile
by Su-Hyeon Heo, Su-Hyun Lee, Jong-Hyeon Lee, Jungmin Kang, Yeonghun Kim, Hyun Mo Jung, Myung Hee Lee, Jeong-Seok Cho and Sae-Byuk Lee
Foods 2026, 15(3), 586; https://doi.org/10.3390/foods15030586 - 5 Feb 2026
Viewed by 553
Abstract
This study evaluated the suitability of a new glutinous rice cultivar of Gureumchal as a raw material for Makgeolli, a traditional Korean rice wine, by comparing Makgeolli produced from Gureumchal with those made from a non-glutinous rice and another glutinous rice cultivar. [...] Read more.
This study evaluated the suitability of a new glutinous rice cultivar of Gureumchal as a raw material for Makgeolli, a traditional Korean rice wine, by comparing Makgeolli produced from Gureumchal with those made from a non-glutinous rice and another glutinous rice cultivar. Makgeolli was prepared using single and blended rice combinations, and their physicochemical characteristics, amino acids, volatile aromatic compounds, and E-tongue were analyzed. The Gureumchal produced generally higher levels of total amino acids and ester compounds, particularly fruity esters, when compared with the other rice formulations. A volatile aromatic compound analysis indicated that non-glutinous rice favored the formation of acetate esters typically associated with the acetyl-CoA pathway, whereas Gureumchal produced higher levels of fruity acyl-CoA-derived esters, such as ethyl hexanoate and ethyl octanoate. An E-tongue analysis further demonstrated that rice type strongly shaped the Makgeolli’s taste profile: glutinous rice samples, including Gureumchal, exhibited higher sweetness but low umami, whereas non-glutinous rice produced higher acidity and umami. Blended samples confirmed that manipulating the proportion of glutinous and non-glutinous rice allows the systematic adjustment of taste balance. Overall, Gureumchal formed a distinct flavor profile characterized by fruity esters and pronounced sweetness, indicating its potential to diversify Makgeolli quality and support targeted flavor design. Full article
(This article belongs to the Special Issue Application of Fermentation Biotechnology in Food Science)
Show Figures

Figure 1

20 pages, 2491 KB  
Article
Protein Extraction from Mealworm (Tenebrio molitor): Effects of Euthanasia and Drying on Yield and Composition
by Geert R. Verheyen, Sarah Goossens and Sabine Van Miert
Foods 2026, 15(3), 585; https://doi.org/10.3390/foods15030585 - 5 Feb 2026
Viewed by 839
Abstract
This study evaluated the effects of two euthanasia methods (blanching, blast freezing) and two drying methods (oven drying, freeze drying) on protein extractability, oil recovery, lipid oxidation, and nutritional composition of mealworm-derived full-fat flours, defatted flours, and protein concentrates. Protein extraction yields differed [...] Read more.
This study evaluated the effects of two euthanasia methods (blanching, blast freezing) and two drying methods (oven drying, freeze drying) on protein extractability, oil recovery, lipid oxidation, and nutritional composition of mealworm-derived full-fat flours, defatted flours, and protein concentrates. Protein extraction yields differed significantly among treatments (ANOVA, p < 0.001), except between blanched + freeze-dried and blast-frozen + oven-dried samples. Blast freezing resulted in higher protein extraction yields than blanching. Blast freezing markedly increased acid values (>40 mg KOH/g oil) relative to blanching (<5 mg KOH/g), while freeze drying increased peroxide values more than tenfold compared with oven drying. Ash contents ranged from 4 to 8% without a treatment effect. Defatting significantly reduced oil content and increased protein and chitin contents. Chitin was nearly absent in protein concentrates. In blast-frozen + oven-dried protein concentrates, the oil content was significantly up-concentrated compared with defatted samples. P, Mg, and K significantly increased in defatted samples, while protein extraction reduced Mg, K, and Ca but increased Na due to alkaline solubilization. Micromineral profiles were most affected in protein concentrates, with increases in Cu and Fe and minor decreases in Mn. Overall, euthanasia and drying methods influence yield and quality, highlighting the need for tailored, scalable processing strategies for mealworm-based food and feed applications. Full article
Show Figures

Graphical abstract

27 pages, 10317 KB  
Article
Study on the Separation, Identification, and Quality Control Methods of Oligosaccharide Components in Wine-Processed Polygonati Rhizoma
by Hong Guo, Haonan Wu, Rui Yao, Zhe Li, Xianlong Cheng, Yongqiang Lin, Feng Wei, Yazhong Zhang, Jingzhe Pu, Jianbo Yang, Ying Wang, Jia Chen, Wenguang Jing and Xiaohan Guo
Foods 2026, 15(3), 584; https://doi.org/10.3390/foods15030584 - 5 Feb 2026
Viewed by 570
Abstract
This study aimed to identify oligosaccharide quality markers in wine-processed Polygonati Rhizoma (WPR) and to examine how sugar components change during its repeated steaming and drying, correlating these changes with the color of the processed slices. Seven oligosaccharides were extracted from WPR using [...] Read more.
This study aimed to identify oligosaccharide quality markers in wine-processed Polygonati Rhizoma (WPR) and to examine how sugar components change during its repeated steaming and drying, correlating these changes with the color of the processed slices. Seven oligosaccharides were extracted from WPR using water extraction, ethanol precipitation, and preparative liquid chromatography. Identified by NMR with purities above 93%, they were DFA III (1), DFA VII (2), DFA II (3), β-D-Fructofuranose-1,2′:2,1′-β-D-Fructofuranose (4), DFA I (5), sucrose (6), and 1-kestose (7). Compounds 15 were newly isolated from WPR, and their contents increased post-processing. Measurements of color values, total reducing sugars, and the abundant DFA III and DFA I at different processing stages revealed a progressive darkening of the slices with more steaming cycles, showing a strong correlation between total color difference (Eab*) and sugar component changes. Additionally, DFA III and DFA I levels were much higher in commercial WPR than in raw material, suggesting these difructose anhydrides as potential markers for WPR. Full article
(This article belongs to the Section Drinks and Liquid Nutrition)
Show Figures

Graphical abstract

25 pages, 4160 KB  
Article
Multi-Target Antifungal Mechanism of Vapor-Phase Cymbopogon citratus Essential Oil: Effective Control of Postharvest Botrytis cinerea and Powdery Mildew
by Lili He, Liming Dai, Yifan Li, Tianwei Yang, Yun Zhao, Liming Fan, Fawu Su, Zhiying Cai and Min Ye
Foods 2026, 15(3), 583; https://doi.org/10.3390/foods15030583 - 5 Feb 2026
Viewed by 552
Abstract
Botrytis cinerea poses severe postharvest losses in horticultural products, while synthetic fungicides raise food safety concerns. This study developed a GRAS-compliant antifungal strategy using vapor-phase Cymbopogon citratus essential oil (EO). GC-MS revealed citronellal (17.06%) as the dominant bioactive compound. The EO exhibited superior [...] Read more.
Botrytis cinerea poses severe postharvest losses in horticultural products, while synthetic fungicides raise food safety concerns. This study developed a GRAS-compliant antifungal strategy using vapor-phase Cymbopogon citratus essential oil (EO). GC-MS revealed citronellal (17.06%) as the dominant bioactive compound. The EO exhibited superior vapor-phase activity against B. cinerea, with EC50 of 14.69 µg/mL (mycelial growth) and MIC of 7.81 µg/mL (spore germination), significantly lower than direct-contact efficacy (p < 0.05). Mechanistic analysis revealed a tripartite mode of action—rapid membrane disintegration (48% electrolyte leakage within 4 h), suppression of ROS defense enzymes (SOD/CAT/POD inhibition > 50%), and disruption of mitochondrial energetics (SDH activity reduced by 58.1%)—which induced irreversible cellular collapse. This multi-target strategy mitigates resistance development, a key limitation of single-mode fungicides. In commercial-scale trials, EO fumigation (125 µg/mL) reduced cherry tomato decay by 81.9–92.6% during 28-day storage, while maintaining firmness (15.9% higher than control) and nutritional quality (titratable acidity (TA) and total sugar content (TSC)). Notably, the vapor-phase EO also exhibited potent inhibitory activity against the spore germination of rubber tree powdery mildew (EC50: 3.19 µg/mL), demonstrating its broad-spectrum antifungal potential. This finding significantly expands the application scope of C. citratus EO from postharvest preservation to preharvest crop protection. This work provides a scalable, residue-free alternative to synthetic fungicides for industrial postharvest applications. Full article
Show Figures

Figure 1

23 pages, 2320 KB  
Article
Sustainable Recovery from Shocks: Policies and Partnerships for Fresh Produce Rescue and Environmental Impact Reduction
by Mariana T. Koutsopoulos, Luis F. Luna-Reyes, Christine T. Bozlak, Roni Neff, Tianhong Mu, Xiaobo Xue Romeiko, Zhijian Guo, Akiko S. Hosler, Stacy M. Pettigrew, Natasha Pernicka, Peter Crasto-Donnelly, Amy Klein and Beth J. Feingold
Foods 2026, 15(3), 582; https://doi.org/10.3390/foods15030582 - 5 Feb 2026
Viewed by 1002
Abstract
Food policies that respond to shocks and support nutritious diets for vulnerable populations can enhance resilience, support social equity, and reduce environmental damage. Using a simulation model, we evaluated the effectiveness of two food redistribution policies—Nourish New York, a program providing funds to [...] Read more.
Food policies that respond to shocks and support nutritious diets for vulnerable populations can enhance resilience, support social equity, and reduce environmental damage. Using a simulation model, we evaluated the effectiveness of two food redistribution policies—Nourish New York, a program providing funds to food rescue organizations to purchase food directly from farmers, and the Food Donation and Food Scraps Recycling Law (an organics “waste ban”)—in response to a shock such as the COVID-19 pandemic. We assessed policy based on recovered food and life cycle carbon and water footprints over 10 years. Both policies improved produce donations during post-shock. The waste ban increased waste at feeding organizations; diverting unavoidable food waste to composting and anaerobic digestion mitigated its carbon footprint. Enhanced coordination and partnerships within the food redistribution network were crucial for ensuring that produce reached those in need, ultimately reducing long-term environmental impacts. Implementing multiple strategies that enhance recovery from farms and retail, while strengthening the organizational capacity of the food redistribution network, can simultaneously advance food security and environmental goals. Full article
Show Figures

Figure 1

15 pages, 2134 KB  
Article
Antibacterial and Antibiofilm Efficacies of Cell-Free Supernatant of Dubosiella newyorkensis Against Pseudomonas fluorescens and Its Application in Food Systems
by Ailin Wang, Meihan Zhang, Yunqi Gu, Yuanhang Cheng, Ningbo Qin and Xiaodong Xia
Foods 2026, 15(3), 581; https://doi.org/10.3390/foods15030581 - 5 Feb 2026
Viewed by 512
Abstract
Pseudomonas fluorescens is a primary spoilage bacterium in aquatic products. Due to its strong ability to adhere to surfaces and form persistent biofilm, it poses a persistent challenge to food safety. Therefore, developing strategies to effectively inhibit biofilm formation holds significant research value. [...] Read more.
Pseudomonas fluorescens is a primary spoilage bacterium in aquatic products. Due to its strong ability to adhere to surfaces and form persistent biofilm, it poses a persistent challenge to food safety. Therefore, developing strategies to effectively inhibit biofilm formation holds significant research value. Dubosiella newyorkensis, a recently identified probiotic, has gained growing attention for its distinctive physiological features and potential functional benefits. Although various probiotic-derived cell-free supernatants (CFSs) have been explored for food preservation, the application of D. newyorkensis CFS against aquatic spoilage bacteria, and particularly its specific mechanism against P. fluorescens biofilm, has not been previously reported. Increasing evidence indicates that CFS from probiotic can influence microbial behavior, including biofilm development. In this study, we investigated the ability of D. newyorkensis CFS to inhibit P. fluorescens biofilm formation. The CFS treatment impaired bacterial growth and motility, lowered surface hydrophobicity, reduced self aggregation, and consequently hindered biofilm formation. Furthermore, CFS markedly decreased bacterial adhesion to food and contact surfaces. RT-qPCR analysis revealed that key genes associated with biofilm regulation were also significantly suppressed. Taken together, these results demonstrate that D. newyorkensis CFS exerts both antibacterial and antibiofilm effects against P. fluorescens. These findings provide a sound basis for exploring its application as a natural biopreservative to enhance the microbial safety and extend the shelf life of aquatic food products. Full article
(This article belongs to the Special Issue Spoilage Microorganisms in Food: Prevalence, Detection, and Control)
Show Figures

Graphical abstract

29 pages, 4517 KB  
Article
Microwave-Induced Structural Remodeling of Legume Proteins: Structure–Function–Nutrition Relationships and Their Improved Performance in Wheat Flour Fortification
by Nikhil Dnyaneshwar Patil, Prabhat Kumar, Aarti Bains, Minaxi Sharma, Kandi Sridhar, Prince Chawla and Baskaran Stephen Inbaraj
Foods 2026, 15(3), 580; https://doi.org/10.3390/foods15030580 - 5 Feb 2026
Viewed by 746
Abstract
The study explored the impact of Microwave-Assisted Extraction (MAE) on the physicochemical, structural, functional, and antioxidant properties of protein concentrates from white pea (Lathyrus sativus), red gram (Cajanus cajan), and black gram (Vigna mungo). The objective was [...] Read more.
The study explored the impact of Microwave-Assisted Extraction (MAE) on the physicochemical, structural, functional, and antioxidant properties of protein concentrates from white pea (Lathyrus sativus), red gram (Cajanus cajan), and black gram (Vigna mungo). The objective was to evaluate the efficiency of MAE as a sustainable green extraction technique compared to the conventional method. Total amino acid content increased in MAE protein from 69.23 to 72.78 g/100 g powder in white pea protein (WPP), 69.41 to 72.39 g/100 g powder in red gram protein (RGP), and 65.56 to 70.30 g/100 g powder in black gram protein (BGP). Functionally, MAE significantly improved solubility and emulsifying capacity and water- and oil-holding capacities. Bioactive evaluation showed a significant increase in total phenolic and flavonoid contents, followed by improved DPPH, ABTS, and FRAP activities. A reduction in tannins and phytic acid correlated with enhanced in vitro protein digestibility. These enhanced MAE-derived proteins further demonstrated superior performance when incorporated into wheat flour, improving its nutritional and functional properties. Overall, MAE protein demonstrated improved structural integrity, antioxidant potential, and digestibility, highlighting white pea protein as the most responsive legume to MAE, followed by red and black gram. Full article
Show Figures

Figure 1

16 pages, 1772 KB  
Article
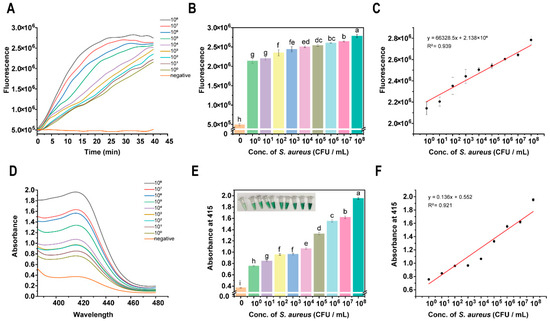
Naked-Eye and On-Site Detection of Staphylococcus aureus via DNAzyme-Assisted Colorimetric Bioassay for CRISPR/Cas12a
by Xinxin Liu, Ruoxuan Gao, Ruotong Wang, Zhiqiang Xiong, Guangqiang Wang and Lianzhong Ai
Foods 2026, 15(3), 579; https://doi.org/10.3390/foods15030579 - 5 Feb 2026
Viewed by 524
Abstract
Dairy products have become a key part of the population’s diet due to their nutritional richness, but with increasing demand and market expansion, concerns about the quality and safety of these products have intensified, drawing public attention to the potential risks involved. Their [...] Read more.
Dairy products have become a key part of the population’s diet due to their nutritional richness, but with increasing demand and market expansion, concerns about the quality and safety of these products have intensified, drawing public attention to the potential risks involved. Their nutritional properties are conducive to the growth of microorganisms, which can lead to contamination with pathogenic bacteria and foodborne diseases. As a common foodborne pathogen, Staphylococcus aureus is one of the main causes of foodborne diseases worldwide, and it is also a major source of the contamination of dairy products, posing a serious threat to human health. Although the traditional microbial culture method is accurate, it is cumbersome and time-consuming and requires a sterile environment and large-scale equipment, making it difficult to detect bacteria rapidly. Therefore, the development of convenient, accurate, and sensitive on-site detection methods is essential. In this study, we combined CRISPR/Cas12a technology and DNAzyme colorimetric signal output to design a naked-eye output instant detection platform for S. aureus, which can realize the naked-eye reading of the test results. After system optimization, our detection method achieved a detection limit of 100 CFU/mL for pure Staphylococcus aureus culture, with a linear range of 100–108 CFU/mL (R2 = 0.908). This method exhibits good specificity and can accurately identify Staphylococcus aureus and other common foodborne bacteria (Salmonella, Escherichia coli, Listeria monocytogenes, Lactobacillus plantarum). It is crucial that when applied to artificially contaminated milk and milk beverages, this method still maintains a detection limit of 100 CFU/mL, demonstrating its strong performance in complex food matrices without the need for complex DNA extraction. This CRISPR/Cas12a DNAzyme colorimetric bioassay can quickly (<2 h) and visually interpret results, providing a powerful, low-cost, and field-deployable tool for enhancing food safety monitoring. Full article
(This article belongs to the Section Dairy)
Show Figures

Graphical abstract

35 pages, 781 KB  
Review
Fermentation of Fruit By-Products as a Tool for Nutritional and Environmental Sustainability
by Doheon Kim, Uyory Choe and Young-Jin Park
Foods 2026, 15(3), 578; https://doi.org/10.3390/foods15030578 - 5 Feb 2026
Viewed by 1179
Abstract
Mounting volumes of fruit processing by-products pose an environmental challenge, yet these wastes harbor rich polyphenol reservoirs locked within plant cell walls. Fermentation has emerged as a green biotransformation strategy to unlock these bound antioxidants without the need for chemical solvents, converting waste [...] Read more.
Mounting volumes of fruit processing by-products pose an environmental challenge, yet these wastes harbor rich polyphenol reservoirs locked within plant cell walls. Fermentation has emerged as a green biotransformation strategy to unlock these bound antioxidants without the need for chemical solvents, converting waste streams into value-added nutraceutical ingredients. This review summarizes recent advances in fermenting fruit by-products to boost their total polyphenol content (TPC) and antioxidant capacity, illustrating fermentation’s role in both functional enhancement and sustainable waste valorization. Across diverse fruit substrates, microbial fermentation consistently increases TPC and enhances antioxidant activity, demonstrating significant functional enrichment. More importantly, unlike conventional solvent extraction, fermentation-driven valorization reduces chemical waste and allows full incorporation of the biomass into edible products, including bakery products, beverages, and fermented dairy alternatives. This sustainable approach aligns with circular economy principles by turning food waste into functional ingredients, effectively bridging nutritional enhancement with environmental responsibility. Overall, the findings highlight fermentation as an innovative pathway for waste upcycling in the food system, opening new avenues for antioxidant-rich, zero-waste products and their integration into sustainable food ingredient development, while also indicating that the main barrier to industrial translation lies not in functional efficacy but in process compatibility, reproducibility, and scalability under realistic food processing conditions. Full article
(This article belongs to the Section Nutraceuticals, Functional Foods, and Novel Foods)
Show Figures

Graphical abstract

15 pages, 3744 KB  
Article
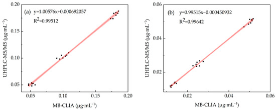
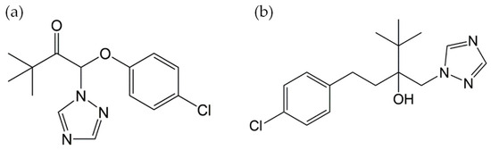
A Chemiluminescent Magnetic Enzyme Immunoassay Method for 2 Triazole Pesticide Detection in Wheat
by Xin Shi, Kai Huang, Baoyuan Guo, Xinbao Liu, Hongmei Liu, Wei Zhang, Yang Wang, Zhe Wang and Chun’e Zhang
Foods 2026, 15(3), 577; https://doi.org/10.3390/foods15030577 - 5 Feb 2026
Viewed by 496
Abstract
We developed an alkaline phosphatase (AP) chemiluminescence immunoassay method by combining the superparamagnetic magnetic beads and the biotin–streptavidin signal amplification system to detect the triazolone and tebuconazole in wheat. Through optimization of the extraction solution and extraction time, acetonitrile–PBS was selected as the [...] Read more.
We developed an alkaline phosphatase (AP) chemiluminescence immunoassay method by combining the superparamagnetic magnetic beads and the biotin–streptavidin signal amplification system to detect the triazolone and tebuconazole in wheat. Through optimization of the extraction solution and extraction time, acetonitrile–PBS was selected as the extraction solution with an extraction time of 5 min as the optimal pretreatment condition. Optimizing the dilution ratio of antigen antibodies, the optimal detection conditions were selected as the dilution ratios of 1:8000 and 1:20,000 for the triazolone monoclonal antibody solution and biotinylated triazolone solution, and 1:4000 and 1:20,000 for the tebuconazole monoclonal antibody solution and biotinylated tebuconazole solution, respectively. Under the optimal conditions, the method demonstrated that the limits of detection (LOD) of triazolone and tebuconazole were 0.002835 μg·mL−1 and 0.00064 μg·mL−1, respectively. The recovery rate was between 90.1% and 103.6%, and the relative standard deviation (RSD) was lower than 10%. The cross-reaction rates for structural analogs were all less than 0.1%, showing good specificity. In actual sample detection, this method did not detect triazolone and tebuconazole, and the results were consistent with UHPLC-MS/MS. Full article
(This article belongs to the Section Food Toxicology)
Show Figures

Graphical abstract

19 pages, 4450 KB  
Article
Fitness-for-Purpose Assessment of Methods for Glyphosate Determination in Food: Trade-Off Between Analytical Performance and Environmental Impact
by Biancamaria Ciasca, Veronica Ghionna, Ivan Pecorelli, Emanuela Verdini, Antonio Moretti and Veronica Maria Teresa Lattanzio
Foods 2026, 15(3), 576; https://doi.org/10.3390/foods15030576 - 5 Feb 2026
Viewed by 612
Abstract
Selecting analytical methods for pesticide residues in food increasingly requires balancing regulatory compliance, analytical performance, and environmental sustainability. This study presents a decision-support tool that evaluates the fitness-for-purpose of pesticide analytical methods by integrating SANTE/11312/2021 v2 validation criteria with Analytical GREEnness (AGREE)-based environmental [...] Read more.
Selecting analytical methods for pesticide residues in food increasingly requires balancing regulatory compliance, analytical performance, and environmental sustainability. This study presents a decision-support tool that evaluates the fitness-for-purpose of pesticide analytical methods by integrating SANTE/11312/2021 v2 validation criteria with Analytical GREEnness (AGREE)-based environmental metrics. Implemented in Excel with VBA macros, the tool guides users through the input of method parameters for both quantitative and screening approaches, scoring each against acceptance criteria. Based on the results, methods are classified as suitable for risk assessment, official control, or self-monitoring. The tool also calculates greenness scores to assess environmental impact. Glyphosate analysis in cereals was selected as a case study, and three approaches were compared: liquid chromatography coupled to tandem mass spectrometry (LC-MS/MS), flow-injection coupled to MS/MS (FI-MS/MS), and lateral flow assay (LFA). LC-MS/MS was identified as the only method suitable for official control, while FI-MS/MS and LFA met requirements for self-monitoring. The greenness assessment highlighted substantial differences, with LFA showing the lowest environmental footprint (AGREE scores of 0.63 and 0.68 for manual and automated LFAs). Overall, the tool provides a practical, user-friendly framework for selecting analytical methods that optimize both analytical performance and environmental sustainability, supporting informed decision-making in food testing. Full article
Show Figures

Figure 1

14 pages, 2356 KB  
Article
Enzymatic Properties of Chitosanase from Bacillus velezensis YB1534 and Antibacterial Activity of Its Oligosaccharide Products
by Yiwei Dai, Huiru Zhao, Jincui Wei, Yingxi Chen, Xinping Lin, Sufang Zhang and Chaofan Ji
Foods 2026, 15(3), 575; https://doi.org/10.3390/foods15030575 - 5 Feb 2026
Cited by 1 | Viewed by 453
Abstract
Chitosan oligosaccharides (COSs), obtained through the hydrolysis of chitosan, exhibit remarkable antibacterial properties. In pursuit of COSs with enhanced antibacterial activity, the enzymatic characteristics of the chitosanase from Bacillus velezensis YB1534 (BvChi) were investigated. The purified BvChi displayed optimal activity at pH 6.0 [...] Read more.
Chitosan oligosaccharides (COSs), obtained through the hydrolysis of chitosan, exhibit remarkable antibacterial properties. In pursuit of COSs with enhanced antibacterial activity, the enzymatic characteristics of the chitosanase from Bacillus velezensis YB1534 (BvChi) were investigated. The purified BvChi displayed optimal activity at pH 6.0 and 50 °C and showed the highest hydrolytic activity using colloidal chitosan as a substrate, with the presence of Mn2+. The COSs produced by enzymatic hydrolysis of BvChi exhibited a minimum degree of polymerization (DP) of 2, and their antimicrobial activities against certain pathogenic bacteria (Escherichia coli, Staphylococcus aureus, Salmonella typhi 50071, and Aeromonas hydrophila) were evaluated. Among them, the 20 min hydrolysate showed the strongest growth inhibition against all these pathogens, demonstrated by the inhibition zone diameters, and its MIC and MBC values toward A. hydrophila were 0.625 and 1.25 mg/mL, respectively. Thin-layer chromatography (TLC) analysis showed that the hydrolyzed products after 20 min contains more COSs with DP > 5. These findings highlighted the potential of BvChi as a biocatalyst for producing antimicrobial COSs, applicable in food preservation and biomedical fields. Full article
(This article belongs to the Special Issue Microbial Enzyme Applications in Modern Food Fermentation)
Show Figures

Figure 1

19 pages, 3191 KB  
Article
Microbial Consortium Fermentation Remodels the Metabolite Profile and Enhances the Biological Functionality of Stevia rebaudiana Leaves
by Guangpeng Chu, Tiejun Chen, Baowei Wang, Shijie Fan, Chaojiang Chen, Yang Deng, Qianru Chen and Jing Wang
Foods 2026, 15(3), 574; https://doi.org/10.3390/foods15030574 - 5 Feb 2026
Cited by 1 | Viewed by 526
Abstract
Microbial fermentation is an effective strategy to enhance the functional value of plant-derived ingredients. In this study, Stevia rebaudiana leaves were subjected to microbial fermentation to improve their antioxidant potential and functional properties. A composite fermentation system composed of Bacillus subtilis and Candida [...] Read more.
Microbial fermentation is an effective strategy to enhance the functional value of plant-derived ingredients. In this study, Stevia rebaudiana leaves were subjected to microbial fermentation to improve their antioxidant potential and functional properties. A composite fermentation system composed of Bacillus subtilis and Candida utilis was established through strain screening, and fermentation conditions were optimized using single-factor and orthogonal experiments, with chlorogenic acid (CA) content and antioxidant activity as evaluation indices. The optimal conditions were determined to be a fermentation temperature of 34 °C, a duration of 36 h, a microbial ratio (Bs:Cu) of 2:1, a moisture content of 55%, and an inoculum level of 3%. Under these optimal conditions, fermentation significantly increased CA content, total phenolic and flavonoid levels, and antioxidant capacity compared with unfermented material. Untargeted metabolomic analysis revealed extensive fermentation-induced remodeling of secondary metabolites, particularly phenolic acids, flavonoids, and terpenoids, including the generation of multiple newly formed bioactive compounds. Functional validation using a laying hen model demonstrated that fermented S. rebaudiana exhibited enhanced antioxidant and anti-inflammatory status and favorable modulation of physiological indicators compared with unfermented samples. Overall, this study demonstrates that microbial consortium fermentation effectively transforms S. rebaudiana from a sweetener-oriented plant into a multifunctional, fermentation-derived functional ingredient. This research is significant as it provides a dual-purpose strategy for developing antioxidant-enriched functional foods for humans and health-promoting natural feed additives for the livestock industry. Full article
(This article belongs to the Section Food Biotechnology)
Show Figures

Graphical abstract

25 pages, 1985 KB  
Article
Modeling and Investigation of Deoxynivalenol Reduction in Wheat Flour After Cold Atmospheric Plasma Treatment Using Artificial Neural Networks
by Elizabet Janić Hajnal, Milan Vukić, Lato Pezo, Nenad Selaković, Nikola Škoro and Nevena Puač
Foods 2026, 15(3), 573; https://doi.org/10.3390/foods15030573 - 5 Feb 2026
Viewed by 548
Abstract
The aim of this study was to explore the effectiveness of cold atmospheric plasma (CAP) treatments for reducing the deoxynivalenol (DON) content in spiked white wheat flour samples containing 750 μg kg−1 DON. The flour samples were treated with plasma generated in [...] Read more.
The aim of this study was to explore the effectiveness of cold atmospheric plasma (CAP) treatments for reducing the deoxynivalenol (DON) content in spiked white wheat flour samples containing 750 μg kg−1 DON. The flour samples were treated with plasma generated in air for durations of 30 s, 60 s, 90 s, 120 s, 150 s, and 180 s and at four distances from the cold plasma source: 6 mm, 21 mm, 36 mm, and 51 mm. An artificial neural network (ANN) model with three layers utilizing the Broyden–Fletcher–Goldfarb-Shanno (BFGS) iterative algorithm was developed to predict the reduction in deoxynivalenol (DON) content, moisture content, and temperature in wheat flour samples following cold atmospheric plasma (CAP) treatment. The model accounted for two key variables: the distance from the plasma source and the treatment duration. The ANN model exhibited excellent predictive performance, achieving coefficient of determination (r2) values of 0.999, 0.996, and 0.996 for DON reduction, moisture content, and temperature, respectively, during the training phase. The ANN model successfully identified the experimental optimal CAP conditions (51 mm distance and 150 s treatment), resulting in a 71% reduction in DON content. Multi-objective optimization (MOO) using the ANN further predicted the same level of reduction but at 168 s while maintaining acceptable moisture and temperature levels, representing the model-derived optimal treatment within the investigated design space. The study highlights the potential of ANNs to model complex relationships and optimize CAP treatment for efficient mycotoxin reduction in wheat flour. Full article
Show Figures

Figure 1

Previous Issue
Back to TopTop