Previous Issue
Volume 15, April-1
 
 
foods-logo

Journal Browser

Journal Browser

Foods, Volume 15, Issue 8 (April-2 2026) – 37 articles

  • Issues are regarded as officially published after their release is announced to the table of contents alert mailing list.
  • You may sign up for e-mail alerts to receive table of contents of newly released issues.
  • PDF is the official format for papers published in both, html and pdf forms. To view the papers in pdf format, click on the "PDF Full-text" link, and use the free Adobe Reader to open them.
Order results
Result details
Section
Select all
Export citation of selected articles as:
19 pages, 1102 KB  
Article
Harvesting Time Modulates Starch Structure, Physicochemical Properties and In Vitro Digestibility of Wuyoudao4 Japonica Rice
by Yiming Wei, Fanchong Ren, Jiayu Cui, Ming Gao, Fei Jia, Xiaowei Zhang and Yapeng Fang
Foods 2026, 15(8), 1307; https://doi.org/10.3390/foods15081307 (registering DOI) - 9 Apr 2026
Abstract
Harvesting time is an important but insufficiently characterized factor affecting rice starch structure and digestibility. Wuyoudao4 (WYD4) rice was harvested weekly from 45 to 87 days after heading to investigate changes in starch structure, physicochemical properties, and in vitro digestion. With delayed harvesting, [...] Read more.
Harvesting time is an important but insufficiently characterized factor affecting rice starch structure and digestibility. Wuyoudao4 (WYD4) rice was harvested weekly from 45 to 87 days after heading to investigate changes in starch structure, physicochemical properties, and in vitro digestion. With delayed harvesting, starch crystallinity of cooked rice decreased from 6.27% to 4.97%, while total amylase and α-amylase activities increased significantly. Rice flour particle size (D10 and D90) was reduced after mid-harvest, indicating improved enzyme accessibility. Consequently, starch digestibility at 120 min increased from 80.53% (week 1) to 95.60% (week 7). Kinetic analysis confirmed a single-stage digestion mechanism, with enzyme binding as the rate-limiting step and higher digestion extent at later harvest time. These results demonstrate that harvest time modulates rice starch digestibility through coordinated changes in crystallinity, enzymatic activity, and particle accessibility, providing new mechanistic insight into harvest-dependent starch digestion behavior. Full article
23 pages, 3589 KB  
Article
Probing Genomic Diversity of Cronobacter sakazakii in the United States by Single Nucleotide Polymorphisms
by Wei Zhang, Catherine W. Y. Wong, Richard Zhang, Renmao Tian, Behzad Imanian, Yan Li and Hongmei Jiang
Foods 2026, 15(8), 1306; https://doi.org/10.3390/foods15081306 (registering DOI) - 9 Apr 2026
Abstract
Cronobacter sakazakii is an opportunistic pathogen commonly associated with powdered infant formula and causes severe neonatal infections. While whole-genome sequencing (WGS)-based single nucleotide polymorphism (SNP) analysis has revolutionized surveillance and outbreak investigations, comprehensive population-level analyses remain limited, and establishing proper thresholds for detecting [...] Read more.
Cronobacter sakazakii is an opportunistic pathogen commonly associated with powdered infant formula and causes severe neonatal infections. While whole-genome sequencing (WGS)-based single nucleotide polymorphism (SNP) analysis has revolutionized surveillance and outbreak investigations, comprehensive population-level analyses remain limited, and establishing proper thresholds for detecting epidemiologically related C. sakazakii isolates requires assessment using large-scale genomic datasets. We analyzed 1870 C. sakazakii genomes from the United States (1970–2025) to examine pan- and core-genomic structure, analyze SNP distance matrices encompassing 1,747,515 unique pairwise comparisons, and reconstruct population phylogeny. Our analyses revealed exceptional genomic diversity with a large pan-genome of 24,035 gene families and an average of 29,442 ± 13,097 SNPs between genome pairs. Phylogenetic reconstruction identified 22 major clusters encompassing 89.3% of genomes, including environmental complexes demonstrating persistent contamination spanning multiple years. Using 209 monophyletic genome pairs with concordant metadata, we propose a tiered SNP threshold framework (≤234 to 506 SNPs) for detecting potentially epidemiologically-related genomes with improved sensitivity. As genomes from Michigan comprised 39.3% of the dataset, these thresholds should be interpreted with caution when applied to other US regions. This study provides population genomics infrastructure to enhance C. sakazakii surveillance and traceback studies for improving powdered infant formula safety. Full article
18 pages, 2660 KB  
Article
β-Hydroxybutyrate Modulates Metabolic Signaling and Partially Restores Peripheral Circadian Rhythms in High-Fat Diet-Fed Mice
by Natalie Avital-Cohen, Nava Chapnik and Oren Froy
Foods 2026, 15(8), 1305; https://doi.org/10.3390/foods15081305 (registering DOI) - 9 Apr 2026
Abstract
A high-fat (HF) diet disrupts metabolic homeostasis and impairs peripheral circadian rhythms in key metabolic tissues. β-Hydroxybutyrate (BHB), a major circulating ketone body, functions not only as an energy substrate but also as a signaling metabolite regulating nutrient-sensing and inflammatory pathways. However, its [...] Read more.
A high-fat (HF) diet disrupts metabolic homeostasis and impairs peripheral circadian rhythms in key metabolic tissues. β-Hydroxybutyrate (BHB), a major circulating ketone body, functions not only as an energy substrate but also as a signaling metabolite regulating nutrient-sensing and inflammatory pathways. However, its role in modulating metabolic–circadian interactions under conditions of nutrient excess remains unclear. In this study, we investigated whether BHB supplementation influences metabolic signaling and circadian clock oscillations in liver, skeletal muscle and adipose tissue under chow and HF conditions. Male C57BL/6 mice were fed chow or HF with or without BHB supplementation (500 mg/kg body weight in the diet) for 7 weeks. Metabolic parameters were assessed by indirect calorimetry, and tissues were collected every 4 h across the circadian cycle. HF feeding increased body weight and adiposity (p < 0.01), reduced AMPK activation, enhanced AKT/mTOR signaling, elevated NF-κB levels and dampened clock gene rhythmicity. BHB supplementation significantly decreased food intake in HF-fed mice (p < 0.01) and partially reversed several molecular alterations in a tissue-specific manner. In skeletal muscle and adipose tissue, BHB increased AMPK activation and reduced mTOR and NF-κB signaling (p < 0.05), whereas hepatic effects were more modest. Notably, BHB modulated circadian gene expression, restoring aspects of rhythmic amplitude and/or phase, particularly in adipose tissue. These findings may indicate that BHB supplementation modulates nutrient-sensing pathways and partially restores peripheral circadian rhythms under HF conditions. While some effects may be influenced by reduced energy intake, BHB may serve as a metabolic signal linking nutrient status to circadian regulation. Full article
(This article belongs to the Section Food Nutrition)
Show Figures

Figure 1

20 pages, 2617 KB  
Article
Biosynthesis of Magnetite Nanoparticles Mediated by Chia Mucilage and Its Co-Encapsulation with Lactobacillus rhamnosus GG by Spray Drying: Evaluation Under Simulated Gastrointestinal Digestion
by Victor Bascur, Carolina Shene, Olga Rubilar and Mariela Bustamante
Foods 2026, 15(8), 1304; https://doi.org/10.3390/foods15081304 (registering DOI) - 9 Apr 2026
Abstract
This study investigated the biosynthesis of magnetite nanoparticles mediated by chia mucilage (CM-Fe3O4 NPs) and their application in the co-encapsulation of Lactobacillus rhamnosus GG (LGG) using spray drying. CM-Fe3O4 NPs were synthesized by combining CM extract with [...] Read more.
This study investigated the biosynthesis of magnetite nanoparticles mediated by chia mucilage (CM-Fe3O4 NPs) and their application in the co-encapsulation of Lactobacillus rhamnosus GG (LGG) using spray drying. CM-Fe3O4 NPs were synthesized by combining CM extract with iron salts, in which hydroxyl and carbonyl groups of CM acted as natural ligands for Fe2+/Fe3+ ions. A response surface design was applied to optimize synthesis parameters, focusing on size distribution and zeta potential, and confirming the influence of pH on colloidal stability. Characterization by FE-SEM, DLS, XRD, UV-Vis, and FTIR revealed spherical particles with an inorganic core (50–300 nm) and a hydrated organic coating (600–900 nm), consistent with a spinel structure functionalized by CM. Spray-drying encapsulation tests showed that incorporating CM-Fe3O4 NPs did not compromise bacterial viability, maintaining optimal moisture content and survival. Growth curves and confocal microscopy corroborated the physiological compatibility of the nanoparticles, with no alterations in LGG morphology or growth dynamics. Under simulated gastrointestinal conditions, co-encapsulated microcapsules exhibited slightly improved survival in the gastric phase and significantly greater viability in the initial intestinal phase. These results suggest that CM-Fe3O4 NPs modulate matrix degradation and promote controlled release, ensuring therapeutic concentrations of LGG in the intestine. Overall, the CM-Fe3O4 nanocomposite system integrates the protective properties of biopolymers with the functional advantages of iron nanoparticles, offering dual functionality: probiotic stabilization and potential iron supplementation. This innovative, food-grade approach supports the development of next-generation functional foods with combined therapeutic and nutritional benefits. Full article
(This article belongs to the Section Food Nutrition)
44 pages, 3740 KB  
Article
Multi-Method Screening of Commercial Antioxidant Supplements: Antioxidant Activity and Selected Antioxidant Compound Profiles
by Iwona Mirończuk-Chodakowska, Karolina Kujawowicz, Monika Cyuńczyk, Monika Sejbuk and Anna Maria Witkowska
Foods 2026, 15(8), 1303; https://doi.org/10.3390/foods15081303 - 9 Apr 2026
Abstract
Daily diets may not always provide adequate amounts of antioxidants for some individuals, prompting a growing interest in dietary antioxidant supplements. This study focuses on a diverse range of supplements marketed as “antioxidant supplements” in the Polish market, encompassing both single-ingredient and multi-component [...] Read more.
Daily diets may not always provide adequate amounts of antioxidants for some individuals, prompting a growing interest in dietary antioxidant supplements. This study focuses on a diverse range of supplements marketed as “antioxidant supplements” in the Polish market, encompassing both single-ingredient and multi-component formulations. The objective of this study was to assess the antioxidant activity and polyphenolic profiles of these supplements to provide comparative insights. A total of 96 supplements from various manufacturers were analyzed. Polyphenol content was determined using the Folin–Ciocalteu method, while antioxidant activity was evaluated using three approaches: FRAP, DPPH, and electrochemical assays, together with HPLC-based profiling of selected antioxidant compounds. Total polyphenol content ranged from 0.146 to 177.499 mg GAE/g. Antioxidant activity showed broad dispersion across products, with FRAP values from 0.027 to 64.734 mmol/g, DPPH from 0.013 to 22.499 mmol Trolox/g, and electrochemical response from 51.162 to 374 µC. FRAP and DPPH were strongly correlated with each other (Spearman ρ≈0.68) and with total polyphenols (ρ≈0.89 and 0.84, respectively). Electrochemical response showed moderate correlation with total polyphenols (ρ≈0.63). Moderate positive correlations were observed between assay responses and rutin, quercetin, resveratrol, ferulic acid, and chlorogenic acid. Compound profiles differed between supplement source groups and were highly heterogeneous in multi-component formulations. The results indicate that antioxidant activity is associated with compound composition and distribution rather than total polyphenol content alone and support the use of multiple complementary assays for supplement evaluation. Full article
(This article belongs to the Section Food Physics and (Bio)Chemistry)
16 pages, 399 KB  
Article
Popularizing Wine Tasting Evaluation: An Adaptation of Mouthfeel Terminology
by Lucía Moreno Rodríguez, Andrés Fernández Martín and Ricardo Díaz Armas
Foods 2026, 15(8), 1302; https://doi.org/10.3390/foods15081302 - 9 Apr 2026
Abstract
Wine sensory analysis traditionally relies on complex terminology. This can be challenging to non-expert consumers, particularly regarding mouthfeel sensations. Despite the importance of the latter in determining wine quality and typicity, they lack standardized classification. In this study, we developed and validated a [...] Read more.
Wine sensory analysis traditionally relies on complex terminology. This can be challenging to non-expert consumers, particularly regarding mouthfeel sensations. Despite the importance of the latter in determining wine quality and typicity, they lack standardized classification. In this study, we developed and validated a simplified framework for wine taste evaluation that is accessible to consumers with limited tasting experience. The Delphi technique was applied across multiple rounds with a panel of 18 wine experts, primarily sommeliers with experience of diverse consumer profiles. Through an iterative process, attributes were selected from the existing literature and systematically evaluated for relevance, clarity, and accessibility. The validated framework comprises four dimensions: basic tastes (sweetness, acidity, bitterness, salinity, fruitiness); astringency (hardness, dryness, texture); tactile sensations (tingling, warmth, body); and overall evaluation (complexity, balance, taste persistence, alcohol perception). Each attribute includes accessible descriptions and measurement scales anchored with familiar food references to support comparative cognitive processes. All proposed attributes achieved over 85% expert consensus. This framework provides a practical tool that bridges technical wine terminology and everyday consumer language to facilitate communication between industry professionals and consumers. Furthermore, it enables more reliable sensory evaluations in future research and can potentially be extended to other beverages. Full article
(This article belongs to the Section Drinks and Liquid Nutrition)
Show Figures

Figure 1

38 pages, 10121 KB  
Review
Mushrooms as Sustainable Protein Alternatives: Nutritional–Functional Characterization and Innovative Applications in Meat Analogs, Functional Snacks, and Beverages
by Subhash V. Pawde, Samart Sai-Ut, Passakorn Kingwascharapong, Jaksuma Pongsetkul, Shusong Wu, Jia-Qiang Huang, Zhaoxian Huang, Young Hoon Jung and Saroat Rawdkuen
Foods 2026, 15(8), 1301; https://doi.org/10.3390/foods15081301 - 9 Apr 2026
Abstract
Global demand for sustainable protein has intensified amid environmental, public health, and ethical concerns surrounding conventional animal agriculture. Edible mushrooms have emerged as promising next-generation protein sources, delivering 19–35% protein (dry weight) with complete essential amino acid profiles and digestibility rates of 60–80%. [...] Read more.
Global demand for sustainable protein has intensified amid environmental, public health, and ethical concerns surrounding conventional animal agriculture. Edible mushrooms have emerged as promising next-generation protein sources, delivering 19–35% protein (dry weight) with complete essential amino acid profiles and digestibility rates of 60–80%. Beyond protein, mushrooms provide bioactive compounds, including β-glucans, ergothioneine, phenolic acids, and vitamin D2, supporting immunomodulatory, antioxidant, and anti-inflammatory functions. Enzymatically derived bioactive peptides further demonstrate antihypertensive and antimicrobial activity. This review systematically examines mushroom protein properties, processing technologies, and product performance across three application categories: meat analogs, functional snacks, and beverages. Advanced processing technologies including high-moisture extrusion, ultrasonic-assisted extraction, and microencapsulation have improved bioactive preservation and digestibility. From an environmental perspective, mushroom cultivation requires 85–90% less water and land than animal agriculture, with 80% fewer greenhouse gas emissions. However, critical gaps remain: extraction efficiency varies 3-fold across studies, only 15–23% of commercial products are supported by clinical trials, and techno-economic analyses are largely absent. Standardized processing protocols, large-scale clinical validation, and harmonized quality standards are essential to establish mushrooms as viable, commercially scalable protein alternatives. Full article
Show Figures

Figure 1

17 pages, 3167 KB  
Article
A Water-Soluble Polysaccharide from Lophatherum gracile Brongn.: Structure Characterization and Antitumor Activity In Vivo
by Xiaojing Zhang, Huizhen Xing, Huiping Liu and Xiaowei Zhang
Foods 2026, 15(8), 1300; https://doi.org/10.3390/foods15081300 - 9 Apr 2026
Abstract
Lophatherum gracile Brongn. (L. gracile) has been utilized as a food or medicinal plant for a long time. A series of chemical and spectroscopic methods was used to characterize the extracted and purified L. gracile polysaccharide (LGP). Its in vivo [...] Read more.
Lophatherum gracile Brongn. (L. gracile) has been utilized as a food or medicinal plant for a long time. A series of chemical and spectroscopic methods was used to characterize the extracted and purified L. gracile polysaccharide (LGP). Its in vivo antitumor activity in the H22 tumor-bearing mice model was studied. LGP has a molecular weight of 1.42 × 106 Da and is mainly composed of arabinose (Ara), galactose (Gal), xylose (Xyl), and other monosaccharides. NMR spectra suggest that LGP may be composed of 1,3-β-Galp and 1,3,6-β-Galp main chains, and a side chain formed by a 1,5-α-Araf short chain. The termini are composed of T-α-Araf, while [→4) -α-GalpA-(1→2)-α-Rhap-(1→] are attached to the backbone as short side chains, and the other monosaccharides are an arabinogalactan composed of the termini. SEM and AFM revealed that LGP presents a lamellar morphology with smooth surfaces and notable molecular aggregation. The Congo red assay, CD spectroscopy, and XRD collectively indicated the absence of a triple helix conformation and an overall amorphous structure in LGP. Compared with the model group, LGP treatment improved body responses, immune organs, and SOD and MDA levels. The tumor cell apoptosis rate in the high-dose LGP group was 50.0%. In the distribution of the tumor cell cycle, the proportions of the S phase were 29.1% and 41.1% in the low-dose LGP and high-dose LGP groups, respectively, compared with 12.2% in the model group. These results suggest that LGP exhibits preliminary antitumor activity, indicating its potential as a candidate for further cancer research. Full article
Show Figures

Graphical abstract

15 pages, 3117 KB  
Article
Metabolomics-Based Analysis of Geographical Origin-Driven Quality Variation in Cultivated Pyropia haitanensis
by Wenjing Zhu, Kai Xu, Yan Xu, Dehua Ji, Wenlei Wang and Chaotian Xie
Foods 2026, 15(8), 1299; https://doi.org/10.3390/foods15081299 - 9 Apr 2026
Abstract
Pyropia haitanensis, an economically significant cultivated seaweed in China, exhibits substantial geographical variations in nutritional and sensory qualities that influence its market value. The nutritional quality of the samples, including total sugar, total protein, and amino acid content, as well as color [...] Read more.
Pyropia haitanensis, an economically significant cultivated seaweed in China, exhibits substantial geographical variations in nutritional and sensory qualities that influence its market value. The nutritional quality of the samples, including total sugar, total protein, and amino acid content, as well as color quality, assessed through phycobiliprotein and chlorophyll content, and sensory quality evaluated using an electronic nose and electronic tongue, were determined. To elucidate these quality variations, this study employed an integrated metabolomics and chemometrics approach to analyze samples from five major cultivation regions. Principal component analysis (PCA) effectively differentiated the samples; orthogonal partial least squares discriminant analysis (OPLS-DA) validated this classification with robust model parameters (R2X = 0.791, R2Y = 0.995, Q2 = 0.984) and identified key discriminatory metabolites. Weighted gene co-expression network analysis (WGCNA) identified origin-specific metabolic modules correlated with quality traits, revealing that pathways such as cysteine and methionine metabolism underpin the observed differences in flavor profiles across cultivation regions. Furthermore, mediation analysis quantitatively confirmed that inorganic nitrogen primarily influences key flavor attributes by regulating sulfur-containing amino acid and nucleotide metabolism. This study systematically elucidates the metabolic mechanisms governing quality formation in P. haitanensis, providing a scientific foundation for quality control and geographical origin traceability. Full article
(This article belongs to the Section Food Analytical Methods)
Show Figures

Figure 1

27 pages, 6721 KB  
Article
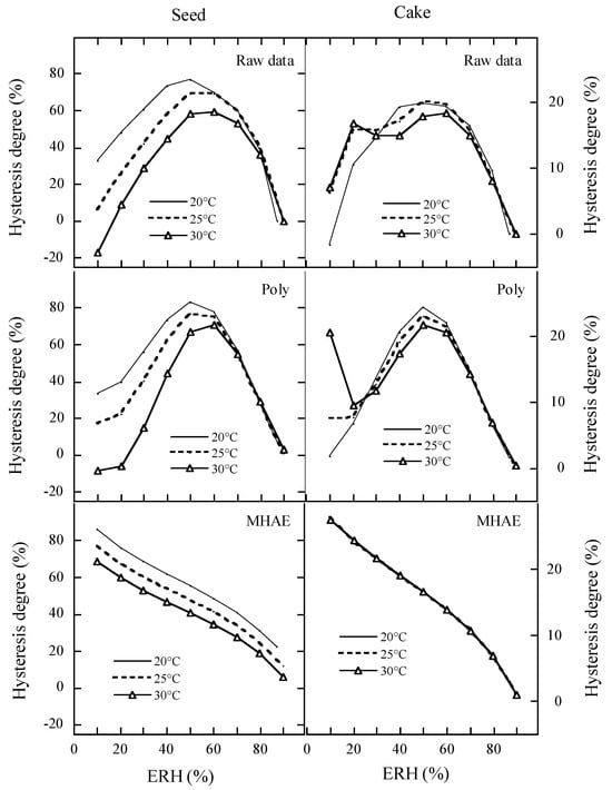
Seven-Parameter Polynomial Fits Better to the Moisture Sorption Isotherms of Oil-Type Peony Seeds and Cake
by Xingjun Li, Bing Dai, Chang Liu and Qingyan Shu
Foods 2026, 15(8), 1298; https://doi.org/10.3390/foods15081298 - 9 Apr 2026
Abstract
As an emerging oilseed crop in China, peony seed oils account for 0.41% of the annual production of Chinese edible vegetable oils, and the oil-type peony seed is rich in alpha-linolenic acid (ALA). Moisture content and temperature are key factors in the storage [...] Read more.
As an emerging oilseed crop in China, peony seed oils account for 0.41% of the annual production of Chinese edible vegetable oils, and the oil-type peony seed is rich in alpha-linolenic acid (ALA). Moisture content and temperature are key factors in the storage of oilseeds. In this study, the adsorption and desorption isotherms of ten species of peony seeds and one species of cake were determined in the range of 20–30 °C and 10–90% equilibrium relative humidity (ERH). The adsorption and desorption isotherms of peony seeds and cake were type II (sigmoidal) or type III curves. Nine equilibrium moisture content (EMC) equations were used to fit the isotherms of peony samples, with the optimal equations being our developed 7-parameter polynomial (Poly), modified Halsey equation (MHAE), and modified Oswin equation (MOE). For Poly, the fitting parameter determination coefficient (R2) was 0.9816–0.9986, and the mean relative error (MRE) was 0.83–6.52%; for MHAE, R2 was 0.7815–0.9973, and MRE was 4.18–17.84%. Poly contains the terms of temperature and ERH interaction; therefore, Poly could analyze the safe moisture content of peony seeds and cake during storage and transportation, and the three-parameter reversible MHAE could be used for calculating the sorption isosteric heats. The adsorption monolayer moisture content (M0) in peony seeds and cake estimated by MGAB were 3.64 ± 0.42% and 4.28%, respectively, while their desorption M0 values, respectively, were 6.21 ± 0.47% and 4.83%. At ERH ≤ 65%, for preventing the growth of storage pests and fungi, the absolutely safe storage moisture content (MC) predicted by Poly at 25 °C and 65% ERH was 12.48% wet basis (w.b.) for seeds and 11.92% for cake. The heat of sorption of peony seeds and cake approached that of pure water at about 11% and 15% w.b. MC estimated by the MHAE model, respectively. Microstructure analysis showed that the rich liposomes in peony seeds were attached to the inner surface of the cell wall and the outer surface of the protein storage vacuole, and the rich protein bodies and hydrophilic polysaccharides explained why the safe storage moisture for yellow peony seeds was higher than for Ziyan Feishuang seeds. This study provides the basic data for drying simulation, and the safe storage and transportation of peony seed and cake products. Full article
Show Figures

Figure 1

24 pages, 2402 KB  
Article
Connecting Texture and Breakup in Water and Simulated Gastric Fluid with Different Food-like Tablets
by Jingying Cheng and Timothy Langrish
Foods 2026, 15(8), 1297; https://doi.org/10.3390/foods15081297 - 9 Apr 2026
Abstract
Three food-like tablet types, with Young’s moduli similar to those of real foods, were prepared to investigate breakup during digestion using caffeine as a model solute. Texture was evaluated in situ during simulated digestion by measuring Young’s moduli and fracturability at various time [...] Read more.
Three food-like tablet types, with Young’s moduli similar to those of real foods, were prepared to investigate breakup during digestion using caffeine as a model solute. Texture was evaluated in situ during simulated digestion by measuring Young’s moduli and fracturability at various time points, providing indicators of stiffness and toughness. Type 1 disintegrated immediately; Type 2 dissolved first, followed by breakup at (1.5 ± 0.2) min, and Type 3 underwent dissolution. Young’s modulus decreased rapidly for Type 1 within a minute (from 1.00 to 0.38 MPa), while Type 2 exhibited a decrease at 1.5 min (0.94–0.58 MPa) before breakup. Type 3 resisted disintegration due to its higher modulus of elasticity. The time-dependent decrease in Young’s modulus is consistent with previous studies, suggesting that soft materials are more readily broken down. In simulated gastric fluid (SGF), Type 2 displayed similar dissolution and breakup behaviour (1.8 ± 0.04) min, followed by structural stabilisation due to swelling, with a slight decrease in modulus and fracturability at breakup. The study introduces a novel method that combines time-resolved, in situ textural measurements with real-time visual observation under physiologically relevant pulsatile flow, using purpose-designed food-like model materials to support the prediction of food breakdown behaviour and the design of foods with controlled digestion. Full article
(This article belongs to the Section Food Engineering and Technology)
Show Figures

Figure 1

20 pages, 1808 KB  
Article
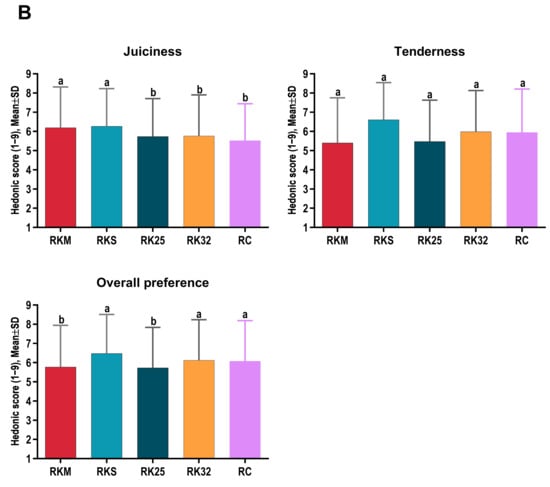
The Effect of Aspergillus oryzae (Koji) on the Physicochemical and Sensory Characteristics and Satiating Capacity of Angus Beef
by Cristina Filip, Victoria Ancuta Nyulas, Maria Czinege, Amalia Puscas, Amelia Tero-Vescan, Ioan Costa and Florina Ruta
Foods 2026, 15(8), 1296; https://doi.org/10.3390/foods15081296 - 9 Apr 2026
Abstract
Considering the increasing consumer demand for natural meat tenderization methods, this study explores the potential of Aspergillus oryzae (Koji) to enhance beef quality. The aim of this study was to evaluate the enzymatic effect of Aspergillus oryzae (A. oryzae) on the [...] Read more.
Considering the increasing consumer demand for natural meat tenderization methods, this study explores the potential of Aspergillus oryzae (Koji) to enhance beef quality. The aim of this study was to evaluate the enzymatic effect of Aspergillus oryzae (A. oryzae) on the physicochemical and sensory characteristics, as well as the perception of satiety, in Angus beef. Two distinct anatomical cuts, the neck and the round, were subjected to enzymatic aging using four different Koji-based mixtures. Parameters such as water content, thermal preparation (grilling) loss, expressible moisture, and pH were determined, supplemented by sensory analysis and a satiety test. Compared to untreated or traditionally marinated samples (Teriyaki sauce), Koji-treated samples exhibited lower grilling loss and improved texture. Sensory analysis highlighted a more intense flavor profile and increased acceptability of the enzymatically treated products. The satiety test indicated a predominantly positive perception of postprandial fullness, with negative ratings being rare and exclusive to the control group. These results support the potential of A. oryzae as a natural alternative for optimizing the technological and sensory quality of red meat, contributing to a favorable consumer experience, including satiety perception. Full article
Show Figures

Figure 1

23 pages, 7333 KB  
Article
Elucidation of the Biological Function and Early-Infection Cell Cycle Regulatory Mechanism of Avocado-Infecting Colletotrichum fructicola
by Sizhen Liu, Longhui Huang, Qianlong Sun, Yilong Man, Yangdan Yuan, Min Kuang, Yiyin Fan, Shankui Yuan, Yonghua Zhu and Xinqiu Tan
Foods 2026, 15(8), 1295; https://doi.org/10.3390/foods15081295 - 9 Apr 2026
Abstract
Persea americana (avocado) is a fruit rich in nutrients; however, its industry is facing major threats from pathogen infection. Here, we clearly identified Colletotrichum fructicola as the pathogen causing avocado diseases in Pu’er City, Yunnan Province. However, the biological characteristics, genetic transformation system, [...] Read more.
Persea americana (avocado) is a fruit rich in nutrients; however, its industry is facing major threats from pathogen infection. Here, we clearly identified Colletotrichum fructicola as the pathogen causing avocado diseases in Pu’er City, Yunnan Province. However, the biological characteristics, genetic transformation system, and early cell cycle regulation of this pathogen remained unclear. In this study, C. fructicola exhibited a maximum growth rate on complete medium (CM), with the conidial yield reaching 2 × 105 conidia/mL after 24 h in liquid CM. Conidia of C. fructicola had nearly fully germinated at 4 h post-inoculation (hpi), with the appressorium formation rate exceeding 95% at 12 hpi. We also established a PEG-CaCl2-mediated genetic transformation system. The GFP-tagged transformants showed no significant differences in core biological function from the wild type. Using eGFP labeling, we visually elucidated the early cell cycle regulation of C. fructicola. Furthermore, cell cycle inhibitor assays demonstrated that C. fructicola conidial germination is independent of nuclear division and relies on cytoskeletal modulation, whereas appressorium formation and mycelial expansion require functional cell cycle regulation. This is probably the first study to systematically elucidate the cell cycle regulatory characteristics of C. fructicola isolated from avocado, and to successfully develop its genetic transformation system. These results provide important theoretical and technical support for the formulation of integrated control strategies against C. fructicola, as well as facilitating the sustainable development of the avocado industry. Full article
(This article belongs to the Section Food Toxicology)
Show Figures

Figure 1

16 pages, 1435 KB  
Article
Development of High-Internal-Phase Pickering Emulsions Stabilized by Soy Protein Isolate and Sodium Alginate as Innovative Fat Replacers for Emulsified Sausages
by Zhi Wang, Xuefei Wang, Xin Li, Chao Zhang, Fangda Sun, Qian Chen, Qian Liu, Baohua Kong and Haotian Liu
Foods 2026, 15(8), 1294; https://doi.org/10.3390/foods15081294 - 9 Apr 2026
Abstract
In this study, vegetable oil-based high-internal-phase Pickering emulsions (HIPPEs) were formulated from soy protein isolate and sodium alginate, and the effects of different replacement ratios (20–100%) of pork back fat on the quality of emulsified sausages were investigated. With the increase in the [...] Read more.
In this study, vegetable oil-based high-internal-phase Pickering emulsions (HIPPEs) were formulated from soy protein isolate and sodium alginate, and the effects of different replacement ratios (20–100%) of pork back fat on the quality of emulsified sausages were investigated. With the increase in the fat replacement ratio, cooking loss, released fat, and lipid oxidation significantly decreased (p < 0.05). Similarly, as the replacement ratio rose, L*-values, pH and springiness increased, while a*-values, hardness, cohesiveness, and chewiness showed a significant decrease. The reformulated sausages exhibited superior slice compactness, a macroscopic trait corroborated by the dense network structure observed via microstructural analysis. Electronic nose and electronic tongue measurements indicated that the inclusion of HIPPEs modulated both the aroma profiles and taste attributes of the emulsified sausages. Moreover, although differences were observed in some sensory attributes and flavor characteristics, all formulations with HIPPEs remained within an acceptable sensory range. Full article
(This article belongs to the Section Meat)
Show Figures

Figure 1

19 pages, 2082 KB  
Article
Design of a Plant-Based Smoothie: Exploiting Ingredient Complementarity for a Diversified (Poly)phenolic Profile Quantified by Targeted LC-MS/MS Analysis
by Cristina Matías, Cristina Del Burgo-Gutiérrez, María-José Sáiz-Abajo, María-Paz De Peña, Iziar A. Ludwig and Concepción Cid
Foods 2026, 15(8), 1293; https://doi.org/10.3390/foods15081293 - 9 Apr 2026
Abstract
Smoothies represent a promising vehicle for increasing fruit and vegetable consumption and bioactive diversity. However, their formulation often lacks a rigorous analytical validation of phytochemical complementarity. This study establishes a methodological framework for the design of potential functional plant-based beverages, centered on a [...] Read more.
Smoothies represent a promising vehicle for increasing fruit and vegetable consumption and bioactive diversity. However, their formulation often lacks a rigorous analytical validation of phytochemical complementarity. This study establishes a methodological framework for the design of potential functional plant-based beverages, centered on a high-resolution LC-MS/MS-driven strategy. Through a targeted screening of 57 (poly)phenolic compounds, a precise phytochemical mapping of diverse botanical matrices was performed to optimize ingredient selection based on chemical diversity rather than empirical blending. A novel formulation combining Granny Smith apple, green celery, dried green chicory, and peppermint leaves was developed to maximize both bioactive density and structural variety. The resulting matrix achieved a total (poly)phenol concentration of 2947.68 ± 5.17 µg/g dm, encompasses six major subclasses: flavan-3-ols, hydroxycinnamic acids, flavanones, flavonols, flavones, and dihydrochalcones. The results demonstrate that analytical fingerprinting allows for the strategic enrichment of food systems, ensuring a highly characterized and diversified phenolic spectrum. This research shifts the focus toward the evidence-based molecular design of health-promoting foods with verified nutritional properties. Full article
Show Figures

Graphical abstract

25 pages, 18904 KB  
Article
Protective Effects of Polysaccharides from Pyropia suborbiculata Against UVB-Induced Photodamage in HaCaT Cells
by Kaiyue Chen, Hongchang Ding, Jiawei Zhong, Qinwen Zhou, Yujia Li, Long Zhang, Quancai Sun, Ye Peng, Wenhui Wu, Xichang Wang and Wanqiang Wu
Foods 2026, 15(8), 1292; https://doi.org/10.3390/foods15081292 - 9 Apr 2026
Abstract
Porphyra suborbiculata exhibits strong heat tolerance and has considerable commercial potential under rising sea temperatures; however, its bioactive components remain insufficiently explored. In this study, a heat-tolerant new strain of P. suborbiculata (PS-M4), cultivated by the College of Fisheries, was used as the [...] Read more.
Porphyra suborbiculata exhibits strong heat tolerance and has considerable commercial potential under rising sea temperatures; however, its bioactive components remain insufficiently explored. In this study, a heat-tolerant new strain of P. suborbiculata (PS-M4), cultivated by the College of Fisheries, was used as the experimental material. Polysaccharides were extracted using an ultrasound-assisted composite enzymatic method, and extraction conditions were optimized through single-factor experiments and response surface methodology, yielding a maximum extraction yield of 12.45 ± 0.09%. Crude polysaccharides were further purified using a purification apparatus, yielding two fractions, designated PSP-I and PSP-II. Preliminary structural characterization showed that PSP-I possessed a weight-average molecular weight (Mw) of 26.149 kDa, a number-average molecular weight (Mn) of 11.267 kDa, and a polydispersity index of 2.321. Monosaccharide composition analysis indicated that PSP-I was predominantly composed of galactose. Fourier transform infrared spectroscopy (FT-IR) revealed typical polysaccharide functional groups, and scanning electron microscopy (SEM) analysis revealed a porous lamellar morphology. In vitro cell-based assays demonstrated that PSP-I significantly alleviated ultraviolet B (UVB)-induced damage in HaCaT cells by reducing intracellular reactive oxygen species (ROS) levels, enhancing antioxidant enzyme activities, inhibiting apoptosis, and downregulating the expression of matrix metalloproteinases (MMPs). These results suggest that PSP-I has potential as a functional ingredient for mitigating UVB-induced skin damage. Full article
(This article belongs to the Section Nutraceuticals, Functional Foods, and Novel Foods)
Show Figures

Figure 1

31 pages, 921 KB  
Review
Prospects of Bioactive Compounds in Designing Functional Foods: Challenges and Solutions
by Hadeel Edkaidek, Divakar Dahiya and Poonam Singh Nigam
Foods 2026, 15(8), 1291; https://doi.org/10.3390/foods15081291 - 9 Apr 2026
Abstract
There is an increasing interest in functional food formulations with added bioactive compounds, such as vitamins, probiotics, polyphenols and bioactive peptides, specifically in dairy and plant-based foods, bakery, and beverages. However, their stability in the food system, release rates and biological activity after [...] Read more.
There is an increasing interest in functional food formulations with added bioactive compounds, such as vitamins, probiotics, polyphenols and bioactive peptides, specifically in dairy and plant-based foods, bakery, and beverages. However, their stability in the food system, release rates and biological activity after consumption/digestion play an important role in the effectiveness of functional foods. There are technical challenges in maintaining the stability and acceptability of added compounds in the formulation design of food items. A novel approach to delivering bioactive compounds in functional foods is their microencapsulation, where stability-sensitive compounds are protected against their degradation during processing and physiological digestion, with targeted release in the gastrointestinal tract (GIT) and elicited cellular responses. Microencapsulation of bioactive compounds has been proven to be beneficial in in vitro models for the stability, antioxidant and immunomodulatory action, and acceptability compared to free (non-capsulated) forms. This technology is worth considering relative to the protection of health benefits of compounds used in food products, with their necessary bioactivity after physiological digestion in GIT. This article reviews important bioactive compounds, challenges, and strategies in the development of functional foods to ensure the required stability for the bioavailability of added compounds. Full article
(This article belongs to the Special Issue Advances in Biological Activities of Functional Food (3rd Edition))
Show Figures

Figure 1

14 pages, 2736 KB  
Article
Enhancing Glucuronic Acid and Bacterial Cellulose Yield in Kombucha via Valorization of Male Jelly Fig (Ficus pumila L. var. awkeotsang)
by Yu-Chieh Chou, Wei-Lun Ku, Kuan-Chen Cheng, Chen-Che Hsieh, Shella Permatasari Santoso, Yung-Kai Lin, Wei-Lun Hung and Shin-Ping Lin
Foods 2026, 15(8), 1290; https://doi.org/10.3390/foods15081290 - 9 Apr 2026
Abstract
Male jelly fig (Ficus pumila L. var. awkeotsang) syconia are an underutilized by-product in Taiwan. This study evaluated male fig powder (0–2%, w/v) as a substrate for producing male fig-altered kombucha (FK) using a defined co-culture of Komagataeibacter [...] Read more.
Male jelly fig (Ficus pumila L. var. awkeotsang) syconia are an underutilized by-product in Taiwan. This study evaluated male fig powder (0–2%, w/v) as a substrate for producing male fig-altered kombucha (FK) using a defined co-culture of Komagataeibacter xylinus and Saccharomyces cerevisiae. Fermentation markedly reshaped FK metabolites. Glucuronic acid increased in a dose-associated manner, reaching 6.63 g/L in 2% FK, whereas vitamin C declined during fermentation but remained highest in 2% FK. Gallic acid increased and peaked at 0.5% FK (320.75 mg/L), while acetic and succinic acids showed formulation-dependent patterns; conversely, caffeine decreased in all male fig-containing groups. FK also exhibited concentration-dependent color divergence from the control at day 9 (ΔE* up to 17.81 at 2% FK). Numerical increases in DPPH and TPC were observed; however, no significant differences were detected among the treatments. Importantly, male fig supplementation substantially enhanced kombucha bacterial cellulose (KBC) yield (0.56 to 7.28 g/L from 0 to 2% FK) without compromising high water content (~96–99%) or swelling (~90–94%). FTIR confirmed retention of the cellulose backbone, SEM showed formulation-dependent fibril diameters, and TGA indicated higher early-stage thermal stability with dose-dependent shifts in main degradation behavior. Collectively, male figs can be valorized to produce FK with altered metabolite profiles and improved KBC productivity. Full article
(This article belongs to the Special Issue Application of Food Biotechnology in Fermentation Engineering)
Show Figures

Figure 1

25 pages, 8322 KB  
Article
Untargeted Metabolomics Reveals Metabolic Reprogramming During Viable but Non-Culturable State Formation in Aeromonas hydrophila Under Preservative Stress
by Gururaj Moorthy, Jatuphol Pholtaisong, Anusara Wongkotsila, Soottawat Benjakul, Awanwee Petchkongkaew and Jirakrit Saetang
Foods 2026, 15(8), 1289; https://doi.org/10.3390/foods15081289 - 9 Apr 2026
Abstract
Aeromonas hydrophila is a major seafood-borne pathogen capable of persisting under preservative-associated stress by entering a viable but non-culturable (VBNC) state, thereby evading culture-based detection. Here, untargeted metabolomics was applied as the primary analytical approach to elucidate metabolic reprogramming during VBNC formation under [...] Read more.
Aeromonas hydrophila is a major seafood-borne pathogen capable of persisting under preservative-associated stress by entering a viable but non-culturable (VBNC) state, thereby evading culture-based detection. Here, untargeted metabolomics was applied as the primary analytical approach to elucidate metabolic reprogramming during VBNC formation under seafood-relevant preservation conditions. Cells were incubated at 4 °C for 30 days in sodium benzoate-supplemented saline, comparing 0.85% NaCl (culturable condition) and 4% NaCl (VBNC-inducing condition), with sampling every 6 days. Under 4% NaCl with sodium benzoate, culturability declined from 6.18 log CFU/mL at day 0 to undetectable levels by day 30, while cell viability was retained, confirming VBNC induction. UHPLC–ESI–QTOF–MS profiling detected over 893 intracellular metabolic features, of which 518 metabolites were significantly altered between VBNC and culturable states at day 30. Principal component analysis revealed clear, time-dependent metabolic divergence, with the VBNC trajectory explaining 34.4% (PC1) and 11.5% (PC2) of total variance. Pathway enrichment analysis demonstrated significant remodeling of alanine, aspartate and glutamate metabolism (8/28 hits, FDR = 5.7 × 10−4); arginine biosynthesis (5/14 hits, FDR = 5.44 × 10−3); purine metabolism (10/70 hits, FDR = 8.34 × 10−3); and pyrimidine metabolism (7/39 hits, FDR = 1.35 × 10−2), indicating nitrogen conservation and metabolic downshifting. A robust biomarker panel, including depleted cyclic AMP, aminoadipic acid, hypotaurine, O6-CM-dG, and betaine, and enriched urocanic acid, pipecolic acid, proline, azelaic acid, and orcinol perfectly discriminated VBNC from culturable cells. These findings demonstrate that sodium benzoate-based preservation can induce a metabolically reprogrammed VBNC state in A. hydrophila, highlighting a hidden food safety risk beyond culture-based assessment. Full article
(This article belongs to the Section Foodomics)
Show Figures

Figure 1

19 pages, 2883 KB  
Perspective
Cultured Meat and Its Acceptability in Muslim Societies: A Narrative Perspective on Halal Perspectives and Regulatory Challenges
by Randah M. Alqurashi, Dominika Sikora, Piotr Rzymski and Barbara Poniedziałek
Foods 2026, 15(8), 1288; https://doi.org/10.3390/foods15081288 - 9 Apr 2026
Abstract
Cultured meat holds the potential to reduce environmental impacts and offer ethical advantages while replicating the nutritional, taste, and texture attributes of conventional meat. To date, most research on consumer acceptance of meat has focused on European and North American markets. In contrast, [...] Read more.
Cultured meat holds the potential to reduce environmental impacts and offer ethical advantages while replicating the nutritional, taste, and texture attributes of conventional meat. To date, most research on consumer acceptance of meat has focused on European and North American markets. In contrast, Muslim-majority countries remain underexplored, particularly regarding the compatibility of cultured meat with Islamic dietary laws. These societies are experiencing rising meat consumption, and countries such as Saudi Arabia and Malaysia rely heavily on meat imports. This narrative perspective article aims to systematically examine how specific stages of cultured meat production align with, or challenge, Islamic dietary (halal) principles. To this end, we adopt a stage-based analytical approach, mapping key technological steps in cultured meat production onto core requirements of Islamic jurisprudence. To this end, we critically and comprehensively examine the intersection between cultured meat production methods and the Islamic concept of halal, which extends beyond ingredient permissibility to encompass ethical, spiritual, and hygienic dimensions of food production. Key challenges to halal certification include the origin and status of starter cells, whether donor animals were slaughtered according to Islamic law, the permissibility of biopsied tissue, and the use of fetal bovine serum in growth media. The analysis indicates that while halal-compliant cultured meat is scientifically feasible, its adoption remains constrained by unresolved religious interpretations, regulatory fragmentation, and limited availability of halal-certified inputs. We emphasize the need for interdisciplinary collaboration among Islamic scholars, food scientists, certification bodies, and policymakers. From a policy perspective, harmonized halal standards, targeted investment in serum-free and animal-free culture media, and early regulatory engagement with Islamic authorities are essential to facilitate responsible market entry. Therefore, we suggest a multi-level governance and stage-gated halal decision framework for cultured meat. Proactive regulation and open dialogue with religious leaders are vital to ethically introduce cultured meat into Muslim markets, aligning innovation with Islamic values while supporting national sustainability and food security goals. Full article
Show Figures

Figure 1

17 pages, 1311 KB  
Article
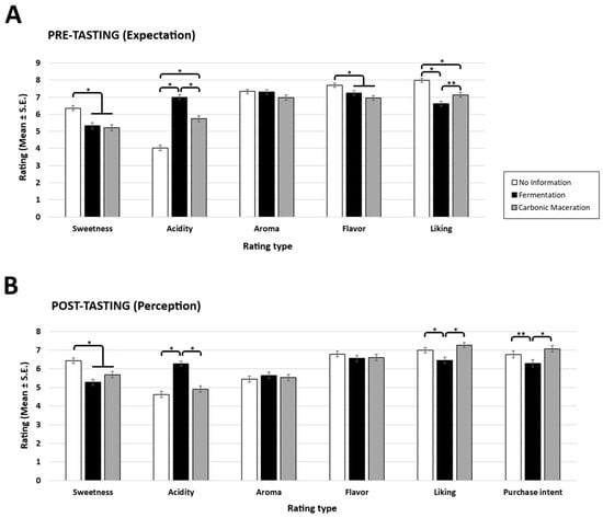
Label Information About Fermentation Processing Affects Consumers’ Sensory and Hedonic Judgements of Specialty Coffee
by Fabiana M. Carvalho, Maísa M. M. de Sousa and Denis Henrique S. Nadaleti
Foods 2026, 15(8), 1287; https://doi.org/10.3390/foods15081287 - 9 Apr 2026
Abstract
Coffee label information impacts consumer choice by communicating key product attributes. This study investigated whether label information on fermentation-related post-harvest processing techniques influence specialty coffee consumers’ expectations and perception of brewed coffee. A total of 180 specialty coffee consumers participated in a within-subject [...] Read more.
Coffee label information impacts consumer choice by communicating key product attributes. This study investigated whether label information on fermentation-related post-harvest processing techniques influence specialty coffee consumers’ expectations and perception of brewed coffee. A total of 180 specialty coffee consumers participated in a within-subject tasting experiment, evaluating the same coffee paired with three labels: no processing information, ‘fermentation’, and ‘carbonic maceration’. Participants first rated their expectations of aroma, flavour, acidity, sweetness, and subsequently, their experience of those attributes on tasting the coffees, as well as rating their liking and purchase intent. Additionally, they also assessed the usual-to-exotic flavour expectation and perceived price of coffees processed with traditional and innovative post-harvest methods. Results showed that the coffee paired with the label ‘fermentation’ was expected to be the most acidic and the least liked, which was confirmed during tasting, whereas the label ‘carbonic maceration’ increased curiosity and perceived novelty towards the coffee without negatively affecting the sensory acceptance. Innovative fermentation-related terms were also perceived as more exotic and expensive compared to traditional methods. These findings demonstrate that descriptive post-harvest terms on coffee labels significantly influence consumer expectations, sensory perception, and perceived value. They also highlight the importance of carefully selecting labelling terms to balance consumer curiosity, sensory expectations, and product acceptance. Full article
(This article belongs to the Section Sensory and Consumer Sciences)
Show Figures

Graphical abstract

22 pages, 3510 KB  
Article
Nondestructive Detection of Eggshell Thickness Using Near-Infrared Spectroscopy Based on GBDT Feature Selection and an Improved CatBoost Algorithm
by Ziqing Li, Ying Ji, Changheng Zhao, Dehe Wang and Rongyan Zhou
Foods 2026, 15(8), 1286; https://doi.org/10.3390/foods15081286 - 8 Apr 2026
Abstract
Eggshell thickness is a critical indicator for evaluating egg breakage resistance and hatchability, yet traditional measurement methods remain destructive and inefficient. To address this, this study proposes a robust prediction approach by integrating Gradient Boosting Decision Tree (GBDT) feature optimization with an improved [...] Read more.
Eggshell thickness is a critical indicator for evaluating egg breakage resistance and hatchability, yet traditional measurement methods remain destructive and inefficient. To address this, this study proposes a robust prediction approach by integrating Gradient Boosting Decision Tree (GBDT) feature optimization with an improved CatBoost algorithm. First, a joint strategy of Standard Normal Variate (SNV) and Multiplicative Scatter Correction (MSC) was employed to eliminate spectral scattering noise and enhance organic matrix fingerprint information. Subsequently, GBDT was introduced for nonlinear feature evaluation to adaptively screen the top 50 wavelengths, effectively mitigating the “curse of dimensionality” and multicollinearity in full-spectrum data. A CatBoost regression model was then constructed using an Ordered Boosting mechanism, supported by a dual anti-overfitting strategy that merged 10-fold nested cross-validation with Bootstrap resampling. Experimental results demonstrate that this method significantly outperforms traditional algorithms in both prediction accuracy and generalization. The coefficients of determination (R2) for the calibration and prediction sets reached 0.930 and 0.918, respectively, with a root mean square error of prediction (RMSEP) of 0.008 mm. Residual analysis confirms that prediction errors follow a zero-mean Gaussian distribution, indicating that systematic bias was effectively eliminated. This research provides a reliable theoretical foundation and technical support for the intelligent grading of poultry egg quality. Full article
(This article belongs to the Section Food Analytical Methods)
Show Figures

Figure 1

13 pages, 3933 KB  
Article
Preparation and Characterization of Double-Network Composite Hydrogels with Carboxymethyl Pachymaran in Promoting Wound Healing
by Haodong Wu, Xi Feng, Zhinan Mei, Wen Huang and Ying Liu
Foods 2026, 15(8), 1285; https://doi.org/10.3390/foods15081285 - 8 Apr 2026
Abstract
Utilizing food-derived bioactive polysaccharides in advanced biomedical applications offers significant potential. To effectively harness the inherent bioactivity of Poria cocos, a renowned edible and medicinal fungus, we developed a multifunctional double-network composite hydrogel (CPS) via a feasible one-pot strategy. This was achieved [...] Read more.
Utilizing food-derived bioactive polysaccharides in advanced biomedical applications offers significant potential. To effectively harness the inherent bioactivity of Poria cocos, a renowned edible and medicinal fungus, we developed a multifunctional double-network composite hydrogel (CPS) via a feasible one-pot strategy. This was achieved by incorporating functional carboxymethyl pachymaran (CMP) into a matrix of food-grade sodium alginate (SA) and polyacrylamide (PAM). This formulation endows the hydrogel with excellent extensibility, rapid self-healing capabilities, and strong tissue adhesion, all while preserving the biological activity of the natural macromolecules. In a mouse full-thickness skin defect model, the CPS significantly accelerated wound recovery, achieving a healing rate of 51.17 ± 4.87% by day 7. Mechanistically, the food-derived CMP synergistically promoted skin tissue regeneration by downregulating the expression of the early pro-inflammatory cytokine TNF-α and upregulating the angiogenic marker CD31, thereby actively modulating the local microenvironment. Ultimately, these findings demonstrate the viability of using edible fungal polysaccharides as primary bioactive components in advanced wound dressings, providing a novel approach for utilizing food macromolecules in biomedicine. Full article
(This article belongs to the Special Issue Edible Mushroom Processing and Functional Food Development)
Show Figures

Figure 1

22 pages, 898 KB  
Article
Effect of Temperature on the Drying Kinetics of Caturra Coffee: Correlation with Hyperspectral Imaging and Sensory Quality
by Frank Fernandez-Rosillo, Nestor A. Sánchez-Goycochea, Cinthya Santa Cruz-López, Eliana Milagros Cabrejos-Barrios, Jorge Caucha-Iparraguirre, Flor Garcia-Carrión and Lenin Quiñones-Huatangari
Foods 2026, 15(8), 1284; https://doi.org/10.3390/foods15081284 - 8 Apr 2026
Abstract
Coffee processing requires continuous optimization to preserve sensory quality while improving process efficiency. Although hyperspectral imaging has been widely applied for food quality evaluation, its use for predicting coffee cup score during controlled drying remains limited. This study aimed to evaluate the effect [...] Read more.
Coffee processing requires continuous optimization to preserve sensory quality while improving process efficiency. Although hyperspectral imaging has been widely applied for food quality evaluation, its use for predicting coffee cup score during controlled drying remains limited. This study aimed to evaluate the effect of drying temperature on the drying kinetics of Caturra coffee and to develop a predictive model for cup score using hyperspectral imaging combined with Partial Least Squares Regression (PLSR). Coffee samples were dried at four constant temperatures (30, 40, 50, and 60 °C) in forced-convection ovens, and hyperspectral reflectance images (400–1000 nm) were acquired using a Specim FX10 camera. Sensory evaluation was conducted by six certified Q Arabica Graders. Drying times were 52, 34, 30, and 20 h at 30, 40, 50, and 60 °C, respectively, with corresponding cup scores of 83.21, 83.50, 83.60, and 83.26 points. Effective moisture diffusivity ranged from 1013 to 1012 m2/s, while mass transfer coefficients were on the order of 109 m/s, with activation energies of 28.016 and 19.272 kJ/mol. No significant differences in cup score were observed among drying temperatures (p>0.05). A PLSR-based model was developed to estimate cup score from hyperspectral data, achieving R2 values of 0.770 and 0.855 and RMSE values of 0.515 and 0.518 for calibration and validation, respectively. Key wavelengths at 480, 600, 720, and 940 nm were identified as the most influential spectral regions associated with chemical compounds affecting sensory quality. These findings demonstrate the potential of integrating drying kinetics and hyperspectral imaging as a rapid and non-destructive approach for objective prediction of coffee sensory quality during processing. Full article
(This article belongs to the Section Food Engineering and Technology)
Show Figures

Graphical abstract

31 pages, 1638 KB  
Review
Pseudocereals in Bakery Products: A Review of Nutritional Composition, Health Benefits and Bakery Applications
by Olivia Atudorei, Denisa Atudorei and Georgiana Gabriela Codină
Foods 2026, 15(8), 1283; https://doi.org/10.3390/foods15081283 - 8 Apr 2026
Abstract
Pseudocereals are naturally gluten-free crops because they do not contain gluten-forming proteins which are present in other grains. The main pseudocereals used in bakery formulations are buckwheat, amaranth, and quinoa, because they have a balanced nutritional profile including high-quality proteins, dietary fiber, essential [...] Read more.
Pseudocereals are naturally gluten-free crops because they do not contain gluten-forming proteins which are present in other grains. The main pseudocereals used in bakery formulations are buckwheat, amaranth, and quinoa, because they have a balanced nutritional profile including high-quality proteins, dietary fiber, essential minerals, and bioactive compounds with antioxidant, anti-inflammatory, and cardiometabolic health-promoting effects. Due to their high nutritional value, they have increasingly been used as functional ingredients in bakery products, particularly for consumers with celiac disease, gluten intolerance, or those seeking nutritionally enhanced foods. The present paper reviews recent advances on the nutritional, functional, and technological properties of these pseudocereals, focusing on their applications in bakery products. Their influence on dough behavior, product quality, and the nutritional improvement of bread, cakes, biscuits, muffins, and other baked goods is discussed. Also, different aspects of the use of pseudocereals in gluten-free products are presented. Mentions are also made of the fact that the increasing demand for healthier and gluten-free foods highlights the possibility of using pseudocereals as promising ingredients for the development of nutritionally enriched bakery products of acceptable technological and sensory quality. Full article
Show Figures

Figure 1

20 pages, 868 KB  
Review
Food Fraud Implications and Regulatory Challenges in South Africa: A Review
by Likentso Sylvia Shuping and Kgomotso Lebelo
Foods 2026, 15(8), 1282; https://doi.org/10.3390/foods15081282 - 8 Apr 2026
Abstract
Food fraud has emerged as a significant and under-recognised public health threat, with documented global incidents resulting in severe illness, hospitalisations, and fatalities. International estimates suggest that up to 9% of the global food trade is adulterated. In South Africa, evidence of mislabelling, [...] Read more.
Food fraud has emerged as a significant and under-recognised public health threat, with documented global incidents resulting in severe illness, hospitalisations, and fatalities. International estimates suggest that up to 9% of the global food trade is adulterated. In South Africa, evidence of mislabelling, substitution, counterfeit products, illicit trade, and the use of unauthorised additives continues to surface, yet the national burden and regulatory response remain insufficiently characterised. This review synthesised peer-reviewed literature and articles from reputable South African media sources published from 2015 to December 2025, focusing on food fraud within the South African context. Searches were conducted across Web of Science (WoS), Scopus, and PubMed, supplemented by Google Scholar and the EU Food Fraud Database, with emphasis on studies reporting fraud associated with South African food products. Standard PRISMA procedures guided the final selection of fifteen (14) eligible articles. These studies reveal widespread food fraud driven mainly by economic gain. Common practices include substituting high-value products, mislabelling meat and seafood, altering dates on expired goods, and producing counterfeits with unauthorised additives and packaging. Collectively, these factors compromise consumer health, undermine industry integrity, and impede effective surveillance. Strengthening South Africa’s food fraud prevention ecosystem will require coordinated multisectoral engagement, targeted investment in detection technologies, and robust regulatory reforms. Full article
(This article belongs to the Special Issue Assessment and Control of Food Safety Risks)
Show Figures

Graphical abstract

28 pages, 4350 KB  
Review
Mineral Oils in Olive Oils: Background, Analytical Determination, Sources of Contamination, and Possible Mitigation Strategies
by Sabrina Moret, Seyedeh Farnaz Sadeghian, Luca Menegoz Ursol and Laura Barp
Foods 2026, 15(8), 1281; https://doi.org/10.3390/foods15081281 - 8 Apr 2026
Abstract
Mineral oil hydrocarbons (MOH), comprising saturated (MOSH) and aromatic (MOAH) compounds, are ubiquitous lipophilic contaminants. This review critically examines their occurrence, toxicology, analysis, contamination sources, and mitigation strategies in the olive oil sector. Emphasis is placed on analytical evolution, highlighting online LC-GC-FID and [...] Read more.
Mineral oil hydrocarbons (MOH), comprising saturated (MOSH) and aromatic (MOAH) compounds, are ubiquitous lipophilic contaminants. This review critically examines their occurrence, toxicology, analysis, contamination sources, and mitigation strategies in the olive oil sector. Emphasis is placed on analytical evolution, highlighting online LC-GC-FID and the EN ISO 20122:2024 standard, including advances in saponification and epoxidation to minimize biogenic interferences. Monitoring data reveal that virgin olive oils from the market can sometimes exceed the 2.0 mg/kg limit for the MOAH. Ten times higher levels are usually found in olive pomace oils (OPOs). In OPO, solvent extraction causes a significant reconcentration of hydrocarbons remaining on the solid matter after physical extraction and accumulating during the open-air storage of pomace. Conversely, for virgin oils, contamination can occur at multiple points along the supply chain, but harvesting emerged as the most important critical step, often due to accidental contact with lubricants, greases, or hydraulic fluids. Post-milling operations may also contribute to contamination. Mitigation strategies rely on Good Agricultural and Manufacturing Practices, focusing on the systematic replacement of technical-grade lubricants with food-grade alternatives. Additionally, olive washing can reduce initial MOSH content, while refining further lowers levels, particularly in lighter fractions. Full article
Show Figures

Figure 1

5 pages, 163 KB  
Editorial
Cereal and Cereal Products: Quality, Functionality, Health Security and Application of New Technologies
by Olivera Šimurina and Elizabet Janić Hajnal
Foods 2026, 15(8), 1280; https://doi.org/10.3390/foods15081280 - 8 Apr 2026
Abstract
Global food systems are currently facing unprecedented challenges driven by population growth, climate change, resource limitations, and evolving dietary patterns [...] Full article
15 pages, 497 KB  
Article
Comparative Profiling of Fat-Soluble Nutrients and Antioxidant Indices in Seeds of Six Maple (Acer) Types
by Sunleng Chhoeun, Sunyoung Lim, Jeung-Hee Lee and Jung-Ah Shin
Foods 2026, 15(8), 1279; https://doi.org/10.3390/foods15081279 - 8 Apr 2026
Abstract
Maple (Acer spp.) seeds are potential sources of fat-soluble nutrients and bioactive compounds, yet they remain comparatively understudied. This study compared six market-derived Acer seed types by quantifying phospholipids (PLs), fatty acids, carotenoids, and phytosterols, and by evaluating total phenolic content (TPC) [...] Read more.
Maple (Acer spp.) seeds are potential sources of fat-soluble nutrients and bioactive compounds, yet they remain comparatively understudied. This study compared six market-derived Acer seed types by quantifying phospholipids (PLs), fatty acids, carotenoids, and phytosterols, and by evaluating total phenolic content (TPC) and DPPH radical scavenging activity in methanolic extracts. Total phospholipid contents varied markedly among samples (17.94–295.87 mg/100 g), with phosphatidylcholine (PC), phosphatidylethanolamine (PE), and phosphatidylinositol (PI) as the predominant classes. Fatty acid profiles were dominated by oleic acid (C18:1) and linoleic acid (C18:2), and nervonic acid (NA; C24:1) was consistently detected in all samples at 0.17–1.88 g/100 g (4.55–7.89% of total fatty acids). β-Sitosterol ranged from 16.58 ± 1.41 to 37.46 ± 1.62 mg/100 g. Carotenoid composition varied among the tested samples, and Jeju red maple showed the highest provitamin A potential, including the exclusive detection of α-carotene and the highest retinol activity equivalent. Antioxidant indices also differed significantly among samples (TPC: 317.89–897.12 mg GAE/100 g; DPPH: 81.37–93.27%), but TPC was not consistently proportional to DPPH activity, suggesting contributions from non-phenolic constituents. Pearson correlation analysis further showed exploratory co-variation patterns among the measured variables across the tested samples. Overall, the tested market-derived Acer seed materials exhibited marked compositional diversity and antioxidant potential, supporting their further evaluation as candidate functional food, nutraceutical, and value-added plant lipid resources. Full article
(This article belongs to the Special Issue Characterization of Food Lipids and Their Derivatives)
Show Figures

Graphical abstract

36 pages, 2926 KB  
Review
Advances in Nanotechnological Strategies for Preserving and Authenticating Bioactive Compounds in Extra Virgin Olive Oil: Nano-Enabled Stabilization, Sensing, and Circular Valorization
by José Roberto Vega Baudrit, Yendry Corrales-Ureña, Karla Jaimes Merazzo, Javier Stuardo Chinchilla Orrego and Mary Lopretti
Foods 2026, 15(8), 1278; https://doi.org/10.3390/foods15081278 - 8 Apr 2026
Abstract
Extra-virgin olive oil (EVOO) is a chemically complex lipid matrix whose minor constituents—especially phenolic secoiridoids—drive sensory quality, oxidative stability, and health benefits. However, these bioactives are vulnerable to heat, light, oxygen, and pro-oxidant metals during processing and distribution, while the high cost of [...] Read more.
Extra-virgin olive oil (EVOO) is a chemically complex lipid matrix whose minor constituents—especially phenolic secoiridoids—drive sensory quality, oxidative stability, and health benefits. However, these bioactives are vulnerable to heat, light, oxygen, and pro-oxidant metals during processing and distribution, while the high cost of EVOO often makes it a target for adulteration and mislabeling. This review critically assesses nano-enabled, food-grade strategies that (i) preserve phenolics and aroma compounds through nanoencapsulation, inclusion complexes, Pickering stabilization, and structured lipid systems; (ii) control their release and bioaccessibility during digestion; and (iii) enhance authenticity verification via sensor-ready packaging, spectroscopy/chemometrics, and digital traceability systems (IoT, machine learning, blockchain). We align these innovations with the “product identity constraints” of the EVOO category and with official quality standards used in routine control (IOC/EU). Finally, we explore circular valorization of olive-mill by-products within food-centered biorefineries, outlining pathways to convert biomass into ingredients, materials, and energy, thus reducing environmental impacts. Research priorities are proposed to develop scalable, regulation-compliant nanotechnologies that extend shelf life and increase consumer trust without compromising EVOO category standards. Full article
(This article belongs to the Section Food Engineering and Technology)
Show Figures

Figure 1

Previous Issue
Back to TopTop