Next Issue
Volume 15, December
Previous Issue
Volume 15, October
 
 

Agronomy, Volume 15, Issue 11 (November 2025) – 226 articles

Cover Story (view full-size image): Plant-parasitic nematodes threaten global crop production, yet their detection still relies on labor-intensive, expertise-dependent microscopy. Advances in artificial intelligence now offer ways to automate nematode identification, classification, and quantification. This review provides an updated evaluation of machine learning and deep learning approaches, with focus on modern object-detection models such as YOLO. By analysing current techniques, datasets, accuracy, and limitations, the study shows how AI-based image analysis can improve diagnostic efficiency and support sustainable crop protection. The findings highlight the strong potential of deep learning to deliver faster, scalable, and more reliable nematode monitoring, while outlining key challenges that remain for fully automated detection systems. View this paper
  • Issues are regarded as officially published after their release is announced to the table of contents alert mailing list.
  • You may sign up for e-mail alerts to receive table of contents of newly released issues.
  • PDF is the official format for papers published in both, html and pdf forms. To view the papers in pdf format, click on the "PDF Full-text" link, and use the free Adobe Reader to open them.
Order results
Result details
Section
Select all
Export citation of selected articles as:
32 pages, 1184 KB  
Review
Microalgae-Based Strategies for Soil Health and Crop Productivity: Mechanisms, Challenges, and Pathways to Climate-Resilient Agriculture
by Wogene Solomon Kabato, Niguss Hailegnaw, Tesfatsion Ermias Chaffamo, Asish Samuel, Agampodi Gihan S. D. De Silva and Zoltán Molnár
Agronomy 2025, 15(11), 2669; https://doi.org/10.3390/agronomy15112669 - 20 Nov 2025
Cited by 6 | Viewed by 2712
Abstract
Microalgae hold significant potential as nature-based solutions in agriculture, offering benefits such as nitrogen fixation, enhanced nutrient cycling, stimulation of beneficial microbes, strengthening soil structure, and carbon sequestration. Yet, despite their potential, the role of microalgae, particularly through their interactions with soil systems, [...] Read more.
Microalgae hold significant potential as nature-based solutions in agriculture, offering benefits such as nitrogen fixation, enhanced nutrient cycling, stimulation of beneficial microbes, strengthening soil structure, and carbon sequestration. Yet, despite their potential, the role of microalgae, particularly through their interactions with soil systems, remains largely underexplored. Their ability to generate bioactive substances such as phytohormones, amino acids, and extracellular polymeric substances (EPS) fosters soil aggregation, nutrient availability, water retention, biological soil crust, and soil restoration, which ultimately supports plant growth and productivity. Moreover, the thermochemical conversion of microalgal biomass into biochar offers an effective strategy to improve carbon sequestration while simultaneously enriching soil nutrient content, thereby increasing crop productivity. While microalgae-based products often demonstrate strong efficacy under laboratory and greenhouse conditions, their performance in the field remains constrained by soil physicochemical properties, ecological incompatibility, competition with native microbial communities, and environmental variability, leading to inconsistent outcomes and highlighting the need for soil-specific, field-relevant strategies. Furthermore, the lack of standardized and cost-effective cultivation, formulation, and processing, along with low biomass yield and energy-intensive production, continues to limit their large-scale adoption in agricultural systems. Therefore, this narrative review aimed to discuss the mechanisms of coupling microalgal biomass and biochar to enhance soil health and crop growth, while also addressing field-performance constraints. It provides a balanced view of the potential and challenges of microalgae-based technologies for sustainable soil management and crop productivity. Overall, microalgae possess significant potential to improve soil health, increase crop yields, and contribute to sustainable agriculture that can withstand climate challenges. Full article
(This article belongs to the Section Plant-Crop Biology and Biochemistry)
Show Figures

Figure 1

13 pages, 757 KB  
Article
The Chemical Defense Response of Two Different Cotton Varieties Against Cotton Aphids in the Kashi Region
by Shuaishuai Sha, Pan Xie, Jiaqi Ding, Xuming Wang, Hongyue Li, Wenwen Gao, Beibei Feng and Siyan Wang
Agronomy 2025, 15(11), 2668; https://doi.org/10.3390/agronomy15112668 - 20 Nov 2025
Viewed by 608
Abstract
(1) Objective: To investigate the chemical defense response mechanisms of two cotton (Gossypium hirsutum L., Malvaceae) varieties, Xinlu Zhong 57 and Xinlu Zhong 78, in response to feeding by the cotton aphid (Aphis gossypii Glover, 1877) (Hemiptera: Aphididae) in the Kashi [...] Read more.
(1) Objective: To investigate the chemical defense response mechanisms of two cotton (Gossypium hirsutum L., Malvaceae) varieties, Xinlu Zhong 57 and Xinlu Zhong 78, in response to feeding by the cotton aphid (Aphis gossypii Glover, 1877) (Hemiptera: Aphididae) in the Kashi region. (2) Methods: The artificial infestation method was adopted to determine the dynamic changes in the contents of secondary metabolites (tannins, total phenols), activities of protective enzymes (SOD, POD, PPO), and contents of nutrients (soluble sugars, amino acids) in cotton leaves at 0, 24, 48, 72, and 96 h after infestation with cotton aphids. (3) Results: The contents of secondary metabolites and the activities of protective enzymes in both varieties showed an initial increase followed by a decrease. The response of Xinlu Zhong 57 was earlier and stronger. Its tannin and total phenol contents reached a peak at 48 h, with values of 264.2 nmol/g and 5.973 mg/g, respectively, which were significantly higher than those of Xinlu Zhong 78 (p < 0.05). The activities of SOD, POD, and PPO were consistently higher in Xinlu Zhong 57. At 48 h post-inoculation, SOD activity in Xinlu Zhong 57 was 238.1 U/g, significantly higher than in Xinlu Zhong 78 (p < 0.05). POD activity was 49.0 U/g, and PPO activity was 94.5 U/g, both significantly higher than those of Xinlu Zhong 78 (p < 0.05). This suggests that Xinlu Zhong 57 has a stronger ability to scavenge reactive oxygen species. Regarding nutrients, soluble sugar content in Xinlu Zhong 57 was 6.99 mg/g at 96 h, significantly higher than that in Xinlu Zhong 78 (p < 0.05). The amino acid content at 96 h was 224.4 μg/g, also significantly higher than in Xinlu Zhong 78 (p < 0.05). (4) Conclusions: Xinlu Zhong 57 forms a more effective chemical defense system by rapidly activating the defense enzyme system, efficiently accumulating secondary metabolites, and optimizing nutrient allocation. This study provides a theoretical basis for elucidating the physiological mechanisms of cotton resistance induced by cotton aphids by analyzing the effects of cotton aphid stress on the contents of secondary metabolites, protective enzyme activities, and nutrient contents in cotton leaves. Full article
(This article belongs to the Section Pest and Disease Management)
Show Figures

Figure 1

20 pages, 330 KB  
Article
Impact of Foliar Application of Copper, Manganese, Molybdenum, and Zinc on the Chemical Composition and Malting Quality of Barley Cultivars
by Barbara Stadnik, Renata Tobiasz-Salach and Dagmara Migut
Agronomy 2025, 15(11), 2667; https://doi.org/10.3390/agronomy15112667 - 20 Nov 2025
Viewed by 1015
Abstract
The aim of this study was to evaluate the effect of foliar application of selected micro-nutrients on the chemical composition and malting quality of spring barley (Hordeum vulgare L.). The scientific literature lacks in-depth studies that assess the effect of foliar application [...] Read more.
The aim of this study was to evaluate the effect of foliar application of selected micro-nutrients on the chemical composition and malting quality of spring barley (Hordeum vulgare L.). The scientific literature lacks in-depth studies that assess the effect of foliar application of micronutrients on barley malting quality. Most studies (especially under field conditions) focus on nitrogen fertilization rather than individual micronutrients. Three brewing-type barley cultivars (Baryłka, KWS Irina, and RGT Planet) were evaluated under foliar micronutrient fertilization (Cu, Mn, Mo, Zn). Fertilizers were applied at doses of 2 L ha−1 for Cu, Mn, and Zn and 1 L ha−1 for Mo. The experiment examined the hectoliter mass, theoretical extractability, contents of selected micro- and macronutrients, and the protein, fat, fiber, and ash contents of the grain. Furthermore, the following characteristics of barley malt were determined, i.e., moisture, protein, extractivity, Kolbach index, and diastatic power. The results showed significant variability in grain and malt quality depending on the cultivar and year. The Baryłka cultivar was characterized by the highest grain density (66.3 kg hL−1) and protein content (10.9% d.m.), while RGT Planet had the highest extractivity and the most favorable malting profile. Foliar supplementation had a slightly positive effect on the average content of trace elements in barley. Mn application increased grain Ca content by 5.6% compared with the control, while foliar Zn fertilization resulted in the highest zinc concentration (a 24.7% increase). No significant effect of fertilization on malt quality was observed, but a significant interaction of experimental factors in extractivity, Kolbach index, and diastatic power was noted. The obtained results indicate that a single foliar application of microelements affects the contents of minerals and protein in the grain, but it does not lead to a significant improvement in malting parameters. This suggests the need for further research on dosage, application date, and interactions between the cultivar and environmental conditions. Full article
(This article belongs to the Special Issue Nutrient Enrichment and Crop Quality in Sustainable Agriculture)
24 pages, 2143 KB  
Article
The Influence of Alternative Weed Control Under “Sauvignon Blanc” Vines on Grape Characteristics and Environmental Footprint
by Peter Berk, Denis Stajnko, Andrej Paušič and Mario Lešnik
Agronomy 2025, 15(11), 2666; https://doi.org/10.3390/agronomy15112666 - 20 Nov 2025
Viewed by 907
Abstract
Chemical control of weeds with the herbicide glyphosate under vines in the vineyards is currently easy, effective, and cheap. There are currently no completely equivalent alternative herbicides or suitable mechanical control methods that have the same efficacy in suppressing weeds under vines in [...] Read more.
Chemical control of weeds with the herbicide glyphosate under vines in the vineyards is currently easy, effective, and cheap. There are currently no completely equivalent alternative herbicides or suitable mechanical control methods that have the same efficacy in suppressing weeds under vines in vineyards as glyphosate. Therefore, in this research, we tested two alternative technologies for controlling weeds under the vines as a counterweight to the predominant control approach with the herbicide glyphosate: (1) chemical control with pelargonic acid, acetic acid, and the plant extract-based fertilizer Stopeco® with herbicidal action, and (2) mechanical control with a combined tool consisting of a rotary star tiller and finger weeder. A comparative analysis was conducted on time and fuel consumption, the extent of the carbon footprint, grape yield, and quality, which showed that the tested alternative methods of weed control were not comparable to the herbicide glyphosate in terms of effectiveness in weed suppression but were comparable at grape yield. In our trial, at the number of treatments we performed, differences in environmental footprint between different treatments were significant (glyphosate variant 10.55–11.21 gha anno−1; other variants 7.48–8.08 gha anno−1). Alternative mechanical and chemical methods need to be applied at least three to four times a year to achieve results comparable to those from two applications of glyphosate. For this reason, it is possible that, in the case of a slightly increased number of passes by mechanical tools or a slightly increased number of sprayings with alternative preparations to reach the efficacy level of glyphosate treatments, the foot print parameter, CO2 emissions and global warming potential (GWP) parameter in alternative treatments would no longer be more favorable than when using the herbicide glyphosate twice a year. Full article
Show Figures

Figure 1

17 pages, 2050 KB  
Article
Using Virtual Drones to Mitigate the Bias Introduced by Sensor Wavelength Approximations in Crop Monitoring with Drones
by Pierre Bancal, Marie-Odile Bancal, Mélanie Heers and Jean Charles Deswartes
Agronomy 2025, 15(11), 2665; https://doi.org/10.3390/agronomy15112665 - 20 Nov 2025
Viewed by 519
Abstract
Remote sensing based on the reflectance of light at certain wavelengths enables the calculation of various vegetation indices (VIs) as proxies for agronomic variables. However, drone-mounted sensors have a limited number of bands, so the wavelengths defining VIs often have to be modified [...] Read more.
Remote sensing based on the reflectance of light at certain wavelengths enables the calculation of various vegetation indices (VIs) as proxies for agronomic variables. However, drone-mounted sensors have a limited number of bands, so the wavelengths defining VIs often have to be modified in line with sensor characteristics. This article addresses the problem of such wavelength shift based on experimental agronomic measurements and on reflectances acquired by both multispectral spectrophotometers and drone-mounted sensors. We demonstrate that wavelength shift can significantly affect VIs, particularly those using the red-edge band, compared to a multispectral reference. In the worst cases, the drone’s VI was not even correlated with its multispectral target. We therefore propose a calibration method using a “virtual drone” simulated from a complete dataset obtained by multispectral measurements in order to use sensors with a limited number of bands. Virtual drones can guide the choice of drone sensors, depending on the features to estimate, or facilitate the intercalibration of sensors for comparisons of the results of the literature studies. This study aims at providing the agronomist community with a method for intercomparing VIs acquired by drones. Full article
Show Figures

Figure 1

11 pages, 1090 KB  
Article
Influence of Temperature on the Autumn Population Structure of Rhopalosiphum padi (L.) in Western Poland
by Przemysław Strażyński, Wojciech Kubasik and Marcin Baran
Agronomy 2025, 15(11), 2664; https://doi.org/10.3390/agronomy15112664 - 20 Nov 2025
Viewed by 564
Abstract
The bird cherry–oat aphid (Rhopalosiphum padi L.) constitutes approximately 70–80% of all aphid individuals found on cereal crops in Poland. It is considered one of the most economically important cereal pests, causing indirect damage through virus transmission and leading to substantial yield [...] Read more.
The bird cherry–oat aphid (Rhopalosiphum padi L.) constitutes approximately 70–80% of all aphid individuals found on cereal crops in Poland. It is considered one of the most economically important cereal pests, causing indirect damage through virus transmission and leading to substantial yield losses in agricultural crops. Previous studies have shown that the anholocyclic development of this species is strongly correlated with temperature patterns. Between 2018 and 2022, an analysis of the population structure of R. padi (gynoparae, males, and anholocyclic forms) was conducted during the autumn periods using a Johnson suction trap in Western Poland (Greater Poland region), in an area cultivated mainly with cereals. In years with a higher number of days characterized by mean daily air temperatures known to induce changes in R. padi biology, a marked decrease in the proportion of males within autumn populations was observed, along with a delayed onset of their occurrence. In each year of the study, temperature conditions conducive to the development of anholocyclic forms of R. padi were recorded. The abundance of individual morphs and forms of R. padi in autumn collections using the Johnson suction trap was distinctly variable and characterized primarily by a relatively low proportion of males in the catches (except for the years 2020–2021) within the total number of aphids of this species collected. An opposite trend was observed in these years regarding the proportion of anholocyclic forms of R. padi (2.61% of the entire population in 2020 and 3.51% in 2021). Full article
(This article belongs to the Section Pest and Disease Management)
Show Figures

Figure 1

29 pages, 4768 KB  
Article
Enhancing the Valorization of Spent Pleurotus Substrate Through Anaerobic Digestion by Extracted Enzymes
by Diana Constantinescu-Aruxandei, Alexandru Vlaicu, Daria Gabriela Popa, Ștefan-Ovidiu Dima, Mălina Deșliu-Avram, Alin Cristian Nicolae Vintilă, Marius Ghiurea, Mihaela Cilțea-Udrescu, Ioana Popa-Tudor, Naomi Tritean, Georgeta Ramona Ivan, Cristian-Andi Nicolae, Mihaela Ganciarov, Gabriel Vasilievici and Florin Oancea
Agronomy 2025, 15(11), 2663; https://doi.org/10.3390/agronomy15112663 - 20 Nov 2025
Viewed by 961
Abstract
Spent mushroom substrate (SMS) could be used as a substrate in anaerobic digestion (AD), but some studies have reported modest production and yield of methane. Several solutions have been proposed to mitigate this issue, such as co-digestion with other substrates, various pretreatments, and [...] Read more.
Spent mushroom substrate (SMS) could be used as a substrate in anaerobic digestion (AD), but some studies have reported modest production and yield of methane. Several solutions have been proposed to mitigate this issue, such as co-digestion with other substrates, various pretreatments, and the use of additives. In this study we report for the first time the possibility of enhancing the process of methane production from spent Pleurotus substrate (SPS) using a pretreatment with enzymes recovered by a simple aqueous extraction from SPS. This represents an alternative to harsher chemical and physical pretreatment methods. The pretreatment increased the methane production from SPS by 16% at saturation, and a 25% faster anaerobic digestion process was obtained. After 2 days of AD, the methane volume for SPS + enzyme was 287 ± 9 NmL, approaching the maximum of 295 ± 14 NmL obtained for this variant, and was 39% more than SPS without pretreatment (207 ± 16 NmL). Pleurotus cultivation, AD, and the enzymes increased the crystallinity of the substrate. The enzymes increased the chemical oxygen demand, total carbon, and the concentration of pentanoic acid and 2-methyl-butanoic acid and decreased the concentration of hexanoic acid in the liquid digestate. The pretreatment increased, in general, the P and K content in the liquid and solid digestates. All data were compared with the hay used for Pleurotus cultivation. Full article
Show Figures

Figure 1

18 pages, 980 KB  
Article
Canopy-Level Regulation of Within-Boll Cotton Yield and Fiber Quality Under Staged Saline Water Supplemental Irrigation in Xinjiang
by Na Zhang, Yachen Yang, Wenxiu Xu, Penghao Zhong, Liang Wang, Rensong Guo, Tao Lin, Liwen Tian and Jianping Cui
Agronomy 2025, 15(11), 2662; https://doi.org/10.3390/agronomy15112662 - 20 Nov 2025
Viewed by 700
Abstract
Freshwater scarcity severely limits sustainable cotton production in arid regions. This study aimed to establish the optimal salinity threshold for staged saline water supplemental irrigation (SWSI) and elucidate its canopy-level mechanisms in optimizing within-boll yield components and fiber quality. A two-year field trial [...] Read more.
Freshwater scarcity severely limits sustainable cotton production in arid regions. This study aimed to establish the optimal salinity threshold for staged saline water supplemental irrigation (SWSI) and elucidate its canopy-level mechanisms in optimizing within-boll yield components and fiber quality. A two-year field trial (2023–2024) was conducted in Awati County, Xinjiang, using mulched drip irrigation at five SWSI levels (3.5–9.5 g L−1) and a freshwater control (CK). Compared with CK, 3.5 g L−1 treatment significantly increased lint yield by 31.4%, boll number per plant by 22.45%, and fibers per seed by 6.01–10.59%, while fiber length and strength rose by 6.98–10.38% and 2.69–6.00%, respectively. When salinity reached 8.0 g L−1, yield declined by 8.5%, and a salinity of 9.5 g L−1 reduced yield by 24.52%. Spatially, mid-fruiting branches (nodes 4–6) remained stable, maintaining high lint mass per seed even under high salinity, whereas upper branches (≥node 7) were most sensitive; at 9.5 g L−1, the boll number (0.36) was 56.6% lower than at 3.5 g L−1 (0.83), and the Q-score decreased by 6.7%. These results demonstrate that SWSI with ≤5.0 g L−1 salinity (optimum 3.5 g L−1) simultaneously enhances lint yield and fiber quality, providing a practical strategy for efficient saline water use in arid cotton regions. Full article
Show Figures

Figure 1

19 pages, 502 KB  
Article
Determination of Soil Micronutrient Critical Values Using Mehlich 3 Extractant for Principal Field Crops
by Jolanta Korzeniowska, Ewa Stanislawska-Glubiak and Wojciech Lipinski
Agronomy 2025, 15(11), 2661; https://doi.org/10.3390/agronomy15112661 - 20 Nov 2025
Cited by 1 | Viewed by 1340
Abstract
Reliable soil critical values (SCVs) for micronutrients are essential for accurate fertilizer recommendations. This study established crop-specific SCVs for boron (B), copper (Cu), iron (Fe), manganese (Mn), and zinc (Zn) extracted with Mehlich-3 under Polish soil and climatic conditions. Extensive paired soil–plant datasets [...] Read more.
Reliable soil critical values (SCVs) for micronutrients are essential for accurate fertilizer recommendations. This study established crop-specific SCVs for boron (B), copper (Cu), iron (Fe), manganese (Mn), and zinc (Zn) extracted with Mehlich-3 under Polish soil and climatic conditions. Extensive paired soil–plant datasets were collected for wheat (n = 1921), oilseed rape (n = 1944), and maize (n = 916) across all provinces. Micronutrients were determined in all soil and plant samples, with soil extractions performed using the Mehlich-3 method. Two plant-based calibration approaches were applied: (i) regression models linking the bioaccumulation factor (plant-to-soil concentration ratio) to soil properties, and (ii) the highyield method, defining SCVs as the lower quintile of micronutrient levels in soils from high-yielding fields. Both approaches yielded comparable results. Soil pH, organic carbon, available phosphorus, and texture were the key variables influencing SCVs, which differed among crops and elements: B and Mn were pH-dependent, Cu correlated with organic carbon, while Fe and Zn were associated with phosphorus or texture. Final SCVs ranged from B 0.10–0.90, Cu 1.0–2.2, Fe 160–280, Mn 30–75, and Zn 2.5–7.0 mg kg−1, depending on crop and soil class. These empirically derived, crop-specific Mehlich-3 SCVs provide a robust basis for micronutrient diagnostics and fertilizer management in temperate agricultural soils. Full article
Show Figures

Figure 1

21 pages, 2352 KB  
Article
Forage Quality and Yield Enhancement via Wolfberry (Lycium barbarum L.)–Forage Intercropping System
by Ruitao Li, Lizhen Zhu, Gaixia Qiao, Xiongxiong Nan, Fang Wang, Yali Wang, Zelong Yu, Rong Qu, Hao Wang, Yu Li and Xudong Gu
Agronomy 2025, 15(11), 2660; https://doi.org/10.3390/agronomy15112660 - 20 Nov 2025
Viewed by 823
Abstract
The agroforestry system, which integrates the strategic intercropping of trees and grasses, is profoundly shaped by complex ecological interactions that dynamically reshape microclimatic environments and significantly impact the growth of understory forage species. Wolfberry–forage intercropping patterns have the potential to improve soil quality [...] Read more.
The agroforestry system, which integrates the strategic intercropping of trees and grasses, is profoundly shaped by complex ecological interactions that dynamically reshape microclimatic environments and significantly impact the growth of understory forage species. Wolfberry–forage intercropping patterns have the potential to improve soil quality and orchard productivity, but their effects on forage cover crops are still unclear. Therefore, this study selects wolfberry and nine forage grass as research subjects to examine the effects of intercropping these species on the morphological characteristics, yield, quality, photosynthetic capacity, and plant physiology of forage grass. Based on experimental data, cover cropping facilitated plant growth, maintained fruit yield, and promoted leaf photosynthesis in forage compared with monocropping. This was exemplified by a notable increase in forage plants under the intercropping system, for the number of primary branches or tillers, and an improvement in the drying ratio of forage grasses, while reducing plant height, leaf-to-stem ratio, and photosynthetic rate (p < 0.05). Furthermore, the intercropping system significantly enhances the dry weight yield of alfalfa, ryegrass, and mangold, with increases of 60%, 64%, and 70%, respectively (p < 0.05). Additionally, it improves forage quality by increasing the crude protein content in ryegrass and mangold by 32% and 10%, respectively, and decreasing acid detergent fiber content by 10% and 18% (p < 0.05). Collectively, the results indicated that mangold, ryegrass, and alfalfa were the optimal cover crops for sustainable wolfberry production in the study area. The use of appropriate wolfberry–forage cover crops enhanced hay yield and the quality of forage by stimulating photosynthetic capacity and biotic stress resistance. Our research elucidates the mechanisms underlying the effects of intercropping systems on forage grass growth, aiming to provide a scientific basis for the development of animal husbandry and the rational utilization of land resources in the Ningxia region. Full article
(This article belongs to the Section Grassland and Pasture Science)
Show Figures

Figure 1

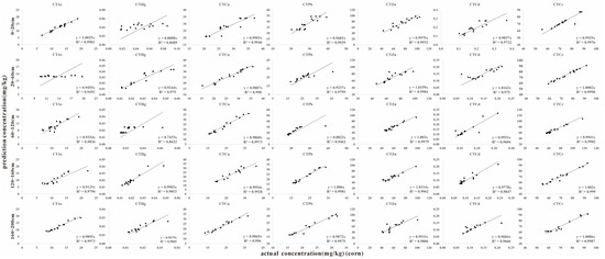
14 pages, 3004 KB  
Article
High-Throughput Analysis of Lignocellulosic Components in Miscanthus spp. Utilizing Near-Infrared Spectroscopy Integrated with Feature Selection Algorithms
by Bin Liu, Yu Huang, Lan Gu, Sheng Wang, Shuai Xue, Tongcheng Fu, Zili Yi, Jie Li, Xiaoyu Wang, Chaochen Tang and Meng Li
Agronomy 2025, 15(11), 2659; https://doi.org/10.3390/agronomy15112659 - 20 Nov 2025
Viewed by 709
Abstract
Rapid, non-destructive assessment of biomass composition is essential for advancing Miscanthus spp. breeding and bioenergy production. This study aimed to develop and validate high-throughput near-infrared spectroscopy (NIRS) models for key chemical components in Miscanthus biomass. A robust calibration set was constructed from 107 [...] Read more.
Rapid, non-destructive assessment of biomass composition is essential for advancing Miscanthus spp. breeding and bioenergy production. This study aimed to develop and validate high-throughput near-infrared spectroscopy (NIRS) models for key chemical components in Miscanthus biomass. A robust calibration set was constructed from 107 diverse samples by combining two key species, Miscanthus sacchariflorus and M. lutarioriparius, to enhance chemical variability and create broadly applicable models. Partial Least Squares (PLS) regression models were developed using this dataset, comparing full-spectrum performance against models optimized with three feature selection algorithms: CARS, VCPA-GA, and VCPA-IRIV. All feature selection methods significantly enhanced predictive accuracy. Notably, the CARS-PLS models yielded excellent performance for cellulose (R2v = 0.98; RPD = 7.38), hemicellulose (R2v = 0.95, RPD = 4.35), lignin (R2v = 0.96, RPD = 5.40), and moisture (R2v = 0.98, RPD = 7.18), while the VCPA-IRIV-PLS model was superior for ash content (R2v = 0.96, RPD = 5.13). Overall, NIRS coupled with advanced feature selection provides a powerful, rapid protocol for Miscanthus biomass analysis, poised to accelerate germplasm evaluation and industrial quality control in the bioenergy sector. Full article
Show Figures

Figure 1

16 pages, 1656 KB  
Article
Simulation of the Fate of Triclosan in a Paddy Soil Co-Contaminated with Graphene Nanomaterials: Enhanced Formation of Bound Residues and Potential Long-Term Risks
by Yishun Hu, Xuanyun Pan, Mengdie Yang, Zegang Wang, Jiageng Yu, Haiyan Wang, Zhen Yang, Huan Xiao and Enguang Nie
Agronomy 2025, 15(11), 2658; https://doi.org/10.3390/agronomy15112658 - 20 Nov 2025
Cited by 1 | Viewed by 439
Abstract
The co-occurrence of graphene-based nanomaterials such as reduced graphene oxide (RGO) and triclosan in agricultural soils is an emerging concern. This study investigates the impact of RGO on the formation and characteristics of bound residues (BRs) of triclosan in paddy soil using 14 [...] Read more.
The co-occurrence of graphene-based nanomaterials such as reduced graphene oxide (RGO) and triclosan in agricultural soils is an emerging concern. This study investigates the impact of RGO on the formation and characteristics of bound residues (BRs) of triclosan in paddy soil using 14C-isotope tracing and LC-QTOF-MS. Results demonstrate that RGO significantly enhances the accumulation of triclosan BR in a dose-dependent manner, with the highest concentration (1.19 mg kg–1; 57.0%) observed at 500 mg kg–1 RGO. While the BR is primarily associated with the humin fraction (>63.8%), RGO shifts the distribution of 14C-triclosan, enhancing its retention in humin by 1.89–7.59% and in humic acid by 20.7–52.1%. RGO may increase the sequestered BR (8.8–24.7%), and it enhances the covalent BR of triclosan by increasing the proportions of both ether- (3.78–4.58%) and ester-bound (22.8–39.5%) forms. Metabolite analysis reveals limited transformation of triclosan (0.057–0.082 mg kg–1) in BRs, with carboxylated derivatives identified as minor products. The findings indicate that RGO enhances the persistence of triclosan BRs, which may be attributed to strong adsorption and microbial inhibition, raising concerns about their potential future remobilization and entry into the food chain. This underscores the need to assess the ecological risks of nanomaterial co-contamination for soil health and sustainable agriculture. Full article
(This article belongs to the Section Agricultural Biosystem and Biological Engineering)
Show Figures

Figure 1

28 pages, 5181 KB  
Article
Oxalic Acid Pretreatment of Cotton Straw Enhances Its Salt Adsorption and Water Retention Capacity—A Soil-Amending Strategy for Saline Soil
by Changshuai Guo, Mengyao Sun, Zhihui Zhao, Le Wen, Yingzi Du, Xianxian Sun, Xudong Jing and Fenghua Zhang
Agronomy 2025, 15(11), 2657; https://doi.org/10.3390/agronomy15112657 - 20 Nov 2025
Viewed by 839
Abstract
Straw return is a potential practice for adsorbing salt and retaining moisture in saline–alkali soils. However, adverse climate conditions such as prolonged drought and cold winters shorten the effective structural turnover of returned straw biomass in soils. Furthermore, the rigid crystalline cell walls [...] Read more.
Straw return is a potential practice for adsorbing salt and retaining moisture in saline–alkali soils. However, adverse climate conditions such as prolonged drought and cold winters shorten the effective structural turnover of returned straw biomass in soils. Furthermore, the rigid crystalline cell walls and recalcitrant lignin components of undecomposed plant residues lower the adsorption capacity towards salt. Here, we report the pretreatment of neutral oxalic acid to destroy the dense crystalline structure of cotton straw cellulose. Through laboratory experiments, combined with the changes in the structural and chemical properties of cotton straw, the optimal oxalic acid pretreatment (OAC) conditions were determined. Subsequently, the application effectiveness of OAC was evaluated via pot experiments and field trials. The optimal conditions of OAC were 0.2% dosage, 60 °C, and 24 h, displaying a maximum increase in salt absorption and water retention capacities of cotton straw materials, through exposing the hydroxyl network of cellulose and chemically hydrolyzing recalcitrant lignin. In the indoor potted plant experiments, the feasible application of oxalic acid pretreatment can be regarded as an active barrier, increasing soil moisture by 16–43% and reducing total salts by 23–26% in the topsoil (0–20 cm) within a 45-day laboratory incubation. Additionally, the OAC pretreatment had negligible adverse impacts on soil microbial communities. Moreover, some plant-beneficial microbes (e.g., Sphingomonadaceae and Gemmatimonadaceae) were stimulated, with their relative abundance increasing by 26–40% and 27–63%, respectively. Ultimately, under the pretreatment of oxalic acid-modified cotton straw salt-absorbing water-retention agent (OAC-SR), cotton seedling emergence rates, plant height, and biomass all increased to varying degrees across different concentrations of saline–alkali soil (0.05–1.0%) in the field. Then OAC-SR can be potentially applied to the process of cotton straw return to facilitate the turnover of straw structure in soil, enhance the salt-adsorption and water-retention capacities of returned straw, and provide a low-salt microenvironment for crop growth. This study demonstrates a further low-carbon and in situ applicable route to accelerate the destruction of cotton straw structure, thereby alleviating crop salt damage and promoting the green circular development of saline–alkali soil remediation. Full article
(This article belongs to the Section Agricultural Biosystem and Biological Engineering)
Show Figures

Figure 1

12 pages, 578 KB  
Article
Organic Fertilization vs. the Quality of Basil Raw Material
by Katarzyna Dzida, Karolina Pitura and Anna Król
Agronomy 2025, 15(11), 2656; https://doi.org/10.3390/agronomy15112656 - 19 Nov 2025
Cited by 1 | Viewed by 990
Abstract
Basil (Ocimum basilicum L.) is one of the most widely cultivated herbal plants, valued in the food and pharmaceutical industries for its abundance of bioactive compounds, and also as an ornamental plant. The contents of its bioactive compounds are strongly influenced by [...] Read more.
Basil (Ocimum basilicum L.) is one of the most widely cultivated herbal plants, valued in the food and pharmaceutical industries for its abundance of bioactive compounds, and also as an ornamental plant. The contents of its bioactive compounds are strongly influenced by both environmental and anthropogenic factors, among which fertilization plays a key role. This study aimed to evaluate the effects of different application doses (5, 10, 15, and 20 g·dm−3 of substrate) of an organic fertilizer (granulated cattle manure) on the fresh biomass yield and quality of two basil varieties: lemon basil and cinnamon basil. The applied manure doses significantly affected the fresh biomass yield of O. basilicum L. Both basil variety and fertilizer dose were found to determine the content of L-ascorbic acid and nitrates in the plants. Increasing manure doses resulted in higher contents of N, P, and K, as well as decreased contents of Ca and Mg in plants of both varieties. Full article
(This article belongs to the Section Soil and Plant Nutrition)
Show Figures

Figure 1

25 pages, 2364 KB  
Article
Urea-N Activated Biochar Effectively Suppresses CO2 and N2O Emissions from Farmland Soil
by Xiao Wang, Yudong Zheng, Xuetong Liu, Dan Liu, Caiyun Cao, Kejiang Li, Ping Lu, Peiling Yang, Huiguang Wang, Chunlian Zheng and Hongkai Dang
Agronomy 2025, 15(11), 2655; https://doi.org/10.3390/agronomy15112655 - 19 Nov 2025
Viewed by 872
Abstract
The inconsistent efficacy of biochar in mitigating agricultural greenhouse gas emissions remains a major barrier to its widespread adoption and the realization of its environmental benefits. This study aimed to develop a stable and efficient mitigation strategy by optimizing biochar physicochemical properties through [...] Read more.
The inconsistent efficacy of biochar in mitigating agricultural greenhouse gas emissions remains a major barrier to its widespread adoption and the realization of its environmental benefits. This study aimed to develop a stable and efficient mitigation strategy by optimizing biochar physicochemical properties through urea-N activation (corn stover: urea mass ratios of 5:1 and 15:1). Five treatments were established: CK (control), GC (fertilization), GB (fertilization + raw biochar), GAB5 (fertilization + low-N activated biochar), and GAB15 (fertilization + high-N activated biochar). Mechanisms were elucidated by monitoring soil profile (0–20 cm) gas concentrations and surface fluxes, combined with a comprehensive analysis of soil physicochemical properties, enzyme activities, and microbial biomass. Results demonstrated that activated biochar, particularly GAB15, significantly reduced cumulative CO2 (9.4%, p < 0.05) and N2O (45.2%, p < 0.05) emissions and their concentrations in the 0–10 cm layer. This superior efficacy was linked to profound improvements in key soil properties: GAB15 significantly enhanced soil cation exchange capacity (CEC, increased by 17.3%, p < 0.05), NH4+-N content (increased by 88.2%, p < 0.05), Mean Weight Diameter (MWD, increased by 13.0%), the content of water-stable aggregates > 0.25 mm (R>0.25mm, increased by 57.3%) (p < 0.05), dissolved organic carbon (DOC), and the MBC (microbial biomass carbon)/MBN (soil microbial biomass nitrogen) ratio. Redundancy analysis (RDA) and structural equation modeling (SEM) revealed core mechanisms: CO2 mitigation primarily stemmed from the physical protection of organic carbon within macroaggregates and a negative priming effect induced by an elevated MBC/MBN ratio; N2O mitigation was attributed to weakened nitrogen mineralization due to enhanced aggregate stability and reduced substrate (inorganic N) availability for nitrification/denitrification via strong adsorption at the biochar–soil interface. This study confirms that urea-activated biochar produced at a 15:1 corn stover-to-urea mass ratio (GAB15) effectively overcomes the inconsistent efficacy of conventional biochar by targeted physicochemical optimization, offering a promising and technically feasible approach for mitigating agricultural greenhouse gas emissions. Full article
(This article belongs to the Special Issue Crop Management in Water-Limited Cropping Systems)
Show Figures

Figure 1

15 pages, 1842 KB  
Article
The Spatial and Temporal Variability of Soil-Water Evaporation as Influenced by Near-Surface Soil Porosities
by Lijie Li, Yili Lu, Lin Liu and Xiaoting Xie
Agronomy 2025, 15(11), 2654; https://doi.org/10.3390/agronomy15112654 - 19 Nov 2025
Viewed by 694
Abstract
Soil water evaporation rate (E) exhibits significant spatial and temporal variability under field conditions. Some studies demonstrated the influence of porosity (n) on soil-water evaporation processes. Still, the specific mechanisms for n affecting the spatial and temporal variability of [...] Read more.
Soil water evaporation rate (E) exhibits significant spatial and temporal variability under field conditions. Some studies demonstrated the influence of porosity (n) on soil-water evaporation processes. Still, the specific mechanisms for n affecting the spatial and temporal variability of E under transient field conditions remain poorly understood. This study addresses this research gap through continuous, high-frequency, millimeter-scale observations of soil temperature, thermal properties, and E dynamics in bare loamy sand and sandy loam soils. Using 11-needle heat pulse sensors, we monitored E on two experimental subplots with high n (H plot) and low n (L plot) treatments. During the observation period, soil evaporation primarily occurred within the 0–21 mm layer in the H plot and 0–15 mm layer in the L plot. Comparative analysis revealed distinct temporal dynamics and spatial progression patterns of E between two plots, despite a 7% n difference in Experiment 1 (n = 0.52 vs. 0.56) and 8% in Experiment 2 (n = 0.47 vs. 0.51). Specifically, in the H plot, the daily peak E consistently occurred earlier and exhibited greater magnitude across all depth increments compared to the L plot. Additionally, the evaporation process persisted longer within each depth increment of the L plot before transitioning to deeper soil layers. Quantitative analysis demonstrated that a 7% increase in n corresponded to an 18% increase in cumulative E. These findings emphasize the importance of considering n variations for accurately modelling and interpreting broader hydrologic and environmental processes. Full article
Show Figures

Figure 1

18 pages, 1429 KB  
Article
Enhanced Formation and Stability of Water-Stable Aggregates in Rhizosphere Soil over Bulk Soil with Exopolysaccharide from Rhizobium tropici: Insights from a Pot Study
by Liang Xiao, Xinyun Xie, Steve L. Larson, John H. Ballard, Qinku Zhang, Jing Nie, Huimin Zhang and Fengxiang X. Han
Agronomy 2025, 15(11), 2653; https://doi.org/10.3390/agronomy15112653 - 19 Nov 2025
Cited by 3 | Viewed by 870
Abstract
This study investigated the effects of exopolysaccharide (EPS) addition on the formation and stability of water-stable aggregates in rhizosphere and bulk soils. A pot experiment was conducted using soils treated with EPS concentrations of 0.00‰, 0.25‰, 0.50‰, and 1.00‰. Soil aggregates were fractionated [...] Read more.
This study investigated the effects of exopolysaccharide (EPS) addition on the formation and stability of water-stable aggregates in rhizosphere and bulk soils. A pot experiment was conducted using soils treated with EPS concentrations of 0.00‰, 0.25‰, 0.50‰, and 1.00‰. Soil aggregates were fractionated into four fractions, namely >2000 μm, 250–2000 μm, 53–250 μm, and <53 μm, and their stability was evaluated using mean weight diameter (MWD), geometric mean diameter (GMD), and fractal dimension (D). Results showed that EPS addition significantly increased the proportions of larger and macro aggregates (>2000 μm and 250–2000 μm) while reducing smaller particles (<53 μm), with rhizosphere soil exhibiting a stronger response compared to bulk soil. Aggregate stability indices (MWD and GMD) improved consistently with increasing EPS concentrations, while D decreased, indicating enhanced aggregates stability. Moderate EPS concentrations (0.25‰ and 0.50‰) were most effective in improving aggregate formation and stability and moderately enhanced plant biomass, particularly root biomass. Pearson correlation analysis revealed that macro-aggregate fractions (>2000 μm and 250–2000 μm) were positively correlated with each other but showed weak or non-significant relationships with plant biomass parameters. In particular, the 250–2000 μm fraction exhibited a weak negative correlation with total biomass (r = −0.37, p ≤ 0.05). These findings highlight the potential of moderate EPS concentrations to enhance soil structure and stability, particularly in rhizosphere soils, providing insights into its application for sustainable soil management. Full article
(This article belongs to the Section Farming Sustainability)
Show Figures

Graphical abstract

15 pages, 2254 KB  
Article
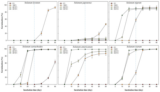
Seed Dormancy and Germination Characteristics in Six Solanum Species Distributed on the Korean Peninsula
by Ji-Yoon Park, Hyung-Ju Lee, Hyeon-Min Kim, Jun-Hyeok Kim, Do-Hyun Kim, Gyu-Young Chung, Chae-Sun Na and Seung Youn Lee
Agronomy 2025, 15(11), 2652; https://doi.org/10.3390/agronomy15112652 - 19 Nov 2025
Viewed by 1018
Abstract
Crop wild relatives (CWRs) are critical resources for crop improvement and addressing food security. The genus Solanum includes many wild species genetically related to major crops. However, seed propagation methods for Solanum taxa distributed on the Korean Peninsula are not well-established. In this [...] Read more.
Crop wild relatives (CWRs) are critical resources for crop improvement and addressing food security. The genus Solanum includes many wild species genetically related to major crops. However, seed propagation methods for Solanum taxa distributed on the Korean Peninsula are not well-established. In this study, seed morphology and effects of incubation conditions on germination and dormancy were evaluated in 6 Solanum species classified as CWRs in Korea: Solanum lyratum, S. japonense, S. nigrum, S. sarrachoides, S. americanum, and S. viarum. The seeds possessed fully developed embryos at the time of dispersal and the seed coats readily absorbed water. We investigated germination characteristics under various temperatures, cold stratification periods, and gibberellic acid (GA3) concentrations. Germination percentage of S. lyratum and S. japonense was significantly higher under cold stratification (≥62.0% after 12 weeks at 5 °C) or GA3 treatment (≥77.0% at 1000 mg·L−1) than for temperature treatment alone (≤3.0% at 25/15 °C), indicating non-deep physiological dormancy (PD). Seeds of S. nigrum, S. americanum, and S. viarum exhibited non-deep PD with conditional dormancy and higher germination efficiencies through GA3 1000 mg·L−1 than under temperature treatment alone (25/15 °C). Seeds of S. sarrachoides were classified as non-dormant. These findings may contribute to the practical mass propagation of Solanum. Full article
Show Figures

Figure 1

22 pages, 4907 KB  
Article
Detection of Fusarium Head Blight in Individual Wheat Spikes Using Monocular Depth Estimation with Depth Anything V2
by Jiacheng Wang, Jianliang Wang, Yuanyuan Zhao, Fei Wu, Wei Wu, Zhen Li, Chengming Sun, Tao Li and Tao Liu
Agronomy 2025, 15(11), 2651; https://doi.org/10.3390/agronomy15112651 - 19 Nov 2025
Cited by 1 | Viewed by 892
Abstract
Fusarium head blight (FHB) poses a significant threat to global wheat yields and food security, underscoring the importance of timely detection and severity assessment. Although existing approaches based on semantic segmentation and stereo vision have shown promise, their scalability is constrained by limited [...] Read more.
Fusarium head blight (FHB) poses a significant threat to global wheat yields and food security, underscoring the importance of timely detection and severity assessment. Although existing approaches based on semantic segmentation and stereo vision have shown promise, their scalability is constrained by limited training datasets and the high maintenance cost and complexity of visual sensor systems. In this study, AR glasses were employed for image acquisition, and wheat spike segmentation was performed using Depth Anything V2, a monocular depth estimation model. Through geometric localization methods—such as identifying abrupt changes in stem width—redundant elements (e.g., awns and stems) were effectively excluded, yielding high-precision spike masks (Precision: 0.945; IoU: 0.878) that outperformed leading semantic segmentation models including Mask R-CNN and DeepLabv3+. The study further conducted a comprehensive analysis of differences between diseased and healthy spikelets across RGB, HSV, and Lab color spaces, as well as three color indices: Excess Green–Excess Red (ExGR), Normalized Difference Index (NDI), and Visible Atmospherically Resistant Index (VARI). A dynamic fusion weighting strategy was developed by combining the Lab-a* component with the ExGR index, thereby enhancing visual contrast between symptomatic and asymptomatic regions. This fused index enabled quantitative assessment of FHB severity, achieving an R2 of 0.815 and an RMSE of 8.91%, indicating strong predictive accuracy. The proposed framework offers an intelligent, cost-effective solution for FHB detection, and its core methodologies—depth-guided segmentation, geometric refinement, and multi-feature fusion—present a transferable model for similar tasks in other crop segmentation applications. Full article
Show Figures

Figure 1

45 pages, 6699 KB  
Review
End-Effectors for Fruit and Vegetable Harvesting Robots: A Review of Key Technologies, Challenges, and Future Prospects
by Jiaxin Ao, Wei Ji, Xiaowei Yu, Chengzhi Ruan and Bo Xu
Agronomy 2025, 15(11), 2650; https://doi.org/10.3390/agronomy15112650 - 19 Nov 2025
Cited by 4 | Viewed by 3686
Abstract
In recent years, agricultural production activities have been advancing towards mechanization and intelligence to bridge the growing gap between the high labor intensity and time sensitivity of harvesting operations and the limited labor resources. As the component that directly interacts with target crops, [...] Read more.
In recent years, agricultural production activities have been advancing towards mechanization and intelligence to bridge the growing gap between the high labor intensity and time sensitivity of harvesting operations and the limited labor resources. As the component that directly interacts with target crops, the end-effector is a crucial part of agricultural harvesting robots. This paper first reviews their materials, number of fingers, actuation methods, and detachment techniques. Analysis reveals that three-fingered end-effectors, known for their stability and ease of control, are the most prevalent. Soft materials have gained significant attention due to their flexibility and low-damage characteristics, while the emergence of variable stiffness technology holds promise for addressing their issues of poor stability and fragility. The introduction of bionics and composite concepts offers potential for enhancing the performance of end-effectors. Subsequently, starting from an analysis of the biomechanical properties of fruits and vegetables, the relationship between mechanical damage and the intrinsic parameters of produce is elucidated. On the other hand, practical and efficient finite element analysis has been applied to various stages of end-effector research, such as structural design and grasping force estimation. Given the importance of compliance control, this paper explores the current research status of various control methods. It emphasizes that while hybrid force–position control often suffers from frequent controller switching, which directly affects real-time performance, active admittance control and impedance control directly convert external forces or torques into the robot’s reference position and velocity, resulting in more stable and flexible external control. To enable a unified comparison of end-effector performance, this review proposes a progressive comparison framework centered on control philosophy, comprising the ontological characteristic layer, physical interaction layer, feedback optimization layer, and task layer. Additionally, in response to the current lack of scientific rigor and systematization in performance evaluation systems for end-effectors, performance evaluation criteria (harvest success rate, harvest time, and damage rate) are defined to standardize the characterization of end-effector performance. Finally, this paper summarizes the challenges faced in the development of end-effectors and analyzes their causes. It highlights how emerging technologies, such as digital twin technology, can improve the control accuracy and flexibility of end-effectors. Full article
(This article belongs to the Section Precision and Digital Agriculture)
Show Figures

Figure 1

15 pages, 1740 KB  
Article
Evaluation of the Symbiotic Effects of Bradyrhizobium elkanii Y63-1 Inoculation on Soybean Zhongdou 63
by Lu Lu, Piao Leng, Fuxiao Jin, Jiayu Lu, Qianqian Hu, Wanwan Liang, Yi Huang, Chanjuan Zhang, Chao Li, Zhuang Xu, Zhonglu Yang, Shuilian Chen, Songli Yuan and Haifeng Chen
Agronomy 2025, 15(11), 2649; https://doi.org/10.3390/agronomy15112649 - 19 Nov 2025
Cited by 1 | Viewed by 591
Abstract
Our previous studies identified a new efficient and broad-spectrum rhizobium strain Bradyrhizobium elkanii Y63-1. This study evaluated the symbiotic effects of Y63-1 inoculation on Zhongdou 63 (ZD63) in native environments and under different nitrogen levels. The evaluation of symbiotic effects in native environments [...] Read more.
Our previous studies identified a new efficient and broad-spectrum rhizobium strain Bradyrhizobium elkanii Y63-1. This study evaluated the symbiotic effects of Y63-1 inoculation on Zhongdou 63 (ZD63) in native environments and under different nitrogen levels. The evaluation of symbiotic effects in native environments was conducted through pot experiments and field trials. Pot experiments were performed in greenhouse using three soil types. Field trials were conducted in three regions with different soil nitrogen levels. The symbiotic effect of soybean ZD63 inoculated with Y63-1 under different nitrogen levels was investigated through pot experiments in greenhouse. The results showed that Y63-1 is more competitive than the indigenous rhizobia of the three soil types in the nodulation of soybean ZD63. The nodulation ability and yield-related traits of soybean ZD63 were improved after inoculation with Y63-1 in the three regions, especially in Hanchuan, where the soil nitrogen level is relatively rich. The symbiotic effect of soybean ZD63 inoculated with Y63-1 in a pot experiment with four levels of N from 0 to 3.75 mmol/L was superior at N 2.81 mmol/L. Our findings provided technical support for the application of Y63-1 in China, and a theoretical basis for increasing the yield potential of soybean through inoculation with highly efficient rhizobia in agricultural production. Full article
(This article belongs to the Special Issue The Rhizobium-Legume Symbiosis in Crops Production)
Show Figures

Figure 1

13 pages, 2049 KB  
Article
Diffusion Probabilistic Models for NIR Spectral Data Augmentation in Precision Agriculture
by Changxu Hu, Huihui Wang, Pengzhi Hou, Jiaxuan Nan, Xiaoxue Che, Yaqi Wang, Yangfan Bai, Bingjun Chen, Yuyuan Miao, Wuping Zhang, Fuzhong Li and Jiwan Han
Agronomy 2025, 15(11), 2648; https://doi.org/10.3390/agronomy15112648 - 19 Nov 2025
Cited by 1 | Viewed by 1238
Abstract
Near-infrared (NIR) spectroscopy is a rapid, non-destructive tool widely used in agriculture, but limited labeled spectra often constrain model robustness. To address this, we propose using denoising diffusion probabilistic models (DDPMs) for NIR data augmentation. Leveraging the SpectraFood leek dataset, a conditional MLP-DDPM [...] Read more.
Near-infrared (NIR) spectroscopy is a rapid, non-destructive tool widely used in agriculture, but limited labeled spectra often constrain model robustness. To address this, we propose using denoising diffusion probabilistic models (DDPMs) for NIR data augmentation. Leveraging the SpectraFood leek dataset, a conditional MLP-DDPM was trained to generate realistic synthetic spectra guided by dry matter content. Incorporating 1000 generated spectra into the training set improved the predictive performance of PLSR, RF, and XGBoost models, demonstrating enhanced generalization and robustness. Compared with WGAN, DDPM offered higher stability and fidelity, effectively expanding the calibration space without introducing unrealistic patterns. Future work will explore conditional and hybrid diffusion frameworks, integrating environmental and physiological covariates, and cross-domain spectral transfer, extending the applicability of DDPMs for diverse crops and precision agriculture scenarios. Full article
(This article belongs to the Section Precision and Digital Agriculture)
Show Figures

Figure 1

36 pages, 13729 KB  
Article
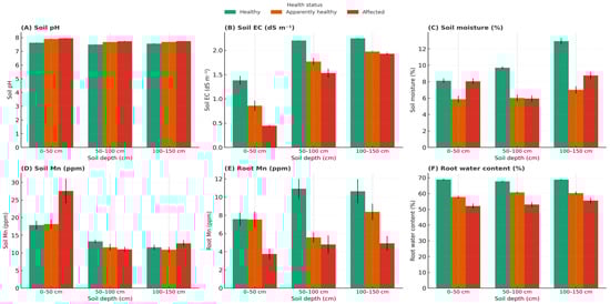
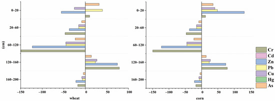
Ecological Load and Migration of Heavy Metals in Soil Profiles in Wheat–Corn Rotation Systems
by Yi Zhang, Kunling Zheng, Yinxian Song, Tengjie Cui, Zhongyao Chen and Chunjun Tao
Agronomy 2025, 15(11), 2647; https://doi.org/10.3390/agronomy15112647 - 18 Nov 2025
Viewed by 988
Abstract
Heavy metal contamination in agricultural soils is a critical global concern, threatening ecosystem safety and food security. The wheat–corn rotation system, vital for food production in regions like Northern China, is particularly vulnerable. However, comprehensive studies investigating vertical migration, future dynamics under climate [...] Read more.
Heavy metal contamination in agricultural soils is a critical global concern, threatening ecosystem safety and food security. The wheat–corn rotation system, vital for food production in regions like Northern China, is particularly vulnerable. However, comprehensive studies investigating vertical migration, future dynamics under climate change, and predictive modeling of heavy metals within this system are still limited. This study combined field sampling of soil profiles (0–200 cm) with geochemical modeling (the PROFILE and SSCL models) and machine learning techniques (Multiple Regression, Neural Networks, and Random Forest). Key findings revealed that atmospheric deposition was the primary input source for most heavy metals, contributing 49.50–93.27%. The release rates (Rm) of heavy metals were significantly higher during the corn season than the wheat season and are projected to increase by 1.2–1.5 times under the RCP4.5 climate scenario. Vertical distribution analysis showed a significant accumulation of heavy metals in the middle soil layer (20–120 cm), with Arsenic (As) and Cadmium (Cd) exhibiting the strongest migration potential, posing a threat to groundwater. The Random Forest model demonstrated superior performance (R2 > 0.95) in predicting heavy metal behavior, identifying Fed and soil TOC as the dominant controlling factors. This study provides a unique and significant contribution by integrating geochemical fate modeling with climate projections and advanced machine learning to offer a predictive, multi-faceted risk assessment framework, thereby supplying a scientific basis for targeted pollution control and sustainable soil management in wheat–corn rotation systems under a changing climate. Full article
(This article belongs to the Section Soil and Plant Nutrition)
Show Figures

Graphical abstract

16 pages, 834 KB  
Article
The Influence of Freeze–Thaw Processes and the Organic Supplementation on the Structural Parameters of Luvisol
by Piotr Gajewski
Agronomy 2025, 15(11), 2646; https://doi.org/10.3390/agronomy15112646 - 18 Nov 2025
Viewed by 564
Abstract
From an agronomic perspective, the most important property of soil aggregates is their stability. The stability of the soil structure can vary greatly, even over a short time. In this context many authors draw attention to the influence that climatic factors have on [...] Read more.
From an agronomic perspective, the most important property of soil aggregates is their stability. The stability of the soil structure can vary greatly, even over a short time. In this context many authors draw attention to the influence that climatic factors have on the stability of aggregates. The process of freeze–thaw cycles (FTC) could result in changes in the aggregates’ stability. The research objective was to determine the effect of alternating freeze–thaw cycles on selected parameters of soil structure in Luvisol depending on the type and duration of action of organic supplementation. Cyclic freeze–thaw (FT) processes significantly modified most of the analysed properties of soil aggregates. This effect was usually not modified by organic supplementation, nor by its duration of action. FT cycles reduced the density of soil aggregates. FT cycles reduced the resistance of soil aggregates to dynamic and static water action. Despite the lower resistance to the destructive action of water, the decomposition of primary aggregates resulted in a more favourable size distribution of secondary aggregates in aggregates subjected to FT cycles. The research objective was to determine the effect of alternating freeze–thaw cycles on selected parameters of soil structure in Luvisol depending on the type and duration of action of organic supplementation. Full article
(This article belongs to the Section Soil and Plant Nutrition)
Show Figures

Figure 1

18 pages, 4082 KB  
Article
Transcriptomic and Metabolomic Analysis Reveals the Role of Exogenous GA3 in Regulating Strawberry Fruit Development via Auxin Signaling
by Han Gao, Shen Chen, Yu Cheng, Weiwen Wu, Qijia Chen and Hongsheng Gao
Agronomy 2025, 15(11), 2645; https://doi.org/10.3390/agronomy15112645 - 18 Nov 2025
Cited by 1 | Viewed by 885
Abstract
Gibberellins (GAs) are pivotal phytohormones regulating fruit development, yet the molecular mechanisms by which they modulate strawberry fruit size and quality remain elusive. Here, we investigated the effects of exogenous GA3 on the fruit development of the cultivated strawberry (Fragaria × [...] Read more.
Gibberellins (GAs) are pivotal phytohormones regulating fruit development, yet the molecular mechanisms by which they modulate strawberry fruit size and quality remain elusive. Here, we investigated the effects of exogenous GA3 on the fruit development of the cultivated strawberry (Fragaria × ananassa ‘Benihoppe’). Treatment with 20 mg/L GA3 significantly promoted fruit enlargement, advanced ripening by 7 days, and increased fruit weight and dimensions. Integrated transcriptomic and targeted metabolomic analyses revealed that GA3 application induced a substantial reprogramming of the endogenous hormone landscape, notably triggering a significant increase in auxin (IAA) levels. Transcriptome profiling identified numerous differentially expressed genes (DEGs), with KEGG enrichment analysis highlighting the “plant hormone signal transduction” pathway as the most significantly enriched. Further analysis pinpointed key DEGs involved in auxin signaling (AUX/IAA, ARF, GH3, and SAUR) and gibberellin perception (GID1), suggesting a central role for auxin-mediated processes in GA3-induced fruit expansion. We propose that exogenous GA3 promotes strawberry fruit development through a synergistic mechanism: (1) enhancing the biosynthesis of endogenous bioactive GAs; (2) activating auxin signal transduction pathways to drive cell expansion; and (3) attenuating the repression of DELLA proteins. Our study unveils the critical role of the GA3-IAA signaling axis in strawberry fruit development, providing a theoretical foundation for harnessing hormone regulation to improve fruit yield and quality in strawberry production. Full article
(This article belongs to the Section Plant-Crop Biology and Biochemistry)
Show Figures

Figure 1

30 pages, 456 KB  
Review
The Current Status and Prospects of Molecular Marker Applications in Head Cabbage (Brassica oleracea var. capitata L.): A Review
by Ilya V. Strembovskiy and Pavel Yu. Kroupin
Agronomy 2025, 15(11), 2644; https://doi.org/10.3390/agronomy15112644 - 18 Nov 2025
Cited by 1 | Viewed by 1114
Abstract
Modern head cabbage (Brassica oleracea var. capitata L.) breeding is based on the application of molecular markers through marker-assisted selection (MAS). In hybrid breeding, critical markers are deployed to assess cytoplasmic male sterility (CAPS and SSR for orf138), genic male sterility [...] Read more.
Modern head cabbage (Brassica oleracea var. capitata L.) breeding is based on the application of molecular markers through marker-assisted selection (MAS). In hybrid breeding, critical markers are deployed to assess cytoplasmic male sterility (CAPS and SSR for orf138), genic male sterility (KASP markers for Ms-cd1, InDel for ms3, and BoCYP704B1), fertility restoration (InDel marker for Rfo), combining ability and genetic diversity (using SSR and KASP marker sets), and to ensure F1 hybrid seed genetic purity (RAPD and SSR markers sets). Disease resistance, a well-developed category due to frequent monogenic control, includes markers for major pathogens, including those for Fusarium wilt (for Foc-Bo1 gene), black rot (race 1–7 specific SSR and InDel markers), clubroot (Kamogawa, Anno, and Yuki isolates), and downy mildew (BoDMR2 InDel marker). Markers have also been identified for key agronomic and morphological traits, such as those governing petal color (InDel markers for BoCCD4), leaf waxiness (BoGL1, BoGL-3, Cgl1, Cgl2, BoWax1, and BoCER2), and leaf color (ygl-1, BoMYB2, BoMYBL2-1). The review also included markers for resistance to abbioticaly induced negative physiological processes, such as head splitting (QTL SPL-2-1, Bol016058), bolting (resistance loci-associated SSR marker), prolonged flowering time (BoFLC1,2 genes), and high- and low-temperature tolerance (BoTPPI-2, BoCSDP5, BoCCA1). Despite these advancements, the review highlights that the marker repertoire for cabbage remains limited compared with other Brassicaceae species, particularly for complex polygenic traits. This synthesis is a valuable resource for breeders and researchers, facilitating the development of superior head cabbage cultivars and hybrids. Full article
(This article belongs to the Section Crop Breeding and Genetics)
22 pages, 2800 KB  
Review
Biostimulants as a Tool for Mitigating Water Deficit Stress in Strawberry Cultivation
by Júlia Letícia Cassel, Laura Valentina Caus Maldaner, Mateus Possebon Bortoluzzi, Luciane Maria Colla, Francisco Wilson Reichert Junior, Pedro Palencia and José Luís Trevizan Chiomento
Agronomy 2025, 15(11), 2643; https://doi.org/10.3390/agronomy15112643 - 18 Nov 2025
Cited by 3 | Viewed by 1458
Abstract
This bibliometric review analyzed research published between 2020 and 2025 addressing water stress in strawberry plants and evidenced the use of biostimulants as a promising tool in mitigating this stress. Water requirement of strawberry plants varies according to the agroecosystem of cultivation and [...] Read more.
This bibliometric review analyzed research published between 2020 and 2025 addressing water stress in strawberry plants and evidenced the use of biostimulants as a promising tool in mitigating this stress. Water requirement of strawberry plants varies according to the agroecosystem of cultivation and genotype used to establish the crop. Strawberry plants develop large leaves with a high water content and stomata, which results in high transpiration rates. Under water deficit, the photosynthetic capacity of the plant is reduced and the water content in the leaves is lower. Additionally, molecules such as proline, catalase, and peroxidase are produced, indicating enzymatic oxidative stress. Conversely, the fruit quality is positively influenced when the plant suffers water restrictions (up to 75% of the pot/field capacity). The use of biostimulants represents a potential biotool to mitigate water deficit in strawberry plants, such as the application of organic acids, plant extracts, seaweed, bacteria, and fungi. The use of these products in situations of water deficit or aiming at a reduction in water consumption is still a topic of research gaining attention. Therefore, the application of biostimulants combined with irrigation management with lower water consumption corroborates the search for more productive and sustainable agri-food systems. Full article
(This article belongs to the Section Horticultural and Floricultural Crops)
Show Figures

Figure 1

25 pages, 7528 KB  
Article
Dynamics of Soil Organic Carbon Mineralization Under Straw Addition: Evidence from a Controlled Incubation Experiment
by Xiaoyan Ren, Liqun Cai, Jun Wu, Muhammad Kashif Ahmad and Fasih Ullah Haider
Agronomy 2025, 15(11), 2642; https://doi.org/10.3390/agronomy15112642 - 18 Nov 2025
Cited by 1 | Viewed by 1071
Abstract
Returning straw to the soil is increasingly recognized as a sustainable practice that enhances soil fertility and promotes carbon sequestration. However, it can also accelerate the decomposition of soil organic carbon (SOC) and CO2 emissions, raising concerns about carbon loss. This study [...] Read more.
Returning straw to the soil is increasingly recognized as a sustainable practice that enhances soil fertility and promotes carbon sequestration. However, it can also accelerate the decomposition of soil organic carbon (SOC) and CO2 emissions, raising concerns about carbon loss. This study aimed to clarify the biological and environmental drivers of SOC mineralization across soil depths in a semi-arid system. A 79-day incubation experiment was conducted using wheat straw applied at four rates (0, 3500, 7000, and 14,000 kg ha−1) to soils from 0–10, 10–20, and 20–30 cm. Cumulative CO2 release, SOC, dissolved organic carbon (DOC), and extracellular enzyme activities were quantified, and relationships were analyzed using correlation and structural equation modeling. Compared with the control, straw return increased cumulative CO2 emissions by 48–126%, SOC by 9–21%, and DOC by 17–32%. Enzyme activities of β-glucosidase and N-acetylglucosaminidase were 25–64% higher under straw treatments. Structural modeling revealed that enzyme activity had a stronger direct effect on SOC mineralization than chemical properties. These results support the co-metabolism theory, stimulating microbial metabolism to enhance both straw- and native-SOC decomposition. Overall, straw return improves nutrient cycling but increases CO2 emissions, underscoring the need for optimized management to balance soil fertility with carbon mitigation. Full article
(This article belongs to the Section Soil and Plant Nutrition)
Show Figures

Figure 1

25 pages, 2184 KB  
Review
Homogalacturonan Methylesterification and Cell Wall Regulation: Integrating Biochemistry, Mechanics, and Developmental Signaling for Crop Improvement
by Duoduo Wang, Isabel B. Ortega-Salazar and Barbara Blanco-Ulate
Agronomy 2025, 15(11), 2641; https://doi.org/10.3390/agronomy15112641 - 18 Nov 2025
Viewed by 1479
Abstract
Homogalacturonan (HG) methylesterification is a key determinant of plant cell wall (CW) structure and function, shaping growth, morphogenesis, and responses to biotic and abiotic stresses. This review highlights recent advances in the regulation of homogalacturonan (HG) methylesterification, focusing on the coordinated roles of [...] Read more.
Homogalacturonan (HG) methylesterification is a key determinant of plant cell wall (CW) structure and function, shaping growth, morphogenesis, and responses to biotic and abiotic stresses. This review highlights recent advances in the regulation of homogalacturonan (HG) methylesterification, focusing on the coordinated roles of pectin methylesterases (PMEs), pectin methylesterase inhibitors (PMEIs), transcription factors (TFs), and hormonal signals. We examine how these regulators interact within the CW microenvironment to modulate elasticity, porosity, and remodeling dynamics. Insights from immunolocalization and biomechanical studies reveal the spatiotemporal patterning of HG de-esterification and its integration with developmental and stress-adaptive signaling. Beyond basic biology, HG methylesterification dynamics directly influence traits such as fruit firmness, pathogen resistance, and stress tolerance, positioning HG methylesterification-related genes as promising targets for molecular breeding and biotechnological interventions. By integrating mechanistic understanding with genomic and phenotypic selection approaches, breeders can precisely tailor CW properties to enhance crop resilience and quality. A comprehensive view of HG methylesterification—from enzymatic control to mechanical feedback—offers a conceptual and practical framework for guiding crop improvement and sustainable agricultural practices. Full article
Show Figures

Figure 1

22 pages, 3289 KB  
Review
Wheat Production Transition Towards Digital Agriculture Technologies: A Review
by Nenad Magazin, Svetlana Vujić, Branislava Lalić, Vladimir Koči, Pavel Benka, Vladimir Ćirić, Aleksandar Sedlar, Branko Ćupina, Effrosyni Bitakou, Konstantinos Nychas, Vasilis Psiroukis, Marianna I. Kotzabasaki and Konstantinos Demestichas
Agronomy 2025, 15(11), 2640; https://doi.org/10.3390/agronomy15112640 - 18 Nov 2025
Viewed by 1670
Abstract
Digital agriculture technologies provide potential for increased yield and quality of wheat grain with an optimized input use related to site-specific conditions. This review aims to present the global distribution of digitalization in wheat production, to identify the core digital technologies applied in [...] Read more.
Digital agriculture technologies provide potential for increased yield and quality of wheat grain with an optimized input use related to site-specific conditions. This review aims to present the global distribution of digitalization in wheat production, to identify the core digital technologies applied in wheat management, and to address challenges and future directions for ensuring the security of producing this staple food. For this purpose, a systematic literature review based on the PRISMA 2020 guidelines was conducted, and 113 peer-reviewed papers within the period of 2015–2025 were selected and examined. The highest number of research papers refers to Asia (37.4%), followed by Europe (17.4%) and North America (15.7%). The majority of the papers related to the field of remote sensing, more specifically, in 40.2% of the papers, satellites are listed as a platform, followed by UAVs (in 33.0% of studies). The review reveals uneven global distribution of digitalization, with a significant need for improvement in less developed countries to address food safety in a more balanced way. This comprehensive analysis proposes integration of the current state of digitalizing wheat production with future opportunities for large, but moreover, for small and medium farmers, along with strong support for the policies. Full article
(This article belongs to the Section Precision and Digital Agriculture)
Show Figures

Figure 1

Previous Issue
Next Issue
Back to TopTop