Next Issue
Volume 16, December
Previous Issue
Volume 16, October
 
 

Forests, Volume 16, Issue 11 (November 2025) – 138 articles

Cover Story (view full-size image): Accurate forest inventories are essential for planning and management, yet traditional sample-based cruising often leave uncertainties unresolved until harvest. To assess these uncertainties, this study used two digital inventories derived from airborne laser scanning: one from the mixed conifer stands of the University of Idaho Experimental Forest and one from a loblolly pine plantation in Louisiana. These complete tree-level datasets allowed direct comparison between sample estimates and their true population values. Multiple simulated cruises showed that plot placement strategies, edge-plot handling, and stratum boundaries are the main sources of errors. The results demonstrate how wall-to-wall LiDAR inventories can reduce weaknesses in traditional sampling and point toward more robust, scalable approaches to forest inventory. View this paper
  • Issues are regarded as officially published after their release is announced to the table of contents alert mailing list.
  • You may sign up for e-mail alerts to receive table of contents of newly released issues.
  • PDF is the official format for papers published in both, html and pdf forms. To view the papers in pdf format, click on the "PDF Full-text" link, and use the free Adobe Reader to open them.
Order results
Result details
Section
Select all
Export citation of selected articles as:
17 pages, 4189 KB  
Article
Tree-Ring Reconstruction of Minimum Temperature Changes in the Northern Greater Khingan Mountains
by Jiabao Xu, Zhaopeng Wang, Dongyou Zhang, Xiangyou Li, Bingyun Du, Xinrui Wang, Kexin Song, Yuanhuan Xie and Zhikuan Liu
Forests 2025, 16(11), 1753; https://doi.org/10.3390/f16111753 - 20 Nov 2025
Viewed by 325
Abstract
We established a standardized tree-ring width chronology using 46 Mongolian pine (Pinus sylvestris var. mongolica) tree-ring cores from the Tuqiang Forestry Bureau in the northern Greater Khingan Mountains (GKM). The average minimum temperature from May to July was significantly positively correlated [...] Read more.
We established a standardized tree-ring width chronology using 46 Mongolian pine (Pinus sylvestris var. mongolica) tree-ring cores from the Tuqiang Forestry Bureau in the northern Greater Khingan Mountains (GKM). The average minimum temperature from May to July was significantly positively correlated with tree-ring width, indicating that it is the main climatic factor affecting tree growth in the study area. Based on this, the average minimum temperature sequence from May to July for the past 164 years in this region was reconstructed, and its reliability and stability were verified using the leave-one-out method. The reconstruction results revealed four warm periods and two cold periods in the northern GKM over the past 164 years. The four warm periods were from 1891 to 1897, 1902 to 1909, 1923 to 1931, and 2003 to 2023, and the two cold periods were from 1864 to 1880 and 1953 to 1992. The results of multi-window spectrum analysis and wavelet analysis showed that the reconstructed sequence had periodicities of 2.2–5.3 years, 11 years, 39 years, and 52 years, suggesting that the minimum temperature changes may be influenced by El Niño-Southern Oscillation (ENSO), Pacific Decadal Oscillation (PDO), and solar sunspot activities. Full article
(This article belongs to the Special Issue Tree-Ring Analysis: Response and Adaptation to Climate Change)
Show Figures

Figure 1

20 pages, 4795 KB  
Article
Effects of Rooting Substrates and Plant Growth Regulators on Rooting Performance, Photosynthetic Characteristics, and Soil Properties of Broussonetia × kazinoki Sieb. Cuttings
by Sora Lee, Bowook Moon, Seokju Kim and Hyung Won Lee
Forests 2025, 16(11), 1752; https://doi.org/10.3390/f16111752 - 20 Nov 2025
Viewed by 382
Abstract
Daknamu (Broussonetia × kazinoki), the primary fiber source for hanji (traditional Korean handmade paper), provides fibers that are highly durable and used in fine-edition publishing as well as in the conservation and restoration of cultural heritage materials and historic books. However, [...] Read more.
Daknamu (Broussonetia × kazinoki), the primary fiber source for hanji (traditional Korean handmade paper), provides fibers that are highly durable and used in fine-edition publishing as well as in the conservation and restoration of cultural heritage materials and historic books. However, hanji production has declined due to decreased farm cultivation of B. × kazinoki, emphasizing the need for efficient vegetative propagation. This study evaluated the effects of three rooting media (commercial substrate, a mixture of commercial substrate and decomposed granite soil, and decomposed granite soil) and two plant growth regulators (auxins), 1-naphthaleneacetic acid (NAA) and indole-3-butyric acid (IBA), including a rooting powder containing 0.8% IBA, on rooting performance and physiological responses. Decomposed granite soil produced the highest rooting rate, and the rooting effect index peaked with the rooting powder treatment. Exogenous auxins consistently increased the rooting rate and improved root traits. Photosynthetic activity was enhanced in decomposed granite soil, indicating improved water uptake following root development. Chlorophyll fluorescence showed a low Fv/Fm ratio and a JIP pattern indicative of stress. Soil analyses confirmed greater aeration and drainage in decomposed granite soil but revealed limitations in post-rooting water and nutrient availability. Root traits were positively correlated with photosynthetic parameters and available phosphorus, whereas electrical conductivity, cation-exchange capacity, moisture, organic matter, total nitrogen, and exchangeable cations were negatively correlated. Decomposed granite soil combined with 1500 mg·L−1 IBA or rooting powder provided practical conditions for nursery-scale propagation. These findings provide a scientific basis for developing efficient cutting propagation systems for B. × kazinoki in farms and nurseries. Full article
(This article belongs to the Section Forest Ecophysiology and Biology)
Show Figures

Figure 1

13 pages, 2887 KB  
Article
Uniqueness and Contributing Factors of Main Tree Species Distribution in Kunyu Mountain
by Shidong Li, Jiming Che, Zhenkai Liu, Ran Qiu, Can Yang and Yongxia Li
Forests 2025, 16(11), 1751; https://doi.org/10.3390/f16111751 - 20 Nov 2025
Viewed by 237
Abstract
Located in a transitional climatic zone surrounded by sea on three sides, Kunyu Mountain provides an ideal region to study the drivers of plant distribution. The study examined the distribution patterns and environmental drivers of three dominant tree species—Pinus densiflora, Cunninghamia [...] Read more.
Located in a transitional climatic zone surrounded by sea on three sides, Kunyu Mountain provides an ideal region to study the drivers of plant distribution. The study examined the distribution patterns and environmental drivers of three dominant tree species—Pinus densiflora, Cunninghamia lanceolata, and Pinus koraiensis—using data from 55 permanent plots. A total of 52 plant species were recorded, primarily in warm-temperate areas, with some in other climatic zones. While the native P. densiflora was widespread, the introduced C. lanceolata and P. koraiensis showed limited distribution, with lower richness and growth rates than in their core ranges, yet both regenerated naturally. C. lanceolata mainly occurred below 400 m on sunny slopes, whereas P. koraiensis was concentrated at 400–500 m on shaded slopes. Climate similarity analysis confirmed that local microhabitats created by transitional climate and complex topography offer suitable conditions for both species. These findings improve the understanding of microhabitat roles in species distribution and offer insights for future species introduction strategies. Full article
(This article belongs to the Section Forest Biodiversity)
Show Figures

Figure 1

13 pages, 1897 KB  
Article
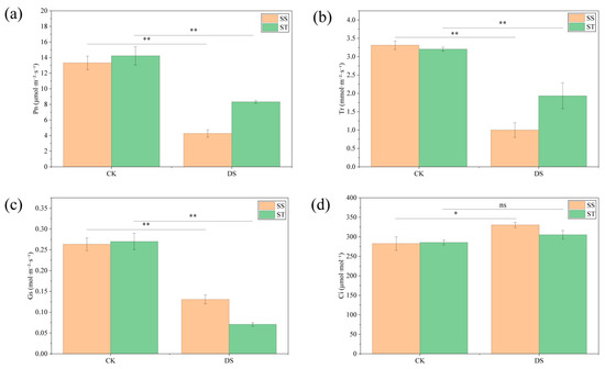
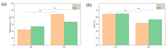
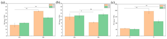
Screening and Identification of Drought-Sensitive and Drought-Tolerant Poplar Germplasm Based on Short-Term Physiological and Biochemical Differences
by Lili Fan, Luozhong Tang, Zheng Zuo, Wei Fan, Haiqing Yang and Qi Zhou
Forests 2025, 16(11), 1750; https://doi.org/10.3390/f16111750 - 20 Nov 2025
Viewed by 256
Abstract
Drought responses in poplar are genotype-dependent, yet standardized metrics for quantifying drought tolerance remain scarce. Here, we employed logistic modeling of relative electrolyte leakage (REC) for the first time in poplar to derive clone-specific semi-lethal polyethylene glycol (PEG) concentrations (LC50), transforming [...] Read more.
Drought responses in poplar are genotype-dependent, yet standardized metrics for quantifying drought tolerance remain scarce. Here, we employed logistic modeling of relative electrolyte leakage (REC) for the first time in poplar to derive clone-specific semi-lethal polyethylene glycol (PEG) concentrations (LC50), transforming a traditional descriptive assay into a quantitative, high-throughput drought-injury metric. Six elite Populus cultivars were exposed to increasing PEG concentrations, and their REC curves were fitted using a logistic function (R2 = 0.885−0.981). The derived semi-lethal PEG concentration (LC50) ranged from 7.99% in ‘PZ1’ (drought-sensitive, SS) to 13.44% in ‘YX2’ (drought-tolerant, ST), enabling clear classification. Under 10% PEG stress, ST maintained leaf water content (LWC) at 73%, while SS dropped to 63%. Malondialdehyde (MDA) content doubled in SS (44.7 nmol·g−1 FW) but increased by only 25% in ST (33.5 nmol·g−1 FW). Gas exchange analysis revealed that SS exhibited approximately twice the reduction in net photosynthetic rate (Pn), transpiration rate (Tr), and stomatal conductance (Gs) compared to ST, with intercellular CO2 accumulation (Ci) occurring only in SS—indicating both stomatal and non-stomatal limitations. Osmolyte profiling showed that SS accumulated large amounts of soluble sugars (Ss) (+128%) and proline (Pro) (+230%), whereas ST maintained stable soluble protein (Sp) levels and only moderately increased proline (+120%). Antioxidant capacity differed markedly: catalase (CAT), superoxide dismutase (SOD), and peroxidase (POD) activities increased by 5.6-, 1.8-, and 2.0-fold in ST, respectively, compared to 3.4-, 1.3-, and 1.7-fold in SS. Principal component analysis (PCA) and orthogonal partial least squares discriminant analysis (OPLS-DA) of ten physiological traits explained 89% of the total variance (R2X = 0.954, Q2 = 0.973), identifying POD, SOD, CAT, and Pro as the most discriminative variables (VIP > 1). This four-marker signature converts a conventional dose–response assay into a rapid, low-cost screening module that can be deployed in robotic phenotyping platforms. Specifically, the high-ranking genotype ‘YX2’ is recommended for immediate use in water-limited plantations and as a robust parent for next-generation dryland breeding programs. Full article
Show Figures

Figure 1

12 pages, 1628 KB  
Article
Divergent Effects of Forest Canopy Opening on Soil Fauna and Microbes: A Global Meta-Analysis
by Shuai Wu, Fuzhong Wu, Cuihuan Li, Qiqian Wu, Kai Yue, Petr Heděnec, Dixin Chen, Nannan An and Yan Peng
Forests 2025, 16(11), 1749; https://doi.org/10.3390/f16111749 - 20 Nov 2025
Viewed by 357
Abstract
Forest canopy opening can significantly affect understory environment and thus further influence the communities of soil biota, but this has not been well quantified in the literature. Here, using meta-analysis method, we evaluated the effects of forest canopy opening on soil fauna density [...] Read more.
Forest canopy opening can significantly affect understory environment and thus further influence the communities of soil biota, but this has not been well quantified in the literature. Here, using meta-analysis method, we evaluated the effects of forest canopy opening on soil fauna density and diversity as well as microbial biomass using 4056 paired observations. We found that (1) as a whole, forest canopy opening showed positive effects on soil fauna communities, significantly increasing the density of total soil fauna by 70.5%, and the total richness, Margalef index, and fungi abundance by 33.1, 30.0, and 64.1%, respectively; (2) canopy opening significantly decreased the Pielou index, bacteria abundance, and soil microbial biomass phosphorus concentration by 16.0, 20.9, and 21.0%, respectively, but did not affect microbial biomass carbon or nitrogen concentration; and (3) forest canopy opening effects on soil biota were regulated by latitude, elevation, climate, canopy opening size, and soil pH, with canopy opening size being the most important factor. Overall, our results demonstrate significantly positive impacts of forest canopy opening on soil fauna and fungi abundance but negative influences on other microbes, which will help us to better understand and predict the responses of soil biota to environmental changes and provide theoretical references for forest management and biodiversity conservation under future environmental change scenarios. Full article
(This article belongs to the Section Forest Ecology and Management)
Show Figures

Figure 1

18 pages, 3312 KB  
Article
Experimental Study of Timber Composite Beam Elements Using Hardwood Mechanically Inserted and Welded Dowels
by Jure Barbalić, Bruno Zadravec, Nikola Perković and Vlatka Rajčić
Forests 2025, 16(11), 1748; https://doi.org/10.3390/f16111748 - 19 Nov 2025
Viewed by 248
Abstract
This paper presents results from an extensive study on laminated timber beams manufactured without adhesives or metal fasteners. The use of such elements enables the implementation of the 4R principles in construction (Reduce, Reuse, Recycle, Repair). Prior to the testing of beam elements, [...] Read more.
This paper presents results from an extensive study on laminated timber beams manufactured without adhesives or metal fasteners. The use of such elements enables the implementation of the 4R principles in construction (Reduce, Reuse, Recycle, Repair). Prior to the testing of beam elements, tests were conducted on embedment strength of wooden dowels in comparison with conventional steel ones. The specimens varied in dowel diameter and in the angle of applied load relative to the grain direction. In addition to mechanically inserted dowels, an innovative dowel-welding method was examined. Welding enhances the bonding between lamellas, thereby improving overall mechanical performance. Further investigations involved beams with lamellas joined by dowels of different diameters, spacing, orientation, and installation methods. Experimental results were compared with analytical models for composite beams. The study showed that, except through the entire height of the beam section, it is possible to use dowels that connect only two lamellas, which is important for production. Dowels placed at 45° in relation to the lamella fibers showed approximately 20% greater capacity. It is also important to mention that study shows how welded dowels are only useful when they have larger diameters because then they achieve a significant level of cohesion. Full article
(This article belongs to the Special Issue Advanced Numerical and Experimental Methods for Timber Structures)
Show Figures

Figure 1

16 pages, 7374 KB  
Article
Optimizing UAV-LiDAR Point Density for Eucalyptus Height Estimation in Agroforestry
by Ernandes Macedo da Cunha Neto, Emmanoella Guaraná, Marks Melo Moura, Hudson Franklin Pessoa Veras, Angélica Maria Almeyda Zambrano, Eben North Broadbent, Emanuel Maia, Allan Libanio Pelissari, Luciano Rodrigo Lanssanova, Carlos Roberto Sanquetta and Ana Paula Dalla Corte
Forests 2025, 16(11), 1747; https://doi.org/10.3390/f16111747 - 19 Nov 2025
Viewed by 421
Abstract
The demand for forest materials necessitates advancements in forest management and inventory practices. We explore the integration of Unmanned Aerial Vehicles (UAVs) equipped with LiDAR sensors as a cost-effective alternative for precise forest monitoring. It evaluates the impact of varying point cloud densities [...] Read more.
The demand for forest materials necessitates advancements in forest management and inventory practices. We explore the integration of Unmanned Aerial Vehicles (UAVs) equipped with LiDAR sensors as a cost-effective alternative for precise forest monitoring. It evaluates the impact of varying point cloud densities on the accuracy of individual tree height estimation in Eucalyptus benthamii within Crop–Livestock–Forestry systems (15.9 ha and 357 individuals·ha−1). We use a DJI M600 Pro UAV with a Velodyne 32c Ultra Puck LiDAR sensor at the Center for Technological Innovation in Agriculture (NITA) in Brazil. The resulting point clouds were processed to generate Digital Terrain Models and Canopy Height Models at densities ranging from 5 to 2000 points per square meter (pts·m−2). Statistical analyses, including Pearson correlation, root mean square error, and bias, were conducted to compare UAV-LiDAR-derived heights with field measurements. We found that reduced point densities, particularly around 100 pts·m−2, maintained high accuracy in height estimation (RMSE = 17.129%, BIAS = −7.889%), with more than 90% in trees’ detection. UAV-LiDAR systems with optimized point cloud densities offer a viable solution for forest monitoring. 100 pts·m−2 is an optimal density, promoting faster data collection, lower battery consumption, and reduced computational costs on trees’ height estimates. Full article
Show Figures

Figure 1

19 pages, 1634 KB  
Article
Promotion or Hindrance? Assessing Urbanization’s Impact on Forest Ecological Security Through the Lenses of Population, Economy, and Space: Evidence from China
by Jiehua Lyu, Zhe Sun, Yandi Liu and Xiuting Cai
Forests 2025, 16(11), 1746; https://doi.org/10.3390/f16111746 - 19 Nov 2025
Viewed by 181
Abstract
Forests serve as “water reservoirs, bank vaults, grain depots, and carbon pools,” and their ecological security plays a critical role in national ecological security. Urbanization, as a long-term development strategy in China, exerts complex and profound impacts on the safety and stability of [...] Read more.
Forests serve as “water reservoirs, bank vaults, grain depots, and carbon pools,” and their ecological security plays a critical role in national ecological security. Urbanization, as a long-term development strategy in China, exerts complex and profound impacts on the safety and stability of forest ecosystems. In the context of simultaneously pursuing urbanization and forest ecological security (FES), a systematic analysis of the impact patterns of urbanization on FES from the perspectives of population urbanization (PUB), economic urbanization (EUB), and spatial urbanization (SUB) can effectively uncover the “black box” underlying their complex interrelationship. This study develops a comprehensive FES evaluation system, using panel data from 31 provinces in mainland China over the period from 2004 to 2022. The research employs two-way fixed effects models to examine the actual impacts and heterogeneous characteristics of multidimensional urbanization on FES, while also applying the Environmental Kuznets Curve (EKC) test model to verify potential nonlinear relationships. The main findings are as follows: (1) baseline regression results indicate that during the study period, SUB exerted the strongest negative impact on FES, followed by PUB, while EUB significantly promoted FES improvement. (2) Heterogeneity analysis reveals that the impact of PUB on FES demonstrates both regional and temporal variations, EUB’s effect shows significant temporal differences, and SUB exhibits distinct regional heterogeneity. (3) EKC tests confirm an inverted U-shaped relationship between PUB and FES with an inflection point at 0.481, and a U-shaped relationship between EUB and FES with an inflection point at 0.866. No significant nonlinear relationship is found between SUB and FES. These findings enhance the systematic understanding of how urbanization influences FES in China while offering valuable references for other rapidly urbanizing nations to better coordinate urban development and forest conservation. Full article
(This article belongs to the Section Forest Ecology and Management)
Show Figures

Figure 1

15 pages, 2762 KB  
Article
Analysis of Differences in Wood Properties Among Four Poplar Species Under Different Site Conditions
by Ruixia Qin, Huadong Xu, Yanbo Hu, Peng Wang and Tianshu Zuo
Forests 2025, 16(11), 1745; https://doi.org/10.3390/f16111745 - 19 Nov 2025
Viewed by 291
Abstract
Through research on the effects of soil and meteorological factors on poplar wood properties, poplar clones with enhanced cold tolerance, drought resistance, and salt–alkali tolerance were selected for large-scale cultivation in the Western Songnen Plain, Northern China. We evaluated wood physical properties (basic [...] Read more.
Through research on the effects of soil and meteorological factors on poplar wood properties, poplar clones with enhanced cold tolerance, drought resistance, and salt–alkali tolerance were selected for large-scale cultivation in the Western Songnen Plain, Northern China. We evaluated wood physical properties (basic density) and anatomical characteristics (annual ring width—RW, vessel number—CNO, vessel lumen area—LA) of 15-year-old Populus simonii × P. nigra, Populus alba × P. berolinensis, P. euramericana N3016 × P. ussuriensis, and Populus pseudo-cathayana × P. deltodides clones in the typical black soil area and saline–alkali land. The results showed that black soil region was more suitable for poplar growth, which was influenced by both soil and meteorological factors. Among soil factors, pH was the primary factor influencing the radial growth of poplar clones, exhibiting a negative correlation for all clones except P. alba × P. berolinensis. Furthermore, P. euramericana N3016 × P. ussuriensis was affected by organic carbon, while P. simonii × P. nigra and P. alba × P. berolinensis were more influenced by potassium. Among climatic factors, basic wood density, annual ring characteristics, and vessel structural parameters in all clones were primarily influenced by wind speed and sunshine, with air temperature having the least effect. Among the four clones, P. alba × P. berolinensis displayed better growth performance (higher RW) and basic wood density (0.29–0.41 g/cm3) at both sites, while P. simonii × P. nigra proved suitable for cold regions. Both clones showing dual adaptability to saline–alkali and black soil environments in Northeast China. Full article
(This article belongs to the Section Wood Science and Forest Products)
Show Figures

Figure 1

27 pages, 37431 KB  
Review
A Multiscale and Integrative Review of Bamboo Permeability: Structural Mechanisms, Detection Techniques, and Enhancement Approaches
by Na Su, Qingqing Yan, Yihua Li, Haocheng Xu, Changhua Fang and Wenyu Su
Forests 2025, 16(11), 1744; https://doi.org/10.3390/f16111744 - 19 Nov 2025
Viewed by 471
Abstract
Bamboo, a fast-growing and biodegradable industrial crop, exhibits excellent mechanical properties, which facilitate its widespread use in construction, furniture, and decorative applications. However, its inherently limited permeability hinders processing during drying, chemical modification, dyeing, and impregnation. Although previous studies have explored structural and [...] Read more.
Bamboo, a fast-growing and biodegradable industrial crop, exhibits excellent mechanical properties, which facilitate its widespread use in construction, furniture, and decorative applications. However, its inherently limited permeability hinders processing during drying, chemical modification, dyeing, and impregnation. Although previous studies have explored structural and treatment-related aspects, few have offered a comprehensive and integrative overview that bridges anatomical structure, permeation mechanisms, performance evaluation, and treatment strategies. This review synthesizes 126 publications from 1997 to 2024 to provide a comprehensive, multidimensional analysis of bamboo permeability. Structure–function relationships are examined by assessing how vessels, sieve tubes, perforation plates, pits, and bamboo nodes influence permeability, with an emphasis on quantitative correlations. Capillarity, diffusion, and viscous resistance are integrated into a unified theoretical framework, proposing a model that couples longitudinal capillary rise with transverse diffusion. Detection approaches, including both direct techniques (weight gain, microscopy, tracer elements, fluorescence imaging) and indirect techniques (porosity measurement, Micro-CT), with their respective advantages, limitations, and applications. Enhancement strategies are categorized into chemical, physical, and biological methods, with assessments of their effectiveness, environmental impact, and energy consumption. Overall, this review provides a holistic perspective on bamboo permeability and offers valuable guidance for future research and engineering applications. Full article
(This article belongs to the Special Issue Wood Processing, Modification and Performance)
Show Figures

Figure 1

32 pages, 2964 KB  
Review
Afforestation of Degraded Lands: A Global Review of Practices, Species, and Ecological Outcomes
by Cristian Mihai Enescu, Mircea Mihalache, Leonard Ilie, Lucian Dincă, Adrian Ioan Timofte and Gabriel Murariu
Forests 2025, 16(11), 1743; https://doi.org/10.3390/f16111743 - 19 Nov 2025
Cited by 1 | Viewed by 729
Abstract
Land degradation is a critical global issue threatening environmental health, food security, and sustainable development. Afforestation has emerged as a vital nature-based solution to combat land degradation by restoring soil structure, enhancing water regulation, sequestering carbon, and supporting biodiversity. Despite extensive research on [...] Read more.
Land degradation is a critical global issue threatening environmental health, food security, and sustainable development. Afforestation has emerged as a vital nature-based solution to combat land degradation by restoring soil structure, enhancing water regulation, sequestering carbon, and supporting biodiversity. Despite extensive research on degraded lands and forestry, there remains a notable gap specifically addressing afforestation of degraded lands, which this study aims to fill through a comprehensive bibliometric and qualitative review of global trends, species use, ecological impacts, and restoration techniques. This study was conducted in two main phases: a bibliometric analysis followed by a traditional literature review. A total of 631 publications published between 1993 and 2024 on the afforestation of degraded lands were analyzed, with the majority consisting of research articles (87%), followed by review papers (5%), book chapters (4%), and conference proceedings (4%). In conclusion, afforestation of degraded lands is a well-established and actively studied field, supported by a substantial body of empirical research and expanding interdisciplinary engagement. The literature encompasses a wide variety of publication types, enabling both the production and dissemination of knowledge across ecological, technical, and socio-economic areas. Full article
(This article belongs to the Special Issue Afforestation of Degraded Lands)
Show Figures

Figure 1

17 pages, 6563 KB  
Article
Entomopathogenic Fungi from Minnesota Are Virulent Against Emerald Ash Borer, Agrilus planipennis Fairmaire (Coleoptera: Buprestidae), Adults in a Laboratory Autodissemination Device Assay
by Colin J. Peters, Nickolas N. Rajtar and Robert A. Blanchette
Forests 2025, 16(11), 1742; https://doi.org/10.3390/f16111742 - 19 Nov 2025
Viewed by 922
Abstract
The emerald ash borer (EAB; Agrilus planipennis Fairmaire) is a deadly pest of ash trees (Fraxinus spp.) in North America. Chemical and biological control methods are already in use against EAB, but additional integrated pest management (IPM) strategies are needed to reduce [...] Read more.
The emerald ash borer (EAB; Agrilus planipennis Fairmaire) is a deadly pest of ash trees (Fraxinus spp.) in North America. Chemical and biological control methods are already in use against EAB, but additional integrated pest management (IPM) strategies are needed to reduce EAB populations in remote, northerly forests on the edge of the infestation front, such as those in northern Minnesota, USA. One entomopathogenic fungus (EPF) isolate, Beauveria bassiana (Bals.-Criv) Vuill. CFL-A, deployed in autodissemination devices (ADDs) has previously shown promise in reducing EAB population growth. Additionally, EPF has been found to be associated with EAB in Minnesota. This study assessed the suitability of ten Minnesota-indigenous, and one commercial, EPF strains for potential use in ADDs targeting EAB adults. Fungal isolates spanned five genera, including Beauveria, Purpureocillium, Metarhizium, Clonostachys, and Samsoniella. Of those tested, Beauveria pseudobassiana S.A. Rehner and Humber EAB 16.8, Beauveria bassiana GHA, Metarhizium sp. Meta, and Purpureocillium sp. EAB 59-16-2 consistently reduced the mean survival time (MST) and probability of survival over time for EAB adults dropped into an EPF-containing ADD in the laboratory. Furthermore, these fungi were readily recovered from surface-sterilized EAB cadavers. Future ADD field trials using these isolates are warranted to validate their ability to reduce EAB population growth. Full article
(This article belongs to the Section Forest Health)
Show Figures

Figure 1

16 pages, 4813 KB  
Article
Bird Community, Forest Structure and Landscape Affects the Susceptibility to Open-Cup Nest Predation in Austral Forests
by Julieta Benitez, Pablo Luis Peri, Marcelo Daniel Barrera, Guillermo José Martínez Pastur and María Vanessa Lencinas
Forests 2025, 16(11), 1741; https://doi.org/10.3390/f16111741 - 18 Nov 2025
Viewed by 638
Abstract
Nest predation is a major factor limiting avian reproductive success. It depends on factors such as bird community, land use, vegetation structure and landscape. Anthropogenic disturbances in native forests, such as logging and livestock grazing, alter forest structure and understory, potentially affecting nest [...] Read more.
Nest predation is a major factor limiting avian reproductive success. It depends on factors such as bird community, land use, vegetation structure and landscape. Anthropogenic disturbances in native forests, such as logging and livestock grazing, alter forest structure and understory, potentially affecting nest predation rates. In this study, we analysed the susceptibility of open-cup nests to predation in Nothofagus antarctica forests in Tierra del Fuego (Argentina), comparing 15–50 years ago thinned—T and unthinned forests, the latter classified as open—O, closed—C or very closed—VC. We also identified nest predators through camera traps and the main variables influencing predation using a Generalized Lineal Model. Data were collected from 32 sites representing the four studied categories of canopy cover across two years (256 artificial nests per year). Artificial nest predation rates varied between year (9.4% in 2018 and 40.2% in 2022) and among forest types. In 2018, the O forests had the highest predation rate (50%, 12 in total), whereas in 2022, VC forests showed the greatest predation (38%, 39 in total). Camera traps identified three nest predators: Milvago chimango, Campephilus magellanicus and Xolmis pyrope. In 2018, canopy cover was the only variable that influenced artificial nest predation, while in 2022, tree sapling cover, patch shape, open-cup nester density and tree basal area were the most influential (in that order). We found annual variations driven by different ecological factors in N. antarctica forest of southern Patagonia. Although thinning showed no significant long-term effects on artificial nest predation on this study, more research is needed to understand the influence of low impact forest management in austral bird communities. Full article
Show Figures

Figure 1

14 pages, 3490 KB  
Article
Growth Performance of Tamanu (Calophyllum inophyllum L.) in Relation to Peatland Restoration in South Sumatra and Central Kalimantan, Indonesia
by A-Ram Yang, Eunho Choi, Hyunyoung Yang, Jumi Cha and Novisari Wahyuni
Forests 2025, 16(11), 1740; https://doi.org/10.3390/f16111740 - 18 Nov 2025
Viewed by 360
Abstract
Peatlands store approximately 30% of global terrestrial carbon, and tropical peatlands contribute 10%–30% of the total peatland carbon storage. Indonesia holds approximately 15% of this resource. Given the rapid degradation of these ecosystems, the Indonesian government has promoted revegetation, identifying Calophyllum inophyllum L. [...] Read more.
Peatlands store approximately 30% of global terrestrial carbon, and tropical peatlands contribute 10%–30% of the total peatland carbon storage. Indonesia holds approximately 15% of this resource. Given the rapid degradation of these ecosystems, the Indonesian government has promoted revegetation, identifying Calophyllum inophyllum L. (Tamanu) as a promising restoration species. However, long-term studies on Tamanu performance and optimal environmental conditions in actual peatland settings are lacking. This study aimed to identify the environmental characteristics conducive to Tamanu growth. We planted Tamanu at Perigi in South Sumatra and Buntoi in Central Kalimantan and monitored its growth over a five-year period. We assessed the soil properties and hydrological conditions at both sites. Results revealed that Tamanu trees at the Perigi site, with higher soil nutrient levels, initially exhibited greater root collar diameter, height, and stem volume compared to those at Buntoi. However, prolonged flooding in Perigi caused complete mortality at 60 months. In contrast, despite lower soil nutrient levels, the Buntoi site maintained a survival rate of 52% because of the more stable water levels. These findings suggest that hydrological management is more critical than soil nutrient conditions for the long-term survival of Tamanu in tropical peatlands, informing effective peatland restoration strategies. Full article
(This article belongs to the Special Issue Climate Change Effects on Forest and Peatland Ecosystems)
Show Figures

Figure 1

27 pages, 14142 KB  
Article
Multi-Indicator Drought Variability in Europe (1766–2018)
by Monica Ionita, Patrick Scholz and Viorica Nagavciuc
Forests 2025, 16(11), 1739; https://doi.org/10.3390/f16111739 - 18 Nov 2025
Viewed by 315
Abstract
Accurately characterizing historical drought events is critical for understanding their spatial and temporal variability and for improving future drought projections. This study investigates extreme drought years across Europe using three complementary drought indicators: the Palmer drought severity index (PDSI, based on tree-ring width), [...] Read more.
Accurately characterizing historical drought events is critical for understanding their spatial and temporal variability and for improving future drought projections. This study investigates extreme drought years across Europe using three complementary drought indicators: the Palmer drought severity index (PDSI, based on tree-ring width), the standardized precipitation evapotranspiration index (SPEI, based on stable oxygen isotopes in tree rings), and the soil moisture index (SMI, based on high-resolution climate modeling). We analyze the common period 1766–2018 simultaneously across all three reconstructions to enable direct cross-indicator comparisons, a scope not typical of prior single-indicator studies. When analyzing year-to-year variability, the driest European years differ by indicator (PDSI—1874, SPEI—2003, and SMI—1868). Quantitatively, the values exhibited are as follows: PDSI 1874 (M = −1.97; A = 64.4%), SPEI 2003 (M = −1.16; A = 90.1%), and SMI 1868 (M = 0.21; A = 83.4%). Multi-year extremes also diverge: while PDSI identifies 1941–1950 as the driest years (M = −0.82; A = 42.1%), SPEI highlights 2011–2018 (M = −0.36; A = 46.6%), and SMI points to 1781–1790 as the driest years, followed by 2011–2018. Trends in drought-covered areas show a significant European-scale increase for SMI (+0.52%/decade, p < 0.05) and regional increases for MED in SMI (~+1.1%/decade, p < 0.001) and for CEU in SPEI (+0.42%/decade, p < 0.05) and SMI (+0.6%/decade, p < 0.001). At the regional scale (Mediterranean—MED, central Europe—CEU, and northern Europe—NEU), the driest years/decades and spatial footprints vary by indicator, yet all the indicators consistently identify drought hotspots such as the MED. We also found that drought is significantly influenced by large-scale atmospheric drivers. A canonical correlation analysis (CCA) between summer geopotential height at 500 mb (Z500) and drought reconstructions indicates that drought-affected regions are, in general, associated with atmospheric blocking. The canonical series are significantly correlated at r = 0.82 (p < 0.001), with explained variances of 12.78% (PDSI), 8.41% (SPEI), and 14.58% (SMI). Overall, our study underscores the value of multi-indicator approaches: individual indicators provide distinct but complementary perspectives on European drought dynamics, improving the historical context for assessing future risk. Full article
(This article belongs to the Section Forest Meteorology and Climate Change)
Show Figures

Figure 1

19 pages, 18039 KB  
Article
Mixed-Species Afforestation Increases Deep Soil Water Consumption on the Semi-Arid Loess Plateau
by Tingfang Meng, Hao Feng, Wenjie Wu, Guangjie Chen, Min Li, Bingcheng Si and Qin’ge Dong
Forests 2025, 16(11), 1738; https://doi.org/10.3390/f16111738 - 18 Nov 2025
Viewed by 388
Abstract
In the semi-arid Loess Plateau of China, afforestation frequently leads to soil water depletion, threatening ecosystem sustainability. Although mixed-species plantations are encouraged to enhance resource use efficiency, their effects on deep soil water and root distribution strategies remain unclear. This study compared soil [...] Read more.
In the semi-arid Loess Plateau of China, afforestation frequently leads to soil water depletion, threatening ecosystem sustainability. Although mixed-species plantations are encouraged to enhance resource use efficiency, their effects on deep soil water and root distribution strategies remain unclear. This study compared soil water content (SWC), deep soil water deficit (SWD), and fine root distribution in pure and mixed plantations of Robinia pseudoacacia, Platycladus orientalis, and Hippophae rhamnoides to assess whether species mixing intensifies consumption for deep soil water. Soil moisture and root samples were collected with a maximum depth of 20 m across five stand types in August 2018 and during the 2019 growing season. Results showed that mixed stands exhibited shallower water depletion depth and lower SWC below 2 m than pure stands, but a more severe deep soil water deficit, with observed SWD exceeding the expected values by 12% in the R. pseudoacacia-P. orientalis mixture (MRP) and 22% in the H. rhamnoides-P. orientalis mixture (MHP), indicating intensified water consumption below 2 m. In the MRP, the maximum rooting depth was shallower than in the corresponding pure stands. Within the mixture, species-specific root plasticity was observed: the normalized fine root length density (FRLD) of P. orientalis was four times greater in mixture than in pure stand, whereas that of R. pseudoacacia was 62% lower, suggesting divergent foraging strategies. Correlation analyses indicated that SWC was differently associated with root traits between pure and mixed stands, with relationships varying by soil depth. Mixed-effects models confirmed that both plantation type and soil depth significantly influenced FRLD and Root dry weight density (RDWD), while specific root length (SRL) was mainly affected by plantation type and its interaction with depth. These findings demonstrated that mixed-species afforestation intensifies deep soil water competition. Therefore, sustainable management should prioritize the selection of species with complementary root foraging strategies and the optimization of planting densities in semi-arid regions. Full article
(This article belongs to the Section Forest Soil)
Show Figures

Graphical abstract

14 pages, 1232 KB  
Article
Predicting Porosity in Raw Cork Using Near-Infrared Spectroscopy
by Ana Alves, Joana Amaral Paulo, Diana I. Santos, José Graça and José Rodrigues
Forests 2025, 16(11), 1737; https://doi.org/10.3390/f16111737 - 18 Nov 2025
Viewed by 320
Abstract
The classification of cork planks as a raw material is traditionally performed through visual inspection of cork pores and defects, both in forest owners’ associations and industrial settings. This method introduces subjectivity and limits reproducibility. This study aimed to develop near-infrared spectroscopy (NIRS) [...] Read more.
The classification of cork planks as a raw material is traditionally performed through visual inspection of cork pores and defects, both in forest owners’ associations and industrial settings. This method introduces subjectivity and limits reproducibility. This study aimed to develop near-infrared spectroscopy (NIRS) models for predicting porosity in raw cork, distinguishing virgin, secondary, and mature cork types. A total of 156 cork samples representing the three cork types were analyzed. Spectra were collected on the transverse and radial surfaces using a Bruker MPA spectrophotometer. Partial Least Squares Regression (PLS-R) models were developed separately for each cork type, yielding cross-validated coefficients of determination (R2) between 0.48 and 0.64. Additionally, two global models were obtained using a random data split (60% for cross-validation and 40% for validation), differentiated by whether or not areas corresponding to insect galleries were included. The model incorporating insect galleries achieved R2 values of 0.63 (cross-validation) and 0.46 (validation), while the model excluding them yielded R2 values of 0.51 and 0.52, respectively. The final optimized model, based on all samples and using selected spectral regions (9500–7500 and 6100–5450 cm−1) with first derivative and vector normalization preprocessing, achieved an R2 of 0.61, RMSECV of 0.025, and RPD of 1.6 using five latent variables. This model was used to estimate porosity coefficients in visually classified secondary and mature cork. Results confirmed an inverse relationship between porosity and cork quality class: higher-quality classes (Q1, Q2) had lower porosity, with Q1 being the most homogeneous. Porosity increased from Q2 to Q6 in mature cork, expressing declining quality. Greater variability in lower-quality classes highlights porosity’s relevance for classification. These results demonstrate the potential of NIRS as a non-destructive tool for assessing cork porosity, offering a more objective and efficient alternative to conventional methods. Full article
(This article belongs to the Special Issue Wood Chemistry and Quality)
Show Figures

Figure 1

13 pages, 1702 KB  
Communication
Urban Pathways of Oomycete Dissemination: A Case Study from Warsaw Parks
by Miłosz Tkaczyk and Katarzyna Sikora
Forests 2025, 16(11), 1736; https://doi.org/10.3390/f16111736 - 17 Nov 2025
Viewed by 219
Abstract
Urban green spaces are essential components of city ecosystems, providing environmental and social benefits while simultaneously serving as potential entry points for invasive plant pathogens. In recent years, increasing attention has been directed toward the role of urban environments as reservoirs and transmission [...] Read more.
Urban green spaces are essential components of city ecosystems, providing environmental and social benefits while simultaneously serving as potential entry points for invasive plant pathogens. In recent years, increasing attention has been directed toward the role of urban environments as reservoirs and transmission corridors for oomycetes, a group of highly destructive microorganisms affecting trees and shrubs. This study aimed to investigate the diversity and potential introduction pathways of oomycetes in three Warsaw parks representing distinct ecological settings: a historical city park, a large landscape park with aquatic features, and a newly constructed linear park. Samples of soil, and surface water were collected and analysed using standard isolation and molecular identification methods. Four species were identified: Phytophthora cactorum, P. cambivora, Phytopythium vexans, and Ph. montanum—the latter two representing first records for urban parks in Poland. The results indicate that nursery plant material, surface water systems, and wildlife activity, particularly birds, are likely contributors to the introduction and spread of these pathogens in city landscapes. The findings underscore the growing phytosanitary risk associated with urban greenery, where the interplay of anthropogenic disturbance, high plant turnover, and complex hydrological networks facilitates pathogen establishment. This research highlights the urgent need to integrate urban biosecurity strategies with routine molecular monitoring, nursery inspections, and wildlife surveillance to limit further dissemination of invasive oomycetes and enhance the resilience of urban tree populations. Full article
(This article belongs to the Special Issue Health and Disease Management of Urban Forest Trees)
Show Figures

Figure 1

4 pages, 540 KB  
Editorial
Advancing Forest Pest Management: Integrative Insights from Prediction, Monitoring, and Control
by Won Il Choi, Jong-Kook Jung and Young-Seuk Park
Forests 2025, 16(11), 1735; https://doi.org/10.3390/f16111735 - 17 Nov 2025
Viewed by 290
Abstract
Invasive species are among the most serious threats to forest health worldwide, with their impacts expected to intensify under ongoing climate change and the expansion of international trade [...] Full article
(This article belongs to the Special Issue Management of Forest Pests and Diseases—2nd Edition)
15 pages, 2017 KB  
Article
Ecological Characteristics and Landscape Preference of Waterfront Wilderness in Mountainous Cities
by Xiaohong Lai, Yanyun Wang, Hongyi Wang, Puyuan Xing, Can Wang, Xuefeng Yuan, Han Gu, Xiaowu Xu and Qian Chen
Forests 2025, 16(11), 1734; https://doi.org/10.3390/f16111734 - 16 Nov 2025
Viewed by 384
Abstract
Waterfront wilderness landscapes in mountainous cities, such as Chongqing, play a vital role in sustaining urban biodiversity and human well-being amid steep topography and hydrological variations that create unique habitats. However, public recognition of their ecological values and potential ecological–aesthetic conflicts remain underexplored. [...] Read more.
Waterfront wilderness landscapes in mountainous cities, such as Chongqing, play a vital role in sustaining urban biodiversity and human well-being amid steep topography and hydrological variations that create unique habitats. However, public recognition of their ecological values and potential ecological–aesthetic conflicts remain underexplored. This study investigated biodiversity features and public preferences in Chongqing’s central urban waterfront wilderness through field surveys of 218 quadrats for biodiversity assessment (e.g., Shannon–Wiener and Simpson indices, cluster analysis identifying 12 typical communities) and two questionnaire surveys (N = 260 and 306) evaluating spatial features and plant attributes, with correlation and regression analyses examining relationships between ecological indices and preference scores. Results recorded 116 plant species from 41 families, dominated by herbaceous plants (77.6%), with herbaceous, shrub-herbaceous, and tree-herbaceous communities prevalent. No significant correlations existed between objective diversity indices and preference scores; instead, structure (β = 0.444, p < 0.001) and color (β = 0.447, p < 0.001) drove preferences (explaining 96.7% variance), favoring accessible mid-successional shrub-herbaceous structures over dense, low-diversity evergreen types. These findings reveal ecological–aesthetic conflicts in mountainous settings where aesthetic dominance limits biodiversity recognition. Implications include user-centered zoning: restrict access in low-preference steep areas with buffers for conservation, while enhancing high-preference flat zones via selective pruning and native colorful species introduction, supplemented by educational signage. This research provides a mountainous city archetype, enriching global urban wilderness studies and informing sustainable management in rapidly urbanizing regions. Full article
(This article belongs to the Special Issue Ecosystem Services in Urban and Peri-Urban Landscapes)
Show Figures

Figure 1

13 pages, 2105 KB  
Article
Effects of Salt Stress on the Physiology and Biochemistry of Six Poplar Germplasms and Evaluation of Their Salt Tolerance
by Lili Fan, Qi Zhou, Haiqing Yang, Xiaoming Ling, Wei Fan and Luozhong Tang
Forests 2025, 16(11), 1733; https://doi.org/10.3390/f16111733 - 16 Nov 2025
Viewed by 242
Abstract
Global soil salinization is accelerating. As the dominant fast-growing plantation genus, Populus spp. largely determines the success of coastal and inland saline-land restoration and the associated carbon-sequestration benefits. Yet most current studies rely on single indicators and lack a multidimensional physiological framework for [...] Read more.
Global soil salinization is accelerating. As the dominant fast-growing plantation genus, Populus spp. largely determines the success of coastal and inland saline-land restoration and the associated carbon-sequestration benefits. Yet most current studies rely on single indicators and lack a multidimensional physiological framework for ranking salt tolerance. Here, six elite poplar cultivars were exposed to 0% (CK), 0.2% (ST1), 0.3% (ST2) and 0.4% NaCl (ST3) for 30 d. We quantified membrane-lipid peroxidation, photosynthetic performance, osmotic adjustment and antioxidant enzymatics, then integrated the data with a principal-component–membership-function model. With increasing NaCl, MDA and REC either rose continuously or peaked slightly below ST3. ‘YX2’ reached the highest MDA (71.3 µmol g−1 FW) and REC (80.3%) under ST2. Pn and SPAD declined overall, but ‘YX3’ retained the greatest photosynthetic stability (6.1 µmol m−2 s−1 at ST3). Osmolytes accumulated differentially: soluble sugar in ‘PZ2’ rose 52% above CK at ST3; soluble protein in ‘YX2’ peaked at 12.7 mg g−1 FW; proline exceeded 110 µg g−1 FW in ‘YX2’, ‘PZ1’ and ‘PZ2’. Antioxidant enzymes were up-regulated with stress; ‘YX3’ CAT peaked at 69.7 U g−1 FW under ST2, while SOD and POD remained highly active. Correlation analysis revealed that photosynthetic decline is tightly linked to membrane oxidative damage, while the coordinated enhancement of antioxidant enzymes and concurrent accumulation of osmolytes form a synergistic protection mechanism. PCA showed that PC1 (57.1%) integrated photosynthetic capacity, membrane integrity and antioxidant synergy, whereas PC2 (14.3%) represented osmotic and enzymatic protection. The combined D-value ranked cultivars as ‘YX2’ > ‘YX3’ > ‘PZ2’ > ‘PZ1’ > ‘ZX1’ > ‘YX1’. This multi-trait platform provides both a theoretical reference and a germplasm basis for saline-site afforestation and salt-tolerant poplar breeding. Full article
Show Figures

Figure 1

17 pages, 2815 KB  
Article
The Influence of Forest Naturalness on Soil Carbon Content in a Typical Semi-Humid to Semi-Arid Region of China’s Loess Plateau
by Shidan Chi, Yue Xie, Peidong Li and Shengli Wang
Forests 2025, 16(11), 1732; https://doi.org/10.3390/f16111732 - 15 Nov 2025
Viewed by 308
Abstract
The Loess Plateau (China) is an ecologically fragile region where understanding the impact of forest naturalness on soil carbon content is critical for ecological restoration and enhancing carbon sequestration. This study investigates this relationship in the Cuiying Mountain area (Yuzhong County, Lanzhou City), [...] Read more.
The Loess Plateau (China) is an ecologically fragile region where understanding the impact of forest naturalness on soil carbon content is critical for ecological restoration and enhancing carbon sequestration. This study investigates this relationship in the Cuiying Mountain area (Yuzhong County, Lanzhou City), a representative landscape of the semi-arid Loess Plateau. The Cuiying Mountain ecosystem is characterized by coniferous forests and Gray-cinnamon soils. We assessed forest naturalness using several key indicators: herb coverage, shrub coverage, tree biodiversity, and stand structural attributes. The results revealed a generally low level of forest naturalness at Cuiying Mountain. Although herb coverage was high, shrub coverage was minimal (2.1%), and tree biodiversity was low (Shannon index = 0.09). The stand structure was simple, characterized by considerable variation in individual tree sizes and a single canopy layer (mean mingling degree = 0.14). This structural simplicity aligns with the area’s history of plantation management. Furthermore, analysis of soil physicochemical properties and their relationship with plant diversity identified plant diversity as a significant factor influencing soil carbon content. The strongest correlation was observed between plant species number and topsoil organic carbon (r = 0.77), indicating a particularly pronounced effect of plant diversity on surface soil organic carbon. In summary, while forest naturalness at Cuiying Mountain is generally low, increased plant diversity enhances the accumulation of litter/root exudates and carbonates, suggesting that enhancing plant diversity is an effective strategy for increasing total soil carbon content. This study provides valuable insights for refining ecological restoration practices and strengthening the soil carbon sink function in forest ecosystems across the Loess Plateau and similar semi-arid regions. Full article
(This article belongs to the Special Issue Soil Organic Matter Dynamics in Forests)
Show Figures

Figure 1

16 pages, 2981 KB  
Article
Assessing the Spatiotemporal Patterns and Afforestation Impacts on Land-Use Carbon Storage in the Yellow River Basin Using Multi-Source Remote Sensing Products
by Libing Luo, Ming Liu, Ying Wang, Hao Zhang and Xiangnan Liu
Forests 2025, 16(11), 1731; https://doi.org/10.3390/f16111731 - 15 Nov 2025
Viewed by 283
Abstract
Afforestation plays a vital role in reshaping land systems and enhancing carbon sequestration, particularly in ecologically fragile regions. However, the carbon implications and spatial dynamics of large-scale planted-forest (PF) expansion in the Yellow River Basin (YRB) remain insufficiently understood. Focusing on the YRB, [...] Read more.
Afforestation plays a vital role in reshaping land systems and enhancing carbon sequestration, particularly in ecologically fragile regions. However, the carbon implications and spatial dynamics of large-scale planted-forest (PF) expansion in the Yellow River Basin (YRB) remain insufficiently understood. Focusing on the YRB, this study integrates multi-source land-use, forest type, and carbon datasets to evaluate land-use transitions (2000–2020) and quantify changes in total ecosystem carbon (TEC), aboveground carbon (AGC), and PF-derived AGC (PF-AGC) from 2005 to 2020 under the IPCC-based accounting framework. The results show cumulative land-use conversion of 118,481 km2, with forest land expanded to 11.89% of the basin, mainly due to afforestation efforts in the middle reaches. TEC followed a rise–decline–rebound trajectory, yielding a net gain of 1.96 × 108 t, while AGC increased by 4.37 × 108 t. With the expansion of PF, PF-AGC contributed 1.60 × 108 t (36.61% of AGC gains), primarily sourced from grassland (40.51%), natural forests (35.15%), and cropland (23.56%). PFs were dominated by young stands (≤40 years), spatially clustered in the middle–lower reaches, and exhibited higher carbon sink potential than natural forests. Spatially, AGC and PF distributions underwent staged reconfiguration. Standard deviational ellipse and centroid analyses revealed eastward shifts and axis changes in AGC, and southwestward migration of PFs, indicating PF expansion as a major driver of carbon redistribution. These findings clarify the forest age–land-use–carbon nexus and highlight the spatial impact of afforestation, offering critical insights for region-specific low-carbon strategies and sustainable land governance in the YRB. Full article
(This article belongs to the Section Forest Inventory, Modeling and Remote Sensing)
Show Figures

Figure 1

19 pages, 4225 KB  
Article
Storm Damage and Planting Success Assessment in Pinus pinaster Aiton Stands Using Mask R-CNN
by Ivon Brandao, Beatriz Fidalgo and Raúl Salas-González
Forests 2025, 16(11), 1730; https://doi.org/10.3390/f16111730 - 15 Nov 2025
Viewed by 289
Abstract
In Portugal, increasing wildfire frequency and severe storm events have intensified the need for advanced monitoring tools to assess forest damage and recovery efficiently. This study explores the application of deep learning neural network techniques, specifically the Mask R-CNN architecture, for the automatic [...] Read more.
In Portugal, increasing wildfire frequency and severe storm events have intensified the need for advanced monitoring tools to assess forest damage and recovery efficiently. This study explores the application of deep learning neural network techniques, specifically the Mask R-CNN architecture, for the automatic detection of trees in Pinus pinaster stands using RGB and multispectral imagery captured by a drone. The research addresses two distinct forest scenarios, resulting from disturbances intensified by climate change. The first concerns the detection of fallen trees following an extreme weather event to support damage assessment and inform post-disturbance forest management. The second focuses on segmenting individual trees in a newly established plantation after wildfire to evaluate the effectiveness of ecological restoration efforts. The collected images were processed to generate high-resolution orthophotos and orthomosaics, which were used as input for tree detection using Mask R-CNN. Results showed that integrating drone-based imagery with deep learning models can significantly enhance the efficiency of forest assessments, reducing the need for fieldwork effort and increasing the reliability of the collected data. Results demonstrated high performance, with average precision scores of 90% for fallen trees and 75% for recently planted trees, while also enabling the extraction of spatial metrics relevant to forest monitoring. Overall, the proposed methodology shows strong potential for rapid response in post-disturbance environments and for monitoring the early development of forest plantations. Full article
Show Figures

Figure 1

29 pages, 11531 KB  
Article
Influence of Urban Greenery on Microclimate Across Temporal and Spatial Scales
by Isidora Simović, Mirjana Radulović, Jelena Dunjić, Stevan Savić and Ivan Šećerov
Forests 2025, 16(11), 1729; https://doi.org/10.3390/f16111729 - 14 Nov 2025
Viewed by 313
Abstract
This study investigates the influence of urban greenery on microclimate conditions in Novi Sad, a city characterized by a temperate oceanic climate, by integrating high-resolution remote sensing data with in situ measurements from 12 urban climate stations. Sentinel-2 imagery was used to capture [...] Read more.
This study investigates the influence of urban greenery on microclimate conditions in Novi Sad, a city characterized by a temperate oceanic climate, by integrating high-resolution remote sensing data with in situ measurements from 12 urban climate stations. Sentinel-2 imagery was used to capture vegetation patterns, including tree lines and small green patches, while air temperature data were collected across two climatically contrasting years. Vegetation extent and structural characteristics were quantified using NDVI thresholds (0.6–0.8), capturing variability in vegetation activity and canopy density. Results indicate that high-activity vegetation, particularly dense tree canopies, exerts the strongest cooling effects, significantly influencing air temperatures up to 750 m from measurement sites, whereas total green area alone showed no significant effect. Cooling effects were most pronounced during summer and autumn, with temperature reductions of up to 2 °C in areas dominated by mature trees. Diurnal–nocturnal analyses revealed consistent spatial cooling patterns, while seasonal variability highlighted the role of evergreen and deciduous composition. Findings underscore that urban heat mitigation is driven more by vegetation structure and composition than by green area size, emphasizing the importance of preserving high-canopy trees in urban planning. This multidimensional approach provides actionable insights for optimizing urban greenery to enhance microclimate resilience. Full article
(This article belongs to the Special Issue Urban Forests and Greening for Sustainable Cities)
Show Figures

Figure 1

24 pages, 2482 KB  
Article
Identification of Hiking Target Groups Based on Physical Fitness Levels in Forest Environment
by Jana Hlaváčová, Mário Molokáč and Dana Tometzová
Forests 2025, 16(11), 1728; https://doi.org/10.3390/f16111728 - 14 Nov 2025
Viewed by 274
Abstract
This study examines hiking within the context of active lifestyle trends, with a particular focus on the implications of physical limitations for its implementation in forest environments. The primary objective is to analyze how hiking offerings can be adapted to account for varying [...] Read more.
This study examines hiking within the context of active lifestyle trends, with a particular focus on the implications of physical limitations for its implementation in forest environments. The primary objective is to analyze how hiking offerings can be adapted to account for varying physical constraints that influence the selection and accessibility of forest landscapes. Special emphasis is placed on the intersection of forest-based recreation and geotourism, as both natural settings provide not only opportunities for physical activity but also unique geological and ecological values that shape visitor experience. The research emphasizes the role of physical fitness as a key factor in segmenting hiking participants, introducing it as a measurable parameter for categorization. To achieve this, the study applies quantitative methods, including motor ability tests, physical fitness assessments, somatic measurements, and verification of tourist categorization. Statistical analyses employed include descriptive statistics of performance values, two-sample t-tests, and Pearson’s correlation coefficients. The framework for designing hiking experiences highlights the importance of integrating forest trails and geotourism sites into accessible tourism planning. This approach demonstrates the potential benefits of incorporating physical fitness considerations into hiking development, ultimately enhancing accessibility, inclusivity, and safety in forest and environments. Full article
(This article belongs to the Special Issue Forest Recreation and Tourism)
Show Figures

Figure 1

18 pages, 1850 KB  
Article
Study on Pyrolysis Characteristics and Combustibility of Typical Arbor Species Along Different Altitude Gradients in Southwestern Yunnan
by Qiuyang Du, Weike Li, Yingda Wu, Yiqi Wei, Jianati Nuerlan, Mingyu Wang, Lifu Shu, Tongxin Hu, Jibin Ning, Guang Yang and Kai Li
Forests 2025, 16(11), 1727; https://doi.org/10.3390/f16111727 - 14 Nov 2025
Viewed by 245
Abstract
This study aimed to systematically characterize the pyrolysis characteristics and combustibility of six typical tree species across different altitude gradients in southwestern Yunnan, providing references for fuel management and selection of potential fire-resistant species in this region. Thermogravimetric analysis (heating rate: 20 °C·min [...] Read more.
This study aimed to systematically characterize the pyrolysis characteristics and combustibility of six typical tree species across different altitude gradients in southwestern Yunnan, providing references for fuel management and selection of potential fire-resistant species in this region. Thermogravimetric analysis (heating rate: 20 °C·min−1, air atmosphere) was employed to obtain TG-DTG curves of bark, branches, and leaves. The Coats–Redfern integral method was applied to calculate kinetic parameters, and principal component analysis was conducted for comprehensive combustibility evaluation. The results demonstrated the following: (1) The pyrolysis process of all species underwent the following four distinct stages: moisture evaporation, holocellulose decomposition, lignin decomposition, and ash formation. Among these, holo-cellulose decomposition constituted the primary mass loss stage. Significant differences in pyrolysis characteristics were observed among different plant parts, with leaves and bark exhibiting lower initial pyrolysis temperatures; (2) The activation energy ranged from 56.05 to 86.41 kJ·mol−1 across different components, with branches requiring the highest energy for pyrolysis; (3) Principal component analysis based on multiple indicators yielded the following comprehensive combustibility ranking: Pinus yunnanensis > Betula alnoides > Lithocarpus henryi > Quercus acutissima > Cunninghamia lanceolata > Myrica rubra; and (4) The combustibility assessment results integrating multiple variables (total mass loss rate, stage-specific mass loss, activation energy, and ash content) showed significant differences from the analysis based solely on activation energy, verifying the necessity of a multi-dimensional comprehensive evaluation. Full article
(This article belongs to the Section Wood Science and Forest Products)
Show Figures

Figure 1

21 pages, 2939 KB  
Article
Integrating Structural Causal Models with Enhanced LSTM for Predicting Single-Tree Carbon Sequestration
by Xuemei Guan and Kai Ma
Forests 2025, 16(11), 1726; https://doi.org/10.3390/f16111726 - 14 Nov 2025
Viewed by 368
Abstract
Accurate estimation of carbon sequestration at the single-tree scale is essential for understanding forest carbon dynamics and supporting precision forestry under global carbon-neutral goals. Traditional allometric models often neglect environmental variability, while data-driven machine learning approaches suffer from limited interpretability. To bridge this [...] Read more.
Accurate estimation of carbon sequestration at the single-tree scale is essential for understanding forest carbon dynamics and supporting precision forestry under global carbon-neutral goals. Traditional allometric models often neglect environmental variability, while data-driven machine learning approaches suffer from limited interpretability. To bridge this gap, we developed a hybrid prediction framework that integrates a Structural Causal Model (SCM) with an Enhanced Long Short-Term Memory (LSTM) network. Using 47-year observation data (1975–2022) of Mongolian oak (*Quercus mongolica* Fisch. ex Ledeb.) from the Laoyeling Ecological Station, the SCM was applied to infer causal relationships among growth and environmental factors, while the Enhanced-LSTM combined multiscale convolution and self-attention modules to capture nonlinear temporal dependencies. Results showed that the proposed SCM-Enhanced-LSTM achieved the highest predictive performance (R2 = 0.944, RMSE = 0.079 kg, MAE = 0.064 kg), outperforming Bi-LSTM and XGBoost models by over 20% in accuracy and maintaining robustness under noise perturbations. Causal analysis identified soil moisture and stem diameter as the dominant drivers of carbon increment. This study provides a transparent, interpretable, and high-precision framework for single-tree carbon sequestration prediction, offering methodological support for fine-scale forest carbon accounting and sustainable management strategies. Full article
(This article belongs to the Section Forest Inventory, Modeling and Remote Sensing)
Show Figures

Figure 1

15 pages, 1495 KB  
Article
A Method for Estimating Tree Age Based on the Tree Trunk Diameter and the Average Radial Growth Rate in Recent Years
by Jianfeng Yao, Mengmeng Yang, Zhuofan Li, Denglong Ha, Wenqiang Gao, Xiao He, Xuefan Hu and Xinyu Song
Forests 2025, 16(11), 1725; https://doi.org/10.3390/f16111725 - 13 Nov 2025
Viewed by 476
Abstract
To improve the accuracy of tree age estimation by accounting for variations in radial growth, this study developed a diameter/age model that incorporates the radial growth rate for seven typical tree species across subtropical to cold temperate regions. For each tree species, six [...] Read more.
To improve the accuracy of tree age estimation by accounting for variations in radial growth, this study developed a diameter/age model that incorporates the radial growth rate for seven typical tree species across subtropical to cold temperate regions. For each tree species, six trees—representing dominant, intermediate, and suppressed trees—were selected. A total of 646 disks were collected at 1 m intervals along the stems, starting at 0.3 m height. Disk diameters and tree rings were measured, and the radial growth rate of each disk over the past two years was calculated. For each tree species, two-thirds of the data were randomly selected as the modeling dataset, while the remaining one-third served as the testing dataset. Based on scatter plots, we selected linear models, logarithmic models, and exponential models as candidate models. A logarithmic function best described the diameter/age relationship, while an exponential model best fit the radial growth rate/age relationship. A dual-factor nonlinear model combining both variables achieved the highest estimation accuracy (80.29%), significantly outperforming single-factor models based solely on diameter (50.76%) or growth rate (73.01%). These results demonstrate that integrating radial growth rate substantially enhances the precision of tree age estimation. Full article
(This article belongs to the Special Issue Growth Models for Forest Stand Development Dynamics)
Show Figures

Figure 1

23 pages, 8007 KB  
Article
Balancing Climate Change Adaptation and Mitigation Through Forest Management Choices—A Case Study from Hungary
by Ábel Borovics, Éva Király, Zsolt Keserű and Endre Schiberna
Forests 2025, 16(11), 1724; https://doi.org/10.3390/f16111724 - 13 Nov 2025
Viewed by 253
Abstract
Climate change is driving the need for forest management strategies that simultaneously enhance ecosystem resilience and contribute to climate change mitigation. Voluntary carbon markets (VCMs), regulated in the European Union by the Carbon Removal Certification Framework (CRCF), offer potential financial incentives for such [...] Read more.
Climate change is driving the need for forest management strategies that simultaneously enhance ecosystem resilience and contribute to climate change mitigation. Voluntary carbon markets (VCMs), regulated in the European Union by the Carbon Removal Certification Framework (CRCF), offer potential financial incentives for such management, but eligibility criteria—particularly biodiversity requirements—limit the applicability of certain species. This study assessed the ecological and economic outcomes of six alternative management scenarios for a 4.7 ha, 99-year-old Scots pine (Pinus sylvestris) stand in western Hungary, comparing them against a business-as-usual (BAU) regeneration baseline. Using field inventory data, species-specific yield tables, and the Forest Industry Carbon Model, we modelled living and dead biomass carbon stocks for 2025–2050 and calculated potential CO2 credit generation. Economic evaluation employed total discounted contribution margin (TDCM) analyses under varying carbon credit prices (€0–150/tCO2). Results showed that an extended rotation yielded the highest carbon sequestration (958 tCO2 above BAU) and TDCM but was deemed operationally unfeasible due to declining stand health. Black locust (Robinia pseudoacacia) regeneration provided high mitigation potential (690 tCO2) but was ineligible under CRCF rules. Grey poplar (Populus × canescens) regeneration emerged as the most viable option, balancing biodiversity compliance, climate adaptability, and economic return (TDCM = EUR 22,900 at €50/tCO2). The findings underscore the importance of integrating ecological suitability, market regulations, and economic performance in planning carbon farming projects, and highlight that regulatory biodiversity safeguards can significantly shape feasible mitigation pathways. Full article
(This article belongs to the Section Forest Meteorology and Climate Change)
Show Figures

Figure 1

Previous Issue
Next Issue
Back to TopTop