Influence of Urban Greenery on Microclimate Across Temporal and Spatial Scales
Abstract
1. Introduction
2. Materials and Methods
2.1. Location
2.2. Climate Parameters
2.3. Greenery Data
2.4. Data Analysis
3. Results
3.1. Variation in Temperature Across Seasons
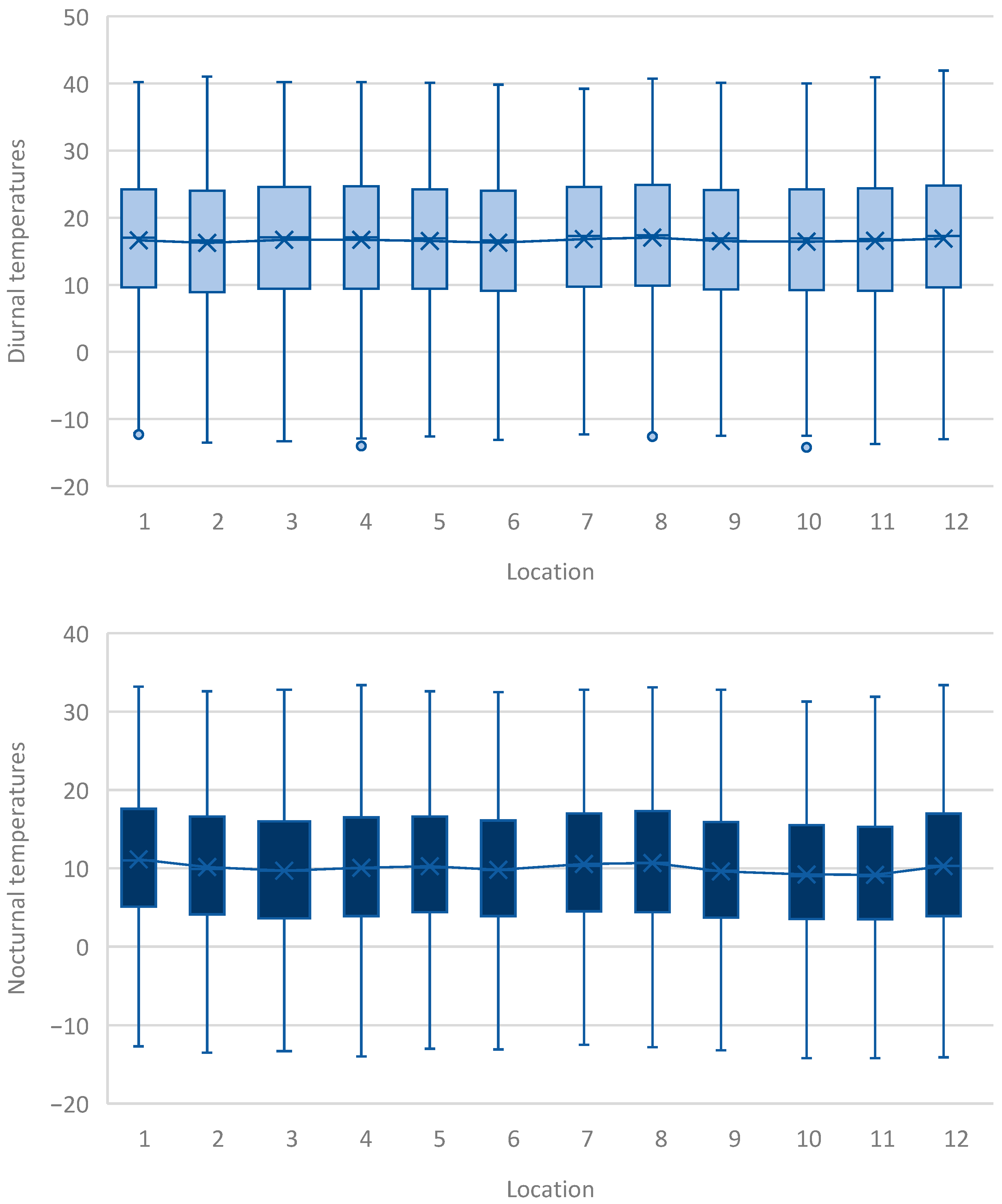
3.2. Diurnal and Nocturnal Variation in Temperature
3.3. Spatial Variability of Greenery
3.4. Buffer Zones
3.5. Relation of Greenery to Climatic Parameters
3.6. Vegetative Activity of Greenery
4. Discussion
Limitations of the Study
5. Conclusions
Supplementary Materials
Author Contributions
Funding
Data Availability Statement
Conflicts of Interest
References
- Bowler, D.E.; Buyung-Ali, L.; Knight, T.M.; Pullin, A.S. Urban greening to cool towns and cities: A systematic review of the empirical evidence. Landsc. Urban Plan. 2010, 97, 147–155. [Google Scholar] [CrossRef]
- Norton, B.A.; Coutts, A.M.; Livesley, S.J.; Harris, R.J.; Hunter, A.M.; Williams, N.S.G. Planning for cooler cities: A framework to prioritise green infrastructure to mitigate high temperatures. Landsc. Urban Plan. 2015, 134, 127–138. [Google Scholar] [CrossRef]
- Shashua-Bar, L.; Pearlmutter, D.; Bitan, A.; Erell, E. The cooling efficiency of urban landscape strategies in a hot dry climate. Landsc. Urban Plan. 2009, 101, 13–22. [Google Scholar] [CrossRef]
- Hemiddi, N.A. Measurement of surface and air temperature over sites with different land treatments. In Proceedings of the Passive and Low Energy Conference, Seville, Spain, 24–27 September 1991. [Google Scholar]
- Narita, K.; Mikami, T.; Sugawara, H.; Honjo, T.; Kimura, K.; Kuwata, N. Cool island and cold air-seeping phenomena in an urban park, Shinjuku Gyoen, Tokyo. Geogr. Rev. Jpn. 2004, 77, 403–420. [Google Scholar] [CrossRef]
- Cao, X.; Onishi, A.; Chen, J.; Imura, H. Quantifying the cool island intensity of urban parks using ASTER and IKONOS data. Landsc. Urban Plan. 2010, 96, 224–231. [Google Scholar] [CrossRef]
- Zhang, K.; Yun, G.; Song, P.; Wang, K.; Li, A.; Du, C.; Jia, X.; Feng, Y.; Wu, M.; Qu, K.; et al. Discover the desirable landscape structure of urban parks for mitigating urban heat: A high spatial resolution study using a forest city, Luoyang, China as a lens. Int. J. Environ. Res. Public Health 2023, 20, 3155. [Google Scholar] [CrossRef]
- Ali, S.B.; Patnaik, S.; Madguni, O. Microclimate land surface temperature across urban land use/land cover forms. Glob. J. Environ. Sci. Manag. 2017, 3, 231–242. [Google Scholar]
- Shao, H.; Kim, G. A comprehensive review of different types of green infrastructure to mitigate urban heat islands: Progress, functions, and benefits. Land 2022, 11, 1792. [Google Scholar] [CrossRef]
- Kong, F.H.; Yin, H.W.; James, P.; Hutyra, L.R.; He, H.S. Effects of spatial pattern of greenspace on urban cooling in a large metropolitan area of eastern China. Landsc. Urban Plan. 2014, 128, 35–47. [Google Scholar] [CrossRef]
- Simović, I.; Tomićević Dubljević, J.; Tošković, O.; Vujčić Trkulja, M.; Živojinović, I. Underlying Mechanisms of Urban Green Areas’ Influence on Residents’ Health—A Case Study from Belgrade, Serbia. Forests 2023, 14, 765. [Google Scholar] [CrossRef]
- Carrillo-Niquete, G.A.; Andrade, J.L.; Valdez-Lazalde, J.R.; Reyes-García, C.; Hernández-Stefanoni, J.L. Characterizing spatial and temporal deforestation and its effects on surface urban heat islands in a tropical city using Landsat time series. Landsc. Urban Plan. 2022, 217, 104280. [Google Scholar] [CrossRef]
- Motazedian, A.; Coutts, A.M.; Tapper, N.J. The microclimatic interaction of a small urban park in central Melbourne with its surrounding urban environment during heat events. Urban For. Urban Green. 2020, 52, 126688. [Google Scholar] [CrossRef]
- Richards, D.R.; Fung, T.K.; Belcher, R.N.; Edwards, P.J. Differential air temperature cooling performance of urban vegetation types in the tropics. Urban For. Urban Green. 2020, 50, 126651. [Google Scholar] [CrossRef]
- Zhang, J.; Gou, Z.; Lu, Y.; Lin, P. The impact of sky view factor on thermal environments in urban parks in a subtropical coastal city of Australia. Urban For. Urban Green. 2019, 44, 126422. [Google Scholar] [CrossRef]
- Cordeiro, A.; Ornelas, A.; Lameiras, J.M. The Thermal Regulator Role of Urban Green Spaces: The Case of Coimbra (Portugal). Forests 2023, 14, 2351. [Google Scholar] [CrossRef]
- Morakinyo, T.E.; Lau, K.K.L.; Ren, C.; Ng, E. Performance of Hong Kong’s common tree species for outdoor temperature regulation, thermal comfort and energy saving. Build. Environ. 2018, 137, 157–170. [Google Scholar] [CrossRef]
- Toparlar, Y.; Blocken, B.; Maiheu, B.; Heijst, G.J.F. Impact of urban microclimate on summertime building cooling demand: A parametric analysis for Antwerp, Belgium. Appl. Energy 2018, 228, 852–872. [Google Scholar] [CrossRef]
- Amani-Beni, M.; Zhang, B.; Xie, G.-D.; Shi, Y. Impacts of urban green landscape patterns on land surface temperature: Evidence from the adjacent area of Olympic Forest Park of Beijing, China. Sustainability 2019, 11, 513. [Google Scholar] [CrossRef]
- Amani-Beni, M.; Zhang, B.; Xie, G.; Odgaard, A. Impacts of the microclimate of a large urban park on its surrounding built environment in the summertime. Remote Sens. 2021, 13, 4703. [Google Scholar] [CrossRef]
- Huang, L.; Zhao, D.; Wang, J.; Zhu, J.; Li, J. Scale impacts of land cover and vegetation corridors on urban thermal behavior in Nanjing, China. Theor. Appl. Climatol. 2008, 94, 241–257. [Google Scholar] [CrossRef]
- Pramanik, S.; Punia, M. Assessment of green space cooling effects in dense urban landscape: A case study of Delhi, India. Model. Earth Syst. Environ. 2019, 5, 867–884. [Google Scholar] [CrossRef]
- Ambarwati, N.; Faida, L.; Marhaento, H. The effects of green open spaces on microclimate and thermal comfort in three integrated campuses in Yogyakarta, Indonesia. Geoplan. J. Geomat. Plan. 2023, 10, 37–44. [Google Scholar] [CrossRef]
- Keikhosravi, G.; Khalidi, S.; Shahmoradi, M. Effects of climates and physical variables of parks on the radius and intensity of cooling of surrounding settlements. Urban Clim. 2023, 51, 101601. [Google Scholar] [CrossRef]
- Chang, C.R.; Li, M.H.; Chang, S.D. A preliminary study on the local cool-island intensity of Taipei city parks. Landsc. Urban Plan. 2007, 80, 386–395. [Google Scholar] [CrossRef]
- Potchter, O.; Cohen, P.; Bitan, A. Climatic behavior of various urban parks during hot and humid summer in Tel Aviv, Israel. Int. J. Climatol. 2006, 26, 1695–1711. [Google Scholar] [CrossRef]
- Giridharan, R.; Lau, S.S.Y.; Ganesan, S.; Givoni, B. Lowering the outdoor temperature in high-rise high-density residential developments of coastal Hong Kong: The vegetation influence. Build. Environ. 2008, 43, 1583–2159. [Google Scholar] [CrossRef]
- Martinez, A.; Labib, S.M. Demystifying normalized difference vegetation index (NDVI) for greenness exposure assessments and policy interventions in urban greening. Environ. Res. 2023, 220, 115155. [Google Scholar] [CrossRef]
- Drori, R.; Dan, H.; Sprintsin, M.; Sheffer, E. Precipitation-Sensitive Dynamic Threshold: A New and Simple Method to Detect and Monitor Forest and Woody Vegetation Cover in Sub-Humid to Arid Areas. Remote Sens. 2020, 12, 1231. [Google Scholar] [CrossRef]
- Mehta, A.; Shukla, S.; Rakholia, S. Vegetation Change Analysis using Normalized Difference Vegetation Index and Land Surface Temperature in Greater Gir Landscape. J. Sci. Res. 2021, 65, 1–6. [Google Scholar] [CrossRef]
- Schiano-Phan, R.; Weber, F.; Santamouris, M. The mitigative potential of urban environments and their microclimates. Buildings 2015, 5, 783–801. [Google Scholar] [CrossRef]
- Simović, I.; Šikoparija, B.; Panić, M.; Radulović, M.; Lugonja, P. Remote Sensing of Poplar Phenophase and Leaf Miner Attack in Urban Forests. Remote Sens. 2022, 14, 6331. [Google Scholar] [CrossRef]
- Chatterjee, R.S.; Singh, N.; Thapa, S.; Sharma, D.; Kumar, D. Retrieval of land surface temperature (LST) from Landsat TM6 and TIRS data by single channel radiative transfer algorithm using satellite and ground-based inputs. Int. J. Appl. Earth Obs. Geoinf. 2017, 58, 264–277. [Google Scholar] [CrossRef]
- Lestari, I.; Dewi, I.; Pratama, L.; Bramono, C.; Nurvaridzi, R.; Suryandari, R.; Widyatmanti, W. Utilization of remote sensing and GIS to identify radius of urban cool island for planning open green area in urban area (case study of Yogyakarta). In Proceedings of the 9th IGRSM International Conference and Exhibition on Geospatial & Remote Sensing (IGRSM 2018), Kuala Lumpur, Malaysia, 24–25 April 2018; IOP Conference Series: Earth and Environmental Science. Volume 169. [Google Scholar]
- Skoulika, F.; Santamouris, M.; Kolokotsa, D.; Boemi, N. On the thermal characteristics and the mitigation potential of a medium-size urban park in Athens, Greece. Landsc. Urban Plan. 2014, 123, 73–86. [Google Scholar] [CrossRef]
- Jauregui, E. Influence of a large urban park on temperature and convective precipitation in a tropical city. Energy Build. 1990, 15, 457–463. [Google Scholar] [CrossRef]
- Zhang, Y.; Wu, Q.; Wu, L.; Li, Y. Measuring community green inequity: A fine-scale assessment of Beijing urban area. Land 2021, 10, 1197. [Google Scholar] [CrossRef]
- Zhang, J.; Cheng, Y.; Li, H.; Wan, Y.; Zhao, B. Deciphering the changes in residential exposure to green spaces: The case of a rapidly urbanizing metropolitan region. Build. Environ. 2021, 188, 107508. [Google Scholar] [CrossRef]
- Yan, D.; Xu, L.; Wang, Q.; Feng, J.; Wu, X. Quantifying Landscape Effects on Urban Park Thermal Environments Using ENVI-Met and 3D Grid Profile Analysis. Forests 2025, 16, 1085. [Google Scholar] [CrossRef]
- Wu, L.; Kim, S.K. Exploring the equality of accessing urban green spaces: A comparative study of Chinese cities. Ecol. Indic. 2021, 121, 107080. [Google Scholar] [CrossRef]
- Song, Y.; Huang, B.; Cai, J.; Chen, B. Dynamic assessments of population exposure to urban greenspace using multi-source big data. Sci. Total Environ. 2018, 634, 1315–1325. [Google Scholar] [CrossRef]
- Sarkar, C.; Webster, C.; Gallacher, J. Residential greenness and prevalence of major depressive disorders: A cross-sectional, observational, associational study of adult UK Biobank participants. Lancet Planet. Health 2018, 2, 162–173. [Google Scholar] [CrossRef]
- Mouly, T.A.; Mishra, G.D.; Hystad, P.; Nieuwenhuijsen, M.; Knibbs, L.D. Residential greenspace and anxiety symptoms among Australian women living in major cities: A longitudinal analysis. Environ. Int. 2023, 179, 108110. [Google Scholar] [CrossRef]
- Spronken-Smith, R.A.; Oke, T.R. The thermal regime of urban parks in two cities with different summer climates. Int. J. Remote Sens. 1998, 19, 2085–2104. [Google Scholar] [CrossRef]
- Upmanis, H.; Eliasson, I.; Lindqvist, S. The influence of green areas on nocturnal temperatures in a high latitude city (Göteborg, Sweden). Int. J. Climatol. 1998, 18, 681–700. [Google Scholar] [CrossRef]
- Chen, X.Z.; Su, Y.X.; Li, D.; Huang, G.Q.; Chen, W.Q.; Chen, S.S. Study on the cooling effects of urban parks on surrounding environments using Landsat TM data: A case study in Guangzhou, southern China. Int. J. Remote Sens. 2012, 33, 5889–5914. [Google Scholar] [CrossRef]
- Hamada, S.; Ohta, T. Seasonal variations in the cooling effect of urban green areas on surrounding urban areas. Urban For. Urban Green. 2010, 9, 15–24. [Google Scholar] [CrossRef]
- Crum, S.M.; Shiflett, S.A.; Jenerette, G.D. The influence of vegetation, mesoclimate and meteorology on urban atmospheric microclimates across a coastal to desert climate gradient. J. Environ. Manag. 2017, 200, 295–303. [Google Scholar] [CrossRef]
- Jusuf, S.K.; Wong, N.H.; Hagen, E.; Anggoro, R.; Yan, H. The influence of land use on the urban heat island in Singapore. Habitat Int. 2007, 31, 232–242. [Google Scholar] [CrossRef]
- Sodoudi, S.; Zhang, H.; Chi, X.; Müller, F.; Li, H. The influence of spatial configuration of green areas on microclimate and thermal comfort. Urban For. Urban Green. 2018, 34, 85–96. [Google Scholar] [CrossRef]
- Statistical Office of the Republic of Serbia. Age and Sex. Data by Settlements. Book 2. 2022 Census of Population, Households and Dwellings. Statistical Office of the Republic of Serbia, Belgrade. 2023. Available online: https://popis2022.stat.gov.rs/sr-latn/5-vestisaopstenja/news-events/20230525-starost-i-pol/ (accessed on 30 October 2025).
- Kottek, M.; Grieser, J.; Beck, C.; Rudolf, B.; Rubel, F. World map of the Köppen–Geiger climate classification updated. Meteorol. Z. 2006, 15, 259–263. [Google Scholar] [CrossRef]
- Republic Hydrometeorological Service of Serbia. Official Website. Available online: https://www.hidmet.gov.rs/index_eng.php (accessed on 30 October 2025).
- Arsenović, D.; Savić, S.; Lužanin, Z.; Radić, I.; Milošević, D.; Arsić, M. Heat-related mortality as an indicator of population vulnerability in a mid-sized Central European city (Novi Sad, Serbia, summer 2015). Geogr. Pannon. 2019, 23, 204–215. [Google Scholar] [CrossRef]
- Savić, S.; Arsenović, D.; Lužanin, Z.; Milošević, D.; Dunjić, J.; Šećerov, I.; Kojić, M.; Radić, I.; Harhaji, S.; Arsić, M. Hospital admission tendencies caused by day-to-day temperature changes during summer: A case study for the city of Novi Sad (Serbia). Int. J. Biometeorol. 2023, 67, 695–704. [Google Scholar] [CrossRef]
- Geletič, J.; Lehnert, M.; Savić, S.; Milošević, D. Inter-/intra-zonal seasonal variability of the surface urban heat island based on Local Climate Zones in three Central European cities. Build. Environ. 2019, 156, 21–32. [Google Scholar] [CrossRef]
- Savić, S.; Krstić, H.; Šećerov, I.; Dunjić, J. Decreasing the energy demand in public buildings using nature-based solutions: Case studies from Novi Sad (Republic of Serbia) and Osijek (Republic of Croatia). Energy Sustain. Soc. 2024, 14, 23. [Google Scholar] [CrossRef]
- Stewart, I.D.; Oke, T.R. Local climate zones for urban temperature studies. Bull. Am. Meteorol. Soc. 2012, 93, 1879–1900. [Google Scholar] [CrossRef]
- Aguilar, E.; Auer, I.; Brunet, M.; Peterson, T.C.; Wieringa, J. Guidelines on Climate Data and Homogenization; WMO-TD 1186, WCDMP-No. 53; World Meteorological Organization: Geneva, Switzerland, 2003; p. 50. [Google Scholar]
- Oke, T.R. Initial Guidance to Obtain Representative Meteorological Observations at Urban Sites; IOM Report 81, WMO/TD No. 1250; World Meteorological Organization: Geneva, Switzerland, 2006; p. 51. [Google Scholar]
- Muller, C.L.; Chapman, L.; Grimmond, C.S.B.; Young, D.T.; Cai, X.-M. Toward a standardized metadata protocol for urban meteorological networks. Bull. Am. Meteorol. Soc. 2013, 94, 1161–1185. [Google Scholar] [CrossRef]
- Šećerov, I.; Savić, S.; Milošević, D.; Arsenović, D.; Dolinaj, D.; Popov, S. Progressing urban climate research using a high-density monitoring network system. Environ. Monit. Assess. 2019, 191, 89. [Google Scholar] [CrossRef] [PubMed]
- Savić, S.; Šećerov, I.; Dunjic, J.; Milošević, D. Hourly Air Temperature Datasets from the City of Novi Sad—NSUNET System. Zenodo 2023. [Google Scholar] [CrossRef]
- Savić, S.; Šećerov, I.; Lalić, B.; Nie, D.; Roantree, M. Air temperature and relative humidity datasets from an urban meteorological network in the city area of Novi Sad (Serbia). Data Brief 2023, 49, 109425. [Google Scholar] [CrossRef]
- de Moura, Y.M.; Galvão, L.S.; Hilker, T.; Wu, J.; Saleska, S.; do Amaral, C.H.; Nelson, B.W.; Lopes, A.P.; Wiedeman, K.K.; Prohaska, N.; et al. Spectral analysis of amazon canopy phenology during the dry season using a tower hyperspectral camera and modis observations. ISPRS J. Photogramm. Remote Sens. 2017, 131, 52–64. [Google Scholar] [CrossRef]
- Moura, Y.M.; Galvão, L.S.; dos Santos, J.R.; Roberts, D.A.; Breunig, F.M. Use of MISR/Terra data to study intra- and inter-annual EVI variations in the dry season of tropical forest. Remote Sens. Environ. 2012, 127, 260–270. [Google Scholar] [CrossRef]
- Dong, J.; Xiao, X.; Wagle, P.; Zhang, G.; Zhou, Y.; Jin, C.; Torn, M.S.; Meyers, T.P.; Suyker, A.E.; Wang, J.; et al. Comparison of four EVI-based models for estimating gross primary production of maize and soybean croplands and tallgrass prairie under severe drought. Remote Sens. Environ. 2015, 162, 154–168. [Google Scholar] [CrossRef]
- Sims, D.A.; Rahman, A.F.; Vermote, E.F.; Jiang, Z. Seasonal and inter-annual variation in view angle effects on MODIS vegetation indices at three forest sites. Remote Sens. Environ. 2011, 115, 3112–3120. [Google Scholar] [CrossRef]
- Huete, A.R.; Didan, K.; Shimabukuro, Y.E.; Ratana, P.; Saleska, S.R.; Hutyra, L.R.; Yang, W.; Nemani, R.R.; Myneni, R. Amazon rainforests green-up with sunlight in dry season. Geophys. Res. Lett. 2006, 33, L06405. [Google Scholar] [CrossRef]
- Huang, S.; Tang, L.; Hupy, J.P.; Wang, J.; Shao, G. A commentary review on the use of normalized difference vegetation index (NDVI) in the era of popular remote sensing. J. For. Res. 2021, 32, 1–6. [Google Scholar] [CrossRef]
- Nielsen, A.B.; Hedblom, M.; Olafsson, A.S.; Wiström, B. Spatial configurations of urban forest in different landscape and socio-political contexts: Identifying patterns for green infrastructure planning. Urban Ecosyst. 2017, 20, 379–392. [Google Scholar] [CrossRef]
- Keravec-Balbot, T.; Rodler, A.; Roupioz, L.; Musy, M.; Gresse, T.; Briottet, X. Identification of urban thermal properties by combining urban microclimate modeling and thermal infrared satellite data. Sustain. Cities Soc. 2025, 118, 105995. [Google Scholar] [CrossRef]
- Blachowski, J.; Hajnrych, M. Assessing the Cooling Effect of Four Urban Parks of Different Sizes in a Temperate Continental Climate Zone: Wroclaw (Poland). Forests 2021, 12, 1136. [Google Scholar] [CrossRef]
- Carrus, G.; Scopelliti, M.; Lafortezza, R.; Colangelo, G.; Ferrini, F.; Salbitano, F.; Agrimi, M.; Portoghesi, L.; Semenzato, P.; Sanesi, G. Go greener, feel better? The positive effects of biodiversity on well-being in urban and peri-urban green areas. Landsc. Urban Plan. 2015, 134, 221–228. [Google Scholar] [CrossRef]
- Yan, Z.; Wu, T.; Xuan, L.; Li, W.; Wang, X.; Dong, L.; Yu, K.; Wang, Y. The Scale-Dependent Differences in Cooling Efficiency of UGS in Different Functional Areas: A Case Study of Xi’an, China. Forests 2024, 15, 1946. [Google Scholar] [CrossRef]
- Kecman, S.; Stojanović, N.; Vukmirović, M.; Vasiljević, N.; Bjedov, I.; Vujović, D. The Impact of the Small Urban Green Space on the Urban Thermal Environment: The Belgrade Case Study (Serbia). Forests 2025, 16, 321. [Google Scholar] [CrossRef]
- Xia, J.; Yan, Y.; Dou, Z.; Han, D.; Zhang, Y. Exploring the Role of Urban Green Spaces in Regulating Thermal Environments: Comparative Insights from Seoul and Busan, South Korea. Forests 2025, 16, 1515. [Google Scholar] [CrossRef]
- Hidalgo-García, D.; Founda, D.; Rezapouraghdam, H.; Jiménez, A.E.; Azinuddin, M. Urban Forest Microclimates and Their Response to Heat Waves—A Case Study for London. Forests 2025, 16, 790. [Google Scholar] [CrossRef]











| Station ID | Station Adress | LCZ Number | LCZ Name | Latitude | Longitude | Station Height | Altitude |
|---|---|---|---|---|---|---|---|
| 1 | Grbavica, ulica Danila Kiša 7 | 2 | compact midrise | 45.249166 | 19.837222 | 3.95 | 79 |
| 2 | Podbara, ulica Zemljane ćuprije 12 | 2 | compact midrise | 45.261388 | 19.848888 | 4.12 | 78 |
| 3 | Telep, ulica Feješ Klare 52c | 3 | compact lowrise | 45.233333 | 19.809722 | 4.05 | 79 |
| 4 | Sajmište, Bulevar Evrope (Veselina Masleše 6) | 5 | open midrise | 45.25 | 19.816111 | 4.02 | 75 |
| 5 | Banatić, ulica Omladinskog pokreta 4 | 5 | open midrise | 45.2625 | 19.826388 | 4.00 | 78 |
| 6 | Liman 3-4, ulica Balzakova 24 | 5 | open midrise | 45.238055 | 19.832777 | 4.08 | 81 |
| 7 | Stari grad, ulica Žarka Zrenjanina 2 | 5 | open midrise | 45.253055 | 19.8475 | 4.16 | 80 |
| 8 | Liman 1-2, ulica Narodnog fronta 1 | 5 | open midrise | 45.2425 | 19.847222 | 4.29 | 78 |
| 9 | Adice, ulica Branka Ćopića 97 | 6 | open lowrise | 45.233611 | 19.791944 | 4.00 | 76 |
| 10 | Petrovaradin, ulica Patrijarha Rajačića 44 | 6 | open lowrise | 45.251388 | 19.875555 | 4.10 | 76 |
| 11 | Petrovaradin, ulica Mažuranićeva 63 | 6 | open lowrise | 45.240555 | 19.881111 | 4.00 | 92 |
| 12 | Industrial Zone South, put Partizanskog novosadskog odreda (Metro) | 8 | large lowrise | 45.272369 | 19.820833 | 4.00 | 77 |
| Year/ Season | 2016 | 2017 | ||||||
|---|---|---|---|---|---|---|---|---|
| Spring | Summer | Autumn | Winter | Spring | Summer | Autumn | Winter | |
| Location | Mean values ± standard deviation | Mean values ± standard deviation | ||||||
| 1 | 14.48 ± 6.12 | 23.64 ± 4.56 | 13.59 ± 6.74 | 5.76 ± 5.14 | 14.96 ± 5.89 | 25.82 ± 5.40 | 14.13 ± 5.73 | 1.56 ± 5.95 |
| 2 | 14.01 ± 6.34 | 23.27 ± 4.85 | 12.76 ± 6.83 | 4.84 ± 5.09 | 14.35 ± 6.16 | 25.39 ± 5.78 | 13.27 ± 5.83 | 0.72 ± 5.92 |
| 3 | 14.00 ± 6.44 | 23.22 ± 5.09 | 12.93 ± 7.07 | 4.92 ± 5.45 | 14.38 ± 6.30 | 25.33 ± 6.03 | 13.37 ± 6.14 | 0.75 ± 6.18 |
| 4 | 13.90 ± 6.36 | 23.08 ± 4.84 | 12.86 ± 7.05 | 4.97 ± 5.46 | 14.48 ± 6.34 | 26.29 ± 5.73 | 13.91 ± 5.98 | 0.64 ± 6.27 |
| 5 | 14.14 ± 6.31 | 23.24 ± 4.88 | 12.88 ± 6.77 | 5.36 ± 5.33 | 14.55 ± 6.15 | 25.34 ± 5.77 | 13.39 ± 5.81 | 0.70 ± 6.10 |
| 6 | 13.79 ± 6.28 | 22.91 ± 4.83 | 12.76 ± 6.88 | 4.85 ± 5.34 | 14.21 ± 6.06 | 25.12 ± 5.81 | 13.18 ± 5.91 | 0.63 ± 6.06 |
| 7 | 14.43 ± 6.23 | 23.55 ± 4.55 | 13.36 ± 6.89 | 5.34 ± 5.28 | 14.82 ± 5.97 | 25.82 ± 5.48 | 13.91 ± 5.94 | 1.26 ± 6.01 |
| 8 | 14.12 ± 6.31 | 23.32 ± 4.81 | 13.03 ± 6.90 | 5.07 ± 5.30 | 15.63 ± 5.99 | 26.71 ± 5.64 | 14.83 ± 5.75 | 1.28 ± 6.10 |
| 9 | 13.76 ± 6.35 | 22.91 ± 5.04 | 12.84 ± 7.01 | 4.91 ± 5.46 | 14.18 ± 6.22 | 25.03 ± 6.01 | 13.25 ± 6.04 | 0.72 ± 6.22 |
| 10 | 13.71 ± 6.39 | 22.77 ± 4.92 | 12.37 ± 6.94 | 4.58 ± 5.29 | 14.04 ± 6.26 | 24.91 ± 5.95 | 12.82 ± 6.05 | 0.64 ± 6.03 |
| 11 | 13.69 ± 6.55 | 22.88 ± 5.39 | 12.41 ± 7.15 | 4.60 ± 5.36 | 14.04 ± 6.43 | 25.04 ± 6.31 | 12.99 ± 6.27 | 0.57 ± 6.15 |
| 12 | 13.87 ± 6.43 | 23.08 ± 5.01 | 12.92 ± 7.13 | 4.71 ± 5.38 | 15.45 ± 6.33 | 26.31 ± 5.96 | 14.68 ± 5.97 | 0.86 ± 6.33 |
| Buffer 250 | ||||
| Location | Spring | Summer | Autumn | Winter |
| 1 | 36.04 | 29.96 | 29.96 | 20.76 |
| 2 | 38.78 | 34.18 | 32.24 | 24.9 |
| 3 | 56.85 | 49.44 | 58.84 | 51.74 |
| 4 | 69.23 | 61.49 | 73.23 | 70.92 |
| 5 | 77.48 | 73.29 | 72.26 | 62.74 |
| 6 | 64.71 | 54.12 | 64.35 | 58.82 |
| 7 | 38.04 | 32.92 | 33.23 | 32 |
| 8 | 54.74 | 45.62 | 53.35 | 45.93 |
| 9 | 78.04 | 67.11 | 77.07 | 78.6 |
| 10 | 54.59 | 49.92 | 61.83 | 51.98 |
| 11 | 71.38 | 65.28 | 73.48 | 64 |
| 12 | 34.05 | 26.21 | 36.77 | 36.97 |
| Buffer 500 | ||||
| Location | Spring | Summer | Autumn | Winter |
| 1 | 36.83 | 42.39 | 35.27 | 25.28 |
| 2 | 33.95 | 36.42 | 32 | 24.53 |
| 3 | 57.41 | 69.1 | 70.98 | 65.9 |
| 4 | 54.56 | 61.25 | 60.68 | 55.97 |
| 5 | 55.84 | 61.23 | 56.45 | 49.35 |
| 6 | 51.26 | 63.47 | 63.66 | 58.96 |
| 7 | 38.47 | 41.89 | 36.82 | 29.64 |
| 8 | 41.87 | 51.3 | 55.01 | 49.71 |
| 9 | 67.83 | 77.68 | 77.37 | 76.1 |
| 10 | 67.09 | 72.47 | 78.1 | 71.06 |
| 11 | 68.26 | 75.74 | 80.21 | 72.11 |
| 12 | 40.77 | 49.47 | 51.82 | 47.34 |
| Buffer 750 | ||||
| Location | Spring | Summer | Autumn | Winter |
| 1 | 42.87 | 48.84 | 43.15 | 34.25 |
| 2 | 36.08 | 39.59 | 36.73 | 30.54 |
| 3 | 61.95 | 74.38 | 73.99 | 70.01 |
| 4 | 50.44 | 57.13 | 55.57 | 50.02 |
| 5 | 58.17 | 64.77 | 61.54 | 53.42 |
| 6 | 52.51 | 63.88 | 63.32 | 60.18 |
| 7 | 39.73 | 43.54 | 40.15 | 32.98 |
| 8 | 47.95 | 57.08 | 60.85 | 55.98 |
| 9 | 68.89 | 80.62 | 81.63 | 80.85 |
| 10 | 72.69 | 78.3 | 85.38 | 79.54 |
| 11 | 74.66 | 83.59 | 88.1 | 81.6 |
| 12 | 48.95 | 59.09 | 62.42 | 58.97 |
| Buffer 1000 | ||||
| Location | Spring | Summer | Autumn | Winter |
| 1 | 57.86 | 50.81 | 52.5 | 44.25 |
| 2 | 39.48 | 35.51 | 37.6 | 33.57 |
| 3 | 84.02 | 73.38 | 83.72 | 78.92 |
| 4 | 64.46 | 57.13 | 62.55 | 55.65 |
| 5 | 63.87 | 56.26 | 61.41 | 54.58 |
| 6 | 70.69 | 60.04 | 70.37 | 65.19 |
| 7 | 43.73 | 38.85 | 40.81 | 34.18 |
| 8 | 51.73 | 44.22 | 52.83 | 47.56 |
| 9 | 83.65 | 72.18 | 84.66 | 83.36 |
| 10 | 82.5 | 76.13 | 89.85 | 85.09 |
| 11 | 85.54 | 76.39 | 92.3 | 86.52 |
| 12 | 58.69 | 49.72 | 60.72 | 57.36 |
| Season | Moran’s Index | Expected Index | Variance | Z-Score | p-Value |
|---|---|---|---|---|---|
| spring | 1.548670 | −0.090909 | 0.417864 | 2.536383 | 0.011200 |
| summer | 1.406119 | −0.090909 | 0.420419 | 2.308813 | 0.020954 |
| autumn | 1.632777 | −0.090909 | 0.417890 | 2.666413 | 0.007667 |
| winter | 1.671196 | −0.090909 | 0.421988 | 2.712575 | 0.006676 |
| Temperature | Greenery Size Buffer 250 m | Greenery Size Buffer 500 m | Greenery Size Buffer 750 m | NDVI ≥ 0.6 Buffer 250 m | NDVI ≥ 0.6 Buffer 500 m | NDVI ≥ 0.6 Buffer 750 m | NDVI ≥ 0.7 Buffer 250 m | NDVI ≥ 0.7 Buffer 500 m | NDVI ≥ 0.7 Buffer 750 m | NDVI ≥ 0.8 Buffer 250 m | NDVI ≥ 0.8 Buffer 500 m | NDVI ≥ 0.8 Buffer 750 m | |
|---|---|---|---|---|---|---|---|---|---|---|---|---|---|
| temperature | 1 | −0.035 | 0.108 | 0.08 | 0.301 * | 0.334 * | 0.268 | 0.347 * | 0.435 ** | 0.397 ** | 0.333 * | 0.444 ** | 0.467 ** |
| greenery size buffer 250 m | −0.035 | 1 | 0.776 ** | 0.662 ** | 0.722 ** | 0.645 ** | 0.554 ** | 0.568 ** | 0.461 ** | 0.407 ** | 0.389 ** | 0.221 | 0.186 |
| greenery size buffer 500 m | 0.108 | 0.776 ** | 1 | 0.969 ** | 0.378 ** | 0.678 ** | 0.716 ** | 0.239 | 0.465 ** | 0.553 ** | 0.111 | 0.179 | 0.273 |
| greenery size buffer 750 m | 0.08 | 0.662 ** | 0.969 ** | 1 | 0.264 | 0.637 ** | 0.736 ** | 0.134 | 0.421 ** | 0.562 ** | 0.022 | 0.136 | 0.269 |
| NDVI ≥0.6 buffer 250 m | 0.301 * | 0.722 ** | 0.378 ** | 0.264 | 1 | 0.701 ** | 0.476 ** | 0.949 ** | 0.697 ** | 0.476 ** | 0.793 ** | 0.590 ** | 0.402 ** |
| NDVI ≥0.6 buffer 500 m | 0.334 * | 0.645 ** | 0.678 ** | 0.637 ** | 0.701 ** | 1 | 0.935 ** | 0.634 ** | 0.931 ** | 0.899 ** | 0.488 ** | 0.673 ** | 0.652 ** |
| NDVI ≥0.6 buffer 750 m | 0.268 | 0.554 ** | 0.716 ** | 0.736 ** | 0.476 ** | 0.935 ** | 1 | 0.401 ** | 0.831 ** | 0.939 ** | 0.269 | 0.534 ** | 0.637 ** |
| NDVI ≥0.7 buffer 250 m | 0.347 * | 0.568 ** | 0.239 | 0.134 | 0.949 ** | 0.634 ** | 0.401 ** | 1 | 0.723 ** | 0.475 ** | 0.930 ** | 0.709 ** | 0.491 ** |
| NDVI ≥0.7 buffer 500 m | 0.435 ** | 0.461 ** | 0.465 ** | 0.421 ** | 0.697 ** | 0.931 ** | 0.831 ** | 0.723 ** | 1 | 0.917 ** | 0.656 ** | 0.876 ** | 0.818 ** |
| NDVI ≥0.7 buffer 750 m | 0.397 ** | 0.407 ** | 0.553 ** | 0.562 ** | 0.476 ** | 0.899 ** | 0.939 ** | 0.475 ** | 0.917 ** | 1 | 0.403 ** | 0.730 ** | 0.832 ** |
| NDVI ≥0.8 buffer 250 m | 0.333 * | 0.389 ** | 0.111 | 0.022 | 0.793 ** | 0.488 ** | 00.269 | 0.930 ** | 0.656 ** | 0.403 ** | 1 | 0.763 ** | 0.524 ** |
| NDVI ≥0.8 buffer 500 m | 0.444 ** | 0.221 | 0.179 | 0.136 | 0.590 ** | 0.673 ** | 0.534 ** | 0.709 ** | 0.876 ** | 0.730 ** | 0.763 ** | 1 | 0.901 ** |
| NDVI ≥0.8 buffer 750 m | 0.467 ** | 0.186 | 0.273 | 0.269 | 0.402 ** | 0.652 ** | 0.637 ** | 0.491 ** | 0.818 ** | 0.832 ** | 0.524 ** | 0.901 ** | 1 |
Disclaimer/Publisher’s Note: The statements, opinions and data contained in all publications are solely those of the individual author(s) and contributor(s) and not of MDPI and/or the editor(s). MDPI and/or the editor(s) disclaim responsibility for any injury to people or property resulting from any ideas, methods, instructions or products referred to in the content. |
© 2025 by the authors. Licensee MDPI, Basel, Switzerland. This article is an open access article distributed under the terms and conditions of the Creative Commons Attribution (CC BY) license (https://creativecommons.org/licenses/by/4.0/).
Share and Cite
Simović, I.; Radulović, M.; Dunjić, J.; Savić, S.; Šećerov, I. Influence of Urban Greenery on Microclimate Across Temporal and Spatial Scales. Forests 2025, 16, 1729. https://doi.org/10.3390/f16111729
Simović I, Radulović M, Dunjić J, Savić S, Šećerov I. Influence of Urban Greenery on Microclimate Across Temporal and Spatial Scales. Forests. 2025; 16(11):1729. https://doi.org/10.3390/f16111729
Chicago/Turabian StyleSimović, Isidora, Mirjana Radulović, Jelena Dunjić, Stevan Savić, and Ivan Šećerov. 2025. "Influence of Urban Greenery on Microclimate Across Temporal and Spatial Scales" Forests 16, no. 11: 1729. https://doi.org/10.3390/f16111729
APA StyleSimović, I., Radulović, M., Dunjić, J., Savić, S., & Šećerov, I. (2025). Influence of Urban Greenery on Microclimate Across Temporal and Spatial Scales. Forests, 16(11), 1729. https://doi.org/10.3390/f16111729

