Bird Community, Forest Structure and Landscape Affects the Susceptibility to Open-Cup Nest Predation in Austral Forests
Abstract
1. Introduction
2. Materials and Methods
2.1. Study Site
2.2. Sampling Design
2.3. Artificial Nest Experiment
2.4. Bird Counts
2.5. Forest Structure and Landscape Variables
2.6. Data Analysis
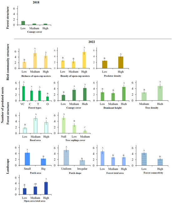
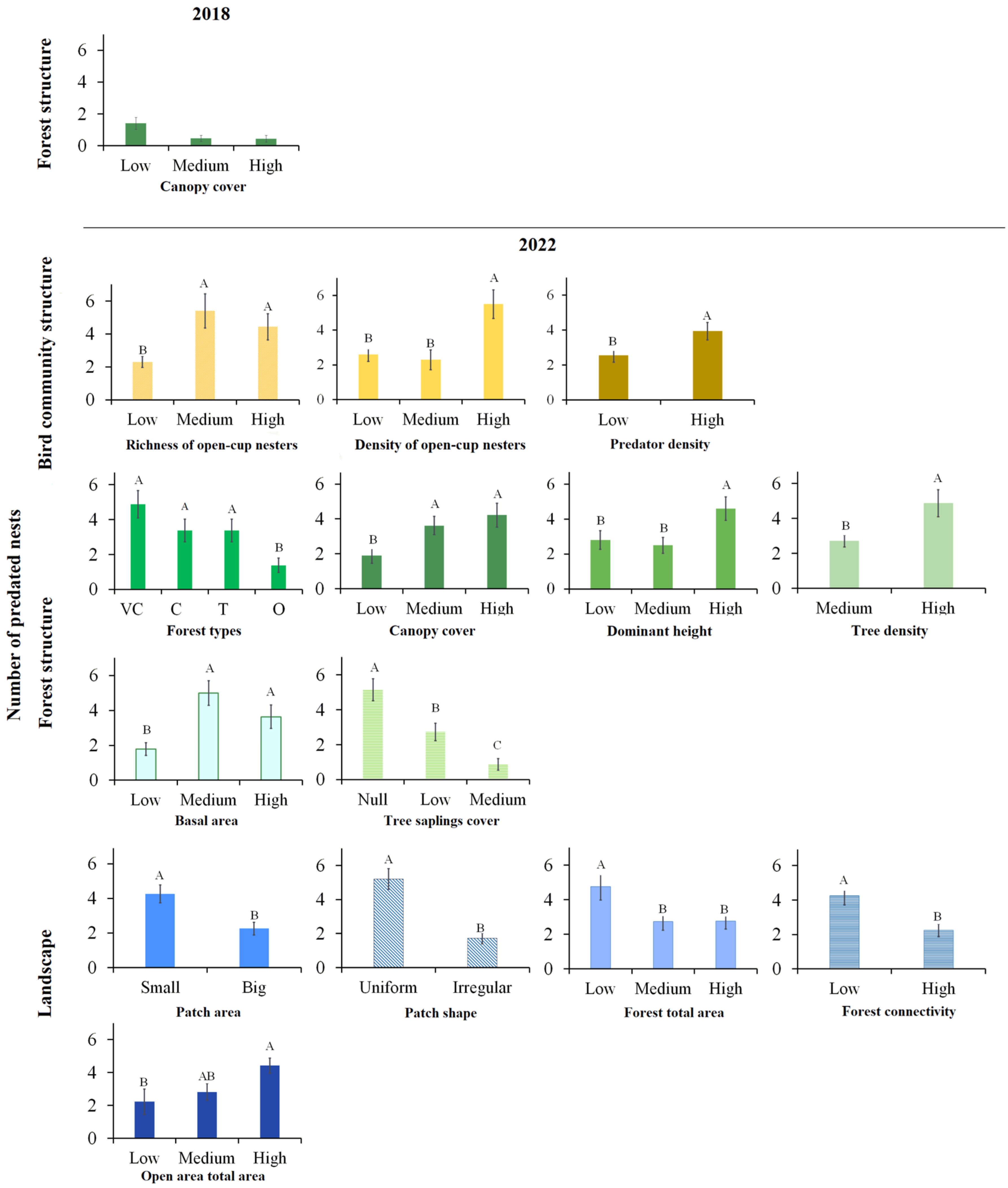
3. Results
4. Discussion
5. Conclusions
Author Contributions
Funding
Data Availability Statement
Acknowledgments
Conflicts of Interest
Abbreviations
| T | Thinned forests |
| O | Open unthinned forests |
| C | Closed unthinned forests |
| VC | Very Closed unthinned forests |
| AIC | Akaike Information Criterion |
| GLM | Generalized Linear Models |
Appendix A
| Variable | Null | Low | Medium | High |
|---|---|---|---|---|
| Bird community structure | ||||
| Richness of open-cup nesters | 0–1 | 2 | 3–5 | |
| Density of open-cup nesters (ind ha−1) | 0–2.0 | 2.1–4.0 | >4.1 | |
| Density of large open-cup nests (ind ha−1) | 0 | 0.1–1.3 | >1.3 | |
| Predator richness | 0 | 1.0 | >1.0 | |
| Predator density (ind ha−1) | 0 | 0.1–1.0 | >1.0 | |
| Forest structure | ||||
| Canopy cover (%) | 10–59 | 60–79 | 80–100 | |
| Dominant height (m) | 5.7–9.0 | 9.1–12.0 | 12.1–15.3 | |
| Mean diameter (cm) | <20 | 20–40 | >40 | |
| Tree density (ind ha−1) | <1000 | >1000 | ||
| Basal area (m2 ha−1) | <25 | 25–40 | >40 | |
| Tree saplings (%) | 0 | 0.1–5.0 | >5.0 | |
| Total understory plants (%) | <70 | 70–85 | >85 | |
| Landscape | ||||
| Patch area (ha) | <100 | >100 | ||
| Patch shape | <4 | >4 | ||
| Forest total area (ha) | <70 | 70–180 | >180 | |
| Forest connectivity (%) | <10 | >10 | ||
| Open area total area (ha) | <120 | 120–200 | >200 | |
| Open area connectivity (%) | <15 | >15 |
References
- Martin, T.E. Avian life history evolution in relation to nest sites, nest predation and food. Ecol. Monogr. 1995, 65, 101–127. [Google Scholar] [CrossRef]
- Newton, I. Population Limitation in Birds; Academic Press: London, UK, 1998. [Google Scholar]
- Rosoni, J.R.R.; Fontana, C.S.; Carlos, C.J. Nest predation of the Chestnut Seedeater Sporophila cinnamomea (Passeriformes: Thraupidae) by the Patagonian Green Racer Pseudablabes patagoniensis (Serpentes: Dipsadidae) in the Brazilian Pampas. Herpetol. Notes 2023, 16, 539–541. [Google Scholar]
- Rao, X.; Li, J.; He, B.; Wang, H.; Wu, G.; Teng, T.; Ling, Q. Nesting success and potential nest predators of the red Junglefowl (Gallus gallus jabouillei) based on camera traps and artificial nest experiments. Front. Ecol. Evol. 2023, 11, 1127139. [Google Scholar] [CrossRef]
- Martin, T.E. Nest predation among vegetation layers and habitat types: Revising the dogmas. Am. Nat. 1993, 141, 897–913. [Google Scholar] [CrossRef]
- Thompson, F.R., III. Factors affecting nest predation on forest songbirds in North America. Ibis 2007, 149, 98–109. [Google Scholar] [CrossRef]
- Matysioková, B.; Remeš, V. Nest predation decreases with increasing nest height in forest songbirds: A comparative study. J. Ornithol. 2024, 165, 257–261. [Google Scholar] [CrossRef]
- Remeš, V.; Matysioková, B.; Cockburn, A. Long-term and largescale analyses of nest predation patterns in Australian songbirds and a global comparison of nest predation rates. J. Avian Biol. 2012, 43, 435–444. [Google Scholar] [CrossRef]
- Sherry, T.W.; Wilson, S.; Hunter, S.; Holmes, R.T. Impacts of nest predators and weather on reproductive success and population limitation in a long-distance migratory songbird. J. Avian Biol. 2015, 46, 559–569. [Google Scholar] [CrossRef]
- Matysioková, B.; Remeš, V. Evolution of parental activity at the nest is shaped by the risk of nest predation and ambient temperature across bird species. Evolution 2018, 72, 2214–2224. [Google Scholar] [CrossRef]
- Unzeta, M.; Martin, T.E.; Sol, D. Daily nest predation rates decrease with body size in passerine birds. Am. Nat. 2020, 196, 743–754. [Google Scholar] [CrossRef]
- Bellamy, P.E.; Burgess, M.D.; Mallord, J.W.; Cristinacce, A.; Orsman, C.J.; Davis, T.; Grice, P.V.; Charman, E.C. Nest predation and the influence of habitat structure on nest predation of Wood Warbler Phylloscopus sibilatrix, a ground-nesting forest passerine. J. Ornithol. 2018, 159, 493–506. [Google Scholar] [CrossRef]
- Tallei, E.; Rivera, L.; Schaaf, A.; Scheffer, M.; Politi, N. Post-logging effects on nest predation and avian predator assemblages in a subtropical forest. For. Ecol. Manag. 2022, 505, 119858. [Google Scholar] [CrossRef]
- Skutch, A.F. Do tropical birds rear as many young as they can nourish? Ibis 1949, 91, 430–455. [Google Scholar] [CrossRef]
- Rastogi, A.D.; Zanette, L.; Clinchy, M. Food availability affects diurnal nest predation and adult antipredator behaviour in song sparrows, Melospiza melodia. Anim. Behav. 2006, 72, 933–940. [Google Scholar] [CrossRef]
- Rangel-Salazar, J.L.; Martin, K.; Marshall, P.; Elner, R.W. Influence of habitat variation, nest-site selection, and parental behavior on breeding success of Ruddy-capped Nightingale Thrushes (Catharus frantzii) in Chiapas, Mexico. Auk 2008, 125, 358–367. [Google Scholar] [CrossRef]
- Chalfoun, A.D.; Thompson III, F.R.; Ratnaswamy, M.J. Nest predators and fragmentation: A review and meta-analysis. Conserv. Boil. 2002, 16, 306–318. [Google Scholar] [CrossRef]
- Hoset, K.S.; Husby, M. Are predation rates comparable between natural and artificial open-cup tree nests in boreal forest landscapes? PLoS ONE 2019, 14, e0210151. [Google Scholar] [CrossRef] [PubMed]
- Hoover, J.P.; Brittingham, M.C. Nest-site selection and nesting success of Wood Thrushes. Wilson Bull. 1998, 110, 375–383. [Google Scholar]
- Wang, Y.; Liu, J.; Gao, S.; Tong, S.; Wang, Z.; Li, N. Foraging Guilds of Birds in Continuous and Fragmented Forests of Southeast China. Forests 2025, 16, 861. [Google Scholar] [CrossRef]
- Benitez, J.; Barrera, M.D.; Sola, F.J.; Blazina, A.P.; Martínez Pastur, G.J.; Peri, P.L.; Lencinas, M.V. Effects of long-term low intensity silviculture and habitat on birds in Nothofagus antarctica forests of south Patagonia. For. Ecol. Manag. 2022, 516, 120254. [Google Scholar] [CrossRef]
- Dagan, U.; Izhaki, I. Vegetation structure governs nest predation in three types of conifer forest habitats. Eur. J. For. Res. 2020, 139, 721–729. [Google Scholar] [CrossRef]
- Evans, K.L. The potential for interactions between predation and habitat change to cause population declines of farmland birds. Ibis 2004, 146, 1–13. [Google Scholar] [CrossRef]
- Eggers, S.; Griesser, M.; Andersson, T.; Ekman, J. Nest predation and habitat change interact to influence Siberian jay numbers. Oikos 2005, 111, 150–158. [Google Scholar] [CrossRef]
- Valladares, F. La disponibilidad de luz bajo el dosel de los bosques y matorrales ibéricos estimada mediante fotografía hemisférica. Ecología 2006, 20, 11–30. [Google Scholar]
- Visco, D.M.; Michel, N.L.; Boyle, W.A.; Sigel, B.J.; Woltmann, S.; Sherry, T.W. Patterns and causes of understory bird declines in human-disturbed tropical forest landscapes: A case study from Central America. Biol. Conserv. 2015, 191, 117–129. [Google Scholar] [CrossRef]
- Martínez Pastur, G.J.; Cellini, J.M.; Chaves, J.E.; Rodríguez-Souilla, J.; Benitez, J.; Rosas, Y.M.; Soler, R.M.; Lencinas, M.V.; Peri, P.L. Changes in forest structure modify understory and livestock occurrence along the natural cycle and different management strategies in Nothofagus antarctica forests. Agrofor. Syst. 2022, 96, 1039–1052. [Google Scholar] [CrossRef]
- Peri, P.L.; Martínez Pastur, G.; Monelos, L.; Livraghi, E.; Allogia, M.; Christiansen, R.; Sturzenbaum, M.V. Sistemas silvopastoriles en bosques nativos de ñire: Una estrategia para el desarrollo sustentable en la Patagonia Sur. In Dinámicas Mundiales, Integración Regional y Patrimonio en Espacios Periféricos, 1st ed.; Zárate, R., Artesi, L., Eds.; Universidad Nacional de la Patagonia Austral: Río Gallegos, Argentina, 2005; pp. 251–259. [Google Scholar]
- Ormaechea, S.; Peri, P.L. Landscape heterogeneity influences on sheep habits under extensive grazing management in Southern Patagonia. Liv. Res. Rural Dev. 2015, 27, e105. [Google Scholar]
- Benitez, J. Las Comunidades de Aves Terrestres Como Indicadores de Impacto en Bosques de Nothofagus antarctica de Tierra del Fuego. Ph.D. Thesis, Universidad Nacional de La Plata, La Plata, Argentina, 2021. [Google Scholar]
- Hagar, J.C.; Owen, T.; Stevens, T.K.; Waianuhea, L.K. Response of corvid nest predators to thinning: Implications for balancing short-and long-term goals for restoration of forest habitat. Avian Conserv. Ecol. 2024, 19, 3. [Google Scholar] [CrossRef]
- Liljesthröm, M.; Fasola, L.; Valenzuela, A.; Raya Rey, A.; Schiavini, A. Nest predators of flightless steamer-ducks (Tachyeres pteneres) and flying steamer-ducks (Tachyeres patachonicus). Waterbirds 2014, 37, 210–214. [Google Scholar] [CrossRef]
- Maley, B.M.; Anderson, C.B.; Stodola, K.; Rosemond, A.D. Identifying native and exotic predators of ground-nesting songbirds in subantartic forests in southern Chile. Ann. Inst. Patagon. 2011, 39, 51–57. [Google Scholar] [CrossRef][Green Version]
- Vazquez, M.S.; Rodríguez-Cabal, M.A.; Gonzalez, D.V.; Pacheco, G.S.; Amico, G.C. Different nest predator guild associated with egg size in the Patagonian temperate forest. Bird Study 2018, 65, 478–483. [Google Scholar] [CrossRef]
- Crego, R.D.; Jara, R.F.; Rozzi, R.; Jiménez, J.E. Unexpected lack of effect of the invasive American mink on nesting survival of forest birds. Ornitol. Neotrop. 2020, 31, 88–97. [Google Scholar] [CrossRef]
- Jara, R.F.; Crego, R.D.; Samuel, M.D.; Rozzi, R.; Jiménez, J.E. Nest-site selection and breeding success of passerines in the world’s southernmost forests. PeerJ 2020, 8, e9892. [Google Scholar] [CrossRef] [PubMed]
- Vazquez, M.S.; Amico, G.C. Nest predation in Patagonian wetlands: Predator assemblage and microhabitat characteristics. Emu 2023, 123, 24–34. [Google Scholar] [CrossRef]
- Vazquez, M.S.; Zamora-Nasca, L.B.; Rodriguez-Cabal, M.A.; Amico, G.C. Interactive effects of habitat attributes and predator identity explain avian nest predation patterns. Emu 2021, 121, 250–260. [Google Scholar] [CrossRef]
- Benitez, J.; Barrera, M.D.; Rosas, Y.M.; Martínez Pastur, G.J.; Lencinas, M.V. Landscape and stand characteristics influence on the bird assemblage in Nothofagus antarctica Forests of Tierra del Fuego. Land 2022, 11, 1332. [Google Scholar] [CrossRef]
- Martínez Pastur, G.J.; Cellini, J.M.; Lencinas, M.V.; Barrera, M.; Peri, P.L. Environmental variables influencing regeneration of Nothofagus pumilio in a system with combined aggregated and dispersed retention. For. Ecol. Manag. 2011, 261, 178–186. [Google Scholar] [CrossRef]
- Lencinas, M.V.; Martínez Pastur, G.; Medina, M.; Busso, C. Richness and density of birds in timber Nothofagus pumilio forests and their unproductive associated environments. Biodivers. Conserv. 2005, 14, 2299–2320. [Google Scholar] [CrossRef]
- Soler, R.M. Regeneración Natural de Nothofagus antarctica en Bosques Primarios, Secundarios y Bajo Uso Silvopastoril. Ph.D. Thesis, Universidad Nacional de Córdoba, Córdoba, Argentina, 2012. [Google Scholar]
- Major, R.E.; Kendal, C.E. The contribution of artificial nest experiments to understanding avian reproductive success: A review of methods and conclusions. Ibis 1996, 138, 298–307. [Google Scholar] [CrossRef]
- Villard, M.A.; Pärt, T. Don’t put all your eggs in real nests: A sequel to Faaborg. Conserv. Boil. 2004, 18, 371–372. [Google Scholar] [CrossRef]
- Roos, S. Functional response, seasonal decline and landscape differences in nest predation risk. Oecologia 2002, 133, 608–615. [Google Scholar] [CrossRef]
- Batáry, P.; Báldi, A. Factors affecting the survival of real and artificial great reed warbler’s nests. Biologia 2005, 60, 215–219. [Google Scholar]
- Ludwig, M.; Schlinkert, H.; Holzschuh, A.; Fischer, C.; Scherber, C.; Trnka, A.; Tscharntke, T.; Batáry, P. Land-scape-moderated bird nest predation in hedges and forest edges. Acta Oecol. 2012, 45, 50–56. [Google Scholar] [CrossRef]
- Mandema, F.S.; Tinbergen, J.M.; Ens, B.J.; Bakker, J.P. Livestock grazing and trampling of birds’ nests: An experiment using artificial nests. J. Coast. Conserv. 2013, 17, 409–416. [Google Scholar] [CrossRef]
- Altamirano, T.A.; Ibarra, J.T.; Hernández, F.; Rojas, I.; Laker, J.; Bonacic, C. Hábitos de Nidificación de las Aves del Bosque Templado Andino de Chile; Pontificia Universidad Católica de Chile: Santiago de Chile, Chile, 2012; p. 113. [Google Scholar]
- Jara, R.F.; Crego, R.D.; Arellano, F.J.; Altamirano, T.A.; Ibarra, J.T.; Rozzi, R.; Jiménez, J.E. Breeding strategies of open-cup-nesting birds in sub-Antarctic forests of Navarino Island, Chile. Rev. Chil. Hist. Nat. 2019, 92, 2. [Google Scholar] [CrossRef]
- Larivière, S. Reasons why predators cannot be inferred from nest remains. Condor 1999, 101, 718–721. [Google Scholar] [CrossRef]
- Gorosito, C.A.; Tuero, D.T.; Cueto, V.R. More is better: Predator dilution effect increases Chilean Elaenia (Elaenia chilensis) nest survival. J. Ornithol. 2024, 165, 147–155. [Google Scholar] [CrossRef]
- Cerda-Pena, C.; Rau, J.R. Potential predators of nests of aquatic birds of the wetlands of Caulín, Chiloé, south of Chile and evaluation of methods of detection. Gayana 2018, 82, 171–176. [Google Scholar]
- Liljesthröm, M.; Schiavini, A.; Sáenz Samaniego, R.A.; Fasola, L.; Raya Rey, A. Kelp Geese (Chloephaga hybrida) and Flightless Steamer-Ducks (Tachyeres pteneres) in the Beagle Channel: The importance of islands in providing nesting habitat. Wilson J. Ornithol. 2013, 125, 583–591. [Google Scholar] [CrossRef]
- Reyes-Arriagada, R.; Jiménez, J.E.; Rozzi, R. Daily patterns of activity of passerine birds in a Magellanic sub-Antarctic forest at Omora Park (55 S), Cape Horn Biosphere Reserve, Chile. Polar Biol. 2015, 38, 401–411. [Google Scholar] [CrossRef]
- Lencinas, M.V.; Martínez Pastur, G.; Gallo, E.; Cellini, J.M. Alternative silvicultural practices with variable retention improve bird conservation in managed South Patagonian forests. For. Ecol. Manag. 2009, 258, 472–480. [Google Scholar] [CrossRef]
- Shields, W.M. The effect of time of day on avian census results. Auk 1977, 94, 380–383. [Google Scholar] [CrossRef]
- A Classification of the Bird Species of South America. American Ornithological Society. Available online: www.museum.lsu.edu/~Remsen/SACCBaseline.htm (accessed on 8 April 2020).
- De la Peña, M.R. Aves Argentinas: Huevos y Nidos; Eudeba-Ediciones UNL: Buenos Aires, Argentina, 2015; p. 82. [Google Scholar]
- Di Rienzo, J.A.; del Carmen, R.M. Un paquete R para el cálculo de medias ajustadas para modelos lineales y lineales generalizados. In Proceedings of the Décimo Congreso Latinoamericano de Sociedades de Estadística, Córdoba, Argentina, 16–19 October 2012. [Google Scholar]
- Quinn, G.P.; Keough, M.J. Experimental Design and Data Analysis for Biologists; Cambridge University Press: Cambridge, UK, 2002; p. 621. [Google Scholar]
- Burnham, K.P.; Anderson, D.R. Model Selection and Inference: A Practical Information-Theoretic Approach, 2nd ed.; Springer: New York, NY, USA, 2002; p. 488. [Google Scholar] [CrossRef]
- InfoStat Software Estadístico. Available online: http://www.infostat.com.ar (accessed on 29 September 2020).
- Dunn, O.J. An empirical study of the Bonferroni procedure for multiple t-tests. Commun. Stat. 1961, 1, 1–13. [Google Scholar]
- Liebezeit, J.R.; George, T.L. Nest predators, nest-site selection, and nesting success of the Dusky Flycatcher in a managed ponderosa pine forest. Condor 2002, 104, 507–517. [Google Scholar] [CrossRef]
- Colombelli-Négrel, D.; Kleindorfer, S. Nest height, nest concealment, and predator type predict nest predation in superb fairy-wrens (Malurus cyaneus). Ecol. Res. 2009, 24, 921–928. [Google Scholar] [CrossRef]
- Segura, L.N.; Masson, D.A.; Gantchoff, M.G. Microhabitat nest cover effect on nest survival of the Red-crested Cardinal. Wilson J. Ornithol. 2012, 124, 506–512. [Google Scholar] [CrossRef]
- Malzer, I.; Helm, B. The seasonal dynamics of artificial nest predation rates along edges in a mosaic managed reedbed. PLoS ONE 2015, 10, e0140247. [Google Scholar] [CrossRef]
- Hersbach, H.; Bell, B.; Berrisford, P.; Hirahara, S.; Horanyi, A.; Munoz-Sabater, J.; Nicolas, J.; Peubey, C.; Radu, R.; Schepers, D.; et al. The ERA5 global reanalysis. Q. J. R. Meteorol. Soc. 2020, 146, 1999–2049. [Google Scholar] [CrossRef]
- Gorban, I.; Trakimas, G.; Stasiukynas, L.; Lekoveckaitė, A.; Samas, A.; Podėnienė, V. Precipitation as the primary environmental driver of saproxylic fly diversity (diptera: Bibionomorpha and Tipulomorpha) in forest ecosystems. Insects 2025, 16, 1109. [Google Scholar] [CrossRef]
- Couve, E.; Vidal, C. Aves de Patagonia, Tierra del Fuego y Península Antártica; Fantástico Sur Birding Ltda.: Punta Arenas, Chile, 2003; p. 656. [Google Scholar]
- Biondi, L.M.; Bó, M.S.; Favero, M. Dieta del chimango (Milvago chimango) durante el periodo reproductivo en el sudeste de la provincia de Buenos Aires, Argentina. Ornitol. Neotrop. 2005, 16, 3. [Google Scholar]
- Humphrey, P.; Bridge, D.; Reynolds, P.; Peterson, R. Birds of Isla Grande (Tierra del Fuego); Smithsonian Institution: Washington, DC, USA, 1970; p. 411. [Google Scholar]
- Morrison, J.L.; Phillips, L.M. Nesting habitat and success of the Chimango Caracara in southern Chile. Wilson Bull. 2000, 112, 225–232. [Google Scholar] [CrossRef]
- Maag, N.; Mallord, J.W.; Burgess, M.D.; Lüpold, S.; Cristinacce, A.; Arlettaz, R.; Carlotti, S.; Davis, T.M.; Grendelmeier, A.; Orsman, C.J.; et al. Accounting for predator species identity reveals variable relationships between nest predation rate and habitat in a temperate forest songbird. Ecol. Evol. 2022, 12, e7411. [Google Scholar] [CrossRef] [PubMed]




| Species | 2018 | 2022 | ||||||
|---|---|---|---|---|---|---|---|---|
| VC | C | T | O | VC | C | T | O | |
| Open cup nesters | ||||||||
| Anairetes parulus | 0.1 | 1.4 | 0.2 | 0.8 | 0.1 | |||
| Curaeus curaeus | 0.3 | 0.2 | 0.1 | 0.4 | 0.3 | 0.1 | ||
| Elaenia albiceps | 2.1 | 1.4 | 1.1 | 0.7 | ||||
| Phrygilus patagonicus | 0.3 | 0.2 | 0.5 | 0.3 | 0.6 | 0.1 | ||
| Spinus barbatus | 0.2 | 0.8 | 2.2 | 0.1 | 0.2 | 0.4 | 1.3 | |
| Turdus falklandii | 0.2 | 0.1 | 0.1 | 0.4 | 0.8 | 0.5 | 0.5 | 0.2 |
| Xolmis pyrope | 0.3 | 0.2 | 0.2 | 0.2 | ||||
| Zonotrichia capensis | 0.5 | 0.8 | 0.6 | 1.2 | 0.8 | 0.7 | ||
| Total density | 3.2 | 2.5 | 4.4 | 2.8 | 3.3 | 3.5 | 3.9 | 1.2 |
| Total richness | 6 | 4 | 6 | 7 | 5 | 7 | 6 | 5 |
| Potential nest predators | ||||||||
| Campephilus magellanicus | 0.1 | 0.1 | 1.0 | |||||
| Caracara plancus | 0.2 | 0.1 | 0.1 | 0.1 | ||||
| Curaeus curaeus | 0.3 | 0.2 | 0.1 | 0.4 | 0.3 | 0.1 | ||
| Milvago chimango | 0.5 | 3.0 | 0.2 | 0.1 | ||||
| Theristicus melanopis | 0.2 | |||||||
| Troglodytes aedon | 0.5 | 0.3 | 0.8 | 0.8 | 0.6 | 1.2 | 1.0 | 0.4 |
| Xolmis pyrope | 0.3 | 0.2 | 0.2 | 0.2 | ||||
| Total density | 0.9 | 0.6 | 1.9 | 1.2 | 4.6 | 1.8 | 1.8 | 0.8 |
| Total richness | 3 | 3 | 5 | 4 | 3 | 3 | 5 | 4 |
| Species | Predatory | Not Predatory |
|---|---|---|
| Milvago chimango | 8 | 2 |
| Xolmis pyrope * | 1 | |
| Campephilus magellanicus (female) | 1 | 1 |
| Aphrastura spinicauda | 6 | |
| Lycalopex griseus | 2 | |
| Theristicus melanopis | 2 | |
| Curaeus curaeus | 1 | |
| Pygarrhichas albogularis | 1 | |
| Troglodytes aedon | 1 | |
| Turdus falcklandii | 1 |
| Explanatory Variables | 2018 | 2022 | ||||||
|---|---|---|---|---|---|---|---|---|
| F-Value | p-Value | Adjusted p-Values | AIC | F-Value | p-Value | Adjusted p-Values | AIC | |
| Bird community structure | ||||||||
| Richness of open-cup nesters | 1.8 | 0.19 | 3.61 | 84.1 | 7.5 | <0.01 | 0.05 | 146.2 |
| Density of open-cup nesters | 3.0 | 0.07 | 1.33 | 81.4 | 8.0 | <0.01 | 0.03 | 146.2 |
| Density of large open-cup nesters | 2.8 | 0.08 | 1.52 | 82.0 | 1.5 | 0.24 | 4.56 | 158.2 |
| Predator richness | 2.1 | 0.14 | 2.66 | 83.5 | 1.4 | 0.27 | 5.13 | 158.3 |
| Predator density | 2.3 | 0.14 | 2.66 | 83.2 | 4.6 | 0.04 | 0.76 | 154.4 |
| Forest structure | ||||||||
| Forest types | 2.5 | 0.08 | 1.52 | 82.5 | 4.7 | 0.01 | 0.19 | 146.3 |
| Canopy cover | 3.7 | 0.04 | 0.76 | 80.4 | 4.2 | 0.03 | 0.57 | 151.5 |
| Dominant height | 1.9 | 0.17 | 3.23 | 84.2 | 4.0 | 0.03 | 0.57 | 153.2 |
| Mean diameter | 2.0 | 0.15 | 2.85 | 83.8 | 2.0 | 0.15 | 2.85 | 157.0 |
| Tree density | 1.9 | 0.18 | 3.42 | 83.6 | 8.4 | 0.01 | 0.19 | 151.1 |
| Basal area | 2.0 | 0.15 | 2.85 | 83.8 | 8.8 | <0.01 | 0.02 | 141.6 |
| Tree saplings | 1.3 | 0.29 | 5.51 | 85.4 | 12.3 | <0.01 | 0.00 | 128.1 |
| Total understory plants | 1.7 | 0.20 | 3.8 | 83.2 | 0.8 | 0.47 | 8.93 | 159.5 |
| Landscape | ||||||||
| Patch area | 2.6 | 0.12 | 2.28 | 83.2 | 9.5 | <0.01 | 0.08 | 149.0 |
| Patch shape | 1.0 | 0.32 | 6.08 | 84.8 | 26.7 | <0.01 | 0.00 | 129.4 |
| Forest total area | 1.9 | 0.17 | 3.23 | 83.6 | 3.6 | 0.04 | 0.76 | 154.2 |
| Forest connectivity | 2.6 | 0.12 | 2.28 | 83.2 | 9.5 | <0.01 | 0.08 | 149.0 |
| Open area total area | 2.7 | 0.08 | 1.52 | 82.6 | 4.2 | 0.03 | 0.57 | 152.6 |
| Open area connectivity | 2.9 | 0.10 | 1.90 | 82.8 | 2.0 | 0.03 | 3.23 | 157.0 |
Disclaimer/Publisher’s Note: The statements, opinions and data contained in all publications are solely those of the individual author(s) and contributor(s) and not of MDPI and/or the editor(s). MDPI and/or the editor(s) disclaim responsibility for any injury to people or property resulting from any ideas, methods, instructions or products referred to in the content. |
© 2025 by the authors. Licensee MDPI, Basel, Switzerland. This article is an open access article distributed under the terms and conditions of the Creative Commons Attribution (CC BY) license (https://creativecommons.org/licenses/by/4.0/).
Share and Cite
Benitez, J.; Peri, P.L.; Barrera, M.D.; Martínez Pastur, G.J.; Lencinas, M.V. Bird Community, Forest Structure and Landscape Affects the Susceptibility to Open-Cup Nest Predation in Austral Forests. Forests 2025, 16, 1741. https://doi.org/10.3390/f16111741
Benitez J, Peri PL, Barrera MD, Martínez Pastur GJ, Lencinas MV. Bird Community, Forest Structure and Landscape Affects the Susceptibility to Open-Cup Nest Predation in Austral Forests. Forests. 2025; 16(11):1741. https://doi.org/10.3390/f16111741
Chicago/Turabian StyleBenitez, Julieta, Pablo Luis Peri, Marcelo Daniel Barrera, Guillermo José Martínez Pastur, and María Vanessa Lencinas. 2025. "Bird Community, Forest Structure and Landscape Affects the Susceptibility to Open-Cup Nest Predation in Austral Forests" Forests 16, no. 11: 1741. https://doi.org/10.3390/f16111741
APA StyleBenitez, J., Peri, P. L., Barrera, M. D., Martínez Pastur, G. J., & Lencinas, M. V. (2025). Bird Community, Forest Structure and Landscape Affects the Susceptibility to Open-Cup Nest Predation in Austral Forests. Forests, 16(11), 1741. https://doi.org/10.3390/f16111741

