Sign in to use this feature.

Years

Between: -

Subjects

remove_circle_outline
remove_circle_outline
remove_circle_outline
remove_circle_outline
remove_circle_outline

Journals

Article Types

Countries / Regions

Search Results (12)

Search Parameters:
Keywords = Iwan model

Order results
Result details
Results per page
Select all
Export citation of selected articles as:
29 pages, 6663 KB  
Article
Vortex-Induced Vibration of Deep-Sea Mining Riser Under Different Currents and Tension Conditions Using Wake Oscillator Model
by Liwen Deng, Haining Lu, Jianmin Yang, Rui Guo, Bei Zhang and Pengfei Sun
J. Mar. Sci. Eng. 2025, 13(8), 1565; https://doi.org/10.3390/jmse13081565 - 15 Aug 2025
Cited by 3 | Viewed by 2002
Abstract
The vortex-induced vibration (VIV) dynamics of commercial-scale deep-sea mining risers with complex component arrangements (pumps, buffer stations, buoyancy modules) remain insufficiently explored, especially for 6000 m systems with nonlinear tension. This study investigates VIV control strategy by adjusting tension for a nonlinear riser [...] Read more.
The vortex-induced vibration (VIV) dynamics of commercial-scale deep-sea mining risers with complex component arrangements (pumps, buffer stations, buoyancy modules) remain insufficiently explored, especially for 6000 m systems with nonlinear tension. This study investigates VIV control strategy by adjusting tension for a nonlinear riser system using the Iwan-Blevins wake oscillator model integrated with Morison equation-based analysis. An analytical model incorporating four typical current profiles was established to quantify the dynamic response under different flow velocities, internal flow density, and structural parameters. Increased buffer station mass effectively suppressed drift distance (over 35% reduction under specific conditions) by regulating axial tension. Dynamic comparisons demonstrated distinct VIV energy distribution patterns under different current conditions. Spectral analysis revealed that the vibration follows Strouhal vortex shedding lock-in principles. Spatial modal differentiation was observed due to nonlinear variations in velocity profiles, pipe diameters, and axial tension, accompanied by multi-frequency resonance, coexistence of standing and traveling waves, and broadband resonance with amplitude surges under critical velocities (1.75 m/s in Current-B). This study proposes to control the VIV amplitude by adjusting internal flow density and buffer mass, which is proved effective for reducing vibrations in upper (0–2000 m) risers. It validates vibration amplitude and frequency control through current velocity, buffer mass and slurry density regulation in a nonlinear riser system. Full article
(This article belongs to the Section Ocean Engineering)
Show Figures

Figure 1

15 pages, 5692 KB  
Article
Parameter Identification and Energy Dissipation Analysis of Premium Connections Based on the Iwan Model
by Yang Yu, Yimeng Chen, Yihua Dou, Qingying Yuan, Jiarui Tang and Yinping Cao
Processes 2024, 12(11), 2382; https://doi.org/10.3390/pr12112382 - 29 Oct 2024
Cited by 1 | Viewed by 1525
Abstract
The premium connection is an important section of the tubing column. Under intricate downhole conditions, axial vibration generates alternating loads that cause energy dissipation between the sealing surfaces of the premium connection, reducing sealing performance. To investigate this issue, the mutual conversion process [...] Read more.
The premium connection is an important section of the tubing column. Under intricate downhole conditions, axial vibration generates alternating loads that cause energy dissipation between the sealing surfaces of the premium connection, reducing sealing performance. To investigate this issue, the mutual conversion process of sticking, slipping, and macroscopic slipping stages between the sealing surfaces of the premium connection under axial loads must be assessed. In this study, a finite element analysis model of a taper–taper Φ88.9 mm × 6.45 mm P110 premium connection is developed based on the discrete Iwan model’s ontological relationship, and the sealing surface’s force–displacement hysteresis curve is obtained. The equivalent Iwan model for this particular premium connection is constructed by discretizing the hysteresis curve and identifying the model’s four sets of parameters. The correctness of the parameter identification method of the equivalent Iwan model is verified by comparing and analyzing the similarity of the two models. The energy dissipation in the sealing surfaces of the premium connection for different working conditions under dynamic loading is analyzed. This study reveals that the area similarity of the hysteresis curves of the two models is more than 92%, while the positional error is less than 2%. The sealing surface displacement amplitude of the premium connection is between 0.04 mm and 0.07 mm, while the sealing surface energy dissipation increases linearly, which may lead to a decline in sealing performance. Full article
(This article belongs to the Section Energy Systems)
Show Figures

Figure 1

15 pages, 13228 KB  
Article
A Recognition Technique for the Generative Tessellations of Geometric Patterns in Islamic Architectural Ornaments; Case Study: Southern Iwan of the Grand Mosque of Varamin
by Mehdi Sheikhi Nashalji and Fatemeh Mehdizadeh Saradj
Buildings 2024, 14(9), 2723; https://doi.org/10.3390/buildings14092723 - 30 Aug 2024
Cited by 6 | Viewed by 4016
Abstract
The ornamentation of historical buildings in Iran often features geometric patterns, which hold cultural and architectural significance. These patterns, rooted in Islamic tradition, are widely used in contemporary Middle Eastern architecture. By employing regular polygons, intricate designs emerge, forming interconnected tessellations and repeating [...] Read more.
The ornamentation of historical buildings in Iran often features geometric patterns, which hold cultural and architectural significance. These patterns, rooted in Islamic tradition, are widely used in contemporary Middle Eastern architecture. By employing regular polygons, intricate designs emerge, forming interconnected tessellations and repeating modules. This paper focuses on uncovering hidden tessellations and geometric patterns within the southern Iwan of the Grand Mosque of Varamin. Through photography and field measurements, 82.4 and 36 tessellations were identified. Using the Revit 2024 program, a novel method was introduced to model these patterns. By manipulating repeating units, designers can create diverse geometric latticework, preserving Islamic architectural heritage. Furthermore, these patterns offer practical applications beyond ornamentation. They can serve as architectural elements in urban environments, such as fences or enclosures, enhancing privacy in residential spaces and contributing to urban aesthetics. This approach facilitates the integration of historical patterns into contemporary architectural designs, enriching both cultural identity and urban landscapes and is a step toward smart cities. Full article
(This article belongs to the Section Architectural Design, Urban Science, and Real Estate)
Show Figures

Figure 1

13 pages, 9397 KB  
Article
A Dynamic Iwan Model to Describe the Impact Failure of Bolted Joints
by Hao Chen, Zhiming Hao, Jinxin Kuang and Jicheng Li
Buildings 2024, 14(8), 2572; https://doi.org/10.3390/buildings14082572 - 21 Aug 2024
Cited by 3 | Viewed by 2116
Abstract
Due to the nonlinearity of the contact interface, as well as the material, jointed structures exhibit complex mechanical behaviors under impact loading. In order to accurately characterize the dynamic response of a joint, this work presents a nonlinear dynamic model (DICF model). First, [...] Read more.
Due to the nonlinearity of the contact interface, as well as the material, jointed structures exhibit complex mechanical behaviors under impact loading. In order to accurately characterize the dynamic response of a joint, this work presents a nonlinear dynamic model (DICF model). First, the effects of loading velocity, preload and friction coefficient on the displacement–load curve are discussed based on a validated finite element model. Numerical simulation results show that the critical load and critical displacement are linearly related to the normalized logarithmic velocity and linearly related to the normalized preload and friction coefficient. Subsequently, a DICF model that consists of sliding, collision and failure is proposed. The constitutive relations of the model are derived, and dynamic correction functions are introduced to characterize the effects of velocity, preload and friction coefficient. A parameter identification method for the model is also provided. Finally, the DICF model is compared with the finite element simulation results, with an error of 0.43% for quasi-static conditions, a minimum error of 0.17% and a maximum error of −1.41% for impact conditions, in addition to significantly improved accuracy compared to the EC3 model, which indicates that it can effectively capture the behavior of bolted joints under impact loading conditions. Full article
(This article belongs to the Section Building Structures)
Show Figures

Figure 1

19 pages, 8898 KB  
Article
Simulation of Preload Relaxation of Bolted Joint Structures under Transverse Loading
by Yilong Liu, Min Zhu, Xiaohan Lu, Shengao Wang and Ziwei Li
Coatings 2024, 14(5), 538; https://doi.org/10.3390/coatings14050538 - 26 Apr 2024
Cited by 6 | Viewed by 3800
Abstract
In this study, based on the Iwan model, the connection interface of the bolted joint structure subjected to lateral loads was simulated and comparatively analyzed. Commercial finite element software was used to model the bolted joint structure. Monotonic lateral loads and cyclic displacement [...] Read more.
In this study, based on the Iwan model, the connection interface of the bolted joint structure subjected to lateral loads was simulated and comparatively analyzed. Commercial finite element software was used to model the bolted joint structure. Monotonic lateral loads and cyclic displacement loads were applied to the model. The changes in the preload force of the bolted connection structure, as well as the changes in the sticking zone and stress state of the connection interface, were analyzed, and the loading results of monotonic load and cyclic displacement load were compared. The results show that the contact interface stress decreases with the increase in displacement load, and this increase is also a nonlinear relationship, which is approximately in phase with the trend of the contact surface slip curve. The amount of contact surface stress loss and the amount of preload loss are not directly related to the magnitude of the initial preload, regardless of the loading conditions. The contact surface is also circular under any form of displacement loading, whether it is stressed or slipped. The amount of preload loss is proportional to the amount of bolt compression for that variable. Full article
(This article belongs to the Special Issue Friction and Wear Behaviors in Mechanical Engineering)
Show Figures

Figure 1

19 pages, 3011 KB  
Article
Modeling for Hysteresis Contact Behavior of Bolted Joint Interfaces with Memory Effect Penalty Constitution
by Di Yuan, Dong Wang and Qiang Wan
Machines 2024, 12(3), 190; https://doi.org/10.3390/machines12030190 - 14 Mar 2024
Cited by 7 | Viewed by 3063
Abstract
A novel penalty contact constitution was developed to replicate the hysteresis memory effect observed in contact interfaces. On this basis, a refined finite element analysis (FEA) was performed to study the stick–slip friction contact behavior of bolted joint interfaces. The analysis was validated [...] Read more.
A novel penalty contact constitution was developed to replicate the hysteresis memory effect observed in contact interfaces. On this basis, a refined finite element analysis (FEA) was performed to study the stick–slip friction contact behavior of bolted joint interfaces. The analysis was validated by comparing it with the experimental hysteresis loops in the literature. The simulated hysteresis loops were subsequently used to identify four parameters of the Iwan model. Additionally, the effects of bolt clamping, friction coefficient, and excitation amplitude were individually examined. It was found that the deterioration in bolt clamping performance resulted in a decrease in both the equivalent joint stiffness and energy dissipation. Similarly, the reduction in the friction coefficient yielded a comparable impact. Furthermore, the identified model parameters of critical stick–slip force and displacement exhibited a quasi-linear relationship to the bolt preload and friction coefficient. Full article
Show Figures

Figure 1

44 pages, 1997 KB  
Review
Review of Play and Preisach Models for Hysteresis in Magnetic Materials
by Gustav Mörée and Mats Leijon
Materials 2023, 16(6), 2422; https://doi.org/10.3390/ma16062422 - 17 Mar 2023
Cited by 33 | Viewed by 7807
Abstract
This paper studies the properties of the Preisach model and the play model, and compare their similarities. Both are history-dependent hysteresis models that are used to model magnetic hysteresis. They are described as discrete sums of simple hysteresis operators but can easily be [...] Read more.
This paper studies the properties of the Preisach model and the play model, and compare their similarities. Both are history-dependent hysteresis models that are used to model magnetic hysteresis. They are described as discrete sums of simple hysteresis operators but can easily be reformulated as integral equations of continuous distribution functions using either a Preisach weight distribution function or a play distribution function. The models are mostly seen as phenomenological or mathematical tools but can also be related to friction-like pinning of domain-wall motions, where Rayleigh’s law of magnetic hysteresis can be seen as the simplest case on either the play model or the Preisach model. They are poor at modeling other domain behavior, such as nucleation-driven hysteresis. Yet another hysteresis model is the stop model, which can be seen as the inverted version of the play model. This type of model has advantages for expressions linked to energy and can be related to Steinmetz equation of hysteresis losses. The models share several mathematical properties, such as the congruency property and wiping-out property, and both models have a history of dependence that can be described by the series of past reversal points. More generally, it is shown that the many models can be expressed as Preisach models, showing that they can be treated as subcategories of the Preisach type models. These include the play model, the stop model and also the alternative KP-hysteron model. Full article
Show Figures

Figure 1

17 pages, 5281 KB  
Article
Experimental Behavior and Modelling of Steel Bolted T-Stub Connections
by Xiao Liu, Zhiming Hao, Xin Luo and Zhengbao Jin
Buildings 2023, 13(3), 575; https://doi.org/10.3390/buildings13030575 - 21 Feb 2023
Cited by 7 | Viewed by 2810
Abstract
The paper comprehensively investigates the tension performance of Q355 steel T-stubs, whose nonlinear mechanical behavior is modelled by spring-slider elements. First, tension tests were conducted on seven specimens to explore the tension performance of Q355 steel T-stubs. T-stub connections were discussed in terms [...] Read more.
The paper comprehensively investigates the tension performance of Q355 steel T-stubs, whose nonlinear mechanical behavior is modelled by spring-slider elements. First, tension tests were conducted on seven specimens to explore the tension performance of Q355 steel T-stubs. T-stub connections were discussed in terms of their tension characteristics. Second, a numerical simulation was performed to analyze the stress distribution of T-stub components during deformation. Finally, on the basis of the tension characteristics of the T-stub connections, we constructed the constitutive model’s density function. The constitutive model’s force–displacement relationship was derived mathematically. A method for determining parameters was also developed. With the proposed model, the entire tensile behavior of T-stub connections can be described accurately while reducing the degrees of freedom at the contact interfaces, resulting in more efficient computing. Four parameters are defined physically in the model, and their values can be determined directly by macroscopic experiments. Full article
(This article belongs to the Special Issue Recent Researches on Connection and Bracing in Steel Structures)
Show Figures

Figure 1

14 pages, 2576 KB  
Article
Equivalent Modeling of Bolted Connections under Transverse Load Using Iwan-Based Material Properties
by Dong Jiang, Minrui Wang, Yuhang Sun and Xiaochen Hang
Metals 2023, 13(1), 91; https://doi.org/10.3390/met13010091 - 1 Jan 2023
Cited by 5 | Viewed by 3121
Abstract
The nonlinear characteristics of bolted connections are of significant importance for analyzing the mechanical performance of structures. The Iwan model is well-known and has been widely applied; its limitation is that it is not convenient for complex structures with multiple bolted connections. To [...] Read more.
The nonlinear characteristics of bolted connections are of significant importance for analyzing the mechanical performance of structures. The Iwan model is well-known and has been widely applied; its limitation is that it is not convenient for complex structures with multiple bolted connections. To simplify the modeling process, a material with the force-displacement characteristics of the Iwan model is proposed and applied to the bolted connection region, which can convert the nonlinearity of the bolted connection into the nonlinearity of the material. The constitutive relation of the proposed Iwan-based material is determined by the force-displacement equation of the bolted connection under load and the elastic-plastic hypothesis. The proposed Iwan-based material is implemented using the UMAT subroutine of ABAQUS, and the properties of the Iwan-based material are assigned to a solid finite element for an equivalent modeling of bolted connections. Through comparisons with the s imul ation results of the AIBE, the feasibility of the equivalent modeling method for the force-displacement relationship of the original Iwan model is verified, and through comparisons with the simulation results and experimental results of a detailed 3D FE model of the bolted connection, the universality of the equivalent modeling method is verified. The results show that the equivalent modeling method can well restore the statics characteristics of bolted structures under cyclic loading and can be applied to complex combined structures. The method is more convenient for establishing the finite element model of bolted connections and has more flexibility in adjusting parameters than traditional methods. Full article
Show Figures

Figure 1

16 pages, 6426 KB  
Article
Contact Pressure Distribution and Pressure Correction Methods of Bolted Joints under Mixed-Mode Loading
by Shengao Wang, Min Zhu, Hongjun Cao, Xin Xie, Biao Li, Ming Guo, Haiyan Li, Zijian Xu, Jie Tian and Desheng Ma
Coatings 2022, 12(10), 1516; https://doi.org/10.3390/coatings12101516 - 10 Oct 2022
Cited by 10 | Viewed by 3401
Abstract
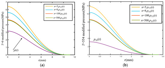
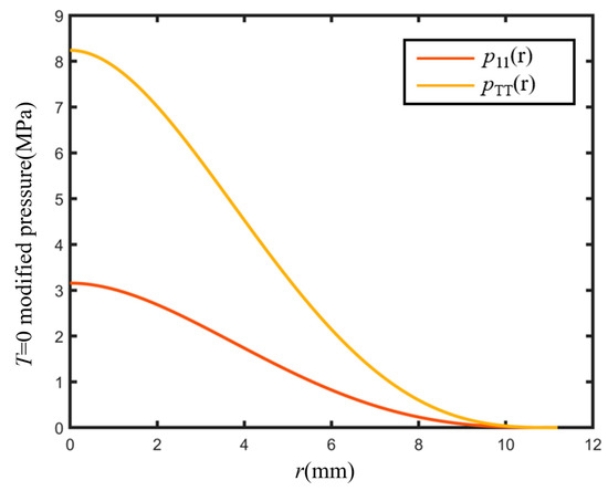
The dynamic response of complex equipment under mixed-mode loading is significant for structural design. Bolted joints are the primary connection mode of subsystem assembly, and the degradation of bolted joints may reduce the safety and reliability of the equipment. The Iwan model is [...] Read more.
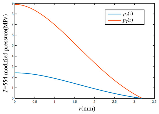
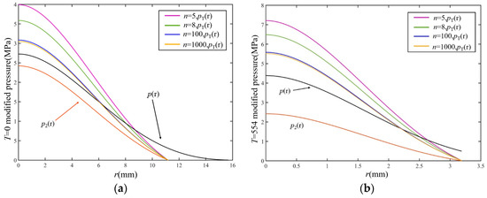
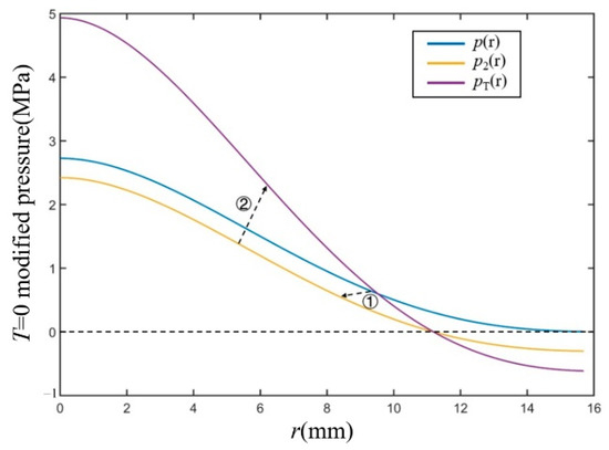
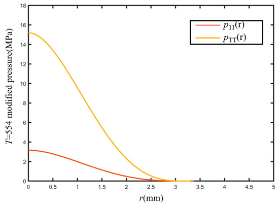
The dynamic response of complex equipment under mixed-mode loading is significant for structural design. Bolted joints are the primary connection mode of subsystem assembly, and the degradation of bolted joints may reduce the safety and reliability of the equipment. The Iwan model is widely used to describe the degradation of bolted joints, which has been continuously revised and experimentally verified. The classic Iwan model is a static model that lacks predictive ability. The latest dynamic Iwan model can predict the softening process and reveal the physical mechanism of degradation. However, the function of dynamic pressure distribution needs to be determined for the model solution. We analyzed the contact boundary and pressure distribution under mixed-mode loading with the finite element method (FEM) and proposed the dynamic functions. Secondly, we put forward two correction methods to compensate for the loss of preload caused by simplification and to achieve consistency between the pressure distribution function and the contact boundary function. Finally, the influence of discrete order on the correction of pressure distribution was analyzed. The results show that the constraint method is more suitable for the modification of the pressure distribution. The research results can be applied to the solution of the dynamic Iwan model. Full article
Show Figures

Figure 1

16 pages, 15371 KB  
Article
Finite Element Analysis of Elastoplastic Elements in the Iwan Model of Bolted Joints
by Sheng-Ao Wang, Min Zhu, Xin Xie, Biao Li, Tian-Xi Liang, Zhao-Qun Shao and Yi-Long Liu
Materials 2022, 15(17), 5817; https://doi.org/10.3390/ma15175817 - 24 Aug 2022
Cited by 11 | Viewed by 3723
Abstract
The Iwan model is composed of elastoplastic elements and is widely used to represent the stiffness degradation of bolted joints under mixed-mode loading (normal and tangential loading). The latest static methods of parameter identification established the relationship between the elastoplastic elements and the [...] Read more.
The Iwan model is composed of elastoplastic elements and is widely used to represent the stiffness degradation of bolted joints under mixed-mode loading (normal and tangential loading). The latest static methods of parameter identification established the relationship between the elastoplastic elements and the contact pressure under normal loading. Under mixed-mode loading, the parameters of the Iwan model are dynamic for the evolution of contact conditions. Therefore, static parameter identification methods are not suitable for the dynamic Iwan model. A new technique was proposed to identify the parameters of the elastoplastic elements in this paper. Firstly, several different finite element models were established. The influence of the contact method and the thread structure were analyzed, and a reliable and efficient bolted-joint modeling method was proposed. Secondly, the evolution of contact conditions was studied. The dynamic elliptical contact model and the ellipticity discrete method were proposed. Finally, the residual stiffness of the Iwan model was analyzed to establish the mapping between the residual stiffness and the bending of the screw. The results can provide a technique for identifying the parameters of the dynamic Iwan model. Full article
(This article belongs to the Topic Waste-to-Energy)
Show Figures

Figure 1

22 pages, 2973 KB  
Article
Estimation Modal Parameter Variation with Respect to Internal Energy Variation Based on the Iwan Model
by Jongsuh Lee
Appl. Sci. 2019, 9(20), 4290; https://doi.org/10.3390/app9204290 - 12 Oct 2019
Cited by 3 | Viewed by 2361
Abstract
Typical factors that cause nonlinear behavior in structures are geometric nonlinearity, force and displacement boundary condition nonlinearities, and material nonlinearity. The nonlinearity caused by an increase of the internal energy in built-up structures is mostly due to the displacement boundary condition induced by [...] Read more.
Typical factors that cause nonlinear behavior in structures are geometric nonlinearity, force and displacement boundary condition nonlinearities, and material nonlinearity. The nonlinearity caused by an increase of the internal energy in built-up structures is mostly due to the displacement boundary condition induced by the contact interface region. This study proposes an experimental mode analysis technique that predicts changes in natural frequencies and damping ratios when the external excitation force increases in a structure’s contact surfaces. Specifically, the nonlinearity of the dynamic characteristics induced by the contact region is described by the constitutive Iwan model. Next, an estimation method was developed for two parameters among the four of the Iwan model. This study used a modal analysis method. As an extension of a previous study, the approximate form of the harmonic excitation-induced force was determined in closed form. The configuration of the numerical model for the full structure was introduced from this resultant form. By using these numerical results, responses in the full structure, according to the harmonic excitation, have been represented in mode summation form. This research proposes an estimation method for two parameters among the four of the constitutive model. The proposed method was verified by simulations conducted with the lumped model and by experiments conducted on a partially connected double beam. Full article
Show Figures

Figure 1

Back to TopTop