Next Issue
Volume 14, March
Previous Issue
Volume 14, January
 
 

Inorganics, Volume 14, Issue 2 (February 2026) – 34 articles

Cover Story (view full-size image): N,N-Dimethylaminomethylmethylferrocenes are a family of compounds which are both ligands and key ligand precursors; therefore, their clean synthesis is a necessity. The synthetic methodology used for their substitution generally involves metalation, using organolithiums, which introduce exchangeable lithium into the structure. The synthetic challenge is to introduce this lithium regiospecifically, avoiding excess lithiation, which causes the formation of inseparable product mixtures. In this paper, we address the clean synthesis of 1,1',2,2'-tetrakis(N,N-dimethylaminomethyl)ferrocene, and its nickel complex is prepared and used as a representative example of the new ligands’ coordination. The methodology developed is universal for poly-(N,N-dimethylaminomethyl)-substituted ferrocene synthesis. View this paper
  • Issues are regarded as officially published after their release is announced to the table of contents alert mailing list.
  • You may sign up for e-mail alerts to receive table of contents of newly released issues.
  • PDF is the official format for papers published in both, html and pdf forms. To view the papers in pdf format, click on the "PDF Full-text" link, and use the free Adobe Reader to open them.
Order results
Result details
Section
Select all
Export citation of selected articles as:
11 pages, 2474 KB  
Article
Mn2+ Pre-Embedded V2CTx MXene as a Negative Electrode for Lithium-Ion Batteries
by Hao Yu, Mingguo Xu, Zhaoliang Yu, Jiaming Li, Ming Lu, Shichong Xu and Haibo Li
Inorganics 2026, 14(2), 65; https://doi.org/10.3390/inorganics14020065 - 22 Feb 2026
Viewed by 479
Abstract
V2CTx MXene is a promising anode material for lithium-ion batteries due to its high electrical conductivity and abundant active sites. However, the spatial environment within its layers restricts the function of its energy storage electrode. Herein, V2CTx [...] Read more.
V2CTx MXene is a promising anode material for lithium-ion batteries due to its high electrical conductivity and abundant active sites. However, the spatial environment within its layers restricts the function of its energy storage electrode. Herein, V2CTx MXene was synthesized via an NH4F–HCl-assisted hydrothermal etching method, followed by electrochemical pre-intercalation of Mn2+ using a three-electrode system. Structural characterizations confirm that Mn2+ pre-intercalation effectively modulates the interlayer environment, reduces surface F terminations, and maintains a stable layered structure. Electrochemical measurements demonstrate that the Mn2+-intercalated V2CTx MXene delivers an enhanced reversible capacity of 313.6 mAh·g−1 after 200 cycles, outperforming pristine V2CTx MXene. The improved rate capability and reduced charge transfer resistance indicate accelerated ion/electron transport kinetics. This study provides an effective interlayer engineering strategy for improving MXene-based lithium-ion storage performance. Full article
Show Figures

Figure 1

26 pages, 466 KB  
Article
Enhancing the Photophysical Properties of NHC-Based Iron Sensitizers for Dye-Sensitized Solar Cells: A Computational Study
by Wissam Helal, Ayat M. Siedat, Ahmad Musleh Alrub, Saleh Atiewi, Ahmad S. Barham, Mohammad I. Alkhatab and Basma Elzein
Inorganics 2026, 14(2), 64; https://doi.org/10.3390/inorganics14020064 - 20 Feb 2026
Viewed by 835
Abstract
Iron(II) complexes bearing N-heterocyclic carbene (NHC) ligands have emerged as promising earth-abundant dye sensitizers for applications in dye-sensitized solar cells (DSSCs). In this work, we present a computational study of a set of 42 Fe–NHC dyes derived from seven ligand frameworks, systematically functionalized [...] Read more.
Iron(II) complexes bearing N-heterocyclic carbene (NHC) ligands have emerged as promising earth-abundant dye sensitizers for applications in dye-sensitized solar cells (DSSCs). In this work, we present a computational study of a set of 42 Fe–NHC dyes derived from seven ligand frameworks, systematically functionalized with donor, acceptor, and donor–acceptor groups to tune or enhance their photophysical properties. The calculated geometries reveal that substitution modulates Fe–N bond lengths and ligand dihedral angles only slightly, preserving the structural integrity of the complexes. TD-DFT calculations show clear and predictable electronic trends: donor groups raise the HOMO, acceptor groups lower the LUMO, and the combined push–pull configuration produces the most pronounced HOMO–LUMO gap narrowing and largest redshifts in MLCT transitions. Key DSSC performance descriptors, including electron-injection and dye-regeneration free energies, light-harvesting efficiency, excited-state lifetimes, and hole-transport reorganization energies, collectively identify the double-acceptor and push–pull derivatives as the most promising candidates across multiple frameworks. Full article
Show Figures

Graphical abstract

25 pages, 4075 KB  
Article
Ligand Rigidity and π-Surface Modulate Biomolecular Interactions and Cytotoxicity in Ru(II) Polypyridyl Complexes
by Patrícia Alves de Matos, Marcos Eduardo Gomes do Carmo, André Luis Araújo Parussulo, Clara Maria Faria Silva, Ricardo Campos Lino, Henrique Eisi Toma, Marcelo Emílio Beletti, Robson José de Oliveira Júnior, Antônio Otávio de Toledo Patrocinio, Tiago Araújo Matias and Tayana Mazin Tsubone
Inorganics 2026, 14(2), 63; https://doi.org/10.3390/inorganics14020063 - 19 Feb 2026
Cited by 1 | Viewed by 671
Abstract
The complexes cis-[Ru(dmbpy)2Cl(bpy)](PF6) (Rubpy) and cis-[Ru(dmbpy)2Cl(bpe)](PF6) (Rubpe) (dmbpy = 4,4′-Dimethyl-2,2′-dipyridyl, bpy= 4,4′-dipyridyl and bpe = 1,2-bis(4-pyridyl)ethane) were synthesized and spectroelectrochemically characterized. Both Ru(II) complexes exhibited absorption bands assigned to intraligand and metal-to-ligand charge [...] Read more.
The complexes cis-[Ru(dmbpy)2Cl(bpy)](PF6) (Rubpy) and cis-[Ru(dmbpy)2Cl(bpe)](PF6) (Rubpe) (dmbpy = 4,4′-Dimethyl-2,2′-dipyridyl, bpy= 4,4′-dipyridyl and bpe = 1,2-bis(4-pyridyl)ethane) were synthesized and spectroelectrochemically characterized. Both Ru(II) complexes exhibited absorption bands assigned to intraligand and metal-to-ligand charge transfer (MLCT) transitions, and their spectral stability in PBS buffer (pH 7.4) supports their suitability for biological studies involving biomolecules or living cells. Fluorescence quenching assays revealed strong interactions with bovine serum albumin (BSA), with binding constants (Kb) values were 2.89 × 105 M−1 for Rubpy and 1.97 × 105 M−1 for Rubpe, and a stoichiometry of one binding site per albumin molecule. DNA-binding studies demonstrated non-covalent interactions with ss-DNA, evidenced by a hyperchromic effect in the MLCT bands, suggesting a partial intercalation or groove-binding mechanism. Cellular uptake assays indicated moderate incorporation of both complexes in tumor cells, with uptake levels of 52% (Rubpy) and 47% (Rubpe) in HeLa cells, and 42% (Rubpy) and 32% (Rubpe) in MDA-MB-231 cells. Despite the similar uptake profiles, cytotoxicity assays showed that Rubpe is approximately 2.4 times more potent than Rubpy, with IC50 values of 9 μM (HeLa) and 12 μM (MDA-MB-231), compared to 22 μM and 29 μM for Rubpy, respectively. These results highlight the relevance of these Ru(II) complexes as molecular platforms for exploring structure–activity relationships in anticancer agents. Full article
Show Figures

Figure 1

11 pages, 6428 KB  
Article
Activation Energy and Kinetics of First Hydrogenation in Ti48.8Fe46.0Mn5.2 Alloy Produced by Gas Atomization
by Seyedehfaranak Hosseinigourajoubi, Chris Schade and Jacques Huot
Inorganics 2026, 14(2), 62; https://doi.org/10.3390/inorganics14020062 - 17 Feb 2026
Viewed by 603
Abstract
The first hydrogenation behavior of the gas atomized Ti48.8Fe46.0Mn5.2 alloy was systemically investigated. The as-received powder showed no hydrogen absorption due to the long air exposure before the hydrogenation tests. To overcome this, 5 passes of cold rolling [...] Read more.
The first hydrogenation behavior of the gas atomized Ti48.8Fe46.0Mn5.2 alloy was systemically investigated. The as-received powder showed no hydrogen absorption due to the long air exposure before the hydrogenation tests. To overcome this, 5 passes of cold rolling were employed as an activation strategy. Cold rolling introduced cracks and defects that facilitated hydrogen diffusion, enabling the alloy to successfully absorb hydrogen. The influences of temperature, constant driving force, and hydrogen pressure on the first hydrogenation were evaluated. The results indicated that the first hydrogenation follows an Arrhenius behavior (k=AeEaRT), and average activation energy was calculated as 71 kJ/mol H2. The pre-exponential factor (A) was found to be pressure-dependent, following the equation A = A0 (P/P0)1.8, where A0 = 2.6 × 106 s−1. Full article
(This article belongs to the Section Inorganic Materials)
Show Figures

Figure 1

4 pages, 152 KB  
Editorial
Biological Activity of Metal Complexes
by Vinay K. Sharma
Inorganics 2026, 14(2), 61; https://doi.org/10.3390/inorganics14020061 - 17 Feb 2026
Viewed by 575
Abstract
Metal complexes play a fundamental role in biological systems and continue to attract sustained interest due to their remarkable potential in therapeutic, diagnostic, and biotechnological applications [...] Full article
(This article belongs to the Special Issue Biological Activity of Metal Complexes)
25 pages, 3543 KB  
Article
B-Doped ZnO Nanoparticles: Defect Chemistry, Tensile Strain, and Tunable Optical Response
by Lütfi Arda, Merve Mine Seker Perez, Ersin Ozugurlu and Ilke Tascioglu
Inorganics 2026, 14(2), 60; https://doi.org/10.3390/inorganics14020060 - 16 Feb 2026
Viewed by 663
Abstract
ZnO and ZnO:5%B nanoparticles produced by sol–gel synthesis exhibit a single-phase wurtzite structure. X-ray diffraction (XRD) investigation reveals crystallite sizes in the range of 32.3739.63 nm and microstrain values on the order of [...] Read more.
ZnO and ZnO:5%B nanoparticles produced by sol–gel synthesis exhibit a single-phase wurtzite structure. X-ray diffraction (XRD) investigation reveals crystallite sizes in the range of 32.3739.63 nm and microstrain values on the order of (1.988.03)×104, despite the Uniform Stress Deformation Model (USDM) indicating the presence of considerable tensile stress. Significant band-tail states are introduced via boron doping, resulting in Urbach energies ranging from 110 to 193 meV and a narrowed optical band gap of 3.216 eV. With a refractive index range of 2.052.71, the material exhibits tunable optical characteristics. Violet and blue emissions originating predominantly from zinc interstitials (Znᵢ) and zinc vacancies (VZn) dominate the photoluminescence spectra, while oxygen interstitial-related contributions remain relatively weak. A high spin density is confirmed by electron spin resonance measurements, which reveal a strong defect-related signal at g2.294. The formation of Znᵢ/VZn defect centers due to charge compensation and ionic size mismatch induced by B3+ substitution for Zn2+ significantly modifies the band-edge states and optical constants. These defect-engineered properties render the material promising for applications in ultraviolet (UV) photodetectors, transparent conducting oxides, and electron transport layers in organic photovoltaic devices. Full article
(This article belongs to the Special Issue Mixed Metal Oxides, 3rd Edition)
Show Figures

Figure 1

6 pages, 215 KB  
Editorial
Featured Papers in Inorganic Materials 2025
by Eleonora Aneggi, Roberto Nisticò, Hicham Idriss and Torben R. Jensen
Inorganics 2026, 14(2), 59; https://doi.org/10.3390/inorganics14020059 - 15 Feb 2026
Viewed by 728
Abstract
Following the success of the previous edition [...] Full article
(This article belongs to the Special Issue Featured Papers in Inorganic Materials 2025)
18 pages, 8819 KB  
Article
Comparation of Graph Neural Networks and Traditional Machine Learning for Property Prediction in All-Inorganic Perovskite Materials
by Jingyu Liu, Xueqiong Su, Lishan Yang, Jiansen Ding, Jin Wang, Xing Ling, Yong Pan, Zhijun Wang, Wei Zhao and Yang Bu
Inorganics 2026, 14(2), 58; https://doi.org/10.3390/inorganics14020058 - 13 Feb 2026
Viewed by 685
Abstract
Machine learning (ML) methods have been widely explored for predicting material properties. However, due to the rapid development of ML techniques and the diversity of available models, performance comparisons between traditional and graph-based machine learning models remain limited. Therefore, we evaluate 11 conventional [...] Read more.
Machine learning (ML) methods have been widely explored for predicting material properties. However, due to the rapid development of ML techniques and the diversity of available models, performance comparisons between traditional and graph-based machine learning models remain limited. Therefore, we evaluate 11 conventional ML models alongside the graph neural network-based Crystal Graph Convolutional Neural Network (CGCNN) for predicting three key properties—formation energy (Ef), band gap (Eg), and energy above hull (Eh)—across a dataset comprising single perovskites, double perovskites, and their combined structures. The results demonstrate that for single perovskites, CGCNN exhibits gains of over 20% in the root mean square error (RMSE) relative to the second-best model (Gradient Boosting Regression), achieving values of 0.205 eV/atom (Ef), 0.718 eV (Eg), and 0.167 eV/atom (Eh). Prediction accuracy for double perovskites is significantly enhanced by training CGCNN on a combined dataset, particularly for Eh, where the coefficient of determination (R2) improves approximately 68.1-fold compared to models trained exclusively on double-perovskite data. Feature importance analysis via one-shot, permutation-based, and recursive feature elimination (RFE) methods reveals that optimal model performance requires retention of at least the top 20 critical features. Furthermore, feature utilization patterns of CGCNN across different prediction tasks are visualized. This work provides actionable guidelines for model selection and feature engineering in perovskite property prediction, establishing a benchmark for future ML-driven materials discovery. Full article
(This article belongs to the Special Issue Recent Progress in Perovskites)
Show Figures

Figure 1

17 pages, 3381 KB  
Article
Hydrothermally Constructed ZnIn2S4/SrSnO3 Type-II Heterojunction for Highly Efficient Photocatalytic Hydrogen Evolution
by Zhang-Yi Xiong, Hao Liu, Yan Zhong, Chao-Hao Hu, Dian-Hui Wang, Tian Sang, Shi-Mei Liu, Ke-Wei Chen and Xian-Fu Pan
Inorganics 2026, 14(2), 57; https://doi.org/10.3390/inorganics14020057 - 12 Feb 2026
Viewed by 661
Abstract
To achieve high-performance photocatalysts, efficient separation of photogenerated charge carriers is critical to prolonging their lifetime and thereby enhancing the activity of the hydrogen evolution reaction. In this work, we rationally designed and synthesized a nanoflower-like SrSnO3/ZnIn2S4 heterostructure [...] Read more.
To achieve high-performance photocatalysts, efficient separation of photogenerated charge carriers is critical to prolonging their lifetime and thereby enhancing the activity of the hydrogen evolution reaction. In this work, we rationally designed and synthesized a nanoflower-like SrSnO3/ZnIn2S4 heterostructure by in situ embedding SrSnO3 nanorods within the layered framework of ZnIn2S4. Experimental results demonstrate that the 0.8%-SrSnO3/ZnIn2S4 composite exhibits a hydrogen evolution rate 13.79 times higher than that of pure ZnIn2S4 under simulated solar irradiation. This dramatic enhancement stems from the formation of a Type-II heterojunction at the interface, where the staggered band alignment generates an internal electric field that drives spatial separation of electrons and holes, effectively suppressing recombination and promoting charge utilization. This study validates that the strategic incorporation of a small amount of SrSnO3 into ZnIn2S4 represents a highly effective approach to significantly boost photocatalytic hydrogen production performance. Full article
(This article belongs to the Special Issue Mixed Metal Oxides, 3rd Edition)
Show Figures

Graphical abstract

21 pages, 3239 KB  
Article
Evaluating Translucency and Color Changes in Lithium Disilicate Ceramics After Sintering Modification and Artificial Aging
by Mai Soliman, Raghad Alotaibi, Abrar Almutairi, Asma Alzahrani, Reem Abunyan, Aseel Rozi, Dalia Alamri, Shahad Almakenzi, Elzahraa Eldwakhly and Alhanoof Aldegheishem
Inorganics 2026, 14(2), 56; https://doi.org/10.3390/inorganics14020056 - 12 Feb 2026
Viewed by 673
Abstract
Recent developments in all-ceramic restorative materials have enhanced the clinical applicability of lithium disilicate for aesthetic dental restorations. The current study explores the influence of sintering parameter modulation over the translucency and color change of Amber Mill and IPS e.max CAD ceramics at [...] Read more.
Recent developments in all-ceramic restorative materials have enhanced the clinical applicability of lithium disilicate for aesthetic dental restorations. The current study explores the influence of sintering parameter modulation over the translucency and color change of Amber Mill and IPS e.max CAD ceramics at baseline and following simulated aging through thermocycling and simulated toothbrushing. Sixty discs of lithium disilicate were assigned to two groups according to material type (Amber Mill; E-max), then according to translucency level (HT: high translucency; LT: low translucency). All specimens were sintered, polished, and ultrasonically cleaned in accordance with manufacturer guidelines. Optical properties—including translucency parameter (TP), color difference (ΔE), and color coordinates (L*, a*, b*)—were measured using a spectrophotometer at baseline and after a five-year clinical simulation. Scanning electron microscope (SEM) analysis was performed. Amber Mill-HT demonstrated the highest initial translucency (15.48 ± 0.89), followed by Amber Mill-LT (12.52 ± 0.61). Aging increased TP values in Amber Mill groups, while a slight reduction was observed in E-max groups. Amber Mill-LT exhibited the lowest color change (ΔE = 0.80 ± 0.10), reflecting superior color stability, whereas E-max-LT showed the highest ΔE (1.43 ± 0.21). SEM analysis demonstrated distinct microstructural differences between materials and translucency levels. High-translucency ceramics exhibited finer, more uniform lithium disilicate crystals and continuous glassy matrices, whereas low-translucency groups showed larger crystals, increased heterogeneity, and greater surface irregularities after aging. Overall, Amber Mill-LT displayed the greatest color stability, whereas E-max groupsretained translucency more consistently. All evaluated ceramics showed optical alterations within clinically acceptable limits, confirming their suitability for aesthetic restorative applications. Full article
(This article belongs to the Special Issue Preparation and Application of Transparent Ceramics)
Show Figures

Figure 1

14 pages, 2353 KB  
Article
Synergistic Optimization of Thermoelectric Properties of Indium Oxide-Based Thermoelectric Materials by Calcium Doping Regulation
by Jie Zhang, Bo Feng, Zhiwen Yang, Yichen Li, Xuan Liu, Shilang Guo, Xiaoqi Nong, Junjie Zhang, Chenan Zhang, Xiaoqiong Zuo, Haoyu Zeng, Tongqiang Xiong, Jiang Zhu, Suoluoyan Yang and Ruolin Ruan
Inorganics 2026, 14(2), 55; https://doi.org/10.3390/inorganics14020055 - 12 Feb 2026
Cited by 1 | Viewed by 383
Abstract
The effects of Ca doping content on the crystal structure, electronic transport, thermal transport, and mechanical properties of In2O3 were systematically studied by means of X-ray diffraction (XRD), thermoelectric performance test, and first-principles calculation. XRD analysis shows that Ca2+ [...] Read more.
The effects of Ca doping content on the crystal structure, electronic transport, thermal transport, and mechanical properties of In2O3 were systematically studied by means of X-ray diffraction (XRD), thermoelectric performance test, and first-principles calculation. XRD analysis shows that Ca2+ can be completely solid-dissolved into the In2O3 lattice to form a single-phase solid solution without the formation of impurity phases, and the lattice constant increases linearly with the increase in doping content, confirming that Ca2+ successfully replaces In3+ and triggers lattice expansion. The results of thermoelectric performance tests show that Ca doping can significantly improve the electrical conductivity of the material. The essence is that Ca doping introduces a large number of free electrons through the charge compensation effect, and coordinately regulates the carrier concentration and mobility to optimize the electronic transport performance. In terms of thermal transport performance, Ca doping leads to a decreasing trend of the total thermal conductivity of the material. The core mechanism is that the difference in ionic radius between Ca2+ and In3+ causes lattice distortion, enhanced mass fluctuation scattering, and defect scattering. At the same time, the decrease in Young’s modulus intensifies phonon scattering, resulting in a significant decrease in lattice thermal conductivity (dominating the change in total thermal conductivity), while the electronic thermal conductivity increases slightly but accounts for a very low proportion. Under the synergistic optimization of electrical and thermal transport, the thermoelectric figure of merit (ZT) of the material increases from ~0.05 to ~0.239, with particularly prominent effects in the medium and high-temperature range. Full article
(This article belongs to the Special Issue Inorganic Thermoelectric Materials: Advances and Applications)
Show Figures

Figure 1

19 pages, 4285 KB  
Article
Copper(II) Bromide Complexes: Crystal Structures, Magnetic Properties, and Hydrogen-Bond-Mediated Exchange
by Žan Zakošek, Evgeny Goreshnik, Zvonko Jagličić and Srečo Škapin
Inorganics 2026, 14(2), 54; https://doi.org/10.3390/inorganics14020054 - 11 Feb 2026
Viewed by 651
Abstract
Copper(II) compounds exhibit interesting magnetic properties due to halide–halide, copper–halide, and intermolecular hydrogen bond interactions. In this study, seven new copper(II) bromide complexes were synthesised, six of which contain Dabco (1,4-diazabicyclo[2.2.2]octane) as a ligand. Single-crystal X-ray diffraction data were refined using both conventional [...] Read more.
Copper(II) compounds exhibit interesting magnetic properties due to halide–halide, copper–halide, and intermolecular hydrogen bond interactions. In this study, seven new copper(II) bromide complexes were synthesised, six of which contain Dabco (1,4-diazabicyclo[2.2.2]octane) as a ligand. Single-crystal X-ray diffraction data were refined using both conventional spherical-atom models and a non-spherical-atom approach implemented in NoSpherA2. Magnetic properties were investigated by temperature-dependent magnetic susceptibility and field-dependent magnetisation measurements, analysed using a molecular field approximation. Crystallographic analysis shows that NoSpherA2 significantly improves the description of hydrogen atom positions, yielding C–H and N–H bond lengths closer to neutron diffraction values than conventional refinement. Magnetic measurements indicate that interactions between mononuclear copper(II) centres are determined primarily by the nature of intermolecular exchange pathways rather than copper–copper separations alone. Despite comparable Cu···Cu distances, complexes lacking N–H···Br hydrogen bonds exhibit only weak antiferromagnetic interactions, whereas stronger coupling, effective up to 150 K, is observed when such hydrogen bonds connect neighbouring complexes. These results highlight the importance of hydrogen-bond topology and three-dimensional connectivity in governing magnetic behaviour in mononuclear copper(II) systems. Full article
(This article belongs to the Special Issue Copper(II) Complexes and Their Properties)
Show Figures

Figure 1

21 pages, 3261 KB  
Article
First-Principles Study on the Enhancement of Formaldehyde Adsorption on Graphene-like ZnO via Doping Au and Vacancy Defects
by Jingze Yao, Chao Ma, Xuefeng Xiao, Weiyin Li, Yujie He and Hao Zhang
Inorganics 2026, 14(2), 53; https://doi.org/10.3390/inorganics14020053 - 11 Feb 2026
Viewed by 469
Abstract
Graphene-like 2D ZnO (g-ZnO), a wide-bandgap semiconductor, shows great potential for gas sensing, owing to its high surface area and carrier mobility. However, the practical use of it is hampered by its intrinsic chemical inertness. In this study, density functional theory was first [...] Read more.
Graphene-like 2D ZnO (g-ZnO), a wide-bandgap semiconductor, shows great potential for gas sensing, owing to its high surface area and carrier mobility. However, the practical use of it is hampered by its intrinsic chemical inertness. In this study, density functional theory was first used to study the effects of zinc vacancies (VZn), oxygen vacancies (VO), and Au doping on formaldehyde (CH2O) sensing. The results show that engineering of the defects and the Au doping both significantly improve the reactivity of the material. Specifically, the VZn system promotes dissociative chemisorption (Eads = −5.55 eV) of CH2O to CO and H atoms. Charge compensation effectively passivates the vacancy states and returns the direct bandgap semiconducting nature of the system. Furthermore, Au doping raises the conduction band and enlarges the bandgap, while the charge accumulation around Au atoms activates the surrounding sites, causing the adsorption mechanism to change from physisorption to chemisorption. Overall, the introduction of VZn and Au doping is an efficient way to overcome the surface inertness and improve sensing sensitivity, offering a theoretical framework for the design of high-performance 2D gas sensors. Full article
(This article belongs to the Special Issue Mixed Metal Oxides, 3rd Edition)
Show Figures

Figure 1

16 pages, 3903 KB  
Review
Recent Advances in Hole Transport Layer Engineering for High-Performance Quantum Dot Light-Emitting Diodes
by Taewook Kang, Hyeongseok Kim and Sanghyo Lee
Inorganics 2026, 14(2), 52; https://doi.org/10.3390/inorganics14020052 - 10 Feb 2026
Viewed by 884
Abstract
Owing to their superior color purity and solution-processability, quantum dot light-emitting diodes (QLEDs) have garnered significant attention as promising candidates for next-generation displays. However, overcoming efficiency degradation and limited operational lifetime, which stem from charge transport imbalance, remains a critical challenge. Herein, we [...] Read more.
Owing to their superior color purity and solution-processability, quantum dot light-emitting diodes (QLEDs) have garnered significant attention as promising candidates for next-generation displays. However, overcoming efficiency degradation and limited operational lifetime, which stem from charge transport imbalance, remains a critical challenge. Herein, we systematically discuss the role of the hole transport layer (HTL) in mitigating this imbalance. We classify HTL engineering strategies into four key categories: energy-level alignment, hole mobility and carrier concentration control, improvement in solvent stability, and multilayer architectures. Furthermore, we discuss hybrid HTL architectures that integrate multiple strategies to achieve synergistic improvement. Ultimately, this review highlights the pivotal role of HTL engineering in realizing high-performance QLEDs and provides insightful perspectives on future research directions. Full article
(This article belongs to the Special Issue Synthesis and Application of Luminescent Materials, 3rd Edition)
Show Figures

Figure 1

7 pages, 798 KB  
Article
The Calculated Structure and Energetics of (CO2)2@C84
by Zdeněk Slanina, Filip Uhlík, Takeshi Akasaka, Xing Lu and Ludwik Adamowicz
Inorganics 2026, 14(2), 51; https://doi.org/10.3390/inorganics14020051 - 10 Feb 2026
Viewed by 438
Abstract
Calculations are presented for the encapsulation of two CO2 molecules in the most common C84 fullerenes, producing (CO2)2@D2(22)-C84 and (CO2)2@D2d(23)-C84. The calculations are [...] Read more.
Calculations are presented for the encapsulation of two CO2 molecules in the most common C84 fullerenes, producing (CO2)2@D2(22)-C84 and (CO2)2@D2d(23)-C84. The calculations are performed at the DFT M06-2X/6-31+G* level with the BSSE correction. The encapsulation energy for (CO2)2@D2(22)-C84 and (CO2)2@D2d(23)-C84 is calculated as −4.9 and −5.6 kcal/mol, respectively. The encapsulation of two CO2 molecules is attractive, though the energy gain is, owing to a steric hindrance, smaller than previously found for the encapsulation of one CO2. The IR vibrational spectra are presented, too. Full article
Show Figures

Figure 1

23 pages, 8036 KB  
Article
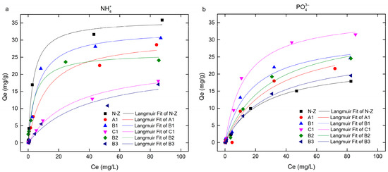
Assessing Ammonium and Orthophosphate Ion Adsorption from Eutrophic Freshwaters with the Application of Iron-Modified Zeolites
by Irene Biliani and Ierotheos Zacharias
Inorganics 2026, 14(2), 50; https://doi.org/10.3390/inorganics14020050 - 9 Feb 2026
Viewed by 590
Abstract
Eutrophic inland and coastal waters, created due to excessive concentrations of nutrients, cause harmful algal blooms and decreased water quality. Chemical adsorption of ammonium and orthophosphate ions with clay-based materials is an effective method for reducing nutrient pollution. This study assesses the adsorption [...] Read more.
Eutrophic inland and coastal waters, created due to excessive concentrations of nutrients, cause harmful algal blooms and decreased water quality. Chemical adsorption of ammonium and orthophosphate ions with clay-based materials is an effective method for reducing nutrient pollution. This study assesses the adsorption of ammonium and orthophosphate ions using different iron-modified zeolites. Chemical composition analysis, in parallel with the kinetic efficiency results for ammonium and orthophosphate ion adsorption, indicates that the incorporation of iron-modified zeolites enables these ions to be adsorbed due to their increased surface area and improved ion exchange properties. Additionally, the Langmuir isotherm effectively captures the adsorption characteristics of iron-modified zeolites for ammonium and orthophosphate ions. This study proposes an ecological restoration approach, along with a sustainable water treatment solution, emphasizing the efficacy of iron-modified zeolites in environmental management. Full article
(This article belongs to the Special Issue Crystalline Porous Materials for Environment and Sensing)
Show Figures

Graphical abstract

14 pages, 2740 KB  
Article
ZrO2 Coating for Surface Functionalization of Jianshui Purple Pottery: A Sol-Gel Approach with Antibacterial Performance
by Zhenwei Gan, Jinlin He, Jing Liu, Peng Zhang, Aidang Shan, Qinxiao Na, Yu He, Yuan Bao, Zixuan He and Lian Gao
Inorganics 2026, 14(2), 49; https://doi.org/10.3390/inorganics14020049 - 9 Feb 2026
Viewed by 392
Abstract
The surface decoration techniques, such as incising-filling, glaze spraying, wood firing, and secondary low-temperature refiring, etc., have been widely used for traditional potteries, such as Jianshui purple pottery. These surface modifications are mainly for artistic expression, whereas functional surface modification has barely been [...] Read more.
The surface decoration techniques, such as incising-filling, glaze spraying, wood firing, and secondary low-temperature refiring, etc., have been widely used for traditional potteries, such as Jianshui purple pottery. These surface modifications are mainly for artistic expression, whereas functional surface modification has barely been reported. The development of novel coating materials and processes is an alternative path for the innovation of traditional pottery. However, the surface functional materials often peel or detach from the pottery body after high-temperature sintering. It is thus imperative to develop coating materials and processes with robust adhesion and accommodation for secondary functional materials. Through the screening of different ZrO(OH)2 sols and coating processes, the coating of ZrO(OH)2 sol on the 800 °C baked Jianshui purple pottery achieved uniform and tight surface coating. Reducing the colloidal particle size and particle concentration in the sol, as well as Y3+ doping, is also conductive to the structural stability of the coatings. Additional loading of silver nanoparticles onto the ZrO2 coating layer effectively endows the pottery with antibacterial performance. The coated samples loaded with silver nanoparticles exhibited an antibacterial rate of 32.7% after accelerated desorption, demonstrating potential for functional pottery applications. Full article
(This article belongs to the Section Inorganic Solid-State Chemistry)
Show Figures

Figure 1

14 pages, 3779 KB  
Article
Defect Repair and Valence Restoration: A Facile Hydrothermal Strategy for Regenerating High-Performance LiFePO4 Cathodes from Spent Batteries
by Jinyu Tan, Xiaotao Wang, Wei Li, Shixiang Sun, Jingwen Cui, Yingqun Li, Yidan Zhang, Yukun Zhang, Yuan Zhao, Yan Cao and Chao Huang
Inorganics 2026, 14(2), 48; https://doi.org/10.3390/inorganics14020048 - 4 Feb 2026
Viewed by 2110
Abstract
With the increasing deployment of lithium iron phosphate (LiFePO4) batteries in electric vehicles and energy storage systems, the recycling of these materials has become an urgent necessity. Specifically, the reclamation of lithium iron phosphate cathode materials presents a significant challenge in [...] Read more.
With the increasing deployment of lithium iron phosphate (LiFePO4) batteries in electric vehicles and energy storage systems, the recycling of these materials has become an urgent necessity. Specifically, the reclamation of lithium iron phosphate cathode materials presents a significant challenge in the recycling process. In this study, we proposed an efficient low-temperature hydrothermal direct regeneration method aimed at repairing lithium vacancies and Fe/Li inversion defects in spent lithium iron phosphate resulting from prolonged cycling. By using this method, spent lithium iron phosphate was successfully regenerated through a hydrothermal process conducted at 80 °C for 6 h, utilizing hydrazine hydrate (N2H4·H2O) as a potent reducing agent and lithium hydroxide (LiOH·H2O) as the lithium source. X-ray diffraction (XRD) analysis, coupled with Rietveld refinement, revealed a substantial reduction in the concentration of Fe/Li anti-site defects in the spent material, decreasing from 8.8% to 3.3% following regeneration. Consequently, the electrochemical performance was significantly restored. The initial specific discharge capacity increased from 118.0 mAh·g−1 to 150.3 mAh·g−1, and the capacity retention after 100 cycles (at 1 C) improved from 67.5% to 90.7%. The hydrothermal regeneration process introduced in this work effectively repairs the material structure and restores the active valence state of iron, thereby significantly enhancing lithium-ion diffusion and electron transport capabilities. This approach constitutes a technically viable solution for the efficient, environmentally friendly, and cost-effective recycling of spent lithium-ion batteries. Full article
(This article belongs to the Section Inorganic Materials)
Show Figures

Figure 1

19 pages, 3609 KB  
Article
Thermodynamic Parameters and Coordination Behavior of Eu(III) Complexes with Tartrate and Oxalate Ligands: Study Using NMR and Potentiometry Methods
by Sabira Issabekova, Dana Belgibayeva, Shamshiya Amerkhanova, Zhuldyz Satayeva, Guzel Abilova, Karlyga Almuratova, Nuriya Aikenova and Lobar Sharipova
Inorganics 2026, 14(2), 47; https://doi.org/10.3390/inorganics14020047 - 2 Feb 2026
Cited by 1 | Viewed by 675
Abstract
This work presents a detailed study of the coordination of Eu(III) with tartrate and oxalate ligands in aqueous solutions. The following techniques were employed: potentiometric titrations, 1D 1H, 13C multinuclear NMR spectroscopy, 2D NMR experiments (COSY, HMQC, HMBC), and UV-Vis spectroscopy. [...] Read more.
This work presents a detailed study of the coordination of Eu(III) with tartrate and oxalate ligands in aqueous solutions. The following techniques were employed: potentiometric titrations, 1D 1H, 13C multinuclear NMR spectroscopy, 2D NMR experiments (COSY, HMQC, HMBC), and UV-Vis spectroscopy. Overall (cumulative) formation constants (logβ) were determined at ionic strengths of 0.1, 0.5, and 1.0, M KNO3 over the temperature range 298–318 K. At 298 K, the oxalate complexes are significantly more stable (logβ = 7.63→15.70 as the ionic strength increases from 0.1 to 1.0 M) than the corresponding tartrate species (logβ = 5.11→8.87). Analysis of the temperature dependence of logβ shows that the Gibbs free energy change comprises both temperature-dependent terms and an approximately temperature-independent covalent contribution, the latter becoming strongly negative values in the tartrate system. The NMR data support a bidentate coordination mode involving deprotonated hydroxyl and carboxylate groups, whereas 17O NMR monitors the mechanism of water exchange within the Eu(III) hydration sphere. In the UV-Vis domain, a distinct blue shift in the absorption band is observed at 0.1 M KNO3, while at 1.0 M KNO3, the band shows a pronounced decrease in intensity, a hypochromic effect. This behavior can be attributed to increased structural distortion and a partial loss of coplanarity within the tartrate coordination environment. By contrast, the oxalate system behaves differently: the spectra, together with the thermodynamic data, support a more covalent Eu–O interaction, consistent with stabilization of Eu(III) by two dicarboxylate ligands adopting distinct coordination modes. Full article
(This article belongs to the Topic Advances in Molecular Symmetry and Chirality Research)
Show Figures

Figure 1

18 pages, 6634 KB  
Article
Study on La Doping Modification and Transport Characteristics of Indium Oxide-Based Thermoelectric Materials for Waste-Heat Power Generation Application
by Jie Zhang, Bo Feng, Zhengxiang Yang, Xuan Liu, Shilang Guo, Guoji Cai, Yaoyang Zhang, Rong Zhang, Xiaoqiong Zuo, Zhiwen Yang, Tongqiang Xiong, Jiang Zhu, Suoluoyan Yang and Ruolin Ruan
Inorganics 2026, 14(2), 46; https://doi.org/10.3390/inorganics14020046 - 2 Feb 2026
Viewed by 553
Abstract
To address the trade-off between thermoelectric efficiency in oxide thermoelectric materials used in Aiye Processing Equipment, this study investigates the effect of La doping on the thermoelectric properties of indium oxide (In2O3) through experimental characterization and mechanism analysis. The [...] Read more.
To address the trade-off between thermoelectric efficiency in oxide thermoelectric materials used in Aiye Processing Equipment, this study investigates the effect of La doping on the thermoelectric properties of indium oxide (In2O3) through experimental characterization and mechanism analysis. The results show that La doping induces synergistic optimization of the electronic structure, lattice dynamics, and defect state of In2O3, leading to simultaneous enhancements in thermoelectric and mechanical properties. Specifically, La3+ substitution for In3+ significantly increases carrier concentration, which, combined with the band convergence-induced elevation of density of states (DOS) near the Fermi level, results in a remarkable improvement in power factor (from the intrinsic enhancement driven by electrical conductivity) while mitigating the reduction in Seebeck coefficient. Meanwhile, lattice distortion caused by ionic radius mismatch and decreased Young’s modulus (due to weakened In-O bonds) jointly enhance phonon scattering and reduce phonon propagation velocity, leading to a significant decrease in lattice thermal conductivity and total thermal conductivity. Consequently, the thermoelectric figure of merit (ZT) of La-doped In2O3 increases from 0.055 to 0.358, a six-fold enhancement. Additionally, La doping improves Vickers hardness through three synergistic mechanisms: internal stress from lattice distortion, enhanced interatomic bonding (synergistic reinforcement of ionic and covalent bond components), and dislocation pinning by substitutional defects (La_In). This study demonstrates that La doping achieves the dual regulation of “promoting electrical transport, suppressing thermal conduction, and enhancing mechanical strength” in In2O3, breaking the traditional trade-off between thermoelectric and mechanical properties. The findings provide a feasible strategy for the performance optimization of oxide thermoelectrics and lay a foundation for their practical applications in energy conversion systems requiring high efficiency and structural reliability. Full article
Show Figures

Figure 1

17 pages, 2641 KB  
Article
Dual-Promoted Trimetallic CoMo-Ni/Al2O3-K2O Catalysts: Impact of K2O Doping on Guaiacol Hydrodeoxygenation Selectivity
by Kenian L. Arévalo Blanco, Wilder S. Campo Baca and Esneyder Puello Polo
Inorganics 2026, 14(2), 45; https://doi.org/10.3390/inorganics14020045 - 30 Jan 2026
Cited by 2 | Viewed by 660 | Correction
Abstract
The influence of potassium oxide (K2O) doping on the hydrodeoxygenation (HDO) performance of trimetallic CoMo–Ni/Al2O3 catalysts was systematically investigated using guaiacol as a lignin-derived model compound. Catalysts containing 0, 1, 3, and 5 wt% K2O were [...] Read more.
The influence of potassium oxide (K2O) doping on the hydrodeoxygenation (HDO) performance of trimetallic CoMo–Ni/Al2O3 catalysts was systematically investigated using guaiacol as a lignin-derived model compound. Catalysts containing 0, 1, 3, and 5 wt% K2O were synthesized and characterized by SEM-EDS, N2 physisorption, XRD, FTIR, and HRTEM. SEM micrographs showed homogeneous morphologies with no significant agglomeration, while EDS analysis confirmed elemental compositions close to nominal values, with K2O contents increasing proportionally and maintaining uniform surface distribution. Adsorption–desorption isotherms confirmed mesoporous structures with specific surface areas ranging from 258 to 184 m2 g−1, decreasing with increasing K2O loading. XRD revealed γ-Al2O3, NiO, (NH4)3[CoMo6O24H6]·7H2O, and K2O phases, with slight peak shifts indicating surface modification rather than lattice incorporation of K+. FTIR spectra evidenced characteristic polyoxomolybdate vibrations and metal–oxygen interactions with alumina. HRTEM revealed MoS2 slab lengths between 1.85 and 2.51 nm, stacking numbers from 2.08 to 3.17, and Mo edge-to-corner ratios (fe/fc) between 1.39 and 2.43, corresponding to dispersions of 0.45–0.57. Guaiacol conversion remained high (≥95%) for all catalysts, while HDO selectivity strongly depended on K2O content. At 5 wt% K2O, cyclohexane selectivity reached 81.3% with an HDO degree of 65%, compared to 52.0% and 31% for the undoped catalyst. Pseudo-first-order kinetic analysis revealed that potassium promotes demethylation and demethoxylation steps while suppressing rearrangement pathways, steering the reaction network toward direct deoxygenation. These results demonstrate that K2O acts as an efficient structural and electronic promoter, enabling precise control of HDO selectivity without compromising catalytic activity. Full article
(This article belongs to the Special Issue Transition Metal Catalysts: Design, Synthesis and Applications)
Show Figures

Graphical abstract

19 pages, 5149 KB  
Article
Synthesis of MgO Doped with CoO/MgAl2O4, NiO/MgAl2O4, and CuO/MgAl2O4 in a Single Pot for Efficient Dye Adsorption
by Salah H. Elhory, Tarig G. Ibrahim, Mohamed R. Elamin, Faisal K. Algethami, Mohamed S. Eltoum, Babiker Y. Abdulkhair and Mutaz Salih
Inorganics 2026, 14(2), 44; https://doi.org/10.3390/inorganics14020044 - 30 Jan 2026
Cited by 1 | Viewed by 580 | Correction
Abstract
A simple method employing dextrose as a capping agent was adopted for making MgAl2O4@MgO (AM), 5%NiO-MgAl2O4@MgO (AMNi), 5%CoO-MgAl2O4@MgO (AMCo), and 5%CuO-MgAl2O4@MgO (AMCu) nanocomposites. The average particle sizes, [...] Read more.
A simple method employing dextrose as a capping agent was adopted for making MgAl2O4@MgO (AM), 5%NiO-MgAl2O4@MgO (AMNi), 5%CoO-MgAl2O4@MgO (AMCo), and 5%CuO-MgAl2O4@MgO (AMCu) nanocomposites. The average particle sizes, determined via SEM, were in the range of 21.6–51.4 nm, 9.8–13.8 nm, 19.1–32.2 nm, and 9.2–31.2 nm for AM, AMCu, AMNi, and AMCo, respectively. The nanosorbents exhibited type IV isotherm curves and type H3 hysteresis loops, signifying mesoporous properties. The AM, AMCu, AMNi, and AMCo exhibited surface areas of 69.47, 95.87, 86.23, and 75.87 m2/g, respectively. The pseudo second order described the indigo carmine (IDC) sorptions onto AM, AMCu, AMNi, and AMCo. The liquid film diffusion regulated IDC sorption on AMNi and AMCo, whereas the intraparticle diffusion was the dominant model on AM and AMCu. The AMCu’s showed a qt value of 127 mg g−1 from a 50 mg L−1 IDC solution at 20 °C, and 286.2 mg g−1 from a 200 mg L−1 IDC solution at 50 °C, establishing its capability for treating contaminated water. The IDC sorption onto AMCu aligns with the Freundlich model, which may elucidate the elevated qt value of AMCu. Elevating the temperature induced the IDC sorption on AMCu, indicating its endothermic nature, and the negative ΔG° implied that the IDC sorption by AMCu was spontaneous. A 5.0 and 10.0 mg L−1 IDC concentration in natural water samples was treated by the AMCu, which showed 100.0% efficacy for both groundwater samples; however, its efficacy toward the 5 and 10 mg L−1 IDC in seawater was 99.23% and 89.78%, respectively. The MACu’s efficiency throughout four reuse cycles decreased by only 7.21%, demonstrating excellent stability and reusability performance. Full article
Show Figures

Figure 1

34 pages, 1929 KB  
Review
Photocatalytic Antibacterial Mechanism and Biotoxicity Trade-Off of Metal-Doped M-ZIF-8 (M=Co, Cu): Progress and Challenges
by Huili Ren, Chenxia Gao, Siqi Huang, Libo Du, Shuang Liu, Xi Cao and Yuguang Lv
Inorganics 2026, 14(2), 43; https://doi.org/10.3390/inorganics14020043 - 30 Jan 2026
Cited by 1 | Viewed by 1167
Abstract
The proliferation of antibiotic resistance urgently demands the development of novel non-antibiotic-dependent antimicrobial strategies. Metal–organic framework material ZIF-8, with its tunable structure and excellent biocompatibility, shows great promise in the field of photocatalytic antibacterial applications. However, pure ZIF-8 suffers from limitations such as [...] Read more.
The proliferation of antibiotic resistance urgently demands the development of novel non-antibiotic-dependent antimicrobial strategies. Metal–organic framework material ZIF-8, with its tunable structure and excellent biocompatibility, shows great promise in the field of photocatalytic antibacterial applications. However, pure ZIF-8 suffers from limitations such as a narrow light absorption range and high carrier recombination rates. Doping ZIF-8 with transition metals such as cobalt or copper, herein denoted as M-ZIF-8 (M=Co, Cu), can significantly broaden its photoresponsive spectrum, promote reactive oxygen species (ROS) generation, and enable controlled metal ion release, thereby enhancing antimicrobial performance. Nevertheless, the release of metal ions also introduces potential biotoxicity concerns, limiting practical applications. This paper systematically reviews the trade-off between the photocatalytic antibacterial mechanism and biotoxicity of metal-doped M-ZIF-8 (M=Co, Cu), focusing on material design principles, antibacterial pathways, toxicity manifestations and mechanisms, as well as optimization strategies for “enhancing efficacy while reducing toxicity.” It further proposes future research challenges and directions in mechanism elucidation, smart material development, standardization, and industrialization to advance the safe and efficient application of these materials in medical and environmental fields. Full article
Show Figures

Figure 1

17 pages, 1468 KB  
Article
Synthesis and Characterization of Palladium(II) Complexes of Cross-Bridged Tetraazamacrocycles
by Michael-Joseph Gorbet, Timothy J. Prior, Allen G. Oliver, Jeanette A. Krause and Timothy J. Hubin
Inorganics 2026, 14(2), 42; https://doi.org/10.3390/inorganics14020042 - 29 Jan 2026
Viewed by 873
Abstract
Ethylene cross-bridged tetraazamacrocycles have been used to stabilize first-row transition metal complexes for applications under harsh conditions, such as biomedical imaging and aqueous oxidation catalysis. We have applied these ligands to the synthesis of complexes of a larger second row transition metal, namely, [...] Read more.
Ethylene cross-bridged tetraazamacrocycles have been used to stabilize first-row transition metal complexes for applications under harsh conditions, such as biomedical imaging and aqueous oxidation catalysis. We have applied these ligands to the synthesis of complexes of a larger second row transition metal, namely, square pyramidal Pd2+ complexes, which may be useful for future catalytic processes. We now report the synthesis and crystal structure determination of four novel Pd2+ complexes of the general formula [PdLCl]PF6, where L is the dimethyl ethylene cross-bridged derivative of 12aneN4 (cyclen), 13aneN4 (homocyclen), or 14aneN4 (cyclam), or the dibenzyl ethylene cross-bridged derivative of 14aneN4 (cyclam). Solid-state structures of all four complexes can be described as a distorted square pyramidal with τ5 values ranging from 0.01 to 0.20, with three macrocycle nitrogen atoms and one chloride in the square base and the fourth ligand nitrogen constrained by the cross-bridge to the axial position. Cyclic voltammetry of the complexes in acetonitrile shows stabilization of the Pd3+ oxidation state by all four complexes. Electronic spectroscopy reveals the typical behavior for square pyramidal Pd2+. Full article
(This article belongs to the Section Coordination Chemistry)
Show Figures

Graphical abstract

18 pages, 3122 KB  
Article
Impact of Iron-Bearing Fillers on the Mechanical Strength and Chemical Stability of Magnesium Potassium Phosphate Matrices Incorporating Rhenium
by Sergey Sayenko, Volodymyr Shkuropatenko, Hans-Conrad zur Loye, Petr Vecernik, Monika Kiselova, Vlastislav Kašpar, Vlastimil Miller, Petr Bezdicka, Jan Šubrt, Petra Ecorchard, Natalija Murafa, Iva Milisavljevic and Scott T. Misture
Inorganics 2026, 14(2), 41; https://doi.org/10.3390/inorganics14020041 - 28 Jan 2026
Viewed by 441
Abstract
We report on the study of the immobilization process of non-radioactive rhenium (Re), a chemical analogue of technetium-99 (99Tc), in compounds based on magnesium potassium phosphate (MKP), as well as the possibility of enhancing their properties with iron-bearing additives/fillers. Powdered Re [...] Read more.
We report on the study of the immobilization process of non-radioactive rhenium (Re), a chemical analogue of technetium-99 (99Tc), in compounds based on magnesium potassium phosphate (MKP), as well as the possibility of enhancing their properties with iron-bearing additives/fillers. Powdered Re2O7 was used as the initial Re-containing source. Because of the solubility and high leachability of Tc (VII), which is also volatile at high temperatures, its immobilization for long-term storage and disposal poses a serious challenge to researchers. Taking this into account, low-temperature stabilization technology based on MKP, a cementitious material, is currently considered promising. We prepared experimental specimens based on Re-incorporated MKP matrices and analyzed their microstructure in detail using analytical methods of X-ray diffraction (XRD), Raman spectroscopy, scanning electron microscopy (SEM), and transmission electron microscopy (TEM). Considering that iron-bearing substances can reduce Tc (VII) to the lower-valence form Tc (IV), which is more stable, attention was also paid to evaluate the effect of fillers (Fe2O3, Fe3O4, Fe, FeS and blast furnace slag (BFS)) on strength, oxidation state, and water resistance (expressed as leaching cumulative concentration). The addition of fillers ensures the formation of denser compounds based on MKP after 28 days of curing under ambient conditions and increases their mechanical strength. The oxidation state of Re and the reduction from Re (VII) to Re (IV) was estimated using X-ray-absorption near-edge structure (XANES) analysis. Considering the Re leaching concentrations from tests using the ANS-16.1 standard in water, enhanced leachability indices (LI) for Re from MKP matrices were determined with the addition of iron-bearing fillers. Overall, the average LI values were greater than the minimum limit, indicating their acceptance for disposal recommended by the U.S. Nuclear Regulatory Commission. Full article
Show Figures

Figure 1

15 pages, 4701 KB  
Article
Low-Temperature Co-Sintering of Li-Glass Solid Electrolytes and Li-Glass/Graphite Composite Anodes via Hot Press Processing
by Youngsun Ko, Hanbyul Lee, Wookyung Lee, Jaeseung Choi, Jungkeun Ahn, Youngsoo Seo and Chang-Bun Yoon
Inorganics 2026, 14(2), 40; https://doi.org/10.3390/inorganics14020040 - 27 Jan 2026
Viewed by 648
Abstract
With the expanding electric vehicle market, there is increasing demand for improved battery safety and fast-charging performance. Ceramic-based solid electrolytes have attracted attention due to their high thermal and electrochemical stabilities. Li-glass solid electrolytes (e.g., Li2O–LiCl–B2O3–Al2 [...] Read more.
With the expanding electric vehicle market, there is increasing demand for improved battery safety and fast-charging performance. Ceramic-based solid electrolytes have attracted attention due to their high thermal and electrochemical stabilities. Li-glass solid electrolytes (e.g., Li2O–LiCl–B2O3–Al2O3, LCBA) are promising materials because they enable low-temperature sintering (<550 °C), suppress lithium volatilization, mitigate ionic conductivity degradation, and enable cost-effective manufacturing. LCBA can be co-sintered with graphite anodes to form composite anode materials for LCBA-based all-solid-state batteries. However, insufficient densification and shrinkage mismatch often lead to limited ionic conductivity and interfacial delamination. In this study, the sintering behavior of LCBA was investigated using a hot-press-assisted process, and LCBA/graphite composite anodes were co-sintered to evaluate their electrochemical and interfacial properties. The LCBA electrolyte sintered at 550 °C exhibited high densification and an ionic conductivity of 3.86 × 10−5 S cm−1. Additionally, the composite containing 50 wt% LCBA achieved a maximum tensile stress of ~0.23 MPa and a high interfacial fracture energy of ~180–200 J m−2, indicating enhanced deformation tolerance and fracture resistance. This approach improves the densification, ionic conductivity, and interfacial mechanical stability of LCBA solid electrolytes and their composite anodes, highlighting their potential for next-generation all-solid-state secondary battery applications. Full article
Show Figures

Figure 1

14 pages, 3338 KB  
Article
Synthesis of Copper, Silver, and Copper–Silver Powders by Hydrogen-Assisted Ultrasonic Spray Pyrolysis
by Mame Haicha Faye, Duško Kostić, Srećko Stopić, Kone Daouda, Aleksandar M. Mitrašinović, Tatjana Volkov Husović, Jiehua Li and Bernd Friedrich
Inorganics 2026, 14(2), 39; https://doi.org/10.3390/inorganics14020039 - 27 Jan 2026
Viewed by 728
Abstract
Copper (Cu), silver (Ag), and copper–silver (Cu–Ag) powders were synthesized using ultrasonic spray pyrolysis (USP) combined with hydrogen-assisted reduction in order to examine how key processing parameters influence particle characteristics. The effects of reduction temperature, gas atmosphere, and precursor molar ratio on particle [...] Read more.
Copper (Cu), silver (Ag), and copper–silver (Cu–Ag) powders were synthesized using ultrasonic spray pyrolysis (USP) combined with hydrogen-assisted reduction in order to examine how key processing parameters influence particle characteristics. The effects of reduction temperature, gas atmosphere, and precursor molar ratio on particle morphology, size distribution, and elemental composition were systematically investigated. Aqueous precursor solutions of copper nitrate trihydrate and silver nitrate were atomized in a USP reactor and thermally treated under hydrogen-containing or argon atmospheres at temperatures between 500 and 700 °C. The resulting powders were characterized by scanning electron microscopy (SEM), particle size analysis using ImageJ, and energy-dispersive X-ray spectroscopy (EDS). The results showed that both temperature and gas atmosphere strongly affected particle formation. Hydrogen-assisted synthesis promoted efficient reduction and high metal purity but was associated with increased particle coalescence, whereas argon atmospheres yielded finer and more uniform particles through thermally driven decomposition. In the case of Cu–Ag powders, the precursor molar ratio played a decisive role in particle stability. A 1:1 Cu:Ag ratio produced uniform particles with reduced susceptibility to surface oxidation, while Ag-rich compositions (1:3 Cu:Ag) showed increased agglomeration and partial oxidation after synthesis. Overall, this study demonstrates that careful adjustment of gas atmosphere, synthesis temperature, and precursor composition enables control over the morphology and compositional stability of Cu, Ag, and Cu–Ag powders produced by USP. These findings provide practical guidance for the scalable preparation of mono- and bimetallic metal powders for applications in electronics, catalysis, and energy-related technologies. Full article
(This article belongs to the Section Inorganic Materials)
Show Figures

Figure 1

11 pages, 677 KB  
Article
Rhodium Tris(hydroxymethyl)phosphine (THP)/Amine Complexes as Stable Effective Homogenous Hydrogenation Catalysts in Aqueous Solution
by Sai Ge, Yuxin Lin and Manluan Sun
Inorganics 2026, 14(2), 38; https://doi.org/10.3390/inorganics14020038 - 26 Jan 2026
Viewed by 452
Abstract
Green chemistry, achieved by using water as a reaction medium, has several potential applications. In this work, a number of water-soluble Rh(III)–THP complexes, [Rh(III)Cl3(OH)(THP)2] (1), [Rh(III)Cl2(OH)(THP)3] (2), [Rh(III)Cl(OH)(THP)4] [...] Read more.
Green chemistry, achieved by using water as a reaction medium, has several potential applications. In this work, a number of water-soluble Rh(III)–THP complexes, [Rh(III)Cl3(OH)(THP)2] (1), [Rh(III)Cl2(OH)(THP)3] (2), [Rh(III)Cl(OH)(THP)4]+ (3), [Rh(III)Cl(OH)(en)(THP)2]+ (4a), [Rh(I)(en)(THP)2]+ (4b) and [Rh(III)(en)2Cl2]Cl (5) (where THP = P(CH2OH)3), were generated in aqueous media by controlling the reaction at different molar ratios of RhCl3/THP/en (en: ethylenediamine). These complexes were fully characterized in situ by 31P NMR spectroscopy, base titration and by X-ray crystallography for the solid compound (4). The catalytic hydrogenation reactivities of freshly prepared complexes (1–5) were tested in situ with the selected substrate of 3,4-dimethoxystyrene under the same experimental conditions; the related catalytic reactivities are discussed in detail. Full article
Show Figures

Figure 1

17 pages, 4675 KB  
Article
The Synthesis of Tetrakis(N,N-dimethylaminomethyl)ferrocene and Its Bimetallic Nickel(II) Dichloride Complex: The Search for Precursors for Methoxycarbonylation Ligands
by Ian R. Butler, Peter N. Horton, William Clegg, Simon J. Coles, Loretta Murphy and Steven Elliott
Inorganics 2026, 14(2), 37; https://doi.org/10.3390/inorganics14020037 - 26 Jan 2026
Viewed by 552
Abstract
The family of N,N-dimethylaminomethylferrocene compounds is one of the most important in ferrocene chemistry. They serve as precursors for a range of anti-malarial and anti-tumour medicinal compounds, in addition to being key precursors for ferrocene ligands in the Lucite alpha [...] Read more.
The family of N,N-dimethylaminomethylferrocene compounds is one of the most important in ferrocene chemistry. They serve as precursors for a range of anti-malarial and anti-tumour medicinal compounds, in addition to being key precursors for ferrocene ligands in the Lucite alpha process. A brief discussion on the importance and synthesis of N,N-dimethylaminomethyl-substituted ferrocenes preludes the synthesis of the new ligand, 1,1′,2,2′-tetrakis-(N,N-dimethylaminomethyl)ferrocene. The crystal structure of this compound is reported, and a comparison is made with its disubstituted analogue, 1,2-bis-(N,N-dimethylaminomethyl)ferrocene. The tetrahedral nickel dichloride complexes of both these ligands have been crystallographically characterised. Finally, a pointer to future research in the area is given, which includes a discussion of a new method to extract ferrocenylmethylamines from mixtures using additives and a new synthetic avenue from substituted cyclopentadiene itself. Full article
(This article belongs to the Section Organometallic Chemistry)
Show Figures

Graphical abstract

22 pages, 4846 KB  
Article
Carbon-NiTiO2 Nanosorbent as Suitable Adsorbents for the Detoxification of Zn2+ Ions via Combined Metal–Oxide Interfaces
by Azizah A. Algreiby, Abrar S. Alnafisah, Muneera Alrasheedi, Tahani M. Alresheedi, Ajayb Alresheedi, Abuzar Albadri and Abueliz Modwi
Inorganics 2026, 14(2), 36; https://doi.org/10.3390/inorganics14020036 - 26 Jan 2026
Viewed by 504
Abstract
Metal ions exemplify one of the most harmful and environmentally detrimental contaminants of water systems. This work describes the creation of an innovative chelated carbon-doped nickel and titanium oxide (C-NiTiO2) hybrid as an adsorbent for the effective elimination of metal ions. [...] Read more.
Metal ions exemplify one of the most harmful and environmentally detrimental contaminants of water systems. This work describes the creation of an innovative chelated carbon-doped nickel and titanium oxide (C-NiTiO2) hybrid as an adsorbent for the effective elimination of metal ions. The dominance of the TiO2 anatase phase with a ≈ 61 nm crystallite size was verified by XRD and Raman investigation. Morphology investigations exposed polygonal nanoparticles consisting of Ti, C, Ni, and O. The nanostructure exhibited a surface area of 17 m2·g−1, a pore diameter of ≈1.5 nm, and a pore volume of 0.0315 cm3·g−1. The nanostructure was evaluated for the elimination of Zn (II) ions from an aqueous solution. The metal ion adsorption onto the hybrid nanomaterial was described and comprehended using adsorption kinetics and equilibrium models. The adsorption data matched well with the pseudo-second-order kinetics and Langmuir adsorption models, indicating a monolayer chemisorption mechanism and achieving a maximum Zn (II) ion elimination of 369 mg·g−1. Mechanistic investigation indicated film diffusion-controlled adsorption through inner-sphere complexation. The nanosorbent could be regenerated and reused for four rounds without appreciable activity loss, thus demonstrating its potential for water cleanup applications. Full article
(This article belongs to the Section Inorganic Materials)
Show Figures

Graphical abstract

Previous Issue
Next Issue
Back to TopTop