Assessing Ammonium and Orthophosphate Ion Adsorption from Eutrophic Freshwaters with the Application of Iron-Modified Zeolites
Abstract
1. Introduction
2. Results
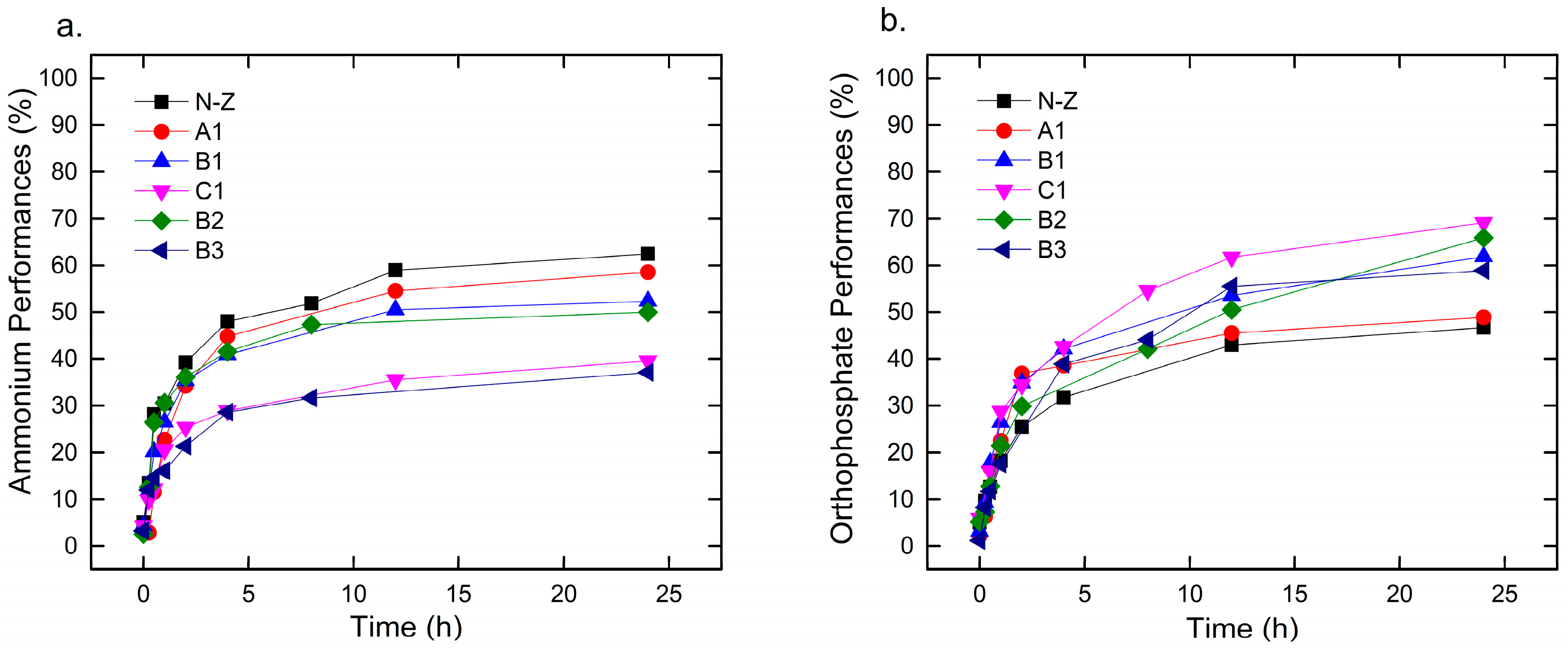
2.1. Kinetic Experiment Results
2.2. Isotherm Experiment Results
2.3. Characterization Analysis Results
2.4. XRD Analysis Results
3. Discussions
3.1. Material Comparison Related to Drying Time
3.2. Material Comparison Related to the Iron Concentration Addition
3.3. Langmuir Isotherm Results of Literature Iron-Modified Zeolites
3.4. Characterization Analysis Comparison
4. Materials and Methods
4.1. Protocol of Material Synthesis
4.2. Kinetic Experiment Procedure
4.3. Isotherm Experiment Procedure
4.4. Kinetic Models
4.4.1. Pseudo-First-Order (PFO) Model
4.4.2. Pseudo-Second-Order (PSO) Model
4.4.3. Elovich Model
4.5. Isotherm Models
4.5.1. Langmuir Isotherm Model
4.5.2. Freundlich Isotherm Model
4.5.3. Dubinin–Radushkevich (D–R) Isotherm Model
4.6. Scanning Electron Microscope Characterization
4.7. XRD Analysis Methodology
5. Conclusions
Author Contributions
Funding
Institutional Review Board Statement
Informed Consent Statement
Data Availability Statement
Acknowledgments
Conflicts of Interest
References
- Kornijów, R. Eutrophication and Derivative Concepts. Origins, Compatibility and Unresolved Issues. Ecohydrol. Hydrobiol. 2024, 24, 289–298. [Google Scholar] [CrossRef]
- Yu, C.; Li, Z.; Xu, Z.; Yang, Z. Lake Recovery from Eutrophication: Quantitative Response of Trophic States to Anthropogenic Influences. Ecol. Eng. 2020, 143, 105697. [Google Scholar] [CrossRef]
- Ren, J.S.; Barr, N.G.; Scheuer, K.; Schiel, D.R.; Zeldis, J. A Dynamic Growth Model of Macroalgae: Application in an Estuary Recovering from Treated Wastewater and Earthquake-Driven Eutrophication. Estuar. Coast. Shelf Sci. 2014, 148, 59–69. [Google Scholar] [CrossRef]
- Le Moal, M.; Gascuel-Odoux, C.; Ménesguen, A.; Souchon, Y.; Étrillard, C.; Levain, A.; Moatar, F.; Pannard, A.; Souchu, P.; Lefebvre, A.; et al. Eutrophication: A New Wine in an Old Bottle? Sci. Total Environ. 2019, 651, 1–11. [Google Scholar] [CrossRef]
- Knutsen, Ø.; Stefanakos, C.; Slagstad, D.; Ellingsen, I.; Zacharias, I.; Biliani, I.; Berg, A. Studying the Evolution of Hypoxia/Anoxia in Aitoliko Lagoon, Greece, Based on Measured and Modeled Data. Front. Mar. Sci. 2024, 11, 1299202. [Google Scholar] [CrossRef]
- Lin, S.S.; Shen, S.L.; Zhou, A.; Lyu, H.M. Sustainable Development and Environmental Restoration in Lake Erhai, China. J. Clean. Prod. 2020, 258, 120758. [Google Scholar] [CrossRef]
- Pretty, J.N.; Mason, C.F.; Nedwell, D.B.; Hine, R.E.; Leaf, S.; Dils, R. Environmental Costs of Freshwater Eutrophication in England and Wales. Environ. Sci. Technol. 2003, 37, 201–208. [Google Scholar] [CrossRef] [PubMed]
- Dodds, W.K.; Bouska, W.W.; Eitzmann, J.L.; Pilger, T.J.; Pitts, K.L.; Riley, A.J.; Schloesser, J.T.; Thornbrugh, D.J. Eutrophication of U. S. Freshwaters: Analysis of Potential Economic Damages. Environ. Sci. Technol. 2009, 43, 12–19. [Google Scholar] [CrossRef] [PubMed]
- Kakade, A.; Salama, E.S.; Han, H.; Zheng, Y.; Kulshrestha, S.; Jalalah, M.; Harraz, F.A.; Alsareii, S.A.; Li, X. World Eutrophic Pollution of Lake and River: Biotreatment Potential and Future Perspectives. Environ. Technol. Innov. 2021, 23, 101604. [Google Scholar] [CrossRef]
- Zhan, Y.; Yu, Y.; Lin, J.; Wu, X.; Wang, Y.; Zhao, Y. Simultaneous Control of Nitrogen and Phosphorus Release from Sediments Using Iron-Modified Zeolite as Capping and Amendment Materials. J. Environ. Manag. 2019, 249, 109369. [Google Scholar] [CrossRef]
- Zamparas, M.; Deligiannakis, Y.; Zacharias, I. To Phosphate Adsorption from Natural Waters and Evaluation of Sediment Capping Using Modified Clays. Desalin. Water Treat. 2013, 51, 2895–2902. [Google Scholar] [CrossRef]
- Márquez-Pacheco, H.; Hansen, A.M.; Falcón-Rojas, A. Phosphorous Control in a Eutrophied Reservoir. Environ. Sci. Pollut. Res. 2013, 20, 8446–8456. [Google Scholar] [CrossRef]
- Poikane, S.; Kelly, M.G.; Salas Herrero, F.; Pitt, J.A.; Jarvie, H.P.; Claussen, U.; Leujak, W.; Lyche Solheim, A.; Teixeira, H.; Phillips, G. Nutrient Criteria for Surface Waters under the European Water Framework Directive: Current State-of-the-Art, Challenges and Future Outlook. Sci. Total Environ. 2019, 695, 133888. [Google Scholar] [CrossRef] [PubMed]
- Zhou, J.; Lin, J.; Zhan, Y. Control of Phosphorus Release from Sediment by Iron/Aluminum Co-Modified Zeolite: Efficiency, Mechanism, and Response of Microbial Communities in Sediment. Environ. Sci. Pollut. Res. 2024, 31, 33708–33732. [Google Scholar] [CrossRef] [PubMed]
- Pesendorfer, S.; Ellersdorfer, M. Kinetics of Simultaneous Ammonium and Phosphate Recovery by Natural Zeolite. ChemEngineering 2021, 5, 68. [Google Scholar] [CrossRef]
- Shaheen, U.; Ye, Z.L.; Abass, O.K.; Zamel, D.; Rehman, A.; Zhao, P.; Huang, F. Evaluation of Potential Adsorbents for Simultaneous Adsorption of Phosphate and Ammonium at Low Concentrations. Microporous Mesoporous Mater. 2024, 379, 113301. [Google Scholar] [CrossRef]
- Biliani, I.; Tsavatopoulou, V.; Zacharias, I. Comparative Study of Ammonium and Orthophosphate Removal Efficiency with Natural and Modified Clay-Based Materials, for Sustainable Management of Eutrophic Water Bodies. Sustainability 2024, 16, 10214. [Google Scholar] [CrossRef]
- Copetti, D.; Finsterle, K.; Marziali, L.; Stefani, F.; Tartali, G.; Douglas, G.; Reitzel, K.; Spears, B.M.; Winfield, I.J.; Crosa, G.; et al. Eutrophication Management in Surface Waters Using Lanthanum Modified Betonite a Review. Water Res. 2015, 97, 162–174. [Google Scholar] [CrossRef]
- Wei, X.; Wang, Y.; Hernández-Maldonado, A.J.; Chen, Z. Guidelines for Rational Design of High-Performance Absorbents: A Case Study of Zeolite Adsorbents for Emerging Pollutants in Water. Green Energy Environ. 2017, 2, 363–369. [Google Scholar] [CrossRef]
- Kordala, N.; Wyszkowski, M. Zeolite Properties, Methods of Synthesis, and Selected Applications. Molecules 2024, 29, 1069. [Google Scholar] [CrossRef]
- Liu, P.; Zhang, A.; Liu, Y.; Liu, Z.; Liu, X.; Yang, L.; Yang, Z. Adsorption Mechanism of High-Concentration Ammonium by Chinese Natural Zeolite with Experimental Optimization and Theoretical Computation. Water 2022, 14, 2413. [Google Scholar] [CrossRef]
- Bahmanzadegan, F.; Ghaemi, A. A Comprehensive Review on Novel Zeolite-Based Adsorbents for Environmental Pollutant. J. Hazard. Mater. Adv. 2025, 17, 100617. [Google Scholar] [CrossRef]
- Tatlier, M.; Atalay-Oral, C.; Bayrak, A.; Maraş, T.; Erdem, A. Impact of Ion Exchange on Zeolite Hydrophilicity/Hydrophobicity Monitored by Water Capacity Using Thermal Analysis. Thermochim. Acta 2022, 713, 179240. [Google Scholar] [CrossRef]
- Cieśla, J.; Franus, W.; Franus, M.; Kedziora, K.; Gluszczyk, J.; Szerement, J.; Jozefaciuk, G. Environmental-Friendly Modifications of Zeolite to Increase Its Sorption and Anion Exchange Properties, Physicochemical Studies of the Modified Materials. Materials 2019, 12, 3213. [Google Scholar] [CrossRef]
- Saifuddin, M.; Kim, S.; Aziz, A.; Kim, K.S. Mechanistic Study of Phosphorus Adsorption onto Iron Z-A: Spectroscopic and Experimental Approach. Appl. Sci. 2019, 9, 4897. [Google Scholar] [CrossRef]
- Guaya, D.; Cobos, H.; Camacho, J.; López, C.M.; Valderrama, C.; Cortina, J.L. LTA and FAU-X Iron-Enriched Zeolites: Use for Phosphate Removal from Aqueous Medium. Materials 2022, 15, 5418. [Google Scholar] [CrossRef] [PubMed]
- Bacelo, H.; Pintor, A.M.A.; Santos, S.C.R.; Boaventura, R.A.R.; Botelho, C.M.S. Performance and Prospects of Different Adsorbents for Phosphorus Uptake and Recovery from Water. Chem. Eng. J. 2020, 381, 122566. [Google Scholar] [CrossRef]
- Sloan, J.J.; Ampim, P.A.Y.; Jaber, F. Phosphorus and Nitrogen Adsorption by Clinoptilolite Zeolite Coated with Iron-Oxide. Commun. Soil. Sci. Plant Anal. 2019, 50, 2669–2681. [Google Scholar] [CrossRef]
- Gao, L.; Zhang, C.; Sun, Y.; Ma, C. Effect and Mechanism of Modification Treatment on Ammonium and Phosphate Removal by Ferric-Modified Zeolite. Environ. Technol. 2019, 40, 1959–1968. [Google Scholar] [CrossRef]
- Stocker, K.; Ellersdorfer, M.; Lehner, M.; Raith, J.G. Characterization and Utilization of Natural Zeolites in Technical Applications. BHM Berg-Und Hüttenmännische Monatshefte 2017, 162, 142–147. [Google Scholar] [CrossRef]
- Poikane, S.; Van Den Berg, M.; Hellsten, S.; De Hoyos, C.; Ortiz-Casas, J.; Pall, K.; Portielje, R.; Phillips, G.; Solheim, A.L.; Tierney, D.; et al. Lake Ecological Assessment Systems and Intercalibration for the European Water Framework Directive: Aims, Achievements and Further Challenges. Procedia Environ. Sci. 2011, 9, 153–168. [Google Scholar] [CrossRef]
- Xu, R.; Zhang, M.; Mortimer, R.J.G.; Pan, G. Enhanced Phosphorus Locking by Novel Lanthanum/Aluminum-Hydroxide Composite: Implications for Eutrophication Control. Environ. Sci. Technol. 2017, 51, 3418–3425. [Google Scholar] [CrossRef]
- Stocker, K.; Ellersdorfer, M. Phosphate Fixation and P Mineralogy on Natural and Ca-Modified Zeolites During Simultaneous Nutrient Removal. Water. Air. Soil Pollut. 2022, 233, 41. [Google Scholar] [CrossRef]
- Mihajlović, A.R.; Došen, A.; Stojanović, J.; Kašić, V.; Simić, V. Occurences and Properties of Zeolitic Tuffs in Serbia. In Proceedings of the 5th Serbian-Croatian-Slovenian Symposium on Zeolites; Serbian Zeolite Association (SZA): Belgrade, Serbia, 2013; Volume 2, pp. 116–119. [Google Scholar]
- Florea, A.F.; Lu, C.; Hansen, H.C.B. A Zero-Valent Iron and Zeolite Filter for Nitrate Recycling from Agricultural Drainage Water. Chemosphere 2022, 287, 131993. [Google Scholar] [CrossRef]
- Guaya, D.; Valderrama, C.; Farran, A.; Cortina, J.L. Modification of a Natural Zeolite with Fe(III) for Simultaneous Phosphate and Ammonium Removal from Aqueous Solutions. J. Chem. Technol. Biotechnol. 2016, 91, 1737–1746. [Google Scholar] [CrossRef]
- He, Y.; Lin, H.; Dong, Y.; Liu, Q.; Wang, L. Simultaneous Removal of Ammonium and Phosphate by Alkaline-Activated and Lanthanum-Impregnated Zeolite. Chemosphere 2016, 164, 387–395. [Google Scholar] [CrossRef]
- Xu, Q.; Li, W.; Ma, L.; Cao, D.; Owens, G.; Chen, Z. Simultaneous Removal of Ammonia and Phosphate Using Green Synthesized Iron Oxide Nanoparticles Dispersed onto Zeolite. Sci. Total Environ. 2020, 703, 135002. [Google Scholar] [CrossRef]
- Alotaibi, S.S.; Ibrahim, H.M.; Alghamdi, A.G. Application of Natural and Modified Zeolite Sediments for the Stabilization of Cadmium and Lead in Contaminated Mining Soil. Appl. Sci. 2024, 14, 10864. [Google Scholar] [CrossRef]
- Guo, B.; Fan, C.; Meng, J.; Yang, Y. The Comparative Study of a Nano-Fe0-Loaded and a Nano-Fe/Ce-Loaded Expanded-Perlite on Removal of Phosphate from Water. J. Water Process Eng. 2023, 56, 104336. [Google Scholar] [CrossRef]
- Englert, A.H.; Rubio, J. Characterization and Environmental Application of a Chilean Natural Zeolite. Int. J. Miner. Process. 2005, 75, 21–29. [Google Scholar] [CrossRef]
- Wang, S.; Peng, Y. Natural Zeolites as Effective Adsorbents in Water and Wastewater Treatment. Chem. Eng. J. 2010, 156, 11–24. [Google Scholar] [CrossRef]
- Geider, R.; La Roche, J. Redfield Revisited: Variability of C:N:P in Marine Microalgae and Its Biochemical Basis. Eur. J. Phycol. 2002, 37, 1–17. [Google Scholar] [CrossRef]
- Shah, M.A.; Nagornyy, T.; Aiwekhoe, S.E.; Hong, S.; Huy Tran, N.H.; Luo, S.; Chen, Z.; Auerbach, S.M.; Fan, W. Rapid Crystallization of Zeolites with Controllable Defects: Disentangling Fluoride Concentration and PH Using NH4F. Cryst. Growth Des. 2025, 25, 1821–1832. [Google Scholar] [CrossRef]
- Grifasi, N.; Ziantoni, B.; Fino, D.; Piumetti, M. Fundamental Properties and Sustainable Applications of the Natural Zeolite Clinoptilolite; Springer: Berlin/Heidelberg, Germany, 2025; Volume 32. [Google Scholar]
- Minceva, M.; Fajgar, R.; Markovska, L.; Meshko, V. Comparative Study of Zn2+, Cd2+, and Pb2+ Removal From Water Solution Using Natural Clinoptilolitic Zeolite and Commercial Granulated Activated Carbon. Equilibrium of Adsorption. Sep. Sci. Technol. 2008, 43, 2117–2143. [Google Scholar] [CrossRef]
- Behin, J.; Kazemian, H.; Rohani, S. Ultrasonics Sonochemistry Sonochemical Synthesis of Zeolite NaP from Clinoptilolite. Ultrason. Sonochemistry 2016, 28, 400–408. [Google Scholar] [CrossRef]
- Dimowa, L.; Tzvetanova, Y. Powder XRD Study of Changes of Cd2+ Modified Clinoptilolite at Different Stages of the Ion Exchange Process. Minerals 2021, 11, 1130. [Google Scholar] [CrossRef]
- Liu, Y.; Yan, C.; Zhao, J.; Zhang, Z.; Wang, H.; Zhou, S.; Wu, L. Synthesis of Zeolite P1 from Fly Ash under Solvent-Free Conditions for Ammonium Removal from Water. J. Clean. Prod. 2018, 202, 11–22. [Google Scholar] [CrossRef]
- Tschegg, C.; Rice, A.N.H.; Grasemann, B.; Matiasek, E.; Kobulej, P.; Dzivák, M.; Berger, T. Petrogenesis of a Large-Scale Miocene Zeolite Tuff in the Eastern Slovak Republic: The Nižný Hrabovec Open-Pit Clinoptilolite Mine. Econ. Geol. 2019, 114, 1177–1194. [Google Scholar] [CrossRef]
- Biliani, I.; Zacharias, I. Natural and Modified Zeolites as Adsorbents for Nitrogen and Phosphorus Control in Eutrophic Freshwater Bodies: A Comprehensive Review on Freshwater Applications of the Last 10 Years. Materials 2025, 18, 4870. [Google Scholar] [CrossRef] [PubMed]
- Saifuddin, M.; Bae, J.; Soo, K. Role of Fe, Na and Al in Fe-Zeolite-A for Adsorption and Desorption of Phosphate from Aqueous Solution. Water Res. 2019, 158, 246–256. [Google Scholar] [CrossRef] [PubMed]
- Biliani, I.; Zacharias, I. Synthesis of a Novel Modified Zeolite (ZeoPhos) for the Adsorption of Ammonium and Orthophosphate Ions from Eutrophic Waters. Water 2025, 17, 786. [Google Scholar] [CrossRef]
- Perassi, I.; Borgnino, L. Adsorption and Surface Precipitation of Phosphate onto CaCO3-Montmorillonite: Effect of PH, Ionic Strength and Competition with Humic Acid. Geoderma 2014, 232–234, 600–608. [Google Scholar] [CrossRef]
- Lin, J.; Zhao, Y.; Zhan, Y.; Wang, Y. Influence of Coexisting Calcium and Magnesium Ions on Phosphate Adsorption onto Hydrous Iron Oxide. Environ. Sci. Pollut. Res. 2020, 27, 11303–11319. [Google Scholar] [CrossRef]
- Zhan, Y.; Zhang, H.; Lin, J.; Zhang, Z.; Gao, J. Role of Zeolite ’s Exchangeable Cations in Phosphate Adsorption onto Zirconium-Modi Fi Ed Zeolite. J. Mol. Liq. 2017, 243, 624–637. [Google Scholar] [CrossRef]
- Zhang, H.; Lyu, T.; Liu, L.; Hu, Z.; Chen, J.; Su, B.; Yu, J.; Pan, G. Exploring a Multifunctional Geoengineering Material for Eutrophication Remediation: Simultaneously Control Internal Nutrient Load and Tackle Hypoxia. Chem. Eng. J. 2021, 406, 127206. [Google Scholar] [CrossRef]
- Marzi, M.; Kazemian, H.; Bradshaw, C. Study on Phosphate Removal from Aqueous Solutions Using Magnesium-Ammonium- and Zirconium-Modified Zeolites: Equilibrium, Kinetic, and Fixed-Bed Column Study. Environ. Monit. Assess. 2023, 195, 826. [Google Scholar] [CrossRef]
- Goscianska, J.; Ptaszkowska-Koniarz, M.; Frankowski, M.; Franus, M.; Panek, R.; Franus, W. Removal of Phosphate from Water by Lanthanum-Modified Zeolites Obtained from Fly Ash. J. Colloid. Interface Sci. 2018, 513, 72–81. [Google Scholar] [CrossRef] [PubMed]
- Fan, T.; Wang, M.; Wang, X.; Chen, Y.; Wang, S.; Zhan, H.; Chen, X.; Lu, A.; Zha, S. Experimental Study of the Adsorption of Nitrogen and Phosphorus by Natural Clay Minerals. Adsorpt. Sci. Technol. 2021, 2021, 17–19. [Google Scholar] [CrossRef]
- Watanabe, Y.; Yamada, H.; Tanaka, J.; Moriyoshi, Y. Hydrothermal Modification of Natural Zeolites to Improve Uptake of Ammonium Ions. J. Chem. Technol. Biotechnol. 2005, 80, 376–380. [Google Scholar] [CrossRef]
- Pai, S.C.; Tsau, Y.J.; Yang, T.I. PH and Buffering Capacity Problems Involved in the Determination of Ammonia in Saline Water Using the Indophenol Blue Spectrophotometric Method. Anal. Chim. Acta 2001, 434, 209–216. [Google Scholar] [CrossRef]
- American Public Health Association; American Water Works Association; Water Environment Federation. Method 4500-P E: Phosphorus (Orthophosphate) by Ascorbic Acid Method. In Standard Methods for the Examination of Water and Wastewater; American Public Health Association: Washington, DC, USA, 2017; pp. 4.146–4.148. [Google Scholar]
- Liang, Z.; Gao, Q.; Wu, Z.; Gao, H. Removal and Kinetics of Cadmium and Copper Ion Adsorption in Aqueous Solution by Zeolite NaX Synthesized from Coal Gangue. Environ. Sci. Pollut. Res. 2022, 29, 84651–84660. [Google Scholar] [CrossRef] [PubMed]
- Liu, Y.; Tai, K.; Dillon, S.J. Growth Kinetics and Morphological Evolution of ZnO Precipitated from Solution. Chem. Mater. 2013, 25, 2927–2933. [Google Scholar] [CrossRef]
- Haghseresht, F.; Wang, S.; Do, D.D. A Novel Lanthanum-Modified Bentonite, Phoslock, for Phosphate Removal from Wastewaters. Appl. Clay Sci. 2009, 46, 369–375. [Google Scholar] [CrossRef]
- Largitte, L.; Pasquier, R. A Review of the Kinetics Adsorption Models and Their Application to the Adsorption of Lead by an Activated Carbon. Chem. Eng. Res. Des. 2016, 109, 495–504. [Google Scholar] [CrossRef]
- Xing, L.; Huang, L.; Yang, Y.; Xu, J.; Zhang, W.; Chi, G.; Hou, X. The Blocking Effect of Clay in Groundwater Systems: A Case Study in an Inland Plain Area. Int. J. Environ. Res. Public Health 2018, 15, 1816. [Google Scholar] [CrossRef]
- Wang, J.; Guo, X. Adsorption Isotherm Models: Classification, Physical Meaning, Application and Solving Method. Chemosphere 2020, 258, 127279. [Google Scholar] [CrossRef]
- Dada, A.; Olalekan, A.P.; Olatunya, A.M.; Dada, O. Langmuir, Freundlich, Temkin and Dubinin–Radushkevich Isotherms Studies of Equilibrium Sorption of Zn2+ Unto Phosphoric Acid Modified Rice Husk. IOSR J. Appl. Chem. 2012, 3, 38–45. [Google Scholar] [CrossRef]
- Pérez-Botella, E.; Valencia, S.; Rey, F. Zeolites in Adsorption Processes: State of the Art and Future Prospects. Chem. Rev. 2022, 122, 17647–17695. [Google Scholar] [CrossRef] [PubMed]









| Materials | Ammonium Ion Results | Orthophosphate Ion Results | ||||
|---|---|---|---|---|---|---|
| Qe (mg/g) | k2p (g/mg·h) | R2 (%) | Qe (mg/g) | k2p (g/mg·h) | R2 (%) | |
| N-Z | 6.78 ± 0.29 | 0.01 ± 0.01 | 97.25 | 4.86 ± 0.26 | 0.13 ± 0.02 | 96.78 |
| A1 | 6.40 ± 0.23 | 0.08 ± 0.01 | 98.86 | 5.084 ± 0.11 | 0.17 ± 0.01 | 97.99 |
| B1 | 5.35 ± 0.19 | 0.19 ± 0.03 | 98.99 | 6.65 ± 0.23 | 0.11 ± 0.02 | 98.40 |
| C1 | 3.91 ± 0.18 | 0.25 ± 0.05 | 96.36 | 6.89 ± 0.21 | 0.12 ± 0.01 | 98.25 |
| B2 | 4.99 ± 0.17 | 0.33 ± 0.04 | 97.8 | 6.40 ± 0.53 | 0.06 ± 0.01 | 97.40 |
| B3 | 3.61 ± 0.25 | 0.29 ± 0.06 | 97.48 | 5.85 ± 0.46 | 0.03 ± 0.01 | 98.13 |
| Materials | Ammonium Ion Results | Orthophosphate Ion Results | ||||
|---|---|---|---|---|---|---|
| Qe (mg/g) | kL (L/mg) | R2 (%) | Qe (mg/g) | kL (L/mg) | R2 (%) | |
| N-Z | 34.82 ± 2.06 | 0.08 ± 0.024 | 98.35 | 23.28 ± 1.13 | 0.04 ± 0.005 | 99.60 |
| A1 | 35.79 ± 1.06 | 0.30 ± 0.044 | 99.36 | 31.11 ± 2.54 | 0.06 ± 0.002 | 96.38 |
| B1 | 33.05 ± 1.94 | 0.16 ± 0.037 | 97.96 | 36.59 ± 2.58 | 0.03 ± 0.009 | 98.27 |
| C1 | 23.66 ± 1.61 | 0.03 ± 0.006 | 99.24 | 37.07 ± 1.79 | 0.08 ± 0.013 | 99.02 |
| B2 | 26.22 ± 1.62 | 0.24 ± 0.072 | 97.50 | 32.25 ± 1.76 | 0.03 ± 0.016 | 95.84 |
| B3 | 22.76 ± 2.37 | 0.03 ± 0.014 | 95.79 | 26.89 ± 1.37 | 0.04 ± 0.004 | 99.56 |
| Element | N-Z | A1 | B1 | B2 |
|---|---|---|---|---|
| O (%) | 57.44 | 50.92 | 48.64 | 47.66 |
| Na (%) | 0.87 | 0.00 | 0.00 | 0.00 |
| Mg (%) | 0.38 | 0.47 | 0.61 | 0.26 |
| Al (%) | 5.62 | 6.42 | 6.83 | 2.88 |
| Si (%) | 30.82 | 34.10 | 35.42 | 32.43 |
| K (%) | 2.09 | 3.17 | 1.79 | 0.98 |
| Ca (%) | 1.28 | 0.84 | 0.93 | 0.53 |
| Fe (%) | 0.71 | 2.80 | 4.67 | 1.43 |
| Cu (%) | 0.77 | 0.83 | 0.66 | 0.45 |
| Cl (%) | 0.00 | 0.43 | 0.45 | 0.19 |
| C (%) | 0.00 | 0.00 | 0.00 | 13.2 |
| Material | Si/Al | Si/28.09 | Al/26.98 | Molar Si/Al Ratio |
|---|---|---|---|---|
| N-Z | 6.09 | 1.15 | 0.20 | 5.85 |
| B1 | 5.19 | 1.26 | 0.25 | 4.98 |
| A1 | 5.31 | 1.21 | 0.24 | 5.10 |
| B2 | 11.26 | 1.15 | 0.11 | 10.82 |
| Material | Ammonium Adsorption Isotherm Capacity (mg/g) | Phosphate/Orthophosphate Adsorption Isotherm Capacity (mg/g) | Citation |
|---|---|---|---|
| IM-Z (Iron-Modified Zeolite) | 6.83 | 0.506 | [10] |
| FeAl-Z (Iron/Aluminum) | N/A | 11.2 | [14] |
| FeZeo (Coated with Hydrous Ferric Oxide) | 97% leaching reduction (no mg/g) | 97.3% leaching reduction (no mg/g) | [28] |
| LTA-Fe | N/A | 18.5 | [26] |
| FAU-X-Fe | N/A | 17.5 | [26] |
| Ferric Modified Zeolite | 1.551 | 0.159 | [29] |
| HCl + Fe Modified Zeolite | 1.558 | 0.186 | [29] |
| 0.1Na + Fe Modified Zeolite | 1.692 | 0.178 | [29] |
| 0.9Na + Fe Modified Zeolite | 2.263 | 0.108 | [29] |
| Iron-Z-A | N/A | 382.296 mg PO43−/g Fe | [25] |
| Fe(III)-modified zeolite | 27 | 3.4 | [36] |
| ZeoPhos (Fe/Ca/Humic Acid) | 28.61 | 34.3 | [53] |
| ZFe (B1: 0.1 M, 2 days) | 33.05 | 36.59 | This study |
| Material | Concentration Of Iron Chloride Solution (M) | Drying Time in an Oven of 80 °C (d) |
|---|---|---|
| N-Z | N/A | N/A |
| A1 | 0.05 | 1 |
| B1 | 0.1 | 1 |
| C1 | 0.2 | 1 |
| B2 | 0.1 | 2 |
| B3 | 0.1 | 4 |
Disclaimer/Publisher’s Note: The statements, opinions and data contained in all publications are solely those of the individual author(s) and contributor(s) and not of MDPI and/or the editor(s). MDPI and/or the editor(s) disclaim responsibility for any injury to people or property resulting from any ideas, methods, instructions or products referred to in the content. |
© 2026 by the authors. Licensee MDPI, Basel, Switzerland. This article is an open access article distributed under the terms and conditions of the Creative Commons Attribution (CC BY) license.
Share and Cite
Biliani, I.; Zacharias, I. Assessing Ammonium and Orthophosphate Ion Adsorption from Eutrophic Freshwaters with the Application of Iron-Modified Zeolites. Inorganics 2026, 14, 50. https://doi.org/10.3390/inorganics14020050
Biliani I, Zacharias I. Assessing Ammonium and Orthophosphate Ion Adsorption from Eutrophic Freshwaters with the Application of Iron-Modified Zeolites. Inorganics. 2026; 14(2):50. https://doi.org/10.3390/inorganics14020050
Chicago/Turabian StyleBiliani, Irene, and Ierotheos Zacharias. 2026. "Assessing Ammonium and Orthophosphate Ion Adsorption from Eutrophic Freshwaters with the Application of Iron-Modified Zeolites" Inorganics 14, no. 2: 50. https://doi.org/10.3390/inorganics14020050
APA StyleBiliani, I., & Zacharias, I. (2026). Assessing Ammonium and Orthophosphate Ion Adsorption from Eutrophic Freshwaters with the Application of Iron-Modified Zeolites. Inorganics, 14(2), 50. https://doi.org/10.3390/inorganics14020050

