- Article
Analyzing the Potential of Laser Femtosecond Technology for the Mass Production of Cyclic Olefin Copolymer Microfluidic Devices for Biomedical Applications
- Irene Varela Leniz,
- Taieb Bakouche,
- Malen Astigarraga,
- Florent Husson,
- Ane Miren Zaldua,
- Laura Gemini,
- José Luis Vilas-Vilela and
- Leire Etxeberria
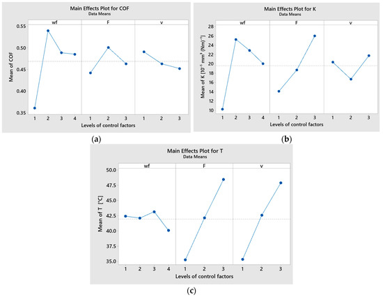
Precision micromilling is currently widely used for the fabrication of injection mold inserts for the mass production of microfluidic devices. However, for complex devices with micrometer-scale and high density of structures, micromilling results in...

