Sign in to use this feature.

Years

Between: -

Subjects

remove_circle_outline
remove_circle_outline
remove_circle_outline
remove_circle_outline
remove_circle_outline
remove_circle_outline
remove_circle_outline

Journals

Article Types

Countries / Regions

Search Results (36)

Search Parameters:
Keywords = microcolumns

Order results
Result details
Results per page
Select all
Export citation of selected articles as:
16 pages, 4809 KB  
Article
A Universal and Single-Step (De)Molding Sorting Chip Integrating Inertial and Deterministic Lateral Displacement Units
by Yifan Guo, Xiaoyu Qu, Zhaogang Dong, Mengmeng Xiao and Jingjing Xu
Bioengineering 2025, 12(12), 1326; https://doi.org/10.3390/bioengineering12121326 - 5 Dec 2025
Viewed by 274
Abstract
Serum tests are valuable sources of information for disease diagnosis. Conventional whole blood cell separation requires many processing steps, including centrifugation, fractionation, lysis, and dilution, and is therefore complex and time consuming. To address the need for the efficient separation of blood cells [...] Read more.
Serum tests are valuable sources of information for disease diagnosis. Conventional whole blood cell separation requires many processing steps, including centrifugation, fractionation, lysis, and dilution, and is therefore complex and time consuming. To address the need for the efficient separation of blood cells for on-chip rapid serum assays, we developed a microfluidic chip integrating inertial sorting and deterministic lateral displacement. This chip consists of a helical structure and a deterministic lateral displacement triangular microcolumn array for rapid and efficient separation of blood cells from whole blood samples. After separation, the supernatant is extracted at the exit for subsequent testing or directed to serum test units directly integrated in the chip. Here, the laminar flow and transport modules are coupled using finite element analysis for both multi-component and discrete-phase physical fields to simulate blood flow characteristics in the chip. The influences of flow rate and flux ratio on the sorting efficiency of blood cells were also discussed. Simulation results determined that the microfluidic chip designed in this research can achieve a cell sorting efficiency greater than 98% at suitable flow rates. Experimental results similarly achieved a high sorting effect of above 96%. Therefore, this blood cell sorting microfluidic chip shows strong potential for rapid serum testing applications and can be integrated as a stand-alone blood cell sorting module for various on-chip serum testing systems used to diagnose diseases. Full article
(This article belongs to the Section Regenerative Engineering)
Show Figures

Figure 1

20 pages, 11704 KB  
Article
Design and Experimental Research of an Underactuated Rigid–Flexible Coupling Mechanical Gripper
by Hongyi Liu, Yuhang Chen, Yubo Hu, Zhi Hu, Jie Liu, Xuejia Huang, Shuo Yao and Yigen Wu
Machines 2025, 13(11), 1068; https://doi.org/10.3390/machines13111068 - 20 Nov 2025
Viewed by 448
Abstract
Designing a mechanical gripper, achieving the combined capabilities of high loading capacity, flexible environmental adaptability, and dexterous kinematic performance, is highly desired in human–machine interaction and industrial production efficiency improvement, yet this combination of grasping encounters irreconcilable challenges. Although rigid–flexible coupled mechanical grippers [...] Read more.
Designing a mechanical gripper, achieving the combined capabilities of high loading capacity, flexible environmental adaptability, and dexterous kinematic performance, is highly desired in human–machine interaction and industrial production efficiency improvement, yet this combination of grasping encounters irreconcilable challenges. Although rigid–flexible coupled mechanical grippers exhibit promising advantages compared with conventional rigid mechanical grippers and pure soft grippers, they still get stuck in problems of grasping stability owing to the mechanical mismatch between rigid and flexible materials. Inspired by the hybrid structure of the human finger, we designed an underactuated rigid–flexible coupled mechanical gripper (U-RFCG) to expand the grasping range of existing mechanical grippers. We utilized an embedded flexible microcolumn array to couple the rigid underactuated fingers with a flexible silicone rubber finger segment and integrated a flexible silicone rubber cavity into each rigid–flexible coupling finger segment, thereby addressing issues such as slippage and fracture at the coupling interface of the rigid–flexible structure. This design enables the mechanical gripper to possess the superior characteristics of both rigid and flexible grippers, along with simple execution control. We established mathematical models to analyze the static and kinematic properties of the fingers. Based on these models, we optimized the dimensional parameters of the underactuated links to ensure reasonable contact force distribution and stable motion. Repeated experiments demonstrated that the contact force exerted by each phalanx consistently stabilized at approximately 3.58 N during operation. Lastly, we integrated the U-RFCG into a 3D motion platform. Our mechanical gripper demonstrates significant adaptability and high load capacity for grasping various objects, including irregular cauliflowers, fragile fried instant noodles, and heavy cabbages. It successfully handled objects spanning a weight range of 30–1500 g without causing damage to them. These results confirm that our design balances load capacity and grasping safety through the synergy of rigid and flexible properties, providing a new solution for robotic grasping in complex scenarios. Full article
Show Figures

Figure 1

12 pages, 3943 KB  
Article
Influence of Initial Gap, Voltage, and Additives on Zinc Microcolumn Morphology by Local Electrochemical Deposition
by Yi Liu and Fuliang Wang
Sensors 2025, 25(2), 521; https://doi.org/10.3390/s25020521 - 17 Jan 2025
Viewed by 1174
Abstract
Local electrochemical deposition (LECD) is an innovative additive manufacturing technology capable of achieving precise deposition of metallic microstructures. This study delves into the ramifications of pivotal operational parameters—namely, the initial electrode gap, deposition voltage, and additive concentration—on the morphology of zinc microcolumns fabricated [...] Read more.
Local electrochemical deposition (LECD) is an innovative additive manufacturing technology capable of achieving precise deposition of metallic microstructures. This study delves into the ramifications of pivotal operational parameters—namely, the initial electrode gap, deposition voltage, and additive concentration—on the morphology of zinc microcolumns fabricated through LECD. A holistic approach integrating experimental methodologies with finite element simulations was adopted to scrutinize the influence of these variables on the microcolumns’ dimensions, surface morphology, and structural integrity. The findings reveal that augmenting the initial electrode gap results in microcolumns with larger diameters. Conversely, the deposition voltage primarily modulates the formation rate without exerting a notable impact on the columns’ dimensional attributes. The incorporation of additives enhances surface smoothness and diminishes column diameters; however, an overabundance of additives adversely affects the overall microstructure. Optimal parameters for the production of high-quality zinc microcolumns were determined to be a deposition voltage of 3.4 V and an electrode gap of 10 μm. These discoveries contribute pivotal insights for the refinement of LECD processes, with particular relevance to biomedical applications, such as the development of zinc-based bioabsorbable materials for orthopedic implants and cardiovascular devices. Full article
(This article belongs to the Section Chemical Sensors)
Show Figures

Figure 1

16 pages, 12342 KB  
Article
Graphite Made from Coal by High-Temperature Treatment: An Insight into the Nanometric Carbon Structural Evolution
by Kuo Li, Yinghao Zhu, Haiyue Cao, Hao Zhang, Yingke Wu, Xiaoguang Li, Zhanjie Xu and Qinfu Liu
Minerals 2024, 14(11), 1092; https://doi.org/10.3390/min14111092 - 28 Oct 2024
Cited by 5 | Viewed by 4110
Abstract
Graphite made from coal will not only widen the graphite mineral resource, but also significantly improve the value of coal utilization. In this study, anthracite coal was heated in the temperature range of 500 to 2900 °C to study the size increase of [...] Read more.
Graphite made from coal will not only widen the graphite mineral resource, but also significantly improve the value of coal utilization. In this study, anthracite coal was heated in the temperature range of 500 to 2900 °C to study the size increase of nanometric graphite crystallites from anthracite to real graphite. The carbon content rapidly increases to 99.2% when heated from room temperature to 1600 °C, and then gradually increases to 100% when the treated temperature increases to 2900 °C. The FTIR results show that methyl, methylene, and aromatic hydrocarbon, preexisting in the raw anthracite, were preserved in the JZS-500 sample, but that when the treated temperature ≥ 1000 °C, these C-H bonds almost disappear. The basic structural units (nano graphitic carbon) grow into distorted columns, and the basic structural units and micro-columns re-oriented and coalesced to form local molecular oriented domains with the temperature increase from anthracite to JZS-1500. When the temperature ≥ 1600 °C, amorphous carbon, onion-like carbon, turbostratic layers, and graphitic carbon co-occur within the graphitized coals. At the sub-micron scale, carbonization is a homogenous process, whereas graphitization is a heterogenous process. The average graphite crystalline size (La, lateral extension; Lc, stacking height) rapidly increases as the treatment temperature increases from 1600 to 2300 °C. Three coal structural transformation stages were classified according to the nanometric carbon structural evolution with temperature. This study will contribute to the efficient and value-added utilization of coal to make graphite materials. Full article
(This article belongs to the Special Issue Graphite Minerals and Graphene)
Show Figures

Figure 1

20 pages, 6208 KB  
Article
Impact of Ceramic Micropillar Array and Fiber Layer Composite Structure on Kinematic and Heat Transfer Characteristics of Single Droplet Impacting a Wall
by Dechao Zhang, Guangjing Zhang, Yiwei Li, Yaobin Jiang and Yusong Yu
Micromachines 2024, 15(4), 525; https://doi.org/10.3390/mi15040525 - 14 Apr 2024
Viewed by 1754
Abstract
The well-known limitations of spray cooling on high-temperature solids at the Leidenfrost temperature point have been significantly improved by a composite structure of steel micropillar arrays and insulating thin films. However, the physical mechanism of a single droplet impact on the walls of [...] Read more.
The well-known limitations of spray cooling on high-temperature solids at the Leidenfrost temperature point have been significantly improved by a composite structure of steel micropillar arrays and insulating thin films. However, the physical mechanism of a single droplet impact on the walls of high-temperature composite structures in spray cooling remains elusive. We have experimentally studied and quantified the kinematic and thermal transfer characteristics of a single droplet impacting high-temperature micropillar arrays with fiber membrane composite structures. In particular, micropillar arrays of ceramic materials of different shapes (rectangular and cylindrical) used in this study were made using the more flexible PμSL technique, for which precision reaches the micron level. The results show that the presence and different layouts (embedded or placed on top) of the fiber layer significantly affect the spreading coefficient and thermal transfer efficiency of the droplets after impact. In terms of kinematic characteristics, unrelated to the structure of micropillar arrays, compared to structures without film, the maximum spreading coefficient of droplets significantly increased by more than 40% (43% for rectangular, 46% for cylindrical) when the fiber film was placed on top, and increased by more than 20% (20% for rectangular, 33% for cylindrical) when the fiber film was embedded. In terms of thermal transfer characteristics, at a temperature of 200 °C, the presence of the fiber layer changed the wettability of the surface of the micropillar structure, leading to a certain extension of the total evaporation time of the droplets compared to the surface of the micropillar structure without film. Full article
(This article belongs to the Section D3: 3D Printing and Additive Manufacturing)
Show Figures

Figure 1

11 pages, 3054 KB  
Article
Nb2O5 Microcolumns for Ethanol Sensing
by Gayan W. C. Kumarage, Shasika A. Panamaldeniya, Valentin A. Maraloiu, Buddhika S. Dassanayake, Nanda Gunawardhana and Elisabetta Comini
Sensors 2024, 24(6), 1851; https://doi.org/10.3390/s24061851 - 14 Mar 2024
Cited by 2 | Viewed by 1912
Abstract
Pseudohexagonal Nb2O5 microcolumns spanning a size range of 50 to 610 nm were synthesized utilizing a cost-effective hydrothermal process (maintained at 180 °C for 30 min), followed by a subsequent calcination step at 500 °C for 3 h. Raman spectroscopy [...] Read more.
Pseudohexagonal Nb2O5 microcolumns spanning a size range of 50 to 610 nm were synthesized utilizing a cost-effective hydrothermal process (maintained at 180 °C for 30 min), followed by a subsequent calcination step at 500 °C for 3 h. Raman spectroscopy analysis unveiled three distinct reflection peaks at 220.04 cm−1, 602.01 cm−1, and 735.3 cm−1, indicative of the pseudohexagonal crystal lattice of Nb2O5. The HRTEM characterization confirmed the inter-lattice distance of 1.8 Å for the 110 plain and 3.17 Å for the 100 plain. The conductometry sensors were fabricated by drop-casting a dispersion of Nb2O5 microcolumns, in ethanol, on Pt electrodes. The fabricated sensors exhibited excellent selectivity in detecting C2H5OH (ΔG/G = 2.51 for 10 ppm C2H5OH) when compared to a variety of tested gases, including CO, CO2, NO2, H2, H2S, and C3H6O. The optimal operating temperature for this selective detection was determined to be 500 °C in a dry air environment. Moreover, the sensors demonstrated exceptional repeatability over the course of three testing cycles and displayed strong humidity resistance, even when exposed to 90% relative humidity. This excellent humidity resistance gas sensing property can be attributed to their nanoporous nature and elevated operating temperature. Full article
Show Figures

Figure 1

12 pages, 22124 KB  
Article
Effect of Magnetic Field on Maskless Localized Electrodepositing Three-Dimensional Microstructure of Nano Nickel Crystals
by Menghua Wu, Bingchun Jiang, Yuqing Xiao and Weiping Jia
Materials 2024, 17(2), 386; https://doi.org/10.3390/ma17020386 - 12 Jan 2024
Cited by 2 | Viewed by 1634
Abstract
In the intricate process of maskless localized electrodeposition (MLED) for fabricating three-dimensional microstructures, specifically nickel micro-columns with an aspect ratio of 7:1, magnetic fields of defined strength were employed, oriented both parallel and anti-parallel to the electric field. The aim was to achieve [...] Read more.
In the intricate process of maskless localized electrodeposition (MLED) for fabricating three-dimensional microstructures, specifically nickel micro-columns with an aspect ratio of 7:1, magnetic fields of defined strength were employed, oriented both parallel and anti-parallel to the electric field. The aim was to achieve nanocrystalline microstructures and elevated deposition rates. A detailed comparative analysis was conducted to examine the volumetric deposition rate, surface morphology, and grain size of the MLED nickel crystal 3D microstructures, both in the absence and presence of the two magnetic field directions, facilitated by a self-assembled experimental setup. The results indicate that the anti-parallel magnetic field significantly boosts the volumetric deposition rate to a notable 19,050.65 μm3/s and refines the grain size, achieving an average size of 24.82 nm. Conversely, the parallel magnetic field is found to enhance the surface morphology of the MLED nickel crystal 3D microstructure. Full article
(This article belongs to the Special Issue Advanced Additive Manufacturing and Application)
Show Figures

Figure 1

17 pages, 1943 KB  
Article
Developing an Improved Strategy for the Analysis of Polychlorinated Dibenzo-p-Dioxins/Furans and Dioxin-like Polychlorinated Biphenyls in Contaminated Soils Using a Combination of a One-Step Cleanup Method and Gas Chromatography with Triple Quadrupole Mass Spectrometry
by Haena Chu, Jungmin Jo, Younggyu Son, Ji Yi Lee and Yun Gyong Ahn
Toxics 2023, 11(9), 738; https://doi.org/10.3390/toxics11090738 - 28 Aug 2023
Cited by 9 | Viewed by 2449
Abstract
Soils contaminated with polychlorodibenzo-p-dioxins (PCDDs), polychlorodibenzofurans (PCDFs), and dioxin-like (dl) polychlorinated biphenyls (PCBs), known as persistent organic pollutants (POPs), have garnered global attention because of their toxicity and persistence in the environment. The standard method for target analytes has been used; however, it [...] Read more.
Soils contaminated with polychlorodibenzo-p-dioxins (PCDDs), polychlorodibenzofurans (PCDFs), and dioxin-like (dl) polychlorinated biphenyls (PCBs), known as persistent organic pollutants (POPs), have garnered global attention because of their toxicity and persistence in the environment. The standard method for target analytes has been used; however, it is an obstacle in large-scale sample analysis due to the comprehensive sample preparation and high-cost instrumental analysis. Thus, analytical development of inexpensive methods with lower barriers to determine PCDDs/Fs and dl-PCBs in soil is needed. In this study, a one-step cleanup method was developed and validated by combining a multilayer silica gel column and Florisil micro-column followed by gas chromatography with triple quadrupole mass spectrometry (GC-QqQ-MS/MS). To optimize the separation and quantification of 17 PCDDs/Fs and 12 dl-PCBs in soils, the sample cleanup and instrumental conditions were investigated. For quantification method validation, spiking experiments were conducted to determine the linearity of the calibration, recovery, and method detection limit of PCDDs/Fs and dl-PCBs using isotopic dilution GC-QqQ-MS/MS. The applicability of the simultaneous determination of PCDDs/Fs and dl-PCBs was confirmed by the recovery of native target congeners and labeled surrogate congeners spiked into the quality-control and actual soil samples. The results were in good agreement with the requirements imposed by standard methods. The findings in this work demonstrated the high accessibility of the sample cleanup and analysis methods for the efficient determination of PCDDs/Fs and dl-PCBs in contaminated soils. Full article
Show Figures

Figure 1

18 pages, 9618 KB  
Article
The WC and CrC Coatings Deposited from Carbonyls Using PE CVD Method—Structure and Properties
by Marianna Trebuňová, Daniel Kottfer, Karol Kyziol, Mária Kaňuchová, Dávid Medveď, Róbert Džunda, Marta Kianicová, Lukáš Rusinko, Alena Breznická and Mária Csatáryová
Materials 2023, 16(14), 5044; https://doi.org/10.3390/ma16145044 - 17 Jul 2023
Cited by 6 | Viewed by 1787
Abstract
This article presents a comparative study of WC and CrC coatings deposited by the plasma-enhanced chemical vapor method using the hexacarbonyls of W and Cr as precursors. The measured thicknesses of the WC and CrC coatings are equal to ca. 1.5 µm. The [...] Read more.
This article presents a comparative study of WC and CrC coatings deposited by the plasma-enhanced chemical vapor method using the hexacarbonyls of W and Cr as precursors. The measured thicknesses of the WC and CrC coatings are equal to ca. 1.5 µm. The WC coating consists of microcolumns with a conical end, with gaps between the microcolumns up to approximately 100 nm, and their structure is formed by nanoparticles in the shape of globules with a diameter of up to 10 nm. In the case of the CrC coating, a cauliflower structure with gaps ranging from 20 to 100 nm was achieved. The diameter of cauliflower grains is from 50 nm to 300 nm. The C content in the WC and CrC coating is 66.5 at.% and 75.5 at.%. The W content is 1.4 at.% and the Cr content in the CrC coating is 1.2 at.%. The hardness and Young’s modulus of the WC coating are equal to 9.2 ± 1.2 GPa 440.2 ± 14.2 GPa, respectively. The coefficients of friction and wear volume of the WC coating are equal to 0.7 and −1.6 × 106/+3.3 × 106 µm3, respectively. The hardness and Young’s modulus of the CrC coating are 7.5 ± 1.2 GPa and 280 ± 18.5 GPa, respectively. The coefficients of friction and wear volume of the CrC coating are 0.72 and −18.84 × 106/+0.35 × 106 µm3, respectively. Full article
Show Figures

Figure 1

6 pages, 1384 KB  
Communication
Ex Vivo Human Histology Fractional Treatment with a New CO2 Scanner: A Potential Application on Deep Scarring
by Paolo Bonan, Laura Pieri, Irene Fusco, Francesca Madeddu, Tiziano Zingoni, Claudio Conforti and Domenico Piccolo
Medicina 2023, 59(6), 1117; https://doi.org/10.3390/medicina59061117 - 9 Jun 2023
Cited by 5 | Viewed by 3774
Abstract
Background and Objectives: For many years, fully ablative laser treatments, particularly those performed with a carbon dioxide (CO2) laser, were regarded as the gold standard for resurfacing. This study’s goal is to assess the depth that can be reached by [...] Read more.
Background and Objectives: For many years, fully ablative laser treatments, particularly those performed with a carbon dioxide (CO2) laser, were regarded as the gold standard for resurfacing. This study’s goal is to assess the depth that can be reached by a new CO2 scanner system, through a skin model with greater dermal thickness, to use in the treatment of deep scarring. Materials and Methods: Male human skin tissue was laser-treated using a CO2 fractional laser and a new scanning system, and all samples were fixed in 10% neutral buffered formalin, dehydrated using a series of crescent alcohol, embedded in paraffin, sectioned in series (4–5 µm thick), stained with haematoxylin and eosin (H&E), and then analysed under an optical microscope. Results: From the epidermis through the underlying papillary and reticular dermis to various depths of the dermis, microablation columns of damage and coagulated microcolumns of collagen were observed. The reticular dermis was fully penetrated up to 6 mm at higher energy levels (210 mJ/DOT), resulting in deeper tissue injury. Although the laser might penetrate further, the skin stops there, leaving just the fat and muscular tissue. Conclusions: The deep layers of the dermis can be penetrated by the CO2 laser system throughout the entire dermal thickness when using the new scanning system, suggesting that this laser’s potential impact, at the selected settings, covers all skin targets required to perform superficial or deep treatments on any dermatological issue. Finally, patients who have problems, such as morbid scar-deep complications, which affect their quality of life, are more likely to profit from this innovative technique. Full article
(This article belongs to the Special Issue Advances in Laser Treatment for Skin Diseases)
Show Figures

Figure 1

14 pages, 4753 KB  
Article
Blood Group Interpretation Algorithm Based on Improved AlexNet
by Ranxin Shen, Jiayi Wen and Peiyi Zhu
Electronics 2023, 12(12), 2608; https://doi.org/10.3390/electronics12122608 - 9 Jun 2023
Cited by 5 | Viewed by 2738
Abstract
Traditional blood group interpretation technology has poor detection efficiency and interpretation accuracy in the face of complex conditions in clinical environments. In order to improve the interpretation accuracy of the automatic blood group interpretation system, the important role of deep learning in the [...] Read more.
Traditional blood group interpretation technology has poor detection efficiency and interpretation accuracy in the face of complex conditions in clinical environments. In order to improve the interpretation accuracy of the automatic blood group interpretation system, the important role of deep learning in the blood group interpretation system was studied. Based on the AlexNet network model, this paper proposes an improved scheme because of its advantages in terms of speeding up the convergence training speed and enhancing the model’s generalizability. However, it still needs improvement in terms of blood group interpretation accuracy. The improved AlexNet network model proposed in this paper added an attention mechanism to the network structure, optimized the loss function in the training algorithm, and adjusted the learning rate attenuation function. The experiments showed that compared with the accuracy of the AlexNet model, its training effect was remarkable, with an accuracy of 96.9%—an increase of 3%. Moreover, the improved network model paid more attention to fine-grained classification, minimized the loss rate, and improved the accuracy of system interpretation. Full article
(This article belongs to the Special Issue Deep Learning-Based Computer Vision: Technologies and Applications)
Show Figures

Figure 1

11 pages, 3417 KB  
Article
Three-Dimensional PLGA Nanofiber-Based Microchip for High-Efficiency Cancer Cell Capture
by Mengting Qi, Meilin Ruan, Jinjin Liang, Zhengtao Zhang, Chaohui Chen, Yiping Cao and Rongxiang He
Materials 2023, 16(8), 3065; https://doi.org/10.3390/ma16083065 - 13 Apr 2023
Cited by 2 | Viewed by 2497
Abstract
A 3D network capture substrate based on poly(lactic-co-glycolic acid) (PLGA) nanofibers was studied and successfully used for high-efficiency cancer cell capture. The arc-shaped glass micropillars were prepared by chemical wet etching and soft lithography. PLGA nanofibers were coupled with micropillars by electrospinning. Given [...] Read more.
A 3D network capture substrate based on poly(lactic-co-glycolic acid) (PLGA) nanofibers was studied and successfully used for high-efficiency cancer cell capture. The arc-shaped glass micropillars were prepared by chemical wet etching and soft lithography. PLGA nanofibers were coupled with micropillars by electrospinning. Given the size effect of the microcolumn and PLGA nanofibers, a three-dimensional of micro-nanometer spatial network was prepared to form a network cell trapping substrate. After the modification of a specific anti-EpCAM antibody, MCF-7 cancer cells were captured successfully with a capture efficiency of 91%. Compared with the substrate composed of 2D nanofibers or nanoparticles, the developed 3D structure based on microcolumns and nanofibers had a greater contact probability between cells and the capture substrate, leading to a high capture efficiency. Cell capture based on this method can provide technical support for rare cells in peripheral blood detection, such as circulating tumor cells and circulating fetal nucleated red cells. Full article
(This article belongs to the Special Issue Advances in Bionanocomposites for Biomedical Engineering)
Show Figures

Figure 1

18 pages, 4690 KB  
Article
Development of Micro-Column Preconcentration Method Using a Restricted-Access Poly(protoporphyrin-co-vinyl pyridine) Adsorbent for Copper Determination in Water and Milk Samples by FIA-FAAS
by Fabio Antonio Cajamarca Suquila, Letícia Alana Bertoldo, Eduardo Lins and César Ricardo Teixeira Tarley
Separations 2023, 10(2), 122; https://doi.org/10.3390/separations10020122 - 9 Feb 2023
Cited by 5 | Viewed by 3076
Abstract
For years, researchers have focused on the determination of metal ions at trace levels in environmental and food samples using analytical methods that employ techniques with low cost acquisition and maintenance and without microwave-assisted acid digestion procedures or aggressive reagents. Therefore, the present [...] Read more.
For years, researchers have focused on the determination of metal ions at trace levels in environmental and food samples using analytical methods that employ techniques with low cost acquisition and maintenance and without microwave-assisted acid digestion procedures or aggressive reagents. Therefore, the present study deals with the synthesis and application of a novel, restricted-access poly(protoporphyrin-co-vinyl pyridine) adsorbent to preconcentrate copper in water samples and bovine milk that have only been subjected to pH adjusting (pH 6.0) and filtration using posterior on-line determination by FAAS. Regarding macromolecules, the restricted-access property of the adsorbent was achieved using the hydrophilic compound 2-hydroxyethyl methacrylate (HEMA). This method is based on the preconcentration of Cu2+ ions using a flow-injection system which is buffered with 0.05 mol L−1 of Britton–Robinson (BR) at a pH of 6.0 and has a flow rate of 14.0 mL min−1 through a mini-column packed with 50.0 mg of adsorbent. The elution was carried out using 0.40 mol L−1 of HCl toward the FAAS detector. The developed method provided a preconcentration factor of 44.7-fold, low limits of detection (LOD) (0.90 µg L−1) and quantification (LOQ) (2.90 µg L−1), tolerance to interfering ions (95.0 and 103.0%), and intra-day and inter-day precision assessed as the RSD (percentage of relative standard deviation), which ranged from 3.08 to 4.80%. The restricted-access poly(protoporphyrin-co-vinyl pyridine) adsorbent demonstrated outstanding features to exclude macromolecules, bovine serum albumin (BSA), and humic acid (HA) from an aqueous medium. Lake water and bovine milk samples were analyzed by the proposed preconcentration method with minimal sample pretreatment (which was based mainly on pH adjusting and filtration using an analytical curve with external calibration), yielding recovery values from addition and recovery tests ranging from 91.7 to 101.9%. The developed method shows great advantages over previously published methods, avoiding the time-consuming use of concentrated acids in a microwave-assisted acid digestion procedure. Full article
Show Figures

Graphical abstract

13 pages, 1236 KB  
Article
Buckling Analysis of Functionally Graded Tapered Microbeams via Rayleigh–Ritz Method
by Bekir Akgöz and Ömer Civalek
Mathematics 2022, 10(23), 4429; https://doi.org/10.3390/math10234429 - 24 Nov 2022
Cited by 124 | Viewed by 4322
Abstract
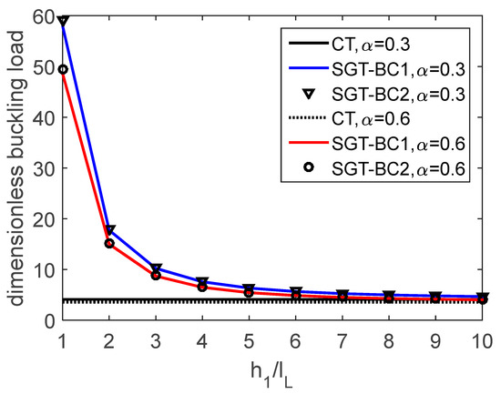
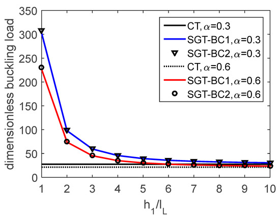
In the present study, the buckling problem of nonhomogeneous microbeams with a variable cross-section is analyzed. The microcolumn considered in this study is made of functionally graded materials in the longitudinal direction and the cross-section of the microcolumn varies continuously throughout the axial [...] Read more.
In the present study, the buckling problem of nonhomogeneous microbeams with a variable cross-section is analyzed. The microcolumn considered in this study is made of functionally graded materials in the longitudinal direction and the cross-section of the microcolumn varies continuously throughout the axial direction. The Bernoulli–Euler beam theory in conjunction with modified strain gradient theory are employed to model the structure by considering the size effect. The Rayleigh–Ritz numerical solution method is used to solve the eigenvalue problem for various conditions. The influences of changes in the cross-section and Young’s modulus, size dependency, and non-classical boundary conditions are examined in detail. It is observed that the size effect becomes more pronounced for smaller sizes and differences between the classical and non-classical buckling loads increase by increasing the taper ratios. Full article
Show Figures

Figure 1

29 pages, 4275 KB  
Article
Axonal Tract Reconstruction Using a Tissue-Engineered Nigrostriatal Pathway in a Rat Model of Parkinson’s Disease
by Laura A. Struzyna, Kevin D. Browne, Justin C. Burrell, Wisberty J. Gordián Vélez, Kathryn L. Wofford, Hilton M. Kaplan, N. Sanjeeva Murthy, H. Isaac Chen, John E. Duda, Rodrigo A. España and D. Kacy Cullen
Int. J. Mol. Sci. 2022, 23(22), 13985; https://doi.org/10.3390/ijms232213985 - 12 Nov 2022
Cited by 10 | Viewed by 3510
Abstract
Parkinson’s disease (PD) affects 1–2% of people over 65, causing significant morbidity across a progressive disease course. The classic PD motor deficits are caused by the degeneration of dopaminergic neurons in the substantia nigra pars compacta (SNpc), resulting in the loss of their [...] Read more.
Parkinson’s disease (PD) affects 1–2% of people over 65, causing significant morbidity across a progressive disease course. The classic PD motor deficits are caused by the degeneration of dopaminergic neurons in the substantia nigra pars compacta (SNpc), resulting in the loss of their long-distance axonal projections that modulate striatal output. While contemporary treatments temporarily alleviate symptoms of this disconnection, there is no approach able to replace the nigrostriatal pathway. We applied microtissue engineering techniques to create a living, implantable tissue-engineered nigrostriatal pathway (TE-NSP) that mimics the architecture and function of the native pathway. TE-NSPs comprise a discrete population of dopaminergic neurons extending long, bundled axonal tracts within the lumen of hydrogel micro-columns. Neurons were isolated from the ventral mesencephalon of transgenic rats selectively expressing the green fluorescent protein in dopaminergic neurons with subsequent fluorescent-activated cell sorting to enrich a population to 60% purity. The lumen extracellular matrix and growth factors were varied to optimize cytoarchitecture and neurite length, while immunocytochemistry and fast-scan cyclic voltammetry (FSCV) revealed that TE-NSP axons released dopamine and integrated with striatal neurons in vitro. Finally, TE-NSPs were implanted to span the nigrostriatal pathway in a rat PD model with a unilateral 6-hydroxydopamine SNpc lesion. Immunohistochemistry and FSCV established that transplanted TE-NSPs survived, maintained their axonal tract projections, extended dopaminergic neurites into host tissue, and released dopamine in the striatum. This work showed proof of concept that TE-NSPs can reconstruct the nigrostriatal pathway, providing motivation for future studies evaluating potential functional benefits and long-term durability of this strategy. This pathway reconstruction strategy may ultimately replace lost neuroarchitecture and alleviate the cause of motor symptoms for PD patients. Full article
(This article belongs to the Special Issue Development of Dopaminergic Neurons 2.0)
Show Figures

Figure 1

Back to TopTop