You are currently on the new version of our website. Access the old version .

35 Results Found

  • Article
  • Open Access
1,640 Views
16 Pages

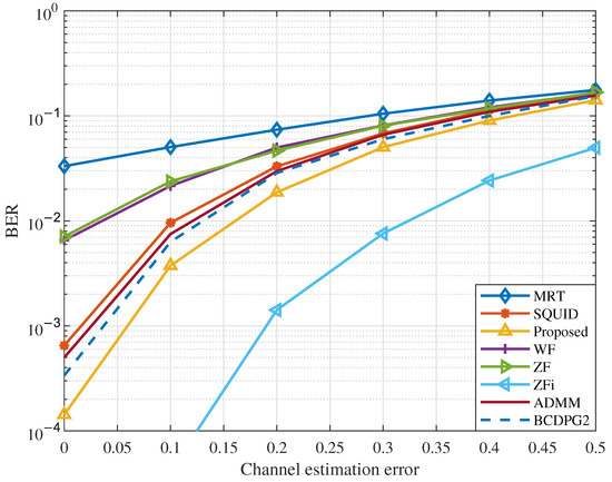
In this paper, we try to design the joint waveform and passive beamforming within the context of dual-function radar–communication (DFRC) systems. Focusing on the intricate trade-off between stringent radar beampattern constraints and their des...

  • Article
  • Open Access
4 Citations
2,481 Views
21 Pages

Alternating Direction Method of Multipliers-Based Constant Modulus Waveform Design for Dual-Function Radar-Communication Systems

  • Ahmed Saleem,
  • Abdul Basit,
  • Muhammad Fahad Munir,
  • Athar Waseem,
  • Wasim Khan,
  • Aqdas Naveed Malik,
  • Salman A. AlQahtani,
  • Amil Daraz and
  • Pranavkumar Pathak

6 July 2023

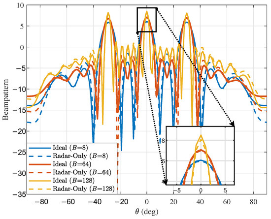
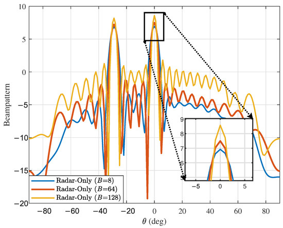
In this paper, we design constant modulus waveforms for dual-function radar-communication (DFRC) systems based on a multi-input multi-output (MIMO) configuration of sensors for a far-field scenario. At first, we formulate a non-convex optimization pr...

  • Article
  • Open Access
2 Citations
2,062 Views
20 Pages

15 October 2024

In contrast from traditional unmanned aerial vehicle communication via unlicensed spectrum, connecting unmanned aerial vehicles with cellular networks can extend their communication coverage and improve the quality of their service. In addition, the...

  • Communication
  • Open Access
2 Citations
1,935 Views
14 Pages

21 August 2024

This paper considers a terahertz (THz) dual-function multi-input multi-output (MIMO) radar and communication system with the assistance of a reconfigurable intelligent surface (RIS) and jointly designs the constant modulus (CM) waveform and RIS phase...

  • Article
  • Open Access
1 Citations
1,618 Views
19 Pages

26 February 2025

This paper investigates a multi-antenna, multi-input multi-output (MIMO) dual-functional radar and communication (DFRC) system platform. The system simultaneously detects radar targets and communicates with downlink cellular users. However, the modul...

  • Article
  • Open Access
9 Citations
4,301 Views
21 Pages

11 January 2020

A frequency-hopping (FH)-based dual-function multiple-input multiple-output (MIMO) radar communications system enables implementation of a primary radar operation and a secondary communication function simultaneously. The set of transmit waveforms em...

  • Article
  • Open Access
1 Citations
1,175 Views
20 Pages

8 January 2025

Dual-functional radar–communication systems are extensively employed for the detection and control of unmanned aerial vehicle groups and play crucial roles in scenario monitoring. In this study, we address the downlink precoding problem in larg...

  • Article
  • Open Access
2 Citations
2,473 Views
22 Pages

22 January 2025

As one of the promising technologies of 6G, dual-function radar communication (DFRC) integrates communication and radar sensing networks. However, with the application and deployment of DFRC, its security problem has become a significantly important...

  • Article
  • Open Access
1,237 Views
23 Pages

Robust Low-Sidelobe MIMO Dual-Function Radar–Communication Waveform Design

  • Xuchen Liu,
  • Yongjun Liu,
  • Guisheng Liao,
  • Hao Tang,
  • Heming Wang and
  • Xiaoyang Dong

31 March 2025

In multi-input–multi-output (MIMO) dual-function radar–communication (DFRC) systems, the inevitable amplitude–phase errors increase the sidelobe of transmit beampattern and distort the synthesized waveforms, which degrades both rada...

  • Article
  • Open Access
2 Citations
2,111 Views
25 Pages

MIMO DFRC Signal Design in Signal-Dependent Clutter

  • Xue Yao,
  • Bunian Pan,
  • Tao Fan,
  • Xianxiang Yu,
  • Guolong Cui and
  • Xiangfei Nie

24 June 2023

This paper deals with the Dual-Function Radar and Communication (DFRC) signal design for a Multiple-Input–Multiple-Output (MIMO) system, considering the presence of signal-dependent clutter. A modulation methodology called Spectral Position Ind...

  • Article
  • Open Access
9 Citations
2,655 Views
16 Pages

Hybrid FSK–FDM Scheme for Data Rate Enhancement in Dual-Function Radar and Communication

  • Muhammad Fahad Munir,
  • Abdul Basit,
  • Wasim Khan,
  • Athar Waseem,
  • Muhammad Mohsin Khan,
  • Ahmed Saleem,
  • Salman A. AlQahtani,
  • Amil Daraz and
  • Pranavkumar Pathak

8 June 2023

In this paper, we present a hybrid frequency shift keying and frequency division multiplexing (i.e., FSK–FDM) approach for information embedding in dual-function radar and communication (DFRC) design to achieve an improved communication data rate. Si...

  • Article
  • Open Access
1 Citations
4,046 Views
22 Pages

Millimeter-Wave OFDM-FMCW Radar-Communication Integration System Design

  • Jiangtao Liu,
  • Wenyuan Feng,
  • Tao Su,
  • Jianzhong Chen and
  • Shaohong Xue

18 March 2025

Frequency-modulated continuous wave (FMCW) and orthogonal frequency-division multiplexing (OFDM) technologies play significant roles in millimeter-wave radar and communication. Their combinations, however, are understudied in the literature. This pap...

  • Article
  • Open Access
1,170 Views
25 Pages

17 March 2025

This paper presents a technique based on Constellation Rotation Modulation (CRM) to enhance the communication bandwidth of Frequency-Hopping Multiple-Input Multiple-Output Dual-Function Radar and Communication (FH-MIMO DFRC) systems. The technique in...

  • Article
  • Open Access
3 Citations
2,150 Views
23 Pages

Unimodular Waveform Design for the DFRC System with Constrained Communication QoS

  • Chao Huang,
  • Qingsong Zhou,
  • Zhongrui Huang,
  • Zhihui Li,
  • Yibo Xu and
  • Jianyun Zhang

13 November 2023

In this study, we investigated two waveform design problems for a dual-functional radar communication (DFRC) system, taking into consideration different constrained communication quality-of-service (QoS) requirements. Our objective was to minimize th...

  • Article
  • Open Access
3 Citations
1,727 Views
18 Pages

27 September 2024

To detect moving weak targets in the dual function radar communication (DFRC) system of an orthogonal frequency division multiplexing (OFDM) waveform, a modified hybrid integration method is addressed in this paper. A high-speed aircraft can cause ra...

  • Article
  • Open Access
1,484 Views
19 Pages

27 January 2025

The traditional probe–pass integration system embeds communication information into a radar waveform, which leads to a high level of waveform autocorrelation sidelobes and a poor false symbol rate at low signal-to-noise ratios. This article pro...

  • Article
  • Open Access
3 Citations
2,503 Views
15 Pages

Deep Learning-Based Multi-Feature Fusion for Communication and Radar Signal Sensing

  • Ting Li,
  • Tian Liu,
  • Zhangli Song,
  • Lin Zhang and
  • Yiming Ma

Recent years witness the rapid development of communication and radar technologies, and many transmitters are equipped with both communication and radar functionalities. To keep track of the working state of a target dual-functional transmitter, it i...

  • Article
  • Open Access
3,304 Views
19 Pages

14 April 2024

Orthogonal frequency-division multiplexing (OFDM) chirp waveforms are an attractive candidate to be a dual-function signal scheme for the joint radar and communication systems. OFDM chirp signals can not only be employed to transmit communication dat...

  • Technical Note
  • Open Access
9 Citations
2,276 Views
16 Pages

Joint Design of Transmitting Waveform and Receiving Filter via Novel Riemannian Idea for DFRC System

  • Yinan Zhao,
  • Zhongqing Zhao,
  • Fangqiu Tong,
  • Ping Sun,
  • Xiang Feng and
  • Zhanfeng Zhao

14 July 2023

Recently, the problem of target detection in noisy environments for the Dual-Functional Radar Communication (DFRC) integration system has been a hot topic. In this paper, to suppress the noise and further enhance the target detection performance, a n...

  • Article
  • Open Access
1,080 Views
28 Pages

Spectrum Sharing Design for Integrated Aeronautical Communication and Radar System

  • Lanchenhui Yu,
  • Jingjing Zhao,
  • Quan Zhou,
  • Yanbo Zhu and
  • Kaiquan Cai

28 March 2025

The novel framework of an integrated aeronautical communication and radar system (IACRS) to realize spectrum sharing is investigated. A non-orthogonal multiple access (NOMA)-motivated multi-input–multi-output (MIMO) scheme is proposed for the d...

  • Article
  • Open Access
6 Citations
2,102 Views
21 Pages

Data Collection for Target Localization in Ocean Monitoring Radar-Communication Networks

  • Yuan Liu,
  • Shengjie Zhao,
  • Fengxia Han,
  • Mengqiu Chai,
  • Hao Jiang and
  • Hongming Zhang

26 October 2023

With the ongoing changes in global climate, ocean data play a crucial role in understanding the complex variations in the earth system. These variations pose significant challenges to human efforts in addressing the changes. As a data hub for the sat...

  • Article
  • Open Access
1,767 Views
24 Pages

A DDPG-LSTM Framework for Optimizing UAV-Enabled Integrated Sensing and Communication

  • Xuan-Toan Dang,
  • Joon-Soo Eom,
  • Binh-Minh Vu and
  • Oh-Soon Shin

1 August 2025

This paper proposes a novel dual-functional radar-communication (DFRC) framework that integrates unmanned aerial vehicle (UAV) communications into an integrated sensing and communication (ISAC) system, termed the ISAC-UAV architecture. In this system...

  • Article
  • Open Access
1 Citations
2,257 Views
17 Pages

This paper proposes an optimal beamforming strategy for a downlink multi-user multi-input–multi-output (MIMO) dual-function radar communication (DFRC) system with dirty paper coding (DPC) adopted at the transmitter. We aim to achieve the maximu...

  • Article
  • Open Access
1,300 Views
25 Pages

1 September 2025

Maritime search and rescue (SAR) demands reliable sensing and communication under sea clutter. Emerging integrated sensing and communication (ISAC) technology provides new opportunities for the development and modernization of maritime radio communic...

  • Article
  • Open Access
2 Citations
1,695 Views
20 Pages

Design and Experimental Demonstration of an Integrated Sensing and Communication System for Vital Sign Detection

  • Chi Zhang,
  • Jinyuan Duan,
  • Shuai Lu,
  • Duojun Zhang,
  • Murat Temiz,
  • Yongwei Zhang and
  • Zhaozong Meng

16 June 2025

The identification of vital signs is becoming increasingly important in various applications, including healthcare monitoring, security, smart homes, and locating entrapped persons after disastrous events, most of which are achieved using continuous-...

  • Article
  • Open Access
26 Citations
4,859 Views
21 Pages

Joint Radar-Communications Exploiting Optimized OFDM Waveforms

  • Ammar Ahmed,
  • Yimin D. Zhang and
  • Aboulnasr Hassanien

30 October 2021

We propose novel Joint Radar-communication spectrum sharing strategies exploiting orthogonal frequency-division multiplexing (OFDM) waveforms that concurrently achieve the objectives of both radar and communication systems. An OFDM transmitter is con...

  • Article
  • Open Access
1 Citations
2,419 Views
34 Pages

18 May 2024

In response to potential denial environments such as canyons, gullies, islands, and cities where users are located, traditional Telemetry, Tracking, and Command (TT&C) systems can still maintain core requirements such as availability, reliability...

  • Article
  • Open Access
1,291 Views
15 Pages

31 August 2024

This paper introduces a robust waveform design method aimed at reducing the impact of electromagnetic interference in radar systems, thereby enhancing target detection accuracy. We propose utilizing a high-order p-norm to characterize the peak sidelo...

  • Article
  • Open Access
1,001 Views
28 Pages

14 October 2025

Target tracking in integrated sensing and communication (ISAC) systems faces critical challenges due to complex interference patterns and dynamic resource allocation between radar sensing and wireless communication functions. Classical tracking algor...

  • Article
  • Open Access
3 Citations
2,137 Views
12 Pages

Adaptive Linearization for the Sub-Nyquist Photonic Receiver Based on Deep Learning

  • Liyuan Zhao,
  • Jianghua Zhang,
  • Lei Huang,
  • Yuanxi Peng,
  • Ke Yin,
  • Xin Zheng,
  • Zhuohang Zhang,
  • Meili Shen,
  • Denghui Song and
  • Hongxiao Niu

25 October 2022

Due to the nonlinear and aliasing effects, the sub-Nyquist photonic receiver for radio frequency (RF) signals with large instantaneous bandwidth suffers limited dynamic range and noise performance. We designated a deep residual network (Resnet) to re...

  • Article
  • Open Access
5 Citations
2,414 Views
12 Pages

Multifunctional Coding-Feeding Metasurface Based on Phase Manipulation

  • Guo-Shuai Huang,
  • Si-Jia Li,
  • Zhuo-Yue Li,
  • Xiao-Bin Liu,
  • Cheng-Yuan He,
  • Huan-Huan Yang and
  • Xiang-Yu Cao

10 October 2022

Multiple functionalities on a shared aperture are crucial for metasurfaces (MSs) in many applications. In this paper, we propose a coding-feeding metasurface (CFMS) with the multiple functions of high-gain radiation, orbital angular momentum (OAM) ge...

  • Article
  • Open Access
1 Citations
2,438 Views
10 Pages

Hilbert-Coding Metasurface for Diverse Electromagnetic Controls

  • Jianjiao Hao,
  • Fuju Ye,
  • Ying Ruan,
  • Lei Chen and
  • Haoyang Cui

26 August 2022

Metamaterials, or metasurfaces, allow the flexible and efficient manipulation of electromagnetic (EM) wave. Although the passive coding metasurfaces have achieved a great deal of functionality, they also need a complex design process. In this paper,...

  • Article
  • Open Access
1 Citations
602 Views
16 Pages

A Wideband Multi-Polarized Microstrip Antenna with High Polarization Isolation Based on Dual-Circular Polarization

  • Xuenan Wang,
  • Hongcheng Zhou,
  • Xinhui Wang,
  • Xia Lei,
  • Boyang Hao,
  • Mian Zhong and
  • Chao Zhou

24 October 2025

To address the limited overlapping bandwidth across polarization modes in conventional multi-polarized antennas, this paper proposes a wideband multi-polarized microstrip antenna with high polarization isolation. Based on the theory of orthogonal dua...

  • Article
  • Open Access
2,974 Views
23 Pages

13 February 2023

Frequency hopping spread spectrum (FHSS) applies widely to communication and radar systems to ensure communication information and channel signal quality by tuning frequency within a wide frequency range in a random sequence. An efficient signal proc...

  • Article
  • Open Access
7 Citations
2,076 Views
16 Pages

28 September 2024

To address the issue of suboptimal spectral purity in Direct Digital Frequency Synthesis (DDFS) within resource-constrained environments, this paper proposes an optimized DDFS technique based on cubic Hermite interpolation. Initially, a DDFS hardware...