Next Article in Journal
The Impact of the Weather Forecast Model on Improving AI-Based Power Generation Predictions through BiLSTM Networks
Previous Article in Journal
HDCCT: Hybrid Densely Connected CNN and Transformer for Infrared and Visible Image Fusion
 
 
Font Type:
Arial Georgia Verdana
Font Size:
Aa Aa Aa
Line Spacing:
Column Width:
Background:
Article

Anti-Spectral Interference Waveform Design Based on High-Order Norm Optimized Autocorrelation Sidelobes Properties

1
School of Communication and Information Engineering, Xi’an University of Science and Technology, Xi’an 710054, China
2
Science and Technology on Communication Information Security Control Laboratory, Jiaxing 314003, China
*
Author to whom correspondence should be addressed.
Electronics 2024, 13(17), 3471; https://doi.org/10.3390/electronics13173471
Submission received: 23 July 2024 / Revised: 29 August 2024 / Accepted: 29 August 2024 / Published: 31 August 2024

Abstract

This paper introduces a robust waveform design method aimed at reducing the impact of electromagnetic interference in radar systems, thereby enhancing target detection accuracy. We propose utilizing a high-order p-norm to characterize the peak sidelobe level (PSL) of the waveform. Additionally, the method incorporates spectral zero-trapping within known interfering frequency bands to mitigate interference effects. A unified optimization objective function is developed to ensure optimal correlation properties of waveforms for dual-use in radar and communication systems. By employing the AdamW algorithm for dynamic adjustment of the iteration factor, combined with a gradient descent search, this method refines both the autocorrelation of the waveform and its resilience to known disturbances. Experimental results demonstrate that our approach significantly improves autocorrelation performance over randomly generated initial waveforms. Moreover, the introduction of spectral zero-trapping notably enhances interference suppression in targeted frequency bands, thereby boosting overall signal performance. Our method effectively balances interference rejection with the minimization of sidelobe levels, offering a pragmatic waveform solution for complex radar environments.

1. Introduction

In modern radar systems, the impact of electromagnetic interference (EMI) on target detection performance has become increasingly significant. Jamming signals can substantially reduce radar detection accuracy, potentially resulting in target loss. Consequently, the development of waveforms with low sidelobe levels and robust anti-interference capabilities has emerged as a critical area of research [1,2,3,4,5,6,7,8]. These designs are essential for enhancing the operational efficiency of radar systems in diverse environmental conditions and detection scenarios. Waveforms with optimized correlation characteristics are crucial for improving parameter estimation and ensuring resilience against interference. This necessity underscores the importance of advanced waveform design in modern radar applications, as evidenced by extensive studies in the field [9,10,11].
Existing studies have shown that the anti-jamming capability of radar systems can be effectively improved by optimizing the peak sidelobe level (PSL) of the waveform and by using spectral zero-trapping techniques to address known jamming signals. In earlier research, Golomb and Scholtz proposed generalized Barker sequences, which are widely used in signal processing and communication systems due to their good correlation properties [12]. No et al. introduced binary pseudo-random sequences with ideal autocorrelation properties, which also have important applications in communication and radar systems [13]. Chang et al., on the other hand, investigated an ideal autocorrelation sequence and its associated triple error-correcting cyclic code, providing a new coding method to improve the reliability of communication systems [14].
In recent years, researchers have proposed various single-sequence design approaches aimed at reducing sidelobe levels and enhancing interference immunity. For example, Stoica et al. proposed a new cyclic algorithm to optimize the correlation of sequences by minimizing the integrated sidelobe level (ISL) to design a single sequence with good correlation characteristics [15]. Li and Vorobyov proposed fast algorithms for waveform design based on minimization of the waveform’s ISL and weighted ISL (WISL) for designing single or multiple single-mode waveforms with good autocorrelation and cross-correlation or weighted correlation properties. These sequences perform well in radar and communication systems [16]. Song et al. designed a single-mode sequence with low autocorrelation by directly minimizing the autocorrelation ISL, used the framework of the majorization-minimization (MM) algorithm for processing, proposed the monotonic minimizer ISL (MISL) algorithm, and extended it to design sequences with spectrum constraints, effectively improving the system’s anti-jamming capability [17]. PSL optimization focuses more on reducing the individual maximum sidelobe levels of a radar system, while integrated sidelobe level (ISL) optimization aims to minimize the overall sidelobe energy. Zhao et al. proposed a unified framework based on the MM method for designing low autocorrelation sequences under single-mode constraints, peak-to-average ratio (PAR) constraints, and similarity constraints, significantly reducing PSL [18]. The method proposed by Huang et al. is based on alternating minimization (AM), and the results show that it outperforms existing methods in terms of PSL. A theoretical lower bound is also developed for the PSL minimization problem under spectral constraints and single-mode constraints, which can be used to evaluate the results in various works on this waveform design problem [19]. Fan et al. formulated a sequence set design problem based on the minimum cross- and auto-correlation PSL (C/A-PSL) under single-mode and spectral constraints and solved the problem by minimizing the block continuous upper bound. The proposed method can obtain a spectrum waveform set with low autocorrelation and cross-correlation [20]. Additionally, some studies have explored waveform design methods based on high-order norm optimization. Xia et al. designed a unified representation method based on high-order norm optimization of ISL and PSL and proposed a novel and efficient waveform optimization algorithm, which solved the waveform and waveform set optimization of PSL, weighted sidelobe level, ISL, and WISL [21]. Liu et al. used the p-norm to design a p-MM algorithm to optimize PSL and ISL to obtain a low-sidelobe-level phase-coded waveform for multiple-input multiple-output (MIMO) radar design [22].
To improve the anti-jamming performance of radar systems, researchers have proposed various spectrum optimization methods. Aubry et al. studied radar waveform design in spectrum-dense environments, improved the performance and spectrum utilization of radar systems through a non-convex quadratic optimization method, and studied waveform performance based on the trade-off between achievable signal-to-interference-plus-noise ratio (SINR), spectrum shape, and generated autocorrelation function (ACF) [23]. Jing et al. discussed a method for spectrally constrained single-mode sequence design in the absence of a spectral level mask [24]. Liang et al. mainly studied the method of optimizing the target PSL by single-mode sequence design based on the alternating direction method of multipliers and using the concept of frequency selective filter design to control the spectral characteristics [25]. Ge et al. proposed a single-mode sequence design method that uses spectrum compatibility requirements and sidelobe level requirements as template fitting, which effectively improves the waveform correlation and spectrum compatibility [26]. Fan et al. proposed a constant modulus (CM) waveform with minimum local PSL and specified autocorrelation and spectral constraints, which has good performance in dealing with waveform design problems with local PSL and spectral constraints [27]. Zhao et al. proposed a conjugate gradient method based on FFT for single-mode sequence design and spectrum optimization, which has reliable local convergence and a good convergence rate [28]. Aubry et al. designed a radar waveform design based on the coordinate descent method, which satisfies multiple spectral compatibility constraints and optimizes radar performance at the same time [29]. Lu et al. proposed a multi-objective function to minimize the l p -norm, which mainly uses the main minimization approximate multiplier method (MM-PMM) algorithm for optimization and achieves good autocorrelation characteristics in terms of spectral stopband energy and local autocorrelation peak sidelobe level (A-PSL) [30]. These research results provide new insights into improving the detection performance and anti-jamming capability of radar systems.
In this paper, we propose a low-sidelobe waveform design method that combines high-order p-norm and spectral zero-trapping techniques. The method dynamically adjusts the iteration factor based on the AdamW algorithm, using a unified optimization objective function and optimizing autocorrelation and known interfering signals through a gradient descent search algorithm. Experimental results show that compared with the single waveform design based on sidelobe constraints, the sidelobe characteristics of the waveform obtained by our method are not as good as those of the existing methods, but it has better anti-interference ability in the spectrum. At the same time, compared with the single waveform design method based on spectrum constraints, the sidelobe performance of the waveform designed by us is better optimized, and the performance can be adjusted according to specific needs through the optimization factor. Compared with the existing advanced methods, our method takes into account the optimization of both sidelobe characteristics and spectrum characteristics and can flexibly adjust the control parameter α to adapt to various application requirements.The main contributions of this paper are as follows:
1.
PSL is expressed in terms of higher-order norms, and the suppression of interference is achieved through spectral zero-trapping. An optimized objective function is obtained that balances good autocorrelation sidelobe levels and effective electromagnetic interference suppression.
2.
To enhance waveform design, we introduce an innovative algorithm that optimizes the objective function.
3.
The superior performance of the proposed method is validated through extensive numerical simulations.
The remainder of the paper is organized as follows: Section 2 presents the signal model and describes the problem. Section 3 introduces the waveform optimization algorithms based on high-order p-norm and spectral interference suppression. Section 4 discusses the proposed algorithm and related work. Finally, Section 5 summarizes the conclusions.

2. Signal Model and Problem Description

In radar systems, the autocorrelation function describes the similarity of the signals at different moments. An ideal autocorrelation function should have a sharp peak at zero time delay and be as close to zero as possible at other time delays. A waveform with good autocorrelation can significantly improve the accuracy and resolution of target detection. However, in a multi-waveform radar system, the inter-correlation between waveforms also plays a key role. The inter-correlation function describes the similarity of two different waveforms at different time delays. The combination of waveforms with low inter-correlation can reduce the interference between different signals in the system and thus improve the performance of multi-target detection. Therefore, in a multi-waveform system, optimizing the waveform design needs to take into account not only autocorrelation but also inter-correlation to achieve the best detection results.
Assume that in a radar system, a single signal waveform of length N is transmitted by a radar transmitter, and that the collection of waveforms as a whole makes up a sequence of signal waveforms of length N. s = e j θ ( n ) , where n [ 0 , 1 , , N 1 ] , and  θ ( n ) is a phase evenly distributed between 0 and 2 π , represents the signal waveform. Since this paper focuses on a single waveform, waveform cross-correlation is not taken into account by the optimization objective; only autocorrelation is.
Waveform optimization assessment metrics frequently employ the PSL. It means that the autocorrelation sidelobes’ maximum value is represented for a single signal waveform. The PSL is defined as follows:
P S L = max k 0 | r ( k ) |
where r ( k ) = n = 0 N 1 s ( n ) s * ( n k ) , k 0 . Thus, peak sidelobe level minimization can be thought of as the goal of waveform optimization with PSL as an assessment criteria.
In environments where electromagnetic interference exists, zero trapping is formed in the direction of the known interference frequency domain to avoid the interference signal from being received by the radar. The importance of spectral transforms and spectral analysis in signal processing lies in the fact that they can transform time domain signals into the frequency domain, allowing for a more intuitive analysis of the signal’s spectral properties, identification of interfering signals, and insertion of zero traps at specific locations in the spectrum by optimizing the phase.
The discrete Fourier transform (DFT) of a signal is defined as:
S ( k ) = n = 0 N 1 s ( n ) · e j 2 π k n N
where S ( k ) represents the frequency domain representation of the signal s ( n ) , N is the length of the signal. Here, k is the frequency index, k [ 0 , 1 , , N 1 ] . Each k corresponds to a specific frequency component, with its frequency being k N times the sampling frequency.
Substituting the expression of s into Equation (2), we obtain:
S ( k ) = n = 0 N 1 e j θ ( n ) · e j 2 π k n N
Equation (3) shows the complex amplitude of the signal at each frequency in the frequency domain. By analyzing and optimizing these magnitudes, we can introduce zero-trapping at specific frequency locations to effectively counter electromagnetic interference.
For spectral zero-trapping design, our optimization objective is to minimize the energy of the signal in the interference band while maintaining its performance in the target band. The signal model can be expressed as follows:
min θ ( n ) k κ p S ( k ) 2
where κ p denotes the indexed set of interference bands. By dynamically adjusting the phase θ ( n ) , we can create spectral zero-trapping, which reduces the energy in the interference band. Spectrum optimization with spectral resistive band attenuation can therefore be viewed as the task of introducing zero-trapping at specific frequency locations.

3. Optimization Objective Function and Algorithm Proposed

Waveform optimization algorithms discussed in the literature do not directly address PSL. On the contrary, they transform the optimization objective function to the frequency domain and replace it with an almost identical objective function for the solution. In waveform optimization, the PSL is a popular optimization objective that expresses the autocorrelation function’s maximum sidelobe power. Furthermore, because spectrum standards for communications often use spectrum masks to establish allowable spectrum leaks, we intend to concentrate on the peak energy of spectral leaks rather than total energy. As a result, to ensure compatibility with communications applications, it would be achievable to design a wave shape limited by the maximum energy in the stopband.
The objective of this paper is the optimization of phase-coded sequences as raw waveforms. We use higher-order norms to represent PSL and the AdamW-based gradient descent algorithm for waveform optimization.
The original waveform consists of a phase-encoded sequence of length N. The waveform is denoted as s = e j θ ( n ) , where n [ 0 , 1 , , N 1 ] . Due to the symmetry of the non-periodic autocorrelation, only one-sided sidelobes are considered. An autocorrelation sidelobe at point k corresponding to waveform s is written as:
a ( k ) = n = 0 N 1 s ( n ) s * ( n k ) ( k = 1 , 2 , , N 1 )
A = [ a ( 1 ) , a ( 2 ) , , a ( N 1 ) ] represents the waveform’s N 1 non-periodic autocorrelation sidelobes.
The objective of optimizing the PSL is to minimize the maximum value of the waveform autocorrelation sidelobes. The objective function can be expressed as:
min [ max | A | ] )
where the absolute value is indicated by | · | . This study employs the higher-order p-norm to represent the highest value of the waveform vector in order to solve the minimization-maximization problem. Consequently, the optimization problem of minimization-maximization is transformed into an issue of minimizing the p-norm, which is of higher order. There, we handle the slack minimization problem, and it can be written as follows:
minimize A p
where · p denotes the p-order norm. It is possible to express the optimization objective vector as follows for convenience of analysis:
| A | = β 1 , β 2 , , β k = Γ
where β k is the sidelobe modulus of the waveform, k [ 0 , 1 , , N 1 ] . Therefore, the following can be used to express the PSL optimization objective function:
f 1 ( Θ ) = Γ p = k = 1 N 1 β k p 1 / p
Θ = [ θ ( 0 ) , θ ( 1 ) , , θ ( N 1 ) ]
In Equation (10), the waveform’s phase is represented by Θ , and the optimal waveform is equal to e j Θ .
In this study, we are concerned with the zero-trapping of the signal spectrum at the EMI location. From Equation (4), we target the known electromagnetic interference frequency location k, denoted as k p , where p is the index of the zero-trapping location. These frequency locations are where we wish to minimize the signal amplitude to reduce the effect of the interference.
Specifically, assume that the locations of the electromagnetic interference are k p = k u , k u + 1 , k u + 2 , k v , where p [ 0 , 1 , , N 1 ] and 1 u v N 1 . For each frequency position k p , we wish to optimize the phase distribution of the signal so that the magnitude of the Fourier coefficients at these frequency positions is close to zero.
From the signal model in Equation (4), in order to optimize the zero-sagging of the signal spectrum at a specific location k p , we define the objective function f 2 ( θ ) as the sum of the squares of the Fourier transform coefficients at the location of the electromagnetic interference:
f 2 ( θ ) = p = 1 length ( k ) S k p 2
s . t . S k p 2 U
This is the spectral compatibility constraint expressed in Equation (12), where U is the constraint constant. Replacing k in Equation (3) with k p and substituting it into Equation (11), the detailed form of the minimization objective function is finally obtained:
f 2 ( θ ) = p = 1 length k p n = 0 N 1 e j θ ( n ) * e j 2 π k p n N 2
Combining the above, the optimization objectives of the waveform design in this paper can be summarized as the following two points: (1) To minimize the PSL in f 1 ( θ ) to reduce the autocorrelation sidelobe level. (2) To make the spectral characteristics in f 2 ( θ ) close to zero in order to obtain optimal interference suppression performance. Based on the above analysis, the objective function of waveform design proposed in this paper is given as Equation (14).
f ( Θ ) = ( 1 α ) f 1 ( Θ ) + α f 2 ( θ ) = ( 1 α ) k = 1 N 1 β k p 1 / p + α p = 1 length k p n = 0 N 1 e j θ ( n ) * e j 2 π k p n N 2
In the objective function, the weighted sum of the two optimization objectives is used, where α [ 0 , 1 ] is the control parameter. α serves as the optimization control factor. When α = 1 , the problem is optimized only for the spectrum, meaning that the designed waveform will provide optimal interference rejection performance. When α = 0 , the designed waveform will minimize the autocorrelation sidelobe level, but its interference rejection performance is uncontrollable. When α takes a value in the range of ( 0 , 1 ) , the problem optimizes both PSL and spectral metrics, but the degree of optimization of the two is coupled with each other. Usually, the value of α needs to be appropriately chosen to optimize both metrics in a balanced way, taking into account both interference suppression performance and autocorrelation sidelobe level. In order to minimize the new target function denoted by f ( Θ ) , the waveform optimization is finally changed to:
mininize ( 1 α ) k = 1 N 1 β k p 1 / p + α p = 1 length k p n = 0 N 1 e j θ ( n ) * e j 2 π k p n N 2
s . t . S k p 2 U
For the objective function shown in Equation (14), the dynamic adjustment of the iteration factor based on the AdamW algorithm, combined with the search algorithm for gradient descent that this study deploys, is as follows:
The derivative of the objective function f ( Θ ) is crucial for the waveform optimization algorithm. First, f 1 ( θ ) is derived, and the derivative of f 1 ( θ ) with respect to θ n can be expressed as:
f 1 ( θ ) θ n = f 1 ( θ ) β k β k θ n = k = 1 N 1 β k p 1 p 1 k = 1 N 1 β k p 1 β k θ n
where θ n = [ θ ( 0 ) , θ ( 1 ) , , θ ( N 1 ) ] . At this point, β k is expressed as follows:
β k θ n = β k 1 A * A θ n
where [ · ] denotes the real part. Therefore, the derivative of f 1 ( θ ) is shown in Equation (19):
f 1 ( θ ) θ n = k = 1 N 1 β k p 1 p 1 k = 1 N 1 β k p 2 A * A θ n
Next, the derivation of f 2 ( θ ) is performed by first expanding f 2 ( θ ) :
f 2 ( θ ) = p = 1 length k p n = 0 N 1 e j θ ( n ) * e j 2 π k p n N 2 = p = 1 length k p n = 0 N 1 m = 0 N 1 e j [ θ ( n ) θ ( m ) ] e j 2 π k p ( n m ) N
where the variable m comes to denote the index of the second summation, m [ 0 , 1 , , N 1 ] . At this point, the derivative of f 2 ( θ ) with respect to θ n can be expressed as:
f 2 ( θ ) θ n = θ n p = 1 length ( k p ) n = 0 N 1 m = 0 N 1 e j [ θ ( n ) θ ( m ) ] e j 2 π k p ( n m ) N = p = 1 length k p m = 0 m n N 1 2 j sin θ ( n ) θ ( m ) 2 π k p ( n m ) N
In summary, the derivative of f ( Θ ) with respect to θ n can be summarized as shown in Equation (22):
f ( Θ ) θ n = ( 1 α ) f 1 ( θ ) θ n + α f 2 ( θ ) θ n = ( 1 α ) k = 1 N 1 β k p 1 p 1 k = 1 N 1 β k p 2 A * A θ n + α p = 1 length k p m = 0 m n N 1 2 j sin θ ( n ) θ ( m ) 2 π k p ( n m ) N
For the optimization algorithm proposed in this paper, the learning rate algorithm for the iteration factor λ k is implemented through the AdamW algorithm. AdamW is an improved version of Adam. It combines the advantages of the momentum method and RMSProp and adaptively adjusts the learning rate by calculating the first and second-order moment estimations of the gradient. AdamW introduces weight decay, which avoids the interaction between weight decay and learning rate adjustment in traditional L2 regularization. The steps are as follows:
As may be observed, this paper’s proposed waveform optimization method is Algorithm 1, while Algorithm 2 is the method for determining the iteration factor to update the phase in Algorithm 1.
Algorithm 1 Waveform Optimization Based on a New Objective Function
Require: 
Original waveform phase Θ 0 and iteration threshold ϵ
Ensure: 
Optimized waveform phase Θ
1:
while flag = 1 do
2:
   Calculate the gradients g 1 ( θ ) and g 2 ( θ ) of the objective functions f 1 ( θ ) and f 2 ( θ ) , and the composite gradient G k = ( 1 α ) g 1 ( θ ) + α g 2 ( θ )
3:
   Determine the iteration factor λ and update the phase Θ
4:
   if  G k ϵ
5:
      flag = 0, output  Θ = Θ k + 1
6:
   else  k = k + 1 , flag = 1
7:
   end if
8:
end while
9:
return result
Algorithm 2 Method of Iterating Factors
Require: 
Exponential decay rate ρ 1 for first-order moment estimation, exponential decay rate ρ 2 for second-order moment estimation, numerical stability constant c, initial phase θ , learning rate η , weight decay coefficient λ
Ensure: 
Updated phase θ
1:
First-order moment estimation update: m t = ρ 1 m t 1 + ( 1 ρ 1 ) G t
2:
Second-order moment estimation update: v t = ρ 2 v t 1 + ( 1 ρ 2 ) G t 2
3:
Bias correction: m ^ t = m t ( 1 ρ 1 t ) v ^ t = v t ( 1 ρ 2 t )
4:
Phase update: θ t + 1 = θ t η m ^ t v ^ t + c + λ θ t

4. Simulation and Numerical Analysis

This section presents multiple simulation studies to validate the proposed algorithm’s performance. The autocorrelation sidelobes in the simulations are normalized and expressed in logarithmic terms, and the spectrum uses the normalized frequencies (0 to 1). As the original waveform, the random phase coding sequence is used. The original waveform’s length N is 256 and its phase is randomly formed data from 0 to 2 π , the interference normalization position is known to be [ 0.3 , 0.4 ] , and the optimization control factor α [ 0 , 1 ] .
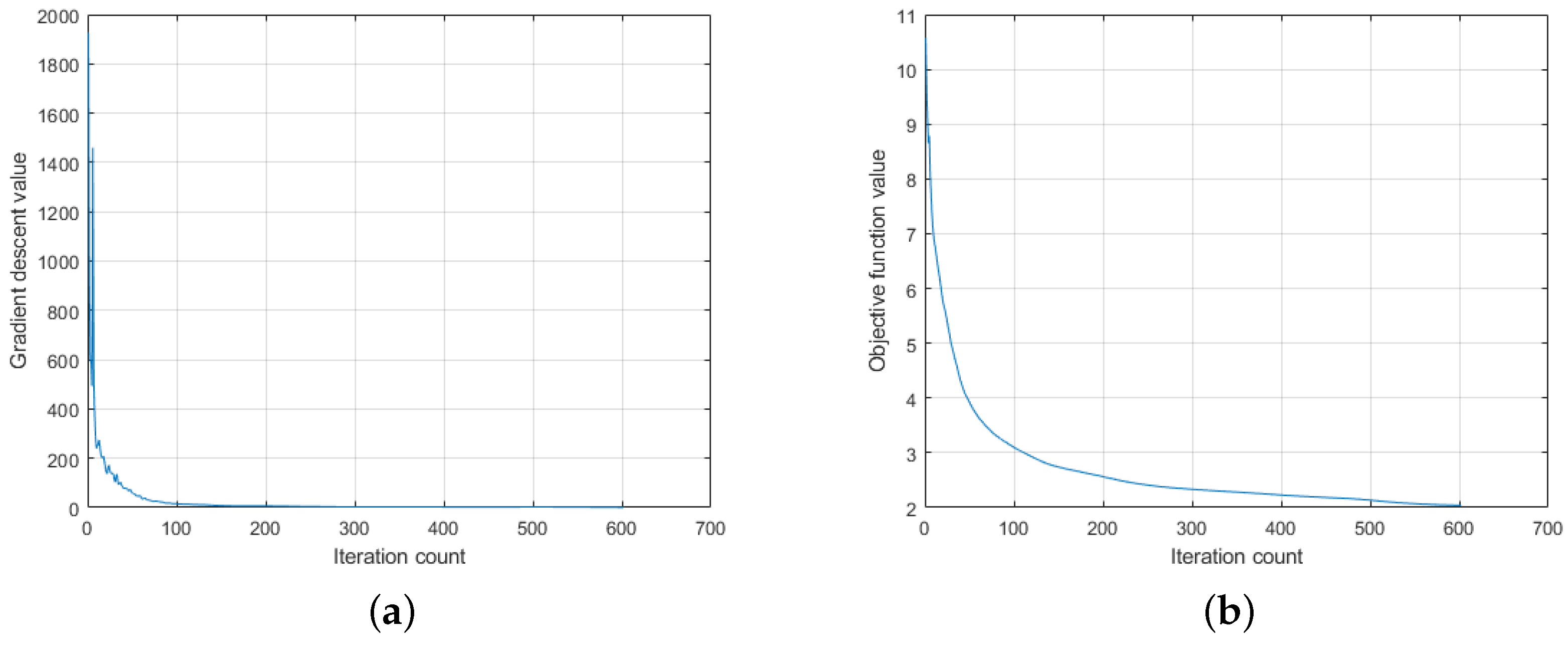
Case 1: Firstly, the convergence performance of the proposed algorithm is considered. The algorithm uses the AdamW algorithm to accelerate the update phase. Figure 1a,b shows a plot of the trend of the gradient value and the objective value with the number of iterations when α = 1 and the spectral interference is set as the optimization objective. It can be seen that the gradient and objective values reach convergence after about 80 iterations, indicating that the algorithm has a fast convergence rate. Figure 2a,b shows the trend plot of the gradient value and objective value with the number of iterations when α = 0 and PSL is set as the optimization objective. In this case, the gradient and objective values reach convergence after about 200 and 600 iterations, respectively, which is slightly slower but still stable.
Case 2: Next, it is discussed that the best performance is achieved when only PSL is optimized and only spectral interference is optimized. Figure 3 shows that when α = 1 , the optimization direction in the objective function is entirely focused on introducing spectral nulls at known interfering band locations. Deliberately formed notches in a signal’s spectrum reduce the effects of interference by significantly reducing the signal energy in that frequency band. To achieve this goal, optimization algorithms ensure that the spectrum amplitude in the interfering frequency band is reduced to the lowest possible level by precisely adjusting the phase distribution of the signal. At this time, the result is a stopband rejection optimization of −43.3913 dB and the performance of the original waveform at −7.4536 dB. Figure 4 shows that when α = 0 , the optimization direction in the objective function is completely focused on minimizing PSL. The goal of this optimization is to reduce the autocorrelation sidelobe level of the signal, thereby improving the performance of the radar system in target detection. At this time, the result is a stopband rejection optimization of −37.2512 dB and the performance of the original waveform at −19.4183 dB. By comparing the original and optimized waveforms, the performance is improved by about 36 dB when the frequency domain interference is used as the evaluation metric. Similarly, when the PSL is chosen as the evaluation metric, the performance is enhanced by about 18 dB. The simulation results show a significant decrease in the waveform sidelobe and the suppression of known spectral interferences after optimization using the proposed algorithm.
Case 3: The PSL and spectral rejection performance of the objective function f ( Θ ) for different values of α is then discussed, i.e., optimizing PSL and suppressing spectral interference. The resulting plots are shown in Figure 5, where the PSL and spectral bandstop rejection performance show overall monotonicity (even if not strictly). Note that the vertical coordinates in the plots are all in dB. As seen in Figure 5, the PSL rises sharply during the control parameter α [ 0.1 , 0.3 ] [ 0.9 , 1 ] and remains relatively stable during the control parameter α [ 0.3 , 0.9 ] , while the spectral band-stop suppression decreases monotonically overall during α [ 0 , 1 ] . In other words, as the control parameter α increases, the PSL corresponding to the design waveform gradually increases, i.e., the autocorrelation sidelobe level increases substantially, which results in problems such as an increase in the probability of false alarms. However, at the same time, it can be found that the spectral optimization corresponding to the design waveform is gradually reduced by increasing α , indicating that the interference suppression ability of the waveform becomes stronger. It can be seen that when the value of the control parameter α [ 0.5 , 0.9 ] is taken, the combination as a whole can take into account the level of sidelobe and the interference suppression performance, which is a compromise between optimizing only the PSL and optimizing only the spectral interference scheme. Therefore, the control parameter α can be adjusted appropriately to flexibly carry out the waveform design to meet different performance requirements in practical engineering.
Case 4: From Case 3, it is clear that better autocorrelation sidelobe and anti-interference performance can be obtained when the control parameter α [ 0.5 , 0.9 ] . Therefore, the performance comparison between optimized PSL and optimized spectral interference when the control parameter α [ 0.5 , 0.9 ] is discussed. As shown in Figure 6, Figure 7, Figure 8, Figure 9 and Figure 10 the performance of autocorrelation sidelobes gradually becomes worse and the spectral blocking band rejection performance gradually becomes better when the control parameter α [ 0.5 , 0.9 ] . This is in accordance with the performance of PSL and spectral blocking band rejection performance with parameter α in Figure 5. The results show that in the control parameter α [ 0.5 , 0.9 ] range interval, the degree of interference suppression and the autocorrelation sidelobe level have better performance, which meets the design requirements and significantly improves the overall performance of the signal.
Since the signal s is taken in random phase, the 20-time average target values of the autocorrelation sidelobe and the suppression of spectral interference for PSL optimization are given for the control parameter α [ 0.5 , 0.9 ] , as shown in Table 1. The PSL performance does not vary significantly within this interval, while the spectral blocking band suppression performance is best at α = 0.9 . Thus, at α = 0.9 , the spectral interference suppression is greatly enhanced while maintaining a good sidelobe level, with an optimized result of −26.7957 dB for PSL and −32.9781 dB for bandstop suppression.
Case 5: Finally, the performance analysis of the algorithm in the presence of multiple interfering bands is discussed. Let the known interference normalized positions be [ 0.3 , 0.4 ] and [ 0.6 , 0.7 ] , with the control parameter α = 0.8 . From Figure 11, it can be seen that the optimized results for spectral blocking band rejection under the two interferences are −32.0426 dB and −29.7462 dB, respectively, and the optimized result for PSL is −20.5944 dB. Figure 12 shows the trend plots of the gradient value and the objective value with the number of iterations, respectively. It can be seen that the gradient value and the objective value reach convergence after about 100 iterations, demonstrating that even with two interferences, the algorithm can still converge speedily. The results show that the algorithm still has good PSL and spectral blocking band rejection performance by comparing the original waveform and the optimized waveform in the case with multiple interferences and can achieve the design objectives.

5. Conclusions

To deal with the problem of spectral interference in complex electromagnetic environments, this paper proposes an anti-spectral interference waveform design method based on optimized autocorrelation sidelobes with high-order p-norm. Aiming at the target detection performance problems caused by electromagnetic interference in modern radar systems, we design a low-sidelobe waveform to improve the anti-interference capability by adjusting the PSL of the waveform and introducing spectral zero-trapping. The AdamW algorithm is used to dynamically adjust the iteration factor, combined with a gradient descent search algorithm to optimize the autocorrelation characteristics and handle known interference. The effectiveness of the proposed method is verified through extensive numerical simulations. The experimental results show that, compared with the randomly generated initial sequence, the waveform designed in this paper has a significant advantage in terms of autocorrelation and effectively suppresses interference in specific frequency bands through the introduction of spectral zero-trapping, which significantly improves the overall performance of the signal. In addition, the designed waveforms achieve a good performance balance between interference suppression and sidelobe level. This paper mainly focuses on the design and optimization of a single waveform. Single-waveform design usually lacks flexibility and is difficult to adjust in real time according to changes in the environment or mission requirements. Therefore, in future research, we will focus on designing a waveform set that is resistant to spectral interference, in response to the application requirements of MIMO radar systems.

Author Contributions

Conceptualization, X.M., M.X. and L.Y.; methodology, M.X., Y.F. and L.Y.; software, Y.F.; validation, X.M., M.X. and Y.F.; writing—original draft preparation, Y.F.; writing—review and editing, X.M., M.X. and L.Y.; visualization, Y.F.; supervision, X.M. and M.X. All authors have read and agreed to the published version of the manuscript.

Funding

This research received no external funding.

Data Availability Statement

Data are contained within the article.

Conflicts of Interest

The authors declare no conflicts of interest.

References

  1. Shi, C.; Wang, F.; Sellathurai, M.; Zhou, J.; Salous, S. Power minimization-based robust OFDM radar waveform design for radar and communication systems in coexistence. IEEE Trans. Signal Process. 2017, 66, 1316–1330. [Google Scholar] [CrossRef]
  2. Feng, X.; Zhao, Z.; Li, F.; Cui, W.; Zhao, Y. Radar phase-coded waveform design with local low range sidelobes based on particle swarm-assisted projection optimization. Remote Sens. 2022, 14, 4186. [Google Scholar] [CrossRef]
  3. Shi, S.; Wang, Z.; He, Z.; Cheng, Z. Low sidelobe waveform design with constant modulus constraint for high-frequency radar. J. Eng. 2019, 2019, 6085–6089. [Google Scholar] [CrossRef]
  4. Song, Y.; Wang, Y.; Xie, J.; Yang, Y.; Tian, B.; Xu, S. Ultra-low sidelobe waveforms design for LPI radar based on joint complementary phase-coding and optimized discrete frequency-coding. Remote Sens. 2022, 14, 2592. [Google Scholar] [CrossRef]
  5. Zheng, Z.; Zhang, Y.; Peng, X.; Xie, H.; Chen, J.; Mo, J.; Sui, Y. MIMO radar waveform design for multipath exploitation using deep learning. Remote Sens. 2023, 15, 2747. [Google Scholar] [CrossRef]
  6. Jing, Y.; Liang, J.; Vorobyov, S.A.; Fan, X.; Zhou, D. Joint design of radar transmit waveform and mismatched filter with low sidelobes. In Proceedings of the 2020 28th European Signal Processing Conference (EUSIPCO), Amsterdam, The Netherlands, 18–21 January 2021; pp. 1936–1940. [Google Scholar] [CrossRef]
  7. Wang, G.; Lu, Y. Designing single/multiple sparse frequency waveforms with sidelobe constraint. IET Radar Sonar Navig. 2011, 5, 32–38. [Google Scholar] [CrossRef]
  8. Li, Y.; Wu, X.; Tao, R. Waveform design for the joint MIMO radar and communications with low integrated sidelobe levels and accurate information embedding. In Proceedings of the ICASSP 2021–2021 IEEE International Conference on Acoustics, Speech and Signal Processing (ICASSP), Toronto, ON, Canada, 6–11 June 2021; pp. 8263–8267. [Google Scholar] [CrossRef]
  9. Yang, Z.; Wang, R.; Jiang, Y.; Li, J. Joint estimation of velocity, angle-of-arrival and range (JEVAR) using a conjugate pair of Zadoff-Chu sequences. IEEE Trans. Signal Process. 2021, 69, 6009–6022. [Google Scholar] [CrossRef]
  10. Zhang, N.; Golomb, S.W. Polyphase sequence with low autocorrelations. IEEE Trans. Inf. Theory 1993, 39, 1085–1089. [Google Scholar] [CrossRef]
  11. Golomb, S.W.; Gong, G. Signal Design for Good Correlation: For Wireless Communication, Cryptography, and Radar; Cambridge University Press: Cambridge, UK, 2005. [Google Scholar] [CrossRef]
  12. Golomb, S.; Scholtz, R. Generalized barker sequences. IEEE Trans. Inf. Theory 1965, 11, 533–537. [Google Scholar] [CrossRef]
  13. No, J.S.; Golomb, S.W.; Gong, G.; Lee, H.K.; Gaal, P. Binary pseudorandom sequences of period 2/sup n/-1 with ideal autocorrelation. IEEE Trans. Inf. Theory 1998, 44, 814–817. [Google Scholar] [CrossRef]
  14. Chang, A.; Gaal, P.; Golomb, S.W.; Gong, G.; Helleseth, T.; Kumar, P.V. On a conjectured ideal autocorrelation sequence and a related triple-error correcting cyclic code. IEEE Trans. Inf. Theory 2000, 46, 680–687. [Google Scholar] [CrossRef]
  15. Stoica, P.; He, H.; Li, J. New algorithms for designing unimodular sequences with good correlation properties. IEEE Trans. Signal Process. 2009, 57, 1415–1425. [Google Scholar] [CrossRef]
  16. Li, Y.; Vorobyov, S.A. Fast algorithms for designing unimodular waveform (s) with good correlation properties. IEEE Trans. Signal Process. 2017, 66, 1197–1212. [Google Scholar] [CrossRef]
  17. Song, J.; Babu, P.; Palomar, D.P. Optimization methods for designing sequences with low autocorrelation sidelobes. IEEE Trans. Signal Process. 2015, 63, 3998–4009. [Google Scholar] [CrossRef]
  18. Zhao, L.; Song, J.; Babu, P.; Palomar, D.P. A unified framework for low autocorrelation sequence design via majorization–minimization. IEEE Trans. Signal Process. 2016, 65, 438–453. [Google Scholar] [CrossRef]
  19. Huang, C.W.; Chen, L.F.; Su, B. Waveform design for optimal PSL under spectral and unimodular constraints via alternating minimization. IEEE Trans. Signal Process. 2023, 71, 2518–2531. [Google Scholar] [CrossRef]
  20. Fan, W.; Liang, J.; Chen, Z.; So, H.C. Spectrally compatible aperiodic sequence set design with low cross-and auto-correlation PSL. Signal Process. 2021, 183, 107960. [Google Scholar] [CrossRef]
  21. Xia, M.; Chen, S.; Yang, X. Novel Method for Designing Waveform With Good Correlation Properties Based on High-Order Norm Unified Representation. IEEE Access 2022, 10, 108440–108452. [Google Scholar] [CrossRef]
  22. Liu, T.; Sun, J.; Wang, G.; Du, X.; Hu, W. Designing low side-lobe level-phase coded waveforms for mimo radar using p-norm optimization. IEEE Trans. Aerosp. Electron. Syst. 2023, 59, 3797–3810. [Google Scholar] [CrossRef]
  23. Aubry, A.; De Maio, A.; Piezzo, M.; Farina, A. Radar waveform design in a spectrally crowded environment via nonconvex quadratic optimization. IEEE Trans. Aerosp. Electron. Syst. 2014, 50, 1138–1152. [Google Scholar] [CrossRef]
  24. Jing, Y.; Liang, J.; Zhou, D.; So, H.C. Spectrally constrained unimodular sequence design without spectral level mask. IEEE Signal Process. Lett. 2018, 25, 1004–1008. [Google Scholar] [CrossRef]
  25. Liang, J.; So, H.C.; Li, J.; Farina, A. Unimodular sequence design based on alternating direction method of multipliers. IEEE Trans. Signal Process. 2016, 64, 5367–5381. [Google Scholar] [CrossRef]
  26. Ge, P.; Cui, G.; Karbasi, S.M.; Kong, L.; Yang, J. A template fitting approach for cognitive unimodular sequence design. Signal Process. 2016, 128, 360–368. [Google Scholar] [CrossRef]
  27. Fan, W.; Liang, J.; Yu, G.; So, H.C.; Lu, G. Minimum local peak sidelobe level waveform design with correlation and/or spectral constraints. Signal Process. 2020, 171, 107450. [Google Scholar] [CrossRef]
  28. Zhao, D.; Wei, Y.; Liu, Y. Spectrum optimization via FFT-based conjugate gradient method for unimodular sequence design. Signal Process. 2018, 142, 354–365. [Google Scholar] [CrossRef]
  29. Aubry, A.; De Maio, A.; Govoni, M.A.; Martino, L. On the design of multi-spectrally constrained constant modulus radar signals. IEEE Trans. Signal Process. 2020, 68, 2231–2243. [Google Scholar] [CrossRef]
  30. Lu, Q.; Cui, G.; Yu, X.; Chen, S.; Kuang, H.; Kong, L. Cognitive waveform design with desired spectrum-autocorrelation properties. Signal Process. 2022, 198, 108576. [Google Scholar] [CrossRef]
Figure 1. When α = 1 , (a) Trend graph of gradient value with iteration number. (b) Trend graph of objective value versus iteration number.
Figure 1. When α = 1 , (a) Trend graph of gradient value with iteration number. (b) Trend graph of objective value versus iteration number.
Electronics 13 03471 g001
Figure 2. When α = 0 , (a) Trend graph of gradient value with iteration number. (b) Trend graph of objective value versus iteration number.
Figure 2. When α = 0 , (a) Trend graph of gradient value with iteration number. (b) Trend graph of objective value versus iteration number.
Electronics 13 03471 g002
Figure 3. When α = 1 , the spectrum suppresses the known interference.
Figure 3. When α = 1 , the spectrum suppresses the known interference.
Electronics 13 03471 g003
Figure 4. When α = 0 , the autocorrelation sidelobe of PSL optimization.
Figure 4. When α = 0 , the autocorrelation sidelobe of PSL optimization.
Electronics 13 03471 g004
Figure 5. PSL and spectral stopband suppression performance change with α .
Figure 5. PSL and spectral stopband suppression performance change with α .
Electronics 13 03471 g005
Figure 6. When α = 0.5 , (a) suppressing spectrum interference. (b) Optimizing autocorrelation sidelobes.
Figure 6. When α = 0.5 , (a) suppressing spectrum interference. (b) Optimizing autocorrelation sidelobes.
Electronics 13 03471 g006
Figure 7. When α = 0.6 , (a) Suppressing spectrum interference. (b) Optimizing autocorrelation sidelobes.
Figure 7. When α = 0.6 , (a) Suppressing spectrum interference. (b) Optimizing autocorrelation sidelobes.
Electronics 13 03471 g007
Figure 8. When α = 0.7 , (a) Suppressing spectrum interference. (b) Optimizing autocorrelation sidelobes.
Figure 8. When α = 0.7 , (a) Suppressing spectrum interference. (b) Optimizing autocorrelation sidelobes.
Electronics 13 03471 g008
Figure 9. When α = 0.8 , (a) Suppressing spectrum interference. (b) Optimizing autocorrelation sidelobes.
Figure 9. When α = 0.8 , (a) Suppressing spectrum interference. (b) Optimizing autocorrelation sidelobes.
Electronics 13 03471 g009
Figure 10. When α = 0.9 , (a) Suppressing spectrum interference. (b) Optimizing autocorrelation sidelobes.
Figure 10. When α = 0.9 , (a) Suppressing spectrum interference. (b) Optimizing autocorrelation sidelobes.
Electronics 13 03471 g010
Figure 11. Two interferences and α = 0.8 , (a) Suppressing spectrum interference. (b) Optimizing autocorrelation sidelobes.
Figure 11. Two interferences and α = 0.8 , (a) Suppressing spectrum interference. (b) Optimizing autocorrelation sidelobes.
Electronics 13 03471 g011
Figure 12. Two interferences and α = 0.8 , (a) Trend graph of gradient value with iteration number. (b) Trend graph of objective value versus iteration number.
Figure 12. Two interferences and α = 0.8 , (a) Trend graph of gradient value with iteration number. (b) Trend graph of objective value versus iteration number.
Electronics 13 03471 g012
Table 1. 20 average target values for PSL optimized from autocorrelation sidelobe and suppression of spectrum interference.
Table 1. 20 average target values for PSL optimized from autocorrelation sidelobe and suppression of spectrum interference.
α Value0.50.60.70.80.9
PSL (dB)−27.2675−27.1789−27.1551−27.0659−26.7957
Stopband Attenuation (dB)−27.9774−28.6318−32.0715−32.8475−32.9781
Disclaimer/Publisher’s Note: The statements, opinions and data contained in all publications are solely those of the individual author(s) and contributor(s) and not of MDPI and/or the editor(s). MDPI and/or the editor(s) disclaim responsibility for any injury to people or property resulting from any ideas, methods, instructions or products referred to in the content.

Share and Cite

MDPI and ACS Style

Mao, X.; Fu, Y.; Xia, M.; Yang, L. Anti-Spectral Interference Waveform Design Based on High-Order Norm Optimized Autocorrelation Sidelobes Properties. Electronics 2024, 13, 3471. https://doi.org/10.3390/electronics13173471

AMA Style

Mao X, Fu Y, Xia M, Yang L. Anti-Spectral Interference Waveform Design Based on High-Order Norm Optimized Autocorrelation Sidelobes Properties. Electronics. 2024; 13(17):3471. https://doi.org/10.3390/electronics13173471

Chicago/Turabian Style

Mao, Xinrong, Yaoqiang Fu, Meng Xia, and Lichao Yang. 2024. "Anti-Spectral Interference Waveform Design Based on High-Order Norm Optimized Autocorrelation Sidelobes Properties" Electronics 13, no. 17: 3471. https://doi.org/10.3390/electronics13173471

APA Style

Mao, X., Fu, Y., Xia, M., & Yang, L. (2024). Anti-Spectral Interference Waveform Design Based on High-Order Norm Optimized Autocorrelation Sidelobes Properties. Electronics, 13(17), 3471. https://doi.org/10.3390/electronics13173471

Note that from the first issue of 2016, this journal uses article numbers instead of page numbers. See further details here.

Article Metrics

Back to TopTop