Design and Experimental Demonstration of an Integrated Sensing and Communication System for Vital Sign Detection
Abstract
1. Introduction
- The proposal of a method for vital sign detection using OFDM signals that can be utilized for communication simultaneously. It can be used to develop specific ISAC systems for healthcare applications or search and rescue systems, serving as a valid use case for ISAC systems.
- A three-tier data processing process for vital sign detection has been proposed to mitigate the noise effect and improve the precision of vital sign detection. Utilizing OFDM signals with 1 MHz bandwidth at 1.15 GHz RF carrier frequency for sensing makes the approach potentially deployable in various applications from smart healthcare to search and rescue operations.
- The experimental validation of the sensing function has been performed to verify the proposed method using SDRs; the merits of the OFDM-based ISAC system for the sensing function were highlighted in contrast to conventional radars.
2. System Model
2.1. OFDM Signals
2.2. Sensing Channel Modeling
2.3. Time-Domain Received Signal
2.4. Filtering Operation
3. Data Acquisition and Detection Method
3.1. Data Processing
| Algorithm 1 Vital Sign Detection—Multi-Physiological Parameter Analysis |
|
3.2. Simulation of the Method
4. Experiments and Results
4.1. Device Configuration
4.2. Scene Setup
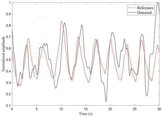
4.3. Experimental Results
5. Discussion
6. Conclusions
Author Contributions
Funding
Institutional Review Board Statement
Informed Consent Statement
Data Availability Statement
Acknowledgments
Conflicts of Interest
Abbreviations
| CFR | Channel Frequency Response |
| CIR | Channel Impulse Response |
| CSI | Channel State Information |
| DFT | Discrete Fourier Transform |
| DFRC | Dual-Function Radar-Communication |
| ECG | Electrocardiograms |
| FMCW | Frequency-Modulated Continuous Wave |
| FFT | Fast Fourier Transform |
| FIR | Finite Impulse Response |
| GRC | GNU Radio Companion |
| HRV | Heart Rate Variability |
| ICA | Independent Component Analysis |
| IFFT | Inverse Fast Fourier Transform |
| ISAC | Integrated Sensing and communication |
| JRC | Joint Radar-Communication |
| LD | Linear Dichroism |
| LMMSE | Linear Minimum Mean Square Error |
| LOS | Line-of-Sight |
| LPC | Linear Phase Calibration |
| LS | Least Squares |
| MIMO | Multiple Input Multiple Output |
| OFDM | Orthogonal Frequency-Division Multiplexing |
| QPSK | Quadrature Phase Shift Keying |
| RF | Radio frequency |
| RPCA | Robust Principal Component Analysis |
| SDR | Software-Defined Radio |
| SISO | Single-Input Single-Output |
| SNR | Signal-to-Noise Ratio |
| USRP | Universal Software Radio Peripheral |
References
- Van, N.T.P.; Tang, L.; Demir, V.; Hasan, S.F.; Minh, N.D.; Mukhopadhyay, S. Review-Microwave Radar Sensing Systems for Search and Rescue Purposes. Sensors 2019, 19, 2879. [Google Scholar] [CrossRef] [PubMed]
- Obadi, A.B.; Soh, P.J.; Aldayel, O.; Al-Doori, M.H.; Mercuri, M.; Schreurs, D. A Survey on Vital Signs Detection Using Radar Techniques and Processing with FPGA Implementation. IEEE Circuits Syst. Mag. 2021, 21, 41–74. [Google Scholar] [CrossRef]
- Lan, F.; Kong, L.; Yang, X.; Jia, Y.; Ke, X. Life-Sign Detection of Through-Wall-Radar Based on Fourth-Order Cumulant. In Proceedings of the 2013 IEEE Radar Conference (RadarCon13), Ottawa, ON, Canada, 29 April–3 May 2013; pp. 1–4. [Google Scholar]
- Wang, Y.; Liang, J. Noncontact Vital Signs Extraction Using an Impulse-Radio UWB Radar. In Proceedings of the IGARSS 2023—2023 IEEE International Geoscience and Remote Sensing Symposium, Pasadena, CA, USA, 16–21 July 2023; pp. 5403–5406. [Google Scholar]
- Moadi, A.-K.; Joshi, M.; Kilic, O.; Fathy, A.E. Low Cost IR-UWB Radar for Multisubject Non-Contact Vital Sign Detection. In Proceedings of the 2021 IEEE International Symposium on Antennas and Propagation and USNC-URSI Radio Science Meeting (APS/URSI), Singapore, 4–10 December 2021; pp. 135–136. [Google Scholar]
- Qiao, L.; Li, X.; Xiao, B.; He, M.; Bi, X.; Li, W.; Gao, X. Learning-Refined Integral Null Space Pursuit Algorithm for Noncontact Multisubjects Vital Signs Measurements Using SFCW-UWB and IR-UWB Radar. IEEE Trans. Instrum. Meas. 2022, 71, 8506013. [Google Scholar] [CrossRef]
- Leib, M.; Menzel, W.; Schleicher, B.; Schumacher, H. Vital Signs Monitoring with a UWB Radar Based on a Correlation Receiver. In Proceedings of the Fourth European Conference on Antennas and Propagation, Barcelona, Spain, 12–16 April 2010; pp. 1–5. [Google Scholar]
- Yoon, S.; Ahmed, S.; Abdullah, S.; Cho, S.H. Human Vital Sign Measurement Using Handheld Impulse Radar Sensor. In Proceedings of the 2023 8th IEEE International Conference on Network Intelligence and Digital Content (IC-NIDC), Beijing, China, 3–5 November 2023; pp. 61–65. [Google Scholar]
- Chen, K.-M.; Huang, Y.; Zhang, J.; Norman, A. Microwave Life-Detection Systems for Searching Human Subjects Under Earthquake Rubble or Behind Barrier. IEEE Trans. Biomed. Eng. 2000, 47, 105–114. [Google Scholar] [CrossRef]
- Evteeva, K.; Turetskaya, A.; Anishchenko, L. Sensing of Human Breathing and Heart Beating at Different Orientation Angles by CW Doppler Radar. In Proceedings of the 2019 Ural Symposium on Biomedical Engineering, Radioelectronics and Information Technology (USBEREIT), Yekaterinburg, Russia, 25–26 April 2019. [Google Scholar]
- Juan, P.-H.; Chueh, C.-Y.; Wang, F.-K. Distributed MIMO CW Radar for Locating Multiple People and Detecting Their Vital Signs. IEEE Trans. Microw. Theory Tech. 2023, 71, 1312–1325. [Google Scholar] [CrossRef]
- Toker, O.; Adla, R. A Sub-6 GHz Vital Signs Sensor Using Software Defined Radios. Eng. Proc. 2020, 2, 38. [Google Scholar]
- Alizadeh, M.; Shaker, G.; Safavi-Naeini, S. Experimental Study on the Phase Analysis of FMCW Radar for Vital Signs Detection. In Proceedings of the 2019 13th European Conference on Antennas and Propagation (EuCAP), Krakow, Poland, 31 March–5 April 2019; pp. 1–4. [Google Scholar]
- Bresnahan, D.G.; Li, Y. Measurement of Multiple Simultaneous Human Vital Signs Using a Millimeter-Wave FMCW Radar. In Proceedings of the 2022 IEEE Radar Conference (RadarConf22), New York City, NY, USA, 21–25 March 2022; pp. 1–5. [Google Scholar]
- Ma, L.; Pan, C.; Wang, Q.; Lou, M.; Wang, Y.; Jiang, T. A Downlink Pilot Based Signal Processing Method for Integrated Sensing and Communication Towards 6G. In Proceedings of the 2022 IEEE 95th Vehicular Technology Conference (VTC2022-Spring), Helsinki, Finland, 19–22 June 2022; pp. 1–5. [Google Scholar]
- Braun, M.; Sturm, C.; Jondral, F.K. Maximum Likelihood Speed and Distance Estimation for OFDM Radar. In Proceedings of the 2010 IEEE Radar Conference, Arlington, VA, USA, 10–14 May 2010; pp. 256–261. [Google Scholar]
- Barneto, C.B.; Riihonen, T.; Turunen, M.; Anttila, L.; Fleischer, M.; Stadius, K. Full-Duplex OFDM Radar with LTE and 5G NR Waveforms: Challenges, Solutions, and Measurements. IEEE Trans. Microw. Theory Tech. 2019, 67, 4042–4054. [Google Scholar] [CrossRef]
- Temiz, M.; Alsusa, E.; Baidas, M.W. A Dual-Functional Massive MIMO OFDM Communication and Radar Transmitter Architecture. IEEE Trans. Veh. Technol. 2020, 69, 14974–14988. [Google Scholar] [CrossRef]
- Paterniani, G.; Sgreccia, D.; Davoli, A.; Guerzoni, G.; Di Viesti, P.; Valenti, A.C.; Vitolo, M.; Vitetta, G.M.; Boriani, G. Radar-Based Monitoring of Vital Signs: A Tutorial Overview. Proc. IEEE 2023, 111, 277–317. [Google Scholar] [CrossRef]
- Edfors, O.; Sandell, M.; van de Beek, J.-J.; Wilson, S.K.; Ola Borjesson, P. OFDM Channel Estimation by Singular Value Decomposition. IEEE Trans. Commun. 1998, 46, 931–939. [Google Scholar] [CrossRef]
- Hu, F.; Li, J. A Simplified LMMSE Channel Estimation Algorithm for OFDM Systems. In Proceedings of the 2009 International Conference on Management and Service Science, Beijing, China, 20–22 September 2009; pp. 1–4. [Google Scholar]
- Yorozu, T.; Hirano, M.; Oka, K.; Tagawa, Y. Electron Spectroscopy Studies on Magneto-Optical Media and Plastic Substrate Interface. IEEE Transl. J. Magn. Jpn. 1987, 2, 740–741. [Google Scholar] [CrossRef]
- Minn, H.; Bhargava, V.K. An Investigation into Time-Domain Approach for OFDM Channel Estimation. IEEE Trans. Broadcast. 2000, 46, 240–248. [Google Scholar] [CrossRef]
- Wu, H.; Liu, Y.; Wang, K. Analysis of DFT-Based Channel Estimation for Uplink Massive MIMO Systems. IEEE Commun. Lett. 2018, 22, 328–331. [Google Scholar] [CrossRef]
- Zhou, H.; Zhang, Y.; Temiz, M. High-Resolution Indoor Sensing Using Channel State Information of WiFi Networks. Electronics 2023, 12, 3931. [Google Scholar] [CrossRef]
- Xu, T.; Liu, F.; Masouros, C.; Darwazeh, I. An Experimental Proof of Concept for Integrated Sensing and Communications Waveform Design. IEEE Open J. Commun. Soc. 2022, 3, 1643–1655. [Google Scholar] [CrossRef]
- Temiz, M.; Alsusa, E.; Baidas, M.W. A Dual-Function Massive MIMO Uplink OFDM Communication and Radar Architecture. IEEE Trans. Cogn. Commun. Netw. 2022, 8, 750–762. [Google Scholar] [CrossRef]
- Temiz, M.; Alsusa, E.; Baidas, M.W. Optimized Precoders for Massive MIMO OFDM Dual Radar-Communication Systems. IEEE Trans. Commun. 2021, 69, 4781–4794. [Google Scholar] [CrossRef]
- Temiz, M.; Horne, C.; Peters, N.J.; Ritchie, M.A.; Masouros, C. An Experimental Study of Radar-Centric Transmission for Integrated Sensing and Communications. IEEE Trans. Microw. Theory Tech. 2023, 71, 3203–3216. [Google Scholar] [CrossRef]
- Rong, Y.; Venkataramani, A.A.; Lenz, I.; Bliss, D.W. OFDM Based Joint Communications and Human Activity Monitoring with GNU Radio. In Proceedings of the 2024 IEEE Radar Conference (RadarConf24), Denver, CO, USA, 6–10 May 2024; pp. 1–5. [Google Scholar]
- Sellés Valls, M. Vital Signs Monitoring Using a 26 GHz OFDM Multibeam Testbed. Master’s Thesis, University of Twente, Enschede, The Netherlands, 2022. [Google Scholar]
- Liu, F.; Zhang, Y.; Xiong, Y.; Li, S.; Yuan, W.; Gao, F.; Jin, S.; Caire, G. OFDM Achieves the Lowest Ranging Sidelobe Under Random ISAC Signaling. arXiv 2024, arXiv:2407.06691. [Google Scholar]
- Sturm, C.; Wiesbeck, W. Waveform Design and Signal Processing Aspects for Fusion of Wireless Communications and Radar Sensing. Proc. IEEE 2011, 99, 1236–1259. [Google Scholar] [CrossRef]
- Zhang, J.A.; Huang, X.; Guo, Y.J.; Yuan, J.; Heath, R.W. Multibeam for Joint Communication and Radar Sensing Using Steerable Analog Antenna Arrays. IEEE Trans. Veh. Technol. 2019, 68, 671–685. [Google Scholar] [CrossRef]
- Apriono, C.; Muin, F.; Juwono, F.H. Portable Micro-Doppler Radar with Quadrature Radar Architecture for Non-Contact Human Breath Detection. Sensors 2021, 21, 5807. [Google Scholar] [CrossRef] [PubMed]
- Schmidl, T.M.; Cox, D.C. Robust Frequency and Timing Synchronization for OFDM. IEEE Trans. Commun. 1997, 45, 1613–1621. [Google Scholar] [CrossRef]
- Blossom, E. GNU Radio: Tools for Exploring the Radio Frequency Spectrum. Linux J. 2004, 2004, 4. [Google Scholar]
- Ritchie, M.; Ash, M.; Chen, Q.; Chetty, K. Through Wall Radar Classification of Human Micro-Doppler Using Singular Value Decomposition Analysis. Sensors 2016, 16, 1401. [Google Scholar] [CrossRef]














| Parameters | Value | Description |
|---|---|---|
| 1.15 GHz | Carrier frequency | |
| 15 KHz | Subcarrier interval | |
| N | 64 | Number of subcarriers |
| 1 MHz | Sample rate | |
| B | 1 MHz | Bandwith |
| 1 m | Distance between antenna and subject | |
| 960 µs | TDD frame duration | |
| 64 µs | Elementary symbol duration | |
| 16 µs | Cyclic prefix duration | |
| −174 dBm/Hz | Noise power | |
| 60 dB | Transmitter and receiver gains | |
| 7.0 dBi | Antenna gain | |
| P | 1 | Number of transmit antenna |
| Q | 1 | Number of receive antenna |
| O | 4 | Filter order |
| [0.1 2] | The Butterworth low bandpass filter | |
| [1 3] | The Butterworth high bandpass filter | |
| [0.1 0.5] | The Bessel low bandpass filter | |
| [0.8 3] | The Bessel high bandpass filter |
| Techniques | Central Frequency | Bandwidth | Time Window | Doppler Resolution | Transmit Power | Computational Complexity |
|---|---|---|---|---|---|---|
| CW [9] | 450 MHz | N/A | 25 s | 0.0400 Hz | 26 dBm | |
| 1.15 GHz | N/A | 25 s | 0.0400 Hz | 24.8 dBm | ||
| FMCW [38] | 5.8 GHz | 83.5 MHz | 90 s | 0.0111 Hz | 13 dBm | |
| UWB [4] | 4.3 GHz | 1.7 GHz | 120 s | 0.0083 Hz | −9 dBm | |
| This work—ISAC | 1.15 GHz | 1 MHz | 30 s | 0.0333 Hz | 10 dBm |
| Subject | Age | Respiration | Detected Respiration | Heartbeat | Detected Heartbeat |
|---|---|---|---|---|---|
| Person 1 | 24 | 0.29 Hz | 0.29 Hz | 1.27 Hz | 1.27 Hz |
| Person 2 | 21 | 0.20 Hz | 0.20 Hz | 1.44 Hz | 1.44 Hz |
| Person 3 | 21 | 0.17 Hz | 0.15 Hz | 1.17 Hz | 1.19 Hz |
Disclaimer/Publisher’s Note: The statements, opinions and data contained in all publications are solely those of the individual author(s) and contributor(s) and not of MDPI and/or the editor(s). MDPI and/or the editor(s) disclaim responsibility for any injury to people or property resulting from any ideas, methods, instructions or products referred to in the content. |
© 2025 by the authors. Licensee MDPI, Basel, Switzerland. This article is an open access article distributed under the terms and conditions of the Creative Commons Attribution (CC BY) license (https://creativecommons.org/licenses/by/4.0/).
Share and Cite
Zhang, C.; Duan, J.; Lu, S.; Zhang, D.; Temiz, M.; Zhang, Y.; Meng, Z. Design and Experimental Demonstration of an Integrated Sensing and Communication System for Vital Sign Detection. Sensors 2025, 25, 3766. https://doi.org/10.3390/s25123766
Zhang C, Duan J, Lu S, Zhang D, Temiz M, Zhang Y, Meng Z. Design and Experimental Demonstration of an Integrated Sensing and Communication System for Vital Sign Detection. Sensors. 2025; 25(12):3766. https://doi.org/10.3390/s25123766
Chicago/Turabian StyleZhang, Chi, Jinyuan Duan, Shuai Lu, Duojun Zhang, Murat Temiz, Yongwei Zhang, and Zhaozong Meng. 2025. "Design and Experimental Demonstration of an Integrated Sensing and Communication System for Vital Sign Detection" Sensors 25, no. 12: 3766. https://doi.org/10.3390/s25123766
APA StyleZhang, C., Duan, J., Lu, S., Zhang, D., Temiz, M., Zhang, Y., & Meng, Z. (2025). Design and Experimental Demonstration of an Integrated Sensing and Communication System for Vital Sign Detection. Sensors, 25(12), 3766. https://doi.org/10.3390/s25123766

