Joint Design of Transmitting Waveform and Receiving Filter via Novel Riemannian Idea for DFRC System
Abstract
1. Introduction
2. System Model
2.1. Communication Model
2.2. Detection Model
3. Optimization Modeling of Radar and Communication Integrated System
4. Waveform Optimization Algorithm
- (1)
- Faster convergence speed: The second-order conjugate gradient algorithm, utilizing second-order derivative information, could more accurately determine the search direction and step size compared with the first-order conjugate gradient one, resulting in better results in the same number of iterations.
- (2)
- More effective optimization for high-dimensional data: The first-order conjugate gradient algorithm may have a slow convergence speed when optimizing high-dimensional data, while the second-order conjugate gradient algorithm can better overcome this problem.
- (3)
- Stronger numerical stability: The second-order conjugate gradient algorithm can better avoid numerical instability, which is particularly prominent in optimizing high-dimensional data.
- (4)
- Fewer iterations: Due to faster convergence, the second-order conjugate gradient algorithm typically requires fewer iterations to achieve the same optimization effect, which is particularly important for optimizing large-scale data.
Algorithm 1: The Manifold RIASCG for DFRC Waveform Design. |
Input: weight factor . Output: . |
While do |
1. Compute . 2. Compute the eigenvalue decomposition of , set the searching interval as [,], where is a searching upper-bound. 3. Find the optimal solution to (22) using golden-section search. 4. Compute . 5. Once the global minimizer is obtained, given its separability property, it can be employed as the reference waveform for the similarity constraint, denoted as . |
6. Compute according to (29). |
7. Compute according to (24). |
8. Compute the improved Armijo back-tracking line-search parameter , is the smallest non-negative integer satisfying |
9. Perform the projection step . 10. Obtain according to (25). 11. . |
End while Compute according to (26). |
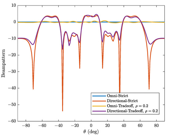
5. Numerical Result
6. Conclusions
Author Contributions
Funding
Data Availability Statement
Conflicts of Interest
References
- Liu, R.; Li, M.; Liu, Y.; Wu, Q.; Liu, Q. Joint Transmit Waveform and Passive Beamforming Design for RIS-Aided DFRC Systems. IEEE J. Sel. Top. Signal Process. 2022, 16, 995–1010. [Google Scholar] [CrossRef]
- Qian, X.; Zeng, Y.; Wang, W.; Zhang, Q. Co-Saliency Detection Guided by Group Weakly Supervised Learning. IEEE Trans. Multimed. 2023, 25, 1810–1818. [Google Scholar] [CrossRef]
- Lin, S.; Zhang, M.; Cheng, X.; Wang, L.; Xu, M.; Wang, H. Hyperspectral Anomaly Detection via Dual Dictionaries Construction Guided by Two-Stage Complementary Decision. Remote Sens. 2022, 14, 1784. [Google Scholar] [CrossRef]
- Yuan, W.; Wei, Z.; Li, S.; Yuan, J.; Ng, D.W.K. Integrated Sensing and Communication-Assisted Orthogonal Time Frequency Space Transmission for Vehicular Networks. IEEE J. Sel. Top. Signal Process. 2021, 15, 1515–1528. [Google Scholar] [CrossRef]
- Liu, R.; Li, M.; Liu, Q.; Swindlehurst, A.L. Joint Waveform and Filter Designs for STAP-SLP-Based MIMO-DFRC Systems. IEEE J. Sel. Areas Commun. 2022, 40, 1918–1931. [Google Scholar] [CrossRef]
- Labib, M.; Marojevic, V.; Martone, A.F.; Reed, J.H.; Zaghloui, A.I. Coexistence between Communications and Radar Systems: A Survey. URSI Radio Sci. Bull. 2017, 2017, 74–82. [Google Scholar] [CrossRef]
- Ma, D.; Shlezinger, N.; Huang, T.; Liu, Y.; Eldar, Y.C. Joint Radar-Communication Strategies for Autonomous Vehicles: Combining Two Key Automotive Technologies. IEEE Signal Process. Mag. 2020, 37, 85–97. [Google Scholar] [CrossRef]
- Chen, Y.; Gu, X. Time Allocation for Integrated Bi-Static Radar and Communication Systems. IEEE Commun. Lett. 2021, 25, 1033–1036. [Google Scholar] [CrossRef]
- Tian, T.; Li, G.; Zhou, T. Power Distribution for an OFDM-Based Dual-Function Radar-Communication Sensor. IEEE Sens. Lett. 2020, 4, 1–4. [Google Scholar] [CrossRef]
- Yu, X.; Yao, X.; Yang, J.; Zhang, L.; Kong, L.; Cui, G. Integrated Waveform Design for MIMO Radar and Communication via Spatio-Spectral Modulation. IEEE Trans. Signal Process. 2022, 70, 2293–2305. [Google Scholar] [CrossRef]
- Hassanien, A.; Amin, M.G.; Zhang, Y.D.; Ahmad, F. Dual-Function Radar-Communications: Information Embedding Using Sidelobe Control and Waveform Diversity. IEEE Trans. Signal Process. 2016, 64, 2168–2181. [Google Scholar] [CrossRef]
- Cheng, Z.; Wu, L.; Wang, B.; Shankar, M.R.B.; Ottersten, B. Double-Phase-Shifter Based Hybrid Beamforming for MmWave DFRC in the Presence of Extended Target and Clutters. IEEE Trans. Wirel. Commun. 2023, 22, 3671–3686. [Google Scholar] [CrossRef]
- Ahmed, A.; Zhang, Y.D.; Gu, Y. Dual-Function Radar-Communications Using QAM-Based Sidelobe Modulation. Digit. Signal Process. 2018, 82, 166–174. [Google Scholar] [CrossRef]
- Huang, T.; Xu, X.; Liu, Y.; Shlezinger, N.; Eldar, Y.C. A Dual-Function Radar Communication System Using Index Modulation. In Proceedings of the 2019 IEEE 20th International Workshop on Signal Processing Advances in Wireless Communications (SPAWC), Cannes, France, 2–5 July 2019; pp. 1–5. [Google Scholar]
- Yang, J.; Cui, G.; Yu, X.; Kong, L. Dual-Use Signal Design for Radar and Communication via Ambiguity Function Sidelobe Control. IEEE Trans. Veh. Technol. 2020, 69, 9781–9794. [Google Scholar] [CrossRef]
- Sen, S. PAPR-Constrained Pareto-Optimal Waveform Design for OFDM-STAP Radar. IEEE Trans. Geosci. Remote Sens. 2014, 52, 3658–3669. [Google Scholar] [CrossRef]
- Zhou, S.; Liang, X.; Yu, Y.; Liu, H. Joint Radar-Communications Co-Use Waveform Design Using Optimized Phase Perturbation. IEEE Trans. Aerosp. Electron. Syst. 2019, 55, 1227–1240. [Google Scholar] [CrossRef]
- Hassanien, A.; Amin, M.G.; Aboutanios, E.; Himed, B. Dual-Function Radar Communication Systems: A Solution to the Spectrum Congestion Problem. IEEE Signal Process. Mag. 2019, 36, 115–126. [Google Scholar] [CrossRef]
- Liu, F.; Zhou, L.; Masouros, C.; Li, A.; Luo, W.; Petropulu, A. Toward Dual-Functional Radar-Communication Systems: Optimal Waveform Design. IEEE Trans. Signal Process. 2018, 66, 4264–4279. [Google Scholar] [CrossRef]
- Tsinos, C.G.; Arora, A.; Chatzinotas, S.; Ottersten, B. Joint Transmit Waveform and Receive Filter Design for Dual-Function Radar-Communication Systems. IEEE J. Sel. Top. Signal Process. 2021, 15, 1378–1392. [Google Scholar] [CrossRef]
- De Maio, A.; Huang, Y.; Piezzo, M.; Zhang, S.; Farina, A. Design of Optimized Radar Codes With a Peak to Average Power Ratio Constraint. IEEE Trans. Signal Process. 2011, 59, 2683–2697. [Google Scholar] [CrossRef]
- Cheng, Z.; He, Z.; Liao, B.; Fang, M. MIMO Radar Waveform Design With PAPR and Similarity Constraints. IEEE Trans. Signal Process. 2018, 66, 968–981. [Google Scholar] [CrossRef]
- Cui, G.; Li, H.; Rangaswamy, M. MIMO Radar Waveform Design With Constant Modulus and Similarity Constraints. IEEE Trans. Signal Process. 2014, 62, 343–353. [Google Scholar] [CrossRef]
- BouDaher, E.; Hassanien, A.; Aboutanios, E.; Amin, M.G. Towards a Dual-Function MIMO Radar-Communication System. In Proceedings of the 2016 IEEE Radar Conference (RadarConf), Philadelphia, PA, USA, 2–6 May 2016; pp. 1–6. [Google Scholar]
- Jiang, M.; Liao, G.; Yang, Z.; Liu, Y.; Chen, Y. Integrated Radar and Communication Waveform Design Based on a Shared Array. Signal Process. 2021, 182, 107956. [Google Scholar] [CrossRef]
- Shi, S.; Wang, Z.; He, Z.; Cheng, Z. Constrained Waveform Design for Dual-Functional MIMO Radar-Communication System. Signal Process. 2020, 171, 107530. [Google Scholar] [CrossRef]
- Liu, F.; Masouros, C.; Li, A.; Sun, H.; Hanzo, L. MU-MIMO Communications With MIMO Radar: From Co-Existence to Joint Transmission. IEEE Trans. Wirel. Commun. 2018, 17, 2755–2770. [Google Scholar] [CrossRef]
- Bose, A.; Khobahi, S.; Soltanalian, M. Efficient Waveform Covariance Matrix Design and Antenna Selection for MIMO Radar. Signal Process. 2021, 183, 107985. [Google Scholar] [CrossRef]
- Grant, M.; SP, B. CVX: MATLAB Software for Disciplined Convex Programming. 2014. Available online: http://cvxr.com/cvx (accessed on 19 March 2023).
- Rendl, F.; Wolkowicz, H. A Semidefinite Framework for Trust Region Subproblems with Applications to Large Scale Minimization. Math. Program. 1997, 77, 273–299. [Google Scholar] [CrossRef]
- Alhujaili, K.; Monga, V.; Rangaswamy, M. Transmit MIMO Radar Beampattern Design via Optimization on the Complex Circle Manifold. IEEE Trans. Signal Process. 2019, 67, 3561–3575. [Google Scholar] [CrossRef]
- Hunter, D.R.; Lange, K. A Tutorial on MM Algorithms. Am. Stat. 2004, 58, 30–37. [Google Scholar] [CrossRef]
- Song, J.; Babu, P.; Palomar, D. Sequence Design to Minimize the Weighted Integrated and Peak Sidelobe Levels. IEEE Trans. Signal Process. 2015, 64, 2051–2064. [Google Scholar] [CrossRef]
- He, H.; Li, J.; Stoica, P. Waveform Design for Active Sensing Systems: A Computational Approach; Cambridge University Press: Cambridge, UK; New York, NY, USA, 2012. [Google Scholar]
- Zhao, L.; Song, J.; Babu, P.; Palomar, D.P. A Unified Framework for Low Autocorrelation Sequence Design via Majorization–Minimization. IEEE Trans. Signal Process. 2017, 65, 438–453. [Google Scholar] [CrossRef]
Algorithm | ||||
---|---|---|---|---|
RIASCG | 0.6875 s | 2.7031 s | 14.1719 s | 100.0785 s |
RCG | 4.3751 s | 9.9843 s | 188.2811 s | 709.3284 s |
RCG-Armijo | 0.8281 s | 3.6718 s | 40.1406 s | 232.0167 s |
MM | 6.7968 s | 14.4375 s | 328.3755 s | 2562.1734 s |
MM-SQUAREM | 1.5937 s | 5.5156 s | 113.8751 s | 630.3911 s |
Disclaimer/Publisher’s Note: The statements, opinions and data contained in all publications are solely those of the individual author(s) and contributor(s) and not of MDPI and/or the editor(s). MDPI and/or the editor(s) disclaim responsibility for any injury to people or property resulting from any ideas, methods, instructions or products referred to in the content. |
© 2023 by the authors. Licensee MDPI, Basel, Switzerland. This article is an open access article distributed under the terms and conditions of the Creative Commons Attribution (CC BY) license (https://creativecommons.org/licenses/by/4.0/).
Share and Cite
Zhao, Y.; Zhao, Z.; Tong, F.; Sun, P.; Feng, X.; Zhao, Z. Joint Design of Transmitting Waveform and Receiving Filter via Novel Riemannian Idea for DFRC System. Remote Sens. 2023, 15, 3548. https://doi.org/10.3390/rs15143548
Zhao Y, Zhao Z, Tong F, Sun P, Feng X, Zhao Z. Joint Design of Transmitting Waveform and Receiving Filter via Novel Riemannian Idea for DFRC System. Remote Sensing. 2023; 15(14):3548. https://doi.org/10.3390/rs15143548
Chicago/Turabian StyleZhao, Yinan, Zhongqing Zhao, Fangqiu Tong, Ping Sun, Xiang Feng, and Zhanfeng Zhao. 2023. "Joint Design of Transmitting Waveform and Receiving Filter via Novel Riemannian Idea for DFRC System" Remote Sensing 15, no. 14: 3548. https://doi.org/10.3390/rs15143548
APA StyleZhao, Y., Zhao, Z., Tong, F., Sun, P., Feng, X., & Zhao, Z. (2023). Joint Design of Transmitting Waveform and Receiving Filter via Novel Riemannian Idea for DFRC System. Remote Sensing, 15(14), 3548. https://doi.org/10.3390/rs15143548