Abstract
Dual-functional radar–communication systems are extensively employed for the detection and control of unmanned aerial vehicle groups and play crucial roles in scenario monitoring. In this study, we address the downlink precoding problem in large-scale multi-user multiple-input multiple-output dual-function radar–communication systems equipped with low-resolution quantized digital-to-analog converters. To tackle this issue, we develop a weighted optimization framework that minimizes the mean squared error between the transmitted symbols and their estimates while satisfying specific radar performance requirements. Due to the complexity introduced by discrete constraints, we decompose the original problem into three sub-problems to reduce computational burden. Furthermore, we propose a dynamic projection refinement algorithm within the alternating direction method of multiplier framework to efficiently solve these sub-problems. Numerical experiments demonstrate that our proposed method outperforms existing state-of-the-art techniques, particularly in terms of bit error rate in low signal-to-noise ratio scenarios.
1. Introduction
The growing need for spectrum resources has driven the advancement of various technologies that enable radar and communication systems to coexist, thereby addressing spectrum congestion issues. A notable approach in this field is dual-functional radar–communication (DFRC), which integrates both radar sensing and communication capabilities within a single hardware platform. This integration takes advantage of a shared transmit/receive aperture and operates over the same bandwidth [1,2,3]. In recent developments, DFRC has been applied to multiple-input multiple-output (MIMO) systems, as illustrated in research such as [4,5,6]. These implementations have demonstrated significant potential in reducing multi-user interference (MUI), which is crucial for the effective detection and management of groups of unmanned aerial vehicles.
Concurrently, large-scale antenna arrays have become integral for MIMO systems, particularly to counteract the significant path loss associated with high-frequency bands like millimeter-wave and terahertz frequencies [7,8,9]. While these extensive antenna arrays excel in beamforming capabilities, they also introduce challenges such as high energy consumption, complex circuitry, and increasing computation cost. To address these issues, some recent research has focused on low-resolution digital-to-analog converters (DACs) and analog-to-digital converters (ADCs) [10,11,12]. Based on these advancements, our study tries to explore the downlink precoding in MIMO-DFRC systems equipped with large-scale antennas and low-resolution DACs, also with consideration of the quantization constraints in DACs. Additionally, advanced radar sensing methodologies, such as the non-contact respiration and heartbeat detection technique proposed in [13], further underscore the growing importance of high-fidelity radar functionalities in such systems.
1.1. Related Work and Motivation
The design of low-resolution quantized precoders for large-scale MIMO systems, particularly in downlink scenarios, has garnered significant attention in recent research [14,15]. Initially, the focus was on block-level linear precoding techniques, but the field has since evolved towards symbol-level nonlinear precoding methods. Linear precoders such as zero-forcing (ZF), maximal-ratio transmission (MRT), and Wiener filter (WF) remain popular due to their straightforward implementation and low computational demands [14]. These methods perform competitively when applied to systems with large antenna arrays. However, the integration of low-resolution digital-to-analog converters (DACs) at the base station (BS) can constrain the signal’s degrees of freedom. For example, the authors in [15] proposed an optimization strategy based on minimum mean square error (MMSE), which demonstrated improved bit error rate (BER) performance over traditional ZF precoders. Nevertheless, despite their efficiency, linear quantized precoders may struggle to maintain consistent and reliable transmission quality, particularly when dealing with very coarse one-bit quantization levels.
In the realm of nonlinear precoding, the authors in [16] proposed a novel method for designing transmit signals in large-scale MIMO systems with one-bit DACs by minimizing the MMSE between the generated spatial spectrum and the target spectrum. This approach formulates the problem as a fourth-order non-convex optimization with discrete constraints, which is tackled using an alternating minimization technique that simplifies the objective to a quadratic form through auxiliary variables. Similarly, the authors in [8] utilized the squared-infinity norm Douglas–Rachford splitting (SQUID) method to develop an algorithm for one-bit DACs, albeit with significant computational overhead. Other notable works include [17], which employed convex relaxation for nonlinear precoding with one-bit DACs, and [18], which introduced an efficient nonlinear precoder based on the alternating direction method of multipliers (ADMM), reducing complexity via matrix decomposition. Building on these, the authors in [19] presented an -ADMM algorithm to further decrease power consumption by adding degrees of freedom. Additionally, the authors in [20] proposed lattice reduction-aided continuous interference cancellation to enhance the searchability of the Babai nearest plane without requiring parameter adjustments. To improve error rate performance, nonlinear one-bit precoding designs were introduced in [21,22], where data symbols were directly mapped to one-bit transmission signals using symbol-level operations.
Recent advancements have demonstrated that frame-level precoding with low-resolution DACs (typically 2–4 bits) can achieve performance comparable to high-resolution systems [23]. This has sparked interest in symbol-level precoding techniques utilizing coarse-resolution DACs. Researchers have explored various optimization criteria for this approach, including MMSE [24,25,26,27], minimum symbol error rate (SER) [28], and maximum signal-to-noise ratio (SNR) [29]. Notably, the authors in [24] introduced an MMSE-based quantized symbol-level precoding method employing cyclic coordinate descent. While large-scale multi-user MIMO (MU-MIMO) systems offer enhanced communication efficiency and spectral utilization, integrating radar sensing functionalities within these systems, especially under low-resolution DAC constraints, remains challenging.
Despite these advances, the integration of radar sensing and communication in large-scale MIMO DFRC systems introduces new challenges. High-resolution DACs, although effective, result in substantial hardware costs and power consumption—factors that limit system scalability. Low-resolution DACs, particularly one-bit DACs, offer promising cost and energy benefits but severely restrict the degrees of freedom in waveform design. This quantization leads to performance degradation if not carefully managed. Consequently, the core necessity of this work arises: how to design a practical, low-complexity precoding strategy that effectively balances the competing interests of radar sensing accuracy and communication quality under severe hardware constraints.
1.2. Our Contributions
In this study, we investigate the development of low-resolution quantized precoders for DFRC systems, emphasizing low-resolution phase quantization precoding to enhance performance and operational efficiency. Specifically, our contributions are as follows:
- •
- We propose a weighted optimization framework to efficiently manage low-resolution quantized DACs and frame precoding in large-scale MU-MIMO DFRC downlink systems. By minimizing the MSE between transmitted signals and their downlink reconstructions, our approach simultaneously enhances radar sensing and communication objectives. The framework ensures close alignment with radar precoding patterns, promoting an improved peak-to-sidelobe ratio (PSLR) for radar sensing and reducing BER for communication.
- •
- To effectively handle the discrete and non-convex characteristics of the optimization problem, we decompose it into three manageable sub-problems. This is achieved by segmenting the variables into distinct blocks and subsequently updating each block in an iterative manner. This decomposition simplifies the overall complexity, allowing for closed-form solutions for each sub-problem. Additionally, we develop an algorithm based on dynamic projection refinement (DPR) within the ADMM framework to address the non-convex transmission matrix design. Furthermore, we propose a fast gradient descent variant of the DPR algorithm to reduce the computational burden, making it suitable for large-scale MU-MIMO DFRC systems.
- •
- Through extensive numerical experiments across various scenarios, we demonstrate that our proposed method outperforms traditional precoding techniques while maintaining robust radar sensing performance. Even under imperfect channel state information (CSI) conditions, our approach ensures reliable communication performance. Additionally, the designed beampatterns in both symmetric and asymmetric scenarios exhibit excellent PSLR values, confirming the effectiveness of our radar sensing waveforms.
The structure of this paper is as follows. Section 2 describes the models for radar and communication, establishing the framework for the precoding design challenge. Section 3 provides the mathematical formulation of the intended precoding approach. Section 4 presents the DPR method. Section 5 validates the proposed algorithm through numerical simulations. Finally, Section 6 concludes the paper.
2. System Model
Consider a large-scale MU-MIMO DFRC wireless transmission time-division duplex (TDD) system model, where B transmitting antennas would support U single-antenna user equipment (UEs) within the same frequency resource. As depicted in Figure 1, each antenna has a pair of DACs. In this system, the BS utilizes the precoding technique along with CSI to map the symbol vector to the transmit signal . Let represent the ideal symbol matrix, with L being the number of snapshots in a radar pulse. The communication channel from the BS to U users is denoted as , with elements drawn from a complex normal distribution [30]. Here, we assume that the BS has perfect knowledge of CSI. (In practice, the assumption of perfect CSI is often unrealistic. Typically, the receiver acquires CSI through training processes and then transmits this information back to the transmitter using limited feedback mechanisms. Additionally, in TDD systems, channel reciprocity can be leveraged. This allows for channel training on the uplink, enabling the BS to estimate the channel characteristics. Consequently, the channel estimation for the downlink can be inferred from the uplink measurements [31]).
Figure 1.
Overview of a dual-function massive MIMO downlink system with low-resolution DACs.
Subsequently, by applying nonlinear precoding techniques alongside DACs, the transmit signal matrix undergoes quantization in both its real and imaginary components, expressed as
where denotes the precoding operator, which may be either linear or nonlinear, responsible for mapping the symbol matrix to an unquantized transmit matrix [32]. The operator is utilized to quantize each element’s real and imaginary parts of the precoded matrix. The mapping uses the known channel to properly shape the transmit signal so that the precoded data effectively suppress multi-user interference. Furthermore, each precoded entry is represented as , where denotes the set of quantized complex values. We initialize by setting it to a random complex matrix or a zero matrix and then projecting onto the discrete set . This initialization ensures a feasible starting point. The iterative process then refines to achieve the desired performance.
2.1. Communication Model
The received communication signal of the downlink UEs can be represented as
where denotes the zero-mean Gaussian white noise matrix with variance , i.e., . In this communication system, to estimate the transmitted constellation points, users could calculate the proportionally received signal by using a precoding factor , thus directly obtaining some estimated transmitting symbols. Building on these concepts, we aim to minimize the average error power experienced by users by designing a dual-function precoding matrix . In our approach, the combined average power from downlink MUI and quantization errors is quantified as described in [8]
where denotes the mathematical expectation over [8], quantifies the interference among multiple users due to concurrent transmissions from several antennas, and denotes the interference caused by scenario noise. The expectation operator can be removed in the last equality of Equation (3) due to the deterministic symbol matrix . To optimize communication, we address DAC precoding, as follows
2.2. Radar Model
MIMO radar systems are capable of simultaneously transmitting multiple distinct probing signals, thereby increasing the degrees of freedom (DoFs) available. In this study, we concentrate on the design of beamforming patterns for MIMO radar within a DFRC framework [33,34]. The beamforming strategy plays a crucial role in enhancing detection performance and improving the accuracy of target localization. Consider a target located in the far-field direction denoted by . The synthesized received signal for the l-th snapshot can be expressed as
where , the B-dimensional transmit steering vector, can be represented as
with d being the inter-element spacing, and being the carrier wavelength. Here, the energy of probing signal in the direction, known as the transmitting beampattern, can be expressed as
where is the covariance matrix of transmitting signals, directly affecting the spatial distribution characteristics of the beampattern. Therein, the transmitting beampattern also reflects the spatial energy distribution. Given that each array element has equal transmit energy, the covariance matrix generally satisfies
where denotes the entry of the covariance matrix , and represents the average transmission power allocated per antenna. In previous work [35], the cost function minimizes the squared error between the desired and actual beampatterns, aiming to closely approximate the target beampattern while reducing cross-correlation sidelobes. Namely, this cost function includes terms for beampattern matching and cross-correlation reduction, and can be given as
where is the weighting coefficient for the k-th point, is the number of targets, is the scaling parameter that needs to be optimized, denotes the weight of the cross-correlation term, and represents the given desired beampattern. Here, denotes the angle of interest for the k-th point in the beampattern design, while and in Equation (9) represent angles corresponding to different targets or interference directions. Each is a distinct direction in space where the radar beampattern is evaluated.
Furthermore, when imposing appropriate constraints on the covariance matrix, we would discuss the requirements for low cross-correlation beampatterns. According to discussion in [35], this process must ensure that the covariance matrix is semi-positive definite. Assuming that each diagonal entry is set to a consistent antenna power, the problem of optimizing the covariance matrix can subsequently be formulated as follows
To address this optimization problem involving variables , the SQP method can solve Problem Equation (10) efficiently within polynomial time [35].
To ensure low cross-correlation in the beampatterns of a MIMO DFRC system, it is important to balance the system’s detection functions with its communication performance. This involves defining specific optimization goals and constraints. The radar precoding matrix is obtained by decomposing the covariance matrix as Once is determined using Equation (10), the DFRC transmission matrix is found by minimizing the power difference between and the reference precoder . The objective is to ensure that closely approximates .
3. Problem Formulation
Here, we mainly try to propose an novel precoding method, enabling communicating between BS and UEs while also being applicable to radar sensing. To achieve a balance between communication and radar sensing functions in the distributed feedback DFRC system, we introduce a weighting parameter where (The weighting factor serves as a design parameter that allows system operators to balance radar and communication functionalities. When , the system focuses on minimizing the communication MSE without considering radar performance. Conversely, emphasizes radar beampattern design. In practice, can be chosen based on empirical tests, system design guidelines, or performance specifications). The optimization problem is subsequently defined as follows:
Due to the constant modulus requirements on both the real and imaginary components, the problem in Equation (11) is considered NP-hard [36]. This problem can be solved through an exhaustive search of complexity , but this inevitably results in a high computational burden.
To address the aforementioned challenges, we establish an iterative framework using the separate adaptive tuning parameters , , and . More concretely, this framework involves a three-step iterative process that partitions variables of the optimization problem into several blocks (or groups). In each iteration, only one block of variables is updated, while variables in the other blocks are treated as constants.
4. Proposed Methods
Based on the previous discussion, we break down problem Equation (11) into three separate sub-problems and address them iteratively.
4.1. Update of
First, we focus on the precoding factor within the DFRC system. With and held constant, the optimization problem Equation (11) for is defined as follows
We expand the objective function in Equation (12), as follows
Differentiating and setting the derivative equal to zero, provided that the coefficient of is greater than zero, allows us to obtain
Consequently, can be determined using the closed-form expression below
Here, is obtained as a closed-form solution by minimizing the MSE between the intended symbols and the scaled received signals . As shown in Equation (15), depends on the current precoded matrix and the channel . It balances the residual noise and interference, ensuring that the received symbols align closely with the desired constellation points.
4.2. Update of
Given fixed and , the optimization problem Equation (11) for optimizing can be defined as
According to [37], the problem described in Equation (16) is an orthogonal Procrustes problem that admits a closed-form solution given by where denotes the Cholesky decomposition or another efficient square root decomposition method. Additionally, the SVD is represented as , where is the unitary matrix containing the left singular vectors of , is the unitary matrix containing the right singular vectors of , and is the diagonal matrix of singular values from the SVD of .
4.3. Update of
Given fixed and , the optimization problem Equation (11) for is defined as follows
Let and ; then, problem Equation (17) can be represented more compactly as
Let and ; thus, the equivalent expression of problem Equation (18) can be transformed into
where and By utilizing the ADMM framework, problem Equation (19) can be rewritten into an equivalent form as
where denotes the auxiliary vector that must satisfy the corresponding constraints. The function is the indicator function for the set , where equals 0 when is in and ∞ otherwise. Utilizing the augmented Lagrangian multiplier method, we can reformulate Equation (20) as follows
where the term c denotes the penalty parameter and denotes the dual vector. We employ the ADMM to solve Equation (20) through the following three steps [38]
After performing some algebraic manipulations, Equation (22) can be explicitly written as
where the term represents the projection onto . Based on (23), the objective of updating is to obtain MMSE, while updating maps onto the discrete set . The update of aims to align and in the consensus phase. However, since is discrete and is continuous, the consensus adjustment in Equation (23c) may not be effective. To resolve this, we set and rewrite Equation (23) as
Within each updating iteration, there remains a complex matrix inversion operating, which brings a significant computational burden. We propose an adaptively tuned DPR algorithm where . Based on linear estimation theory [25,39], we ensure that the estimation in Equation (24a) achieves MMSE. Since is unknown during iteration, c can be updated using the estimated error variance by
In large-scale MU-MIMO systems, exhibits the property of a strictly diagonally dominant (SDD) [39]. Using a scaled identity matrix, we can approximate . This step can be listed as
where . Step is based on , which yields . Based on the conclusion of Equation (26), to reduce the computational complexity associated with matrix inversion, we approximate as follows: . Algorithm 1 summarizes the detailed procedures of the DPR-based method.
| Algorithm 1 DPR algorithm for solving Equation (19). |
4.4. Complexity Analysis
In this section, we analyze the computational complexity of the large-scale MIMO DFRC precoding algorithm from the perspective of real-valued multiplications, particularly when . Algorithm 1 summarizes the proposed method to thus solve the three sub-problems mentioned above. We update the three variables iteratively, noting that the computational cost scales linearly with the number of iterations. Specifically, updating the precoding factor using Equation (15) requires a computational effort of per iteration. The reference radar precoding matrix is updated through four matrix multiplications, resulting in a complexity of . In the DPR algorithm, each iteration involves updating the primary variable based on Equation (25), which has a complexity of . Additionally, the update of according to Equation (24a) requires operations. The projection step for is negligible in terms of computational cost. Consequently, for outer iterations and inner DPR updates, the total complexity of the proposed algorithm is
Assuming that all algorithms execute the same number of iterations T, for our proposed algorithm, the computational complexity per iteration is dominated by updating , , c, , and , leading to a total complexity of . For the ADMM algorithm, the per-iteration complexity includes a costly matrix inversion operation with complexity , resulting in a total complexity of . The BCDPG2 algorithm involves additional operations such as Cholesky decomposition and SVD, leading to a per-iteration complexity of , and a total complexity of .
5. Simulation Results and Discussion
This section assesses the radar and communication efficiency of our proposed method in a downlink setting. By default, the SNR is defined as with . The communication frame or radar pulse length is fixed at , and we employ QPSK modulation with up to iterations. Each transmitter antenna uses a pair of low-resolution quantized DACs, with an extreme configuration of a single one-bit DAC per antenna. The user’s reception employs QPSK symbol modulation. We compare the DPR algorithm (referred to as “Proposed”) presented in this paper with various precoding algorithms, based on 1000 Monte Carlo trials.
5.1. Communication Performance
We analyze the communication efficiency of large-scale MIMO DFRC downlink systems utilizing one-bit quantization. For Figure 2, the number of transmit antennas is set to with users. We set “” to focus solely on communication performance. For Figure 3, we increase the setup to transmit antennas and users, using infinite-resolution zero-forcing (ZFi) precoding as a baseline for comparison. By comparing various precoding schemes, quantized linear precoding methods (namely, WF and MRT) exhibit lower complexity than the proposed nonlinear precoding but with a higher BER. For nonlinear precoding methods (namely, SQUID, ADMM, and projected gradient-based block coordinate descent (BCDPG2) [40]) (MRT and ZF are classified as linear precoding methods because they directly map transmitted symbols to antenna signals via a fixed linear filter, typically derived from the channel matrix; in contrast, techniques such as SQUID, ADMM-based algorithms, BCDPG2, and our proposed method incorporate iterative optimization and discrete quantization steps, resulting in a nonlinear input–output relationship), we observe that nonlinear precoding becomes significantly more advantageous as the SNR increases, for both the and systems. Specifically, simulation results demonstrate that, compared to ZFi with infinite precision quantization, the proposed method in the system with 64 transmit antennas incurs only a 3 dB loss at a BER of . Furthermore, in a large-scale MIMO system with 128 transmit antennas, the SNR loss is under 2 dB. Employing a large antenna array effectively reduces the challenges associated with low-resolution quantization and RF hardware imperfections. As depicted in Figure 2 and Figure 3, our proposed approach enhances BER performance in large-scale MIMO systems. Notably, when , the method achieves the highest BER efficiency.
Figure 2.
Performance comparison of BER for various precoding algorithms with , , QPSK.
Figure 3.
Performance comparison of BER for various precoding algorithms with , , QPSK.
In previous trials, the system performance was evaluated using one-bit DACs. However, multi-bit precoding techniques can provide higher signal precision quantization than one-bit DACs. By employing multi-bit precoding at the output of DACs, the input signal can be decomposed into more levels, thus achieving finer quantization. This can significantly reduce quantization errors and improve the signal quality of the system. We thus shifted our focus to multi-bit precoding with low-resolution quantization DACs. Compared to traditional nonlinear precoding methods, simulation comparisons show that our algorithm achieves a lower BER at the same SNR. Moreover, as shown in Figure 4, it is observed that in large-scale MIMO systems, our algorithm improves BER performance by an average of 5% compared with traditional nonlinear precoding methods.
Figure 4.
Performance comparison of BER for various precoding algorithms in low-resolution quantization precoding with , , QPSK.
5.2. Radar Performance
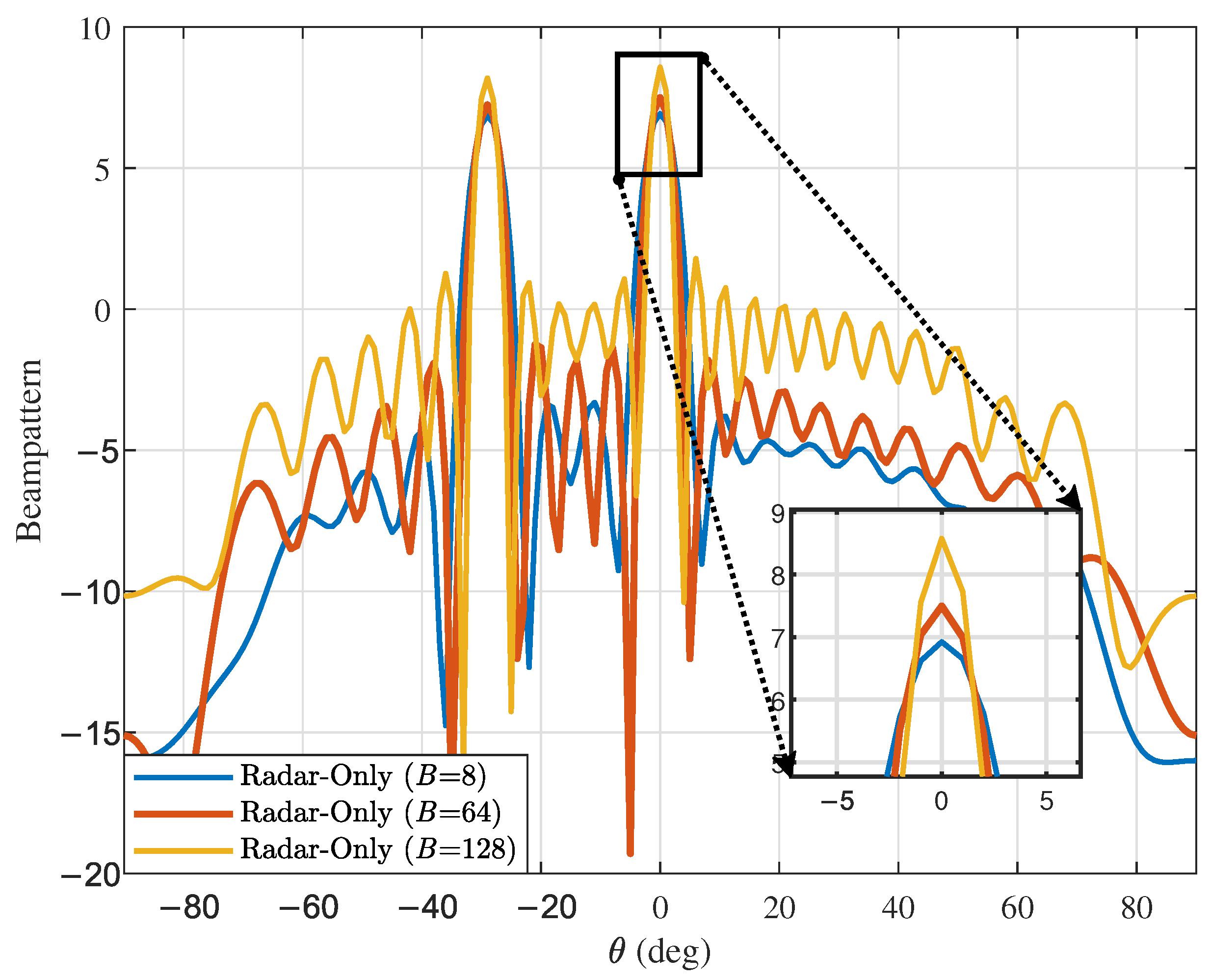
Further investigation was conducted on the impact of different transmit antennas on the beampatterns in various radar scenarios. In the symmetric scenario illustrated in Figure 5, we considered three targets located at angles . For beampattern design, “Ideal” refers to the optimal radar precoding, while “Radar-Only” denotes the beampattern achieved using our proposed method with “”. Here, the “Ideal” curve is obtained by first solving the radar-only problem described in Equation (10). We then decompose the resulting covariance matrix to obtain the radar precoding matrix , which serves as the reference “Ideal” performance. When “”, the algorithm exclusively focuses on approximating the radar precoder , thereby reducing its flexibility in adapting to communication symbols. This constraint results in a slight degradation in communication performance due to the limited degrees of freedom after quantization. The results demonstrate that, even under a one-bit constraint, the designed beampatterns generate primary lobes towards the specified target directions, ensuring effective radar detection and perception. In the asymmetric scenario depicted in Figure 6, where targets are positioned at , our proposed approach significantly improves the PSLR for radar precoding towards these target angles. Notably, with , the performance exhibits only a minor degradation compared to the ideal radar precoding. This indicates that our method consistently enhances radar precoding performance in target directions within asymmetric settings as the number of antennas increases. To further quantify radar performance, we measure the PSLR for each number of antennas in both the symmetric and asymmetric scenarios. In the symmetric scenario (Figure 5), the PSLR values for are approximately dB, dB, and dB, respectively. Similarly, in the asymmetric scenario (Figure 6), the PSLR increases from about dB () to dB () and reaches dB (). These results confirm that as the number of transmit antennas increases, our proposed method more effectively suppresses sidelobes, thus enhancing radar performance (Note that the ’Ideal’ curve is omitted in Figure 6 to highlight the performance of the practical precoding strategies under the asymmetric scenario. The radar-only ’Ideal’ reference, although it achieves slightly lower sidelobes, does not significantly change the comparative insights for these asymmetrically spaced targets).
Figure 5.
Influence of different transmit antenna numbers on beamforming performance in symmetric scenarios with QPSK modulation.
Figure 6.
Influence of different transmit antenna numbers on beamforming performance in asymmetric scenarios with QPSK modulation.
5.3. Assessing Radar and Communication Trade-Offs
For the communication and radar integrated system, balancing the importance of different functionalities is crucial. Figure 7 has demonstrated communication performance v.s. different weighting factors, where and . In Figure 7, using the linear one-bit precoding MRT algorithm as a baseline, we observe significant BER improvements when “”, which allocates all weighting to the communication side. When “”, dividing weights equally between communication and radar sensing, our method matches the MRT performance at and outperforms it at higher SNRs. Figure 8 shows the radar performance, indicating that increasing the weight factor (allocating more resources to radar) leads to better PSLR. This implies that the system can better suppress sidelobe interference as the weight factor increases, to further enhance radar’s target detection performance. This strategy of weighting factor allocation and balancing different functional requirements allows us to adjust the system’s performance according to actual needs for communication performance while ensuring radar performance.
Figure 7.
BER analysis with different weighting factors.
Figure 8.
Beamforming analysis with different weighting factors.
In Figure 9, we compare the average running time of algorithms with different numbers of antennas (in seconds), considering “” as the performance criterion. For instance, BCDPG2 maintains the lowest average runtime among the nonlinear precoding algorithms, with values ranging from approximately s at 32 antennas to s at 256 antennas. The Proposed precoder, although slightly slower, achieves runtimes of approximately to s for the same range of antennas, indicating competitive efficiency. In contrast, the SQUID and ADMM algorithms exhibit significantly higher runtimes, surpassing s when the number of antennas reaches 256. The linear quantized precoders (MRT, ZF, ZFi, and WF) remain much faster due to their lower complexity, with runtimes consistently around s. However, this reduced complexity comes at the cost of poorer performance in high-precision scenarios. As shown in Figure 10, we present a comparison of the convergence metric versus the number of iterations, assuming the objective function defined in Equation (19) has a value at the n-th iteration denoted as . The convergence metric is defined as . It can be observed that increasing the quantization resolution results in a decrease in convergence accuracy. However, the algorithm maintains robust performance, achieving convergence within approximately 230 iterations even when using a 3-bit DAC.
Figure 9.
Average runtime performance of precoding algorithms with varying numbers of transmit antennas.
Figure 10.
Impact of quantization resolution on algorithm convergence.
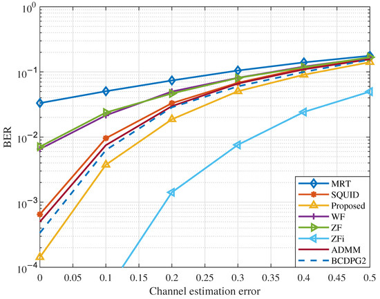
5.4. BER Performance in the Presence of CSI Imperfections
This section investigates the robustness of our proposed algorithm for channel estimation errors. According to [8], we assume that the BS has obtained CSI and the channel matrix is calculated as follows
where indicates the channel estimation error level, represents the estimated channel matrix, and denotes the error matrix. Figure 11 illustrates the proposed method’s robustness against channel estimation errors based on simulation results. Since perfect CSI is typically unavailable, this validates the adaptiveness of the proposed method for practical DFRC systems. BER performance under imperfect CSI is evaluated. At an SNR of 5 dB, it is observed that nonlinear precoding exhibits significant advantages in performance when , while the BER performance of linear precoding approaches saturation. This indicates that when the channel estimation error is relatively small, nonlinear precoding can better handle the channel estimation errors, thereby improving system performance. For , nonlinear precoding methods demonstrate significant performance advantages, particularly within smaller ranges of channel estimation errors. This enables the system to better adapt to the complexities of practical communication environments, thereby enhancing system reliability and performance.
Figure 11.
Comparison of BER for different precoding schemes with channel estimation error at SNR = 5 dB.
6. Conclusions
This paper proposes a joint optimization method for large-scale MU-MIMO DFRC downlink systems with low-resolution quantized DACs and frame-based precoding. The method balances radar sensing and communication by decomposing the optimization problem and using the DPR algorithm within the ADMM framework. Simulation results validate the effectiveness of the proposed method across diverse scenarios. Compared to traditional nonlinear precoding methods, the proposed algorithm delivers an average improvement in BER performance for QPSK modulation in higher SNR scenarios. Moreover, practical systems with large antenna arrays inherently rely on parallel digital processing architectures and fast hardware accelerators (e.g., GPUs or FPGAs) to handle matrix operations efficiently. Thus, the proposed method can be implemented in real-time or near real-time radar–communication systems, making it applicable to next-generation wireless infrastructures where cost and energy constraints demand low-resolution hardware solutions.
Author Contributions
Conceptualization, X.F., Z.Z. (Zhongqing Zhao) and J.W. (Jian Wang); Data curation, Z.Z. (Zhongqing Zhao) and J.W. (Jian Wang); Formal analysis, X.F. and Z.Z. (Zhiquan Zhou); Funding acquisition, X.F., Z.Z. (Zhongqing Zhao) and J.W. (Jiongshi Wang); Investigation, X.F., Z.Z. (Zhanfeng Zhao), Z.Z. (Zhongqing Zhao) and J.W. (Jiongshi Wang); Methodology, X.F., Z.Z. (Zhanfeng Zhao) and Z.Z. (Zhiquan Zhou); Project administration, X.F., Z.Z. (Zhongqing Zhao) and Z.Z. (Zhanfeng Zhao); Resources, Z.Z. (Zhanfeng Zhao), Z.Z. (Zhiquan Zhou) and J.W. (Jiongshi Wang); Supervision, X.F. and J.W. (Jian Wang); Validation, Z.Z. (Zhongqing Zhao), J.W. (Jian Wang) and J.W. (Jiongshi Wang); Writing—original draft, X.F., Z.Z. (Zhongqing Zhao) and J.W. (Jian Wang); Writing—review and editing, X.F., J.W. (Jian Wang) and J.W. (Jiongshi Wang). All authors have read and agreed to the published version of the manuscript.
Funding
This research was supported in part by the major scientific and technological innovation projects of Shandong Province of China (Grant Nos. 2021ZLGX05 and 2022ZLGX04), and in part by the National Natural Science Foundation of China, Grant 42127804.
Data Availability Statement
The original contributions presented in the study are included in the article, further inquiries can be directed to the corresponding author.
Conflicts of Interest
The authors declare no conflicts of interest.
References
- Hassanien, A.; Amin, M.G.; Aboutanios, E.; Himed, B. Dual-Function Radar Communication Systems: A Solution to the Spectrum Congestion Problem. IEEE Signal Process. Mag. 2019, 36, 115–126. [Google Scholar] [CrossRef]
- Cheng, Z.; Wu, L.; Wang, B.; Shankar, M.R.B.; Ottersten, B. Double-Phase-Shifter Based Hybrid Beamforming for MmWave DFRC in the Presence of Extended Target and Clutters. IEEE Trans. Wirel. Commun. 2023, 22, 3671–3686. [Google Scholar] [CrossRef]
- Wu, L.; Mishra, K.V.; Shankar, M.R.B.; Ottersten, B. Resource Allocation in Heterogeneously-Distributed Joint Radar-Communications Under Asynchronous Bayesian Tracking Framework. IEEE J. Sel. Areas Commun. 2022, 40, 2026–2042. [Google Scholar] [CrossRef]
- Chen, L.; Wang, Z.; Du, Y.; Chen, Y.; Yu, F.R. Generalized Transceiver Beamforming for DFRC with MIMO Radar and MU-MIMO Communication. IEEE J. Sel. Areas Commun. 2022, 40, 1795–1808. [Google Scholar] [CrossRef]
- Wu, K.; Zhang, J.A.; Huang, X.; Guo, Y.J. Frequency-Hopping MIMO Radar-Based Communications: An Overview. IEEE Trans. Aerosp. Electron. Mag. 2022, 37, 42–54. [Google Scholar] [CrossRef]
- Guo, B.; Liang, J.; Wang, G.; Tang, B.; So, H.C. Bistatic MIMO DFRC System Waveform Design via Fractional Programming. IEEE Trans. Signal Process. 2023, 71, 1952–1967. [Google Scholar] [CrossRef]
- Studer, C.; Durisi, G. Quantized Massive MU-MIMO-OFDM Uplink. IEEE Trans. Commun. 2016, 64, 2387–2399. [Google Scholar] [CrossRef]
- Jacobsson, S.; Durisi, G.; Coldrey, M.; Goldstein, T.; Studer, C. Quantized Precoding for Massive MU-MIMO. IEEE Trans. Commun. 2017, 65, 4670–4684. [Google Scholar] [CrossRef]
- Björnson, E.; Sanguinetti, L.; Wymeersch, H.; Hoydis, J.; Marzetta, T.L. Massive MIMO is A Reality—What is Next?: Five Promising Research Directions for Antenna Arrays. Digit. Signal Process. 2019, 94, 3–20. [Google Scholar] [CrossRef]
- Mo, J.; Schniter, P.; Heath, R.W. Channel Estimation in Broadband Millimeter Wave MIMO Systems with Few-Bit ADCs. IEEE Trans. Signal Process. 2018, 66, 1141–1154. [Google Scholar] [CrossRef]
- Cheng, Z.; Wu, L.; Wang, B.; Xie, J.; Li, H. Relative Entropy-Based Constant-Envelope Beamforming for Target Detection in Large-Scale MIMO Radar with Low-Resoultion ADCs. IEEE Trans. Veh. Technol. 2023, 72, 10090–10106. [Google Scholar] [CrossRef]
- Cheng, Z.; Shi, S.; He, Z.; Liao, B. Transmit Sequence Design for Dual-Function Radar-Communication System with One-Bit DACs. IEEE Trans. Wirel. Commun. 2021, 20, 5846–5860. [Google Scholar] [CrossRef]
- Wang, Y.; Liu, H.; Xiang, W.; Shui, Y.; Guo, L.; Zhou, M.; Pang, Y. A Novel Non-Contact Respiration and Heartbeat Detection Method Using Frequency-Modulated Continuous Wave Radar. IEEE Sens. J. 2024, 24, 10434–10446. [Google Scholar] [CrossRef]
- Saxena, A.K.; Fijalkow, I.; Swindlehurst, A.L. Analysis of One-Bit Quantized Precoding for the Multiuser Massive MIMO Downlink. IEEE Trans. Signal Process. 2017, 65, 4624–4634. [Google Scholar] [CrossRef]
- Usman, O.B.; Jedda, H.; Mezghani, A.; Nossek, J.A. MMSE precoder for massive MIMO using 1-bit quantization. In Proceedings of the 2016 IEEE International Conference on Acoustics, Speech and Signal Processing (ICASSP), Shanghai, China, 20–25 March 2016; pp. 3381–3385. [Google Scholar]
- Cheng, Z.; Liao, B.; He, Z.; Li, J. Transmit Signal Design for Large-Scale MIMO System with 1-bit DACs. IEEE Trans. Wirel. Commun. 2019, 18, 4466–4478. [Google Scholar] [CrossRef]
- Jacobsson, S.; Durisi, G.; Coldrey, M.; Studer, C. Massive MU-MIMO-OFDM Downlink with One-Bit DACs and Linear Precoding. arXiv 2017, arXiv:1704.04607. [Google Scholar]
- Chu, L.; Wen, F.; Li, L.; Qiu, R. Efficient Nonlinear Precoding for Massive MIMO Downlink Systems with 1-Bit DACs. IEEE Trans. Wirel. Commun. 2019, 18, 4213–4224. [Google Scholar] [CrossRef]
- Yuan, X.; Zheng, J. Nonlinear One-Bit Precoding for Massive MIMO Downlink Systems with l0-Norm Constraint. IEEE Wirel. Commun. Lett. 2020, 9, 1514–1518. [Google Scholar] [CrossRef]
- Chen, C.; Huang, Y. Lattice-Reduction-Aided One-Bit Precoding for Massive MU-MIMO Systems. IEEE Trans. Veh. Technol. 2019, 68, 7184–7188. [Google Scholar] [CrossRef]
- Castañeda, O.; Jacobsson, S.; Durisi, G.; Coldrey, M.; Goldstein, T.; Studer, C. 1-Bit Massive MU-MIMO Precoding in VLSI. IEEE J. Emerg. Sel. Top. Circuits Syst. 2017, 7, 508–522. [Google Scholar] [CrossRef]
- Chen, J.C. Alternating Minimization Algorithms for One-Bit Precoding in Massive Multiuser MIMO Systems. IEEE Trans. Veh. Technol. 2018, 67, 7394–7406. [Google Scholar] [CrossRef]
- Li, A.; Spano, D.; Krivochiza, J.; Domouchtsidis, S.; Tsinos, C.G.; Masouros, C.; Chatzinotas, S.; Li, Y.; Vucetic, B.; Ottersten, B. A Tutorial on Interference Exploitation via Symbol-Level Precoding: Overview, State-of-the-Art and Future Directions. IEEE Commun. Surv. Tutorials 2020, 22, 796–839. [Google Scholar] [CrossRef]
- Tsinos, C.G.; Kalantari, A.; Chatzinotas, S.; Ottersten, B. Symbol-Level Precoding with Low Resolution DACs for Large-Scale Array MU-MIMO Systems. In Proceedings of the 2018 IEEE 19th International Workshop on Signal Processing Advances in Wireless Communications (SPAWC), Kalamata, Greece, 25–28 June 2018; pp. 1–5. [Google Scholar]
- Wang, C.; Wen, C.; Jin, S.; Tsai, S. Finite-Alphabet Precoding for Massive MU-MIMO with Low-Resolution DACs. IEEE Trans. Wirel. Commun. 2018, 17, 4706–4720. [Google Scholar] [CrossRef]
- Chen, C. Symbol-Level Precoding for Multiuser Multiple-Input–Single-Output Downlink Systems with Low-Resolution DACs. IEEE Trans. Veh. Technol. 2022, 71, 2116–2121. [Google Scholar] [CrossRef]
- Dong, Y.; Gong, C.; Zhang, Z.; Li, H.; Wang, X.; Dai, X. A Low-Complexity Precoding Scheme for Downlink Massive MU-MIMO Systems with Low-Resolution DACs. Wirel. Pers. Commun. 2022, 125, 3627–3640. [Google Scholar] [CrossRef]
- Shao, M.; Li, Q.; Ma, W.; So, A.M. A Framework for One-Bit and Constant-Envelope Precoding Over Multiuser Massive MISO Channels. IEEE Trans. Signal Process. 2019, 67, 5309–5324. [Google Scholar] [CrossRef]
- Haqiqatnejad, A.; Kayhan, F.; ShahbazPanahi, S.; Ottersten, B. Finite-Alphabet Symbol-Level Multiuser Precoding for Massive MU-MIMO Downlink. IEEE Trans. Signal Process. 2021, 69, 5595–5610. [Google Scholar] [CrossRef]
- Jacobsson, S.; Durisi, G.; Coldrey, M.; Goldstein, T.; Studer, C. Nonlinear 1-bit precoding for massive MU-MIMO with higher-order modulation. In Proceedings of the 2016 50th Asilomar Conference on Signals, Systems and Computers, Pacific Grove, CA, USA, 6–9 November 2016; pp. 763–767. [Google Scholar]
- Haqiqatnejad, A.; Kayhan, F.; Ottersten, B. Constructive Interference for Generic Constellations. IEEE Signal Process. Lett. 2018, 25, 586–590. [Google Scholar] [CrossRef]
- Li, A.; Liu, F.; Masouros, C.; Li, Y.; Vucetic, B. Interference Exploitation 1-Bit Massive MIMO Precoding: A Partial Branch-and-Bound Solution with Near-Optimal Performance. IEEE Trans. Wirel. Commun. 2020, 19, 3474–3489. [Google Scholar] [CrossRef]
- Li, J.; Stoica, P. MIMO Radar with Colocated Antennas. IEEE Signal Process. Mag. 2007, 24, 106–114. [Google Scholar] [CrossRef]
- Cheng, Z.; He, Z.; Zhang, S.; Li, J. Constant Modulus Waveform Design for MIMO Radar Transmit Beampattern. IEEE Trans. Signal Process. 2017, 65, 4912–4923. [Google Scholar] [CrossRef]
- Stoica, P.; Li, J.; Xie, Y. On Probing Signal Design For MIMO Radar. IEEE Trans. Signal Process. 2007, 55, 4151–4161. [Google Scholar] [CrossRef]
- Agrell, E.; Eriksson, T.; Vardy, A.; Zeger, K. Closest Point Search in Lattices. IEEE Trans. Inf. Theory 2002, 48, 2201–2214. [Google Scholar] [CrossRef]
- Viklands, T. Algorithms for the Weighted Orthogonal Procrustes Problem and other Least Squares Problems. Ph.D. Dissertation, Umeå University, Umeå, Sweden, 2006. [Google Scholar]
- Huang, H.; Keskin, M.F.; Wymeersch, H.; Cai, X.; Wu, L.; Thunberg, J.; Tufvesson, F. Hybrid Precoder Design for Angle-of-Departure Estimation with Limited-Resolution Phase Shifters. arXiv 2023, arXiv:2312.15921. [Google Scholar] [CrossRef]
- Prabhu, H.; Rodrigues, J.; Edfors, O.; Rusek, F. Approximative Matrix Inverse Computations for Very-large MIMO and Applications to Linear Pre-coding Systems. In Proceedings of the 2013 IEEE Wireless Communications and Networking Conference (WCNC), Shanghai, China, 7–10 April 2013; pp. 2710–2715. [Google Scholar]
- Liang, R.; Li, H.; Zhang, W. An Efficient Design of One-Bit DACs Precoding for Massive MU-MIMO Downlink. IEEE Syst. J. 2023, 17, 6368–6379. [Google Scholar] [CrossRef]
Disclaimer/Publisher’s Note: The statements, opinions and data contained in all publications are solely those of the individual author(s) and contributor(s) and not of MDPI and/or the editor(s). MDPI and/or the editor(s) disclaim responsibility for any injury to people or property resulting from any ideas, methods, instructions or products referred to in the content. |
© 2025 by the authors. Licensee MDPI, Basel, Switzerland. This article is an open access article distributed under the terms and conditions of the Creative Commons Attribution (CC BY) license (https://creativecommons.org/licenses/by/4.0/).










