A Wideband Multi-Polarized Microstrip Antenna with High Polarization Isolation Based on Dual-Circular Polarization
Abstract
1. Introduction
2. Orthogonal Polarization Theory
3. Antenna Design and Analysis
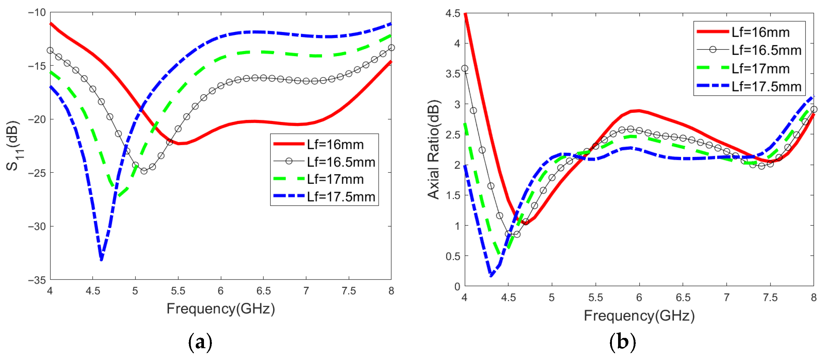
3.1. Antenna Structure
3.2. Antenna Analysis
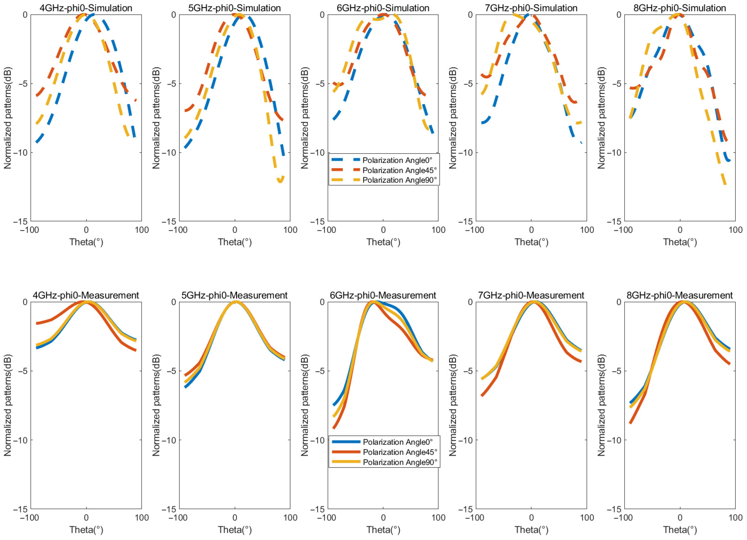
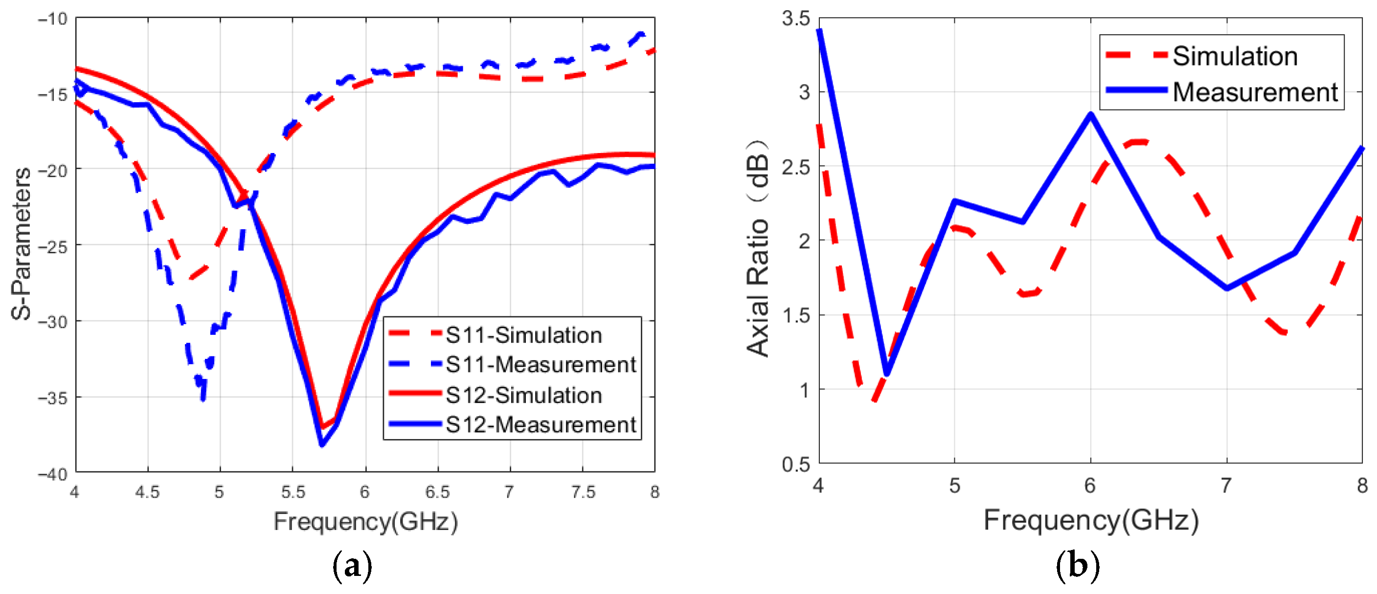
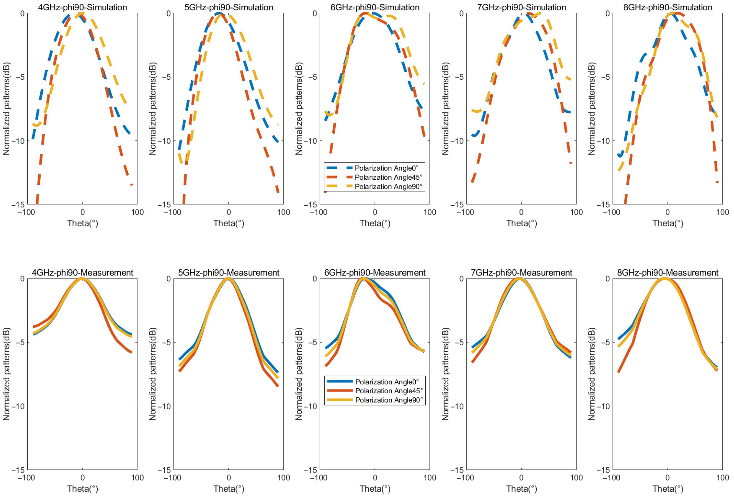
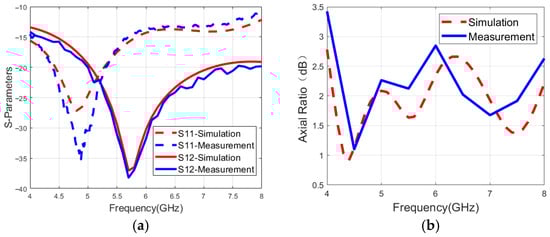
4. Experimental Results
5. Conclusions
Author Contributions
Funding
Data Availability Statement
Conflicts of Interest
References
- Gao, S.; Sambell, A.; Zhong, S. Polarization-agile antennas. IEEE Antennas Propag. Mag. 2006, 48, 28–37. [Google Scholar] [CrossRef]
- Khan, I.; Qi, X.; Shao, Y.; Zhang, K.; Song, C.; Kamal, M.M.; Wu, Q. Hybrid technique-based circularly polarized MIMO antenna with low mutual coupling for millimeter-wave communications. Opt. Express 2025, 33, 17782–17801. [Google Scholar] [CrossRef] [PubMed]
- Kamal, M.M.; Khan, I.; Al-Khasawneh, M.A.; Saudagar, A.K.J. Hybrid optimization-based deep learning for energy efficiency resource allocation in MIMO-enabled wireless networks. Sci. Rep. 2025, 15, 31642. [Google Scholar] [CrossRef] [PubMed]
- Sharma, S.K.; Chieh, J.-C.S. Multifunctional Antennas and Arrays for Wireless Communication Systems; John Wiley & Sons: Hoboken, NJ, USA, 2021. [Google Scholar]
- Wong, H.; Lin, W.; Huitema, L.; Arnaud, E. Multi-polarization reconfigurable antenna for wireless biomedical system. IEEE Trans. Biomed. Circuits Syst. 2017, 11, 652–660. [Google Scholar] [CrossRef] [PubMed]
- Chen, D.; Liu, Y.; Chen, S.-L.; Qin, P.-Y.; Guo, Y.J. A wideband high-gain multilinear polarization reconfigurable antenna. IEEE Trans. Antennas Propag. 2020, 69, 4136–4141. [Google Scholar] [CrossRef]
- Li, W.; Gao, S.; Cai, Y.; Luo, Q.; Sobhy, M.; Wei, G.; Xu, J.; Li, J.; Wu, C.; Cheng, Z. Polarization-reconfigurable circularly polarized planar antenna using switchable polarizer. IEEE Trans. Antennas Propag. 2017, 65, 4470–4477. [Google Scholar] [CrossRef]
- Cui, Y.; Qi, C.; Li, R.L. A Low-profile broadband quad-polarization reconfigurable omnidirectional antenna. IEEE Trans. Antennas Propag. 2019, 67, 4178–4183. [Google Scholar] [CrossRef]
- Mei, P.; Zhang, S.; Pedersen, G.F. A wideband 3-D printed reflectarray antenna with mechanically reconfigurable polarization. IEEE Antennas Wirel. Propag. Lett. 2020, 19, 1798–1802. [Google Scholar] [CrossRef]
- Ouadefli, M.; Tribak, A.; Et-Tolba, M.; Garcia, J.A.; Tizyi, H. Linear dual-polarized microstrip patch antenna with u-shaped aperture. In Proceedings of the 2022 2nd International Conference on Innovative Research in Applied Science, Engineering and Technology (IRASET), Meknes, Morocco, 3–4 March 2022; IEEE: Piscataway, NJ, USA, 2022; pp. 1–4. [Google Scholar]
- Nawaz, H.; Tekin, I. Double-differential-fed, dual-polarized patch antenna with 90 dB interport RF isolation for a 2.4 GHz in-band full-duplex transceiver. IEEE Antennas Wirel. Propag. Lett. 2017, 17, 287–290. [Google Scholar] [CrossRef]
- Yu, H.W.; Jiao, Y.C. Complementary Magneto-Electric Coupling Feeding Methods for Low-Profile High-Isolation Dual-Polarized Microstrip Patch Antenna. In Proceedings of the 2019 International Symposium on Antennas and Propagation (ISAP), Xi’an, China, 27–30 October 2019; IEEE: Piscataway, NJ, USA, 2019; pp. 1–3. [Google Scholar]
- Lin, F.H.; Chen, Z.N. Resonant metasurface antennas with resonant apertures: Characteristic mode analysis and dual-polarized broadband low-profile design. IEEE Trans. Antennas Propag. 2020, 69, 3512–3516. [Google Scholar] [CrossRef]
- Zhang, X.; Zhou, D.; Li, Y.; Wei, K.; Zhang, Z. A Simple dual-polarized patch antenna array for Wi-Fi 6/6E application. IEEE Trans. Antennas Propag. 2022, 70, 11143–11148. [Google Scholar] [CrossRef]
- Zeng, W.F.; Chen, F.C. Design of Dual-Polarized Bandwidth-Enhanced Metasurface Antenna Using Characteristic Mode. IEEE Antennas Wirel. Propag. Lett. 2024, 23, 3103–3107. [Google Scholar] [CrossRef]
- Zhao, Y.; Zhu, B.; Ding, J.; Li, S. A Whole W-Band Multi-Polarization Horn Antenna Based on Boifot-Type OMT. Micromachines 2024, 15, 385. [Google Scholar] [CrossRef] [PubMed]
- Kang, L.; Li, H.; Tang, B.; Wang, X.; Zhou, J. Quad-polarization-reconfigurable antenna with a compact and switchable feed. IEEE Antennas Wirel. Propag. Lett. 2021, 20, 548–552. [Google Scholar] [CrossRef]
- Liu, M.; Zhai, Z.J.; Lin, F.; Sun, H.J. Wideband quad-polarization-reconfigurable bidirectional antenna with a simple wideband switchable feeding network. IEEE Antennas Wirel. Propag. Lett. 2023, 22, 1346–1350. [Google Scholar] [CrossRef]
- Liu, M.; Li, Z.; Zhu, C.; Cui, Z.; Ma, H. A Novel Linearly Polarized Antenna with Reconfigurable Polarization Angle. In Proceedings of the 2022 International Conference on Microwave and Millimeter Wave Technology (ICMMT), Harbin, China, 12–15 August 2022; IEEE: Piscataway, NJ, USA, 2022; pp. 1–3. [Google Scholar]
- Lu, H.-C.; Siao, S.-Y.; Chuang, S.-K.; Rao, P.-Z.; Tung, W.-S. Antenna with switchable linear polarization for 60 GHz. In Proceedings of the 2014 IEEE Antennas and Propagation Society International Symposium (APSURSI), Memphis, TN, USA, 6–11 July 2014; IEEE: Piscataway, NJ, USA, 2014; pp. 277–278. [Google Scholar]
- Sano, M.; Higaki, M. A linearly polarized patch antenna with a continuously reconfigurable polarization plane. IEEE Trans. Antennas Propag. 2019, 67, 5678–5683. [Google Scholar] [CrossRef]
- Shi, H.; Chen, B.; Chen, M.; Sun, K. A polarization reconfigurable antenna with continuously tunable linear polarization angle. In Proceedings of the 2022 IEEE MTT-S International Microwave Workshop Series on Advanced Materials and Processes for RF and THz Applications (IMWS-AMP), Guangzhou, China, 27–29 November 2022; IEEE: Piscataway, NJ, USA, 2022; pp. 1–3. [Google Scholar]
- Wang, S.; Yang, D.; Geyi, W.; Zhao, C.; Ding, G. Polarization-reconfigurable antenna using combination of circular polarized modes. IEEE Access 2021, 9, 45622–45631. [Google Scholar] [CrossRef]
- Balanis, C.A. Antenna Theory: Analysis and Design; John Wiley & Sons: Hoboken, NJ, USA, 2016. [Google Scholar]
- Xie, C.F.; Rao, K.J. Electromagnetic Fields and Waves; Higher Education Press: Beijing, China, 2006. [Google Scholar]
- Anelli, F.; Loconsole, A.M.; Losito, R.; Prudenzano, F. Broadband Circularly Polarized Antenna Array via Metasurface and Partially Emptied Substrate. IEEE Access 2025, 13, 158316–158321. [Google Scholar] [CrossRef]
- Ushijima, Y.; Nishiyama, E.; Aikawa, M. Dual-polarized microstrip array antenna with orthogonal feed circuit. In Proceedings of the 2011 IEEE International Symposium on Antennas and Propagation (APSURSI), Spokane, WA, USA, 3–8 July 2011; IEEE: Piscataway, NJ, USA, 2011; pp. 561–564. [Google Scholar]


















| Parameter | Value (mm) | Parameter | Value (mm) |
|---|---|---|---|
| L0 | 56 | d4 | 2 |
| L1 | 41.6 | r1 | 9.8 |
| Lf | 17.7 | r2 | 6.5 |
| wf | 3 | r3 | 3 |
| d1 | 9.3 | d2 | 6 |
| d0 | 11 | d3 | 6 |
| r4 | 2.05 | r0 | 0.65 |
| r5 | 1.75 | d5 | 4 |
| Ref. | Polarization Modes | Implementation Method | Polarization Isolation/dB | Frequency/GHz | Relative Bandwidth | Overlapped Bandwidth |
|---|---|---|---|---|---|---|
| [8] | VP/HP LHCP/RHCP | polarization reconfiguration (PIN) | 20 14 | 1.65–2.25 1.65–2.2 | 30.7% 28.6% | 28.6% |
| [9] | LP LHCP/RHCP | polarization reconfiguration (mechanically) | 20 15 | 24–38 26–38 | 45.2% 37.5% | 37.5% |
| [14] | VP/HP | dual-linear polarization | 20 | 5.15–7.50 | 37.2% | 37.2% |
| [17] | ±45° LHCP/RHCP | dual-linear polarization | 18.7 15.6 | 2.29–2.55 2.32–2.55 | 10.74% 9.45% | 9.45% |
| [18] | VP/HP LHCP/RHCP | dual-linear polarization | 15 14.3 | 1.66–2.05 1.68–2.00 | 21.02% 17.39% | 17.39% |
| [21] | LP LHCP/RHCP | dual-circular polarization | 20 | 4.7–5.4 4.8–5.4 | 13.86% 11.76% | 11.76% |
| [23] | LP LHCP/RHCP | dual-circular polarization | -- | 2.34–2.66 2.29–2.60 | 12.8% 12.68% | 10.53% |
| This work | LP LHCP/RHCP | dual-circular polarization | 26 15 | 4–8 4.1–8 | 66.7% 64.5% | 64.5% |
Disclaimer/Publisher’s Note: The statements, opinions and data contained in all publications are solely those of the individual author(s) and contributor(s) and not of MDPI and/or the editor(s). MDPI and/or the editor(s) disclaim responsibility for any injury to people or property resulting from any ideas, methods, instructions or products referred to in the content. |
© 2025 by the authors. Licensee MDPI, Basel, Switzerland. This article is an open access article distributed under the terms and conditions of the Creative Commons Attribution (CC BY) license (https://creativecommons.org/licenses/by/4.0/).
Share and Cite
Wang, X.; Zhou, H.; Wang, X.; Lei, X.; Hao, B.; Zhong, M.; Zhou, C. A Wideband Multi-Polarized Microstrip Antenna with High Polarization Isolation Based on Dual-Circular Polarization. Micromachines 2025, 16, 1209. https://doi.org/10.3390/mi16111209
Wang X, Zhou H, Wang X, Lei X, Hao B, Zhong M, Zhou C. A Wideband Multi-Polarized Microstrip Antenna with High Polarization Isolation Based on Dual-Circular Polarization. Micromachines. 2025; 16(11):1209. https://doi.org/10.3390/mi16111209
Chicago/Turabian StyleWang, Xuenan, Hongcheng Zhou, Xinhui Wang, Xia Lei, Boyang Hao, Mian Zhong, and Chao Zhou. 2025. "A Wideband Multi-Polarized Microstrip Antenna with High Polarization Isolation Based on Dual-Circular Polarization" Micromachines 16, no. 11: 1209. https://doi.org/10.3390/mi16111209
APA StyleWang, X., Zhou, H., Wang, X., Lei, X., Hao, B., Zhong, M., & Zhou, C. (2025). A Wideband Multi-Polarized Microstrip Antenna with High Polarization Isolation Based on Dual-Circular Polarization. Micromachines, 16(11), 1209. https://doi.org/10.3390/mi16111209

