-
Diffusion Basis Restricted Fraction as a Putative Magnetic Resonance Imaging Marker of Neuroinflammation: Histological Evidence, Diagnostic Accuracy, and Translational Potential -
Is a Bacteriophage Approach for Musculoskeletal Infection Management an Alternative to Conventional Therapy? -
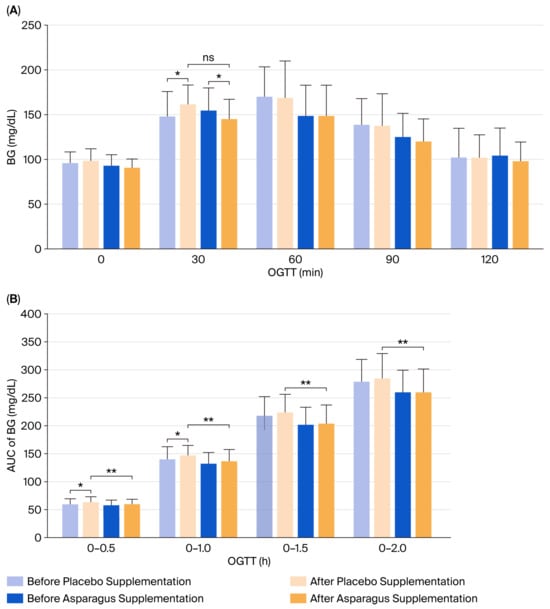
Short-Term In Vitro Culture of Human Ovarian Tissue: A Comparative Study of Serum Supplementation for Primordial Follicle Survival -
Assessment of Hypertension in Hemodialysis Patients with the Concomitant Use of Peridialytic and Interdialytic Ambulatory Blood Pressure Measurements
Journal Description
Life
- Open Access— free for readers, with article processing charges (APC) paid by authors or their institutions.
- High Visibility: indexed within Scopus, SCIE (Web of Science), PubMed, PMC, CAPlus / SciFinder, and other databases.
- Journal Rank: JCR - Q1 (Biology) / CiteScore - Q1 (Paleontology)
- Rapid Publication: manuscripts are peer-reviewed and a first decision is provided to authors approximately 19.3 days after submission; acceptance to publication is undertaken in 2.6 days (median values for papers published in this journal in the first half of 2025).
- Recognition of Reviewers: reviewers who provide timely, thorough peer-review reports receive vouchers entitling them to a discount on the APC of their next publication in any MDPI journal, in appreciation of the work done.
- Testimonials: See what our editors and authors say about Life.
- Companion journals for Life include: Physiologia and Hydrobiology.
Latest Articles
Highly Accessed Articles
Latest Books
E-Mail Alert
News
Topics
Deadline: 20 December 2025
Deadline: 31 December 2025
Deadline: 31 January 2026
Deadline: 31 March 2026
Conferences
Special Issues
Deadline: 10 December 2025
Deadline: 12 December 2025
Deadline: 15 December 2025
Deadline: 15 December 2025























