- Article
Rapid Smartphone Colorimetric Determination of Starch and Ultraviolet Spectrophotometry Quantification of Lignin in Chinese Chrysanthemum Teas
- Wenchen Li and
- Weiying Lu
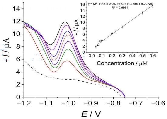
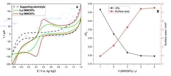
Chrysanthemum, a traditional medicinal and edible plant, possesses diverse health-promoting properties attributed to its rich profile of bioactive compounds. However, the intrinsic quality, influenced by the composition of fundamental components like...

