Highly Sensitive Detection Method of Gas Based on the Fabry–Pérot Cavity Using Terahertz Frequency-Domain Spectroscopy
Abstract
1. Introduction
2. Materials and Methods
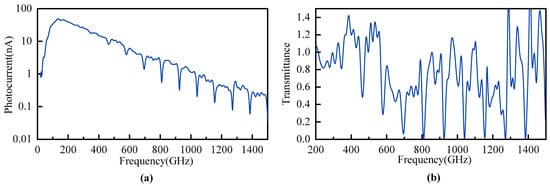
2.1. Terahertz Wave Generation and Detection System
2.2. Vacuum Gas Chamber Construction and Optical Path Modification
2.3. The Design of the Fabry–Pérot Resonator
3. Experimental Details
3.1. Modulation of Gaseous Concentration
3.2. Data Processing Methods
3.3. Center Frequency Adjustment and Coupling Mode Selection
4. Results and Discussion
4.1. CO Absorption Spectrum and Absorption Peak Selection
4.2. Mode Selection
4.3. Cavity Enhancement Effect and Detection Limit
5. Conclusions
Author Contributions
Funding
Data Availability Statement
Acknowledgments
Conflicts of Interest
Abbreviations
| THz | Terahertz |
| THz-FDS | Terahertz Frequency Domain Spectrometer |
| FP | Fabry–Pérot |
References
- Fine, G.F.; Cavanagh, L.M.; Afonja, A.; Binions, R. Metal Oxide Semi-Conductor Gas Sensors in Environmental Monitoring. Sensors 2010, 10, 5469–5502. [Google Scholar] [CrossRef]
- Kim, S.-J.; Hwang, I.-S.; Kang, Y.C.; Lee, J.-H. Design of Selective Gas Sensors Using Additive-Loaded In2O3 Hollow Spheres Prepared by Combinatorial Hydrothermal Reactions. Sensors 2011, 11, 10603–10614. [Google Scholar] [CrossRef] [PubMed]
- Pijolat, C.; Pupier, C.; Sauvan, M.; Tournier, G.; Lalauze, R. Gas detection for automotive pollution control. Sens. Actuators B Chem. 1999, 59, 195–202. [Google Scholar] [CrossRef]
- Hou, C.; Li, J.; Huo, D.; Luo, X.; Dong, J.; Yang, M.; Shi, X. A portable embedded toxic gas detection device based on a cross-responsive sensor array. Sens. Actuators B Chem. 2012, 161, 244–250. [Google Scholar] [CrossRef]
- Lu, G.; Ocola, L.E.; Chen, J. Gas detection using low-temperature reduced graphene oxide sheets. Appl. Phys. Lett. 2009, 94, 083111. [Google Scholar] [CrossRef]
- Sauli, F. GEM: A new concept for electron amplification in gas detectors. Nucl. Instrum. Methods Phys. Res. Sect. Accel. Spectrometers Detect. Assoc. Equip. 1997, 386, 531–534. [Google Scholar] [CrossRef]
- Arunajatesan, V.; Subramaniam, B.; Hutchenson, K.W.; Herkes, F.E. In situ FTIR investigations of reverse water gas shift reaction activity at supercritical conditions. Chem. Eng. Sci. 2007, 62, 5062–5069. [Google Scholar] [CrossRef]
- Hodgkinson, J.; Tatam, R.P. Optical gas sensing: A review. Meas. Sci. Technol. 2013, 24, 012004. [Google Scholar] [CrossRef]
- Ingle, J.D., Jr.; Stanley, R.C. Spectrochemical Analysis; Prentice Hall: Saddle River, NJ, USA, 1988. [Google Scholar]
- Cao, C.; Zhang, X.H.; Zhao, X.Y.; Zhang, H. Review of terahertz time domain and frequency domain spectroscopy. Spectrosc. Spectr. Anal. 2018, 38, 2688–2699. [Google Scholar]
- White, J.U. Long Optical Paths of Large Aperture. J. Opt. Soc. Am. 1942, 32, 285–288. [Google Scholar] [CrossRef]
- Grassi, L.; Guzzi, R. Theoretical and practical consideration of the construction of a zero-geometric-loss multiple-pass cell based on the use of monolithic multiple-face retroreflectors. Appl. Opt. 2001, 40, 6062–6071. [Google Scholar] [CrossRef] [PubMed]
- Ni, Z.; Shao, J.; Zhou, H.; Wang, K. Research on trace gas measurement by ICOS with WMS. In Proceedings of the SPIE/COS Photonics Asia, Beijing, China, 12–14 October 2016; Zhang, C., Zhang, X.-C., Tani, M., Eds.; p. 1003028. [Google Scholar] [CrossRef]
- Safronova, M.S.; Johnson, W.R. All-order methods for relativistic atomic structure calculations. Can. J. Phys. 2005, 83, 309–324. [Google Scholar]
- Melinger, J.S.; Yang, Y.; Mandehgar, M.; Grischkowsky, D. THz detection of small molecule vapors in the atmospheric transmission windows. Opt. Express 2012, 20, 6788–6807. [Google Scholar] [CrossRef]
- Meinen, J.; Thieser, J.; Platt, U.; Leisner, T. Technical Note: Using a high finesse optical resonator to provide a long light path for differential optical absorption spectroscopy: CE-DOAS. Atmos. Chem. Phys. 2010, 10, 3901–3914. [Google Scholar] [CrossRef]
- Platt, U.; Meinen, J.; Pohler, D.; Leisner, T. Broadband Cavity Enhanced Differential Optical Absorption Spectroscopy (CE-DOAS)—Applicability and corrections. Atmos. Meas. Tech. 2009, 2, 713–723. [Google Scholar] [CrossRef]
- Zheng, K.; Zheng, C.; Zhang, H.; Guan, G.; Zhang, Y.; Wang, Y.; Tittel, F.K. A novel gas sensing scheme using near-infrared multi-input multi-output off-axis integrated cavity output spectroscopy (MIMO-OA-ICOS). Spectrochim. Acta Part A Mol. Biomol. Spectrosc. 2021, 256, 119745. [Google Scholar] [CrossRef]
- Ji, X.; Li, W.; Song, J.; Wei, L.; Liu, X.S. CEAS: Cis-regulatory element annotation system. Nucleic Acids Res. 2006, 34, W551–W554. [Google Scholar] [CrossRef]
- Hindle, F.; Bocquet, R.; Pienkina, A.; Cuisset, A.; Mouret, G. Terahertz gas phase spectroscopy using a high-finesse Fabry–Pérot cavity. Optica 2019, 6, 1449–1454. [Google Scholar] [CrossRef]
- Long, J.P.; Simpkins, B.S. Coherent Coupling between a Molecular Vibration and Fabry–Perot Optical Cavity to Give Hybridized States in the Strong Coupling Limit. ACS Photonics 2015, 2, 130–136. [Google Scholar] [CrossRef]
- Shalabney, A.; George, J.; Hutchison, J.; Pupillo, G.; Genet, C.; Ebbesen, T.W. Coherent coupling of molecular resonators with a microcavity mode. Nat. Commun. 2015, 6, 5981. [Google Scholar] [CrossRef] [PubMed]
- Damari, R.; Weinberg, O.; Krotkov, D.; Demina, N.; Akulov, K.; Golombek, A.; Schwartz, T.; Fleischer, S. Strong coupling of collective intermolecular vibrations in organic materials at terahertz frequencies. Nat. Commun. 2019, 10, 3248. [Google Scholar] [CrossRef] [PubMed]
- Shi, X.; Zhao, Z.; Han, Z. Highly sensitive and selective gas sensing using the defect mode of a compact terahertz photonic crystal cavity. Sens. Actuators B Chem. 2018, 274, 188–193. [Google Scholar] [CrossRef]
- Wu, Y.; Chen, K.; Fahad, A.K.; Wang, H.; Zheng, X.; Ruan, C. The enhancement detection method based on the Fabry–Pérot cavity using terahertz frequency-domain spectroscopy. Spectrochim. Acta Part A Mol. Biomol. Spectrosc. 2025, 327, 125293. [Google Scholar] [CrossRef] [PubMed]
- Ying, H.; Wang, X.H.; Guo, L.T.; Zhang, C.L. Terahertz time-domain spectroscopy study of carbon monoxide. Spectrosc. Spectr. Anal. 2006, 26, 1008–1011. [Google Scholar]
- Shimizu, N.; Matsuyama, K.; Hosako, I. Absorption spectra of hydrogen chloride and carbon monoxide in smoke. In Proceedings of the 2012 37th International Conference on Infrared, Millimeter, and Terahertz Waves, Wollongong, NSW, Australia, 23–28 September 2012; IEEE: New York, NY, USA; pp. 1–2. [Google Scholar] [CrossRef]
- Su, Y.; Zheng, X.; Deng, X. Terahertz Spectrum Analysis Based on Empirical Mode Decomposition. J. Infrared Milli. Terahz. Waves 2017, 38, 972–979. [Google Scholar] [CrossRef]
- Pinheiro, P.; Schouler, M.C.; Gadelle, P.; Mermoux, M.; Dooryhée, E. Effect of hydrogen on the orientation of carbon layers in deposits from the carbon monoxide disproportionation reaction over Co/Al2O3 catalysts. Carbon 2000, 38, 1469–1479. [Google Scholar] [CrossRef]
- Kilcullen, P.; Hartley, I.D.; Jensen, E.T.; Reid, M. Terahertz Time Domain Gas-phase Spectroscopy of Carbon Monoxide. J. Infrared Milli. Terahz. Waves 2015, 36, 380–389. [Google Scholar] [CrossRef]
- Zhao, C.; Wang, W.; Zhu, N.; Song, Z.; Chao, X. Quantitative, multi-species gas sensing using broadband terahertz time-domain spectroscopy. Meas. Sci. Technol. 2024, 35, 045503. [Google Scholar] [CrossRef]
- Liu, X.; Ma, Y. Sensitive carbon monoxide detection based on light-induced thermoelastic spectroscopy with a fiber-coupled multipass cell [Invited]. Chin. Opt. Lett. 2022, 20, 031201. [Google Scholar] [CrossRef]
- Liu, H.; Zhang, Z.; Yang, Y.; Chen, T.; Zhang, C. Identification terahertz spectra for the dyestuffs based on principal component analysis and Savitzky-Golay filter. Optik 2018, 172, 668–673. [Google Scholar] [CrossRef]
- Duvillaret, L.; Garet, F.; Coutaz, J.-L. Highly precise determination of optical constants and sample thickness in terahertz time-domain spectroscopy. Appl. Opt. 1999, 38, 409–415. [Google Scholar] [CrossRef]
- Ruan, C.; Kong, D.; Dai, J.; Chen, K.; Guo, S.; Wu, X. High-resolution frequency-domain spectroscopy for water vapor with coherent and continuous terahertz wave. Chin. Opt. Lett. 2019, 17, 073001. [Google Scholar]
- Wietzke, S.; Jansen, C.; Reuter, M.; Jung, T.; Hehl, J.; Kraft, D.; Chatterjee, S.; Greiner, A.; Koch, M. Thermomorphological study of the terahertz lattice modes in polyvinylidene fluoride and high-density polyethylene. Appl. Phys. Lett. 2010, 97, 022901. [Google Scholar] [CrossRef]
- Egan, P.; Stone, J.A. Absolute refractometry of dry gas to ±3 parts in 109. Appl. Opt. 2011, 50, 3076–3086. [Google Scholar] [CrossRef] [PubMed]
- Zhong, X.H. Modern Fundamentals of Optics; Peking University Press: Beijing, China, 2003. [Google Scholar]
- Hernandez, G. Fabry–Pérot Interferometers; Cambridge University Press: Cambridge, UK, 1986; ISBN 0521322383. [Google Scholar]
- Chilwell, J.; Hodgkinson, I. Thin-films field-transfer matrix theory of planar multilayer waveguides and reflection from prism-loaded waveguides. J. Opt. Soc. Am. A 1984, 1, 742–753. [Google Scholar] [CrossRef]
- Born, M.; Wolf, E. Principles of Optics: Electromagnetic Theory of Propagation, Interference and Diffraction of Light, 7th ed.; Publishing House of Electronics Industry: Beijing, China, 2016; pp. 49–63. [Google Scholar]
- Xiong, Q.X.; Liu, F.; Chang, Q. Signals and Systems; Higher Education Press: Beijing, China, 2011; pp. 105–121. [Google Scholar]
- Liu, S.; Dong, X.; Sun, J.; Shum, P. Free-spectral range tunable Fabry–Perot filter with superimposed fiber Bragg gratings. Opt. Commun. 2009, 282, 4729–4732. [Google Scholar]
- Levitzki, A.; Mishani, E. Tyrphostins and Other Tyrosine Kinase Inhibitors. Annu. Rev. Biochem. 2006, 75, 93–109. [Google Scholar] [CrossRef]
- Delogu, F.; Mulas, G.; Garroni, S. Hydrogenation of carbon monoxide under mechanical activation conditions. Appl. Catal. A Gen. 2009, 366, 201–205. [Google Scholar] [CrossRef]
- Shen, F.; Shi, J.; Chen, T.-Y.; Shi, F.; Li, Q.-Y.; Zhen, J.-Z.; Li, Y.-F.; Dai, Y.-N.; Yang, B.; Qu, T. Electrochemical reduction of CO2 to CO over Zn in propylene carbonate/tetrabutylammonium perchlorate. J. Power Sources 2018, 378, 555–561. [Google Scholar] [CrossRef]
- Araki, M.; Tabata, Y.; Shimizu, N.; Matsuyama, K. Terahertz spectroscopy of CO and NO: The first step toward temperature and concentration detection for combustion gases in fire environments. J. Mol. Spectrosc. 2019, 361, 34–39. [Google Scholar] [CrossRef]
- Withayachumnankul, W.; Fischer, B.M.; Lin, H.; Abbott, D. Uncertainty in terahertz time-domain spectroscopy measurement. J. Opt. Soc. Am. B 2008, 25, 1059–1072. [Google Scholar] [CrossRef]
- Kong, D.-Y.; Wu, X.-J.; Wang, B.; Gao, Y.; Dai, J.; Wang, L.; Ruan, C.-J.; Miao, J.-G. High resolution continuous wave terahertz spectroscopy on solid-state samples with coherent detection. Opt. Express 2018, 26, 17964–17976. [Google Scholar] [CrossRef] [PubMed]
- Lyons, J.R.; Herde, H.; Stark, G.; Blackie, D.S.; Pickering, J.C.; De Oliveira, N. VUV pressure-broadening in sulfur dioxide. J. Quant. Spectrosc. Radiat. Transf. 2018, 210, 156–164. [Google Scholar] [CrossRef]











| Experimental Results/THz | HITRAN Database Results/THz |
|---|---|
| 0.345 | 0.346 |
| 0.460 | 0.461 |
| 0.576 | 0.576 |
| 0.692 | 0.691 |
| 0.808 | 0.807 |
| 0.921 | 0.922 |
| 1.037 | 1.037 |
| 1.153 | 1.152 |
| 1.269 | 1.267 |
| 1.381 | 1.382 |
Disclaimer/Publisher’s Note: The statements, opinions and data contained in all publications are solely those of the individual author(s) and contributor(s) and not of MDPI and/or the editor(s). MDPI and/or the editor(s) disclaim responsibility for any injury to people or property resulting from any ideas, methods, instructions or products referred to in the content. |
© 2025 by the authors. Licensee MDPI, Basel, Switzerland. This article is an open access article distributed under the terms and conditions of the Creative Commons Attribution (CC BY) license (https://creativecommons.org/licenses/by/4.0/).
Share and Cite
Wu, Y.; Chen, K.; Fahad, A.K.; Han, L.; Ruan, C. Highly Sensitive Detection Method of Gas Based on the Fabry–Pérot Cavity Using Terahertz Frequency-Domain Spectroscopy. Chemosensors 2025, 13, 394. https://doi.org/10.3390/chemosensors13110394
Wu Y, Chen K, Fahad AK, Han L, Ruan C. Highly Sensitive Detection Method of Gas Based on the Fabry–Pérot Cavity Using Terahertz Frequency-Domain Spectroscopy. Chemosensors. 2025; 13(11):394. https://doi.org/10.3390/chemosensors13110394
Chicago/Turabian StyleWu, Yubo, Kanglong Chen, Ayesha Kosar Fahad, Lulu Han, and Cunjun Ruan. 2025. "Highly Sensitive Detection Method of Gas Based on the Fabry–Pérot Cavity Using Terahertz Frequency-Domain Spectroscopy" Chemosensors 13, no. 11: 394. https://doi.org/10.3390/chemosensors13110394
APA StyleWu, Y., Chen, K., Fahad, A. K., Han, L., & Ruan, C. (2025). Highly Sensitive Detection Method of Gas Based on the Fabry–Pérot Cavity Using Terahertz Frequency-Domain Spectroscopy. Chemosensors, 13(11), 394. https://doi.org/10.3390/chemosensors13110394

