Abstract
A sensitive and cost-effective voltammetric sensor using a carbon-containing electrode (CCE) with a renewable surface modified with multi-walled carbon nanotubes (MWCNTs) was developed for the determination of prednisolone in pharmaceuticals and blood serum. The morphological effects of the functionalization process on the MWCNTs were investigated by transmission electron microscopy (TEM). Analysis of the micrographs indicated that the functionalized nanotubes exhibited a higher density of surface defects and a reduced tendency to form bundles compared to their pristine counterparts. Energy dispersive spectrometry (EDS) confirmed that residual iron particles were removed from the MWCNTs during acid functionalization, demonstrating their intrinsic conductivity. The MWCNTs/CCE was characterized by electrochemical impedance spectroscopy (EIS) and cyclic voltammetry (CV). The electrochemical behavior of prednisolone in Britton–Robinson buffer at the MWCNTs/CCE was investigated by linear sweep cathodic voltammetry, while the quantitative determination was performed by differential pulse voltammetry (DPV). Under optimal conditions, the sensor exhibited a linear concentration range from 0.04 to 0.6 μM with a detection limit of 8 nM. The proposed method was successfully applied in the determination of prednisolone in pharmaceutical formulations and blood serum.
1. Introduction
Recently, the number of patients prescribed corticosteroids, including prednisolone—used to treat various allergic, endocrine, and autoimmune diseases, such as asthma—has increased [1,2]. Prednisolone (C21H28O5) is a synthetic glucocorticoid (Figure 1) that is available in various pharmaceutical forms, including drops, ointments, capsules, and tablets. It can be administered via both internal and external routes.
Figure 1.
Chemical structure of prednisolone.
The analysis of prednisolone in different matrices reveals several important aspects. Firstly, the quantification of hormones in biological fluids is an important clinical practice. This allows physicians to assess therapeutic efficacy, monitor response to treatment, and optimize dosing based on laboratory testing. Secondly, monitoring corticosteroid levels is fundamental to maintaining the integrity of competition in sports medicine and doping control. The use of prednisolone by athletes is subject to strict regulations, especially in official competitions. The current World Anti-Doping Agency (WADA) standards set an acceptable limit for prednisolone blood concentration of 100 ng/mL [3]. Thirdly, pharmaceutical quality control is an important aspect of ensuring the safety and efficacy of medicines.
Conventional analytical methods, such as immunoassay techniques [4,5], high-performance liquid chromatography (HPLC) [6], mass spectrometry [7], and luminescence [8], offer high analytical accuracy but are often characterized by long processing times and the need for specialized equipment. These limitations have stimulated the demand for simplified analytical alternatives and have led to an increased research focus on electrochemical platforms. A bibliometric analysis shows a pronounced upward trend in publications dealing with the development of electrochemical sensors for the sensitive determination of hormones in various matrices [9,10]. The obvious advantages of electrochemical sensors, such as rapid analysis, sensitivity and selectivity, cost-effectiveness and portability, together with their compatibility with mobile applications and digital technologies, offer new perspectives for hormone concentration monitoring [11,12].
The pursuit of enhanced sensitivity and selectivity in electroanalytical chemistry has driven extensive research into advanced electrode modifiers [13]. A wide range of materials have been explored for electrode surface modification, including metal nanoparticles, conductive polymers, metal–organic frameworks, and various carbon nanomaterials [14,15,16]. Among these, nanocarbon materials have emerged as particularly promising modifiers due to their exceptional electrical conductivity, large specific surface area, and chemical stability. They are often used solely or in combination with other materials: reduced graphene oxide nanosheets [17], AuNPts–fullerene [18], CuS-doped highly conductive carbon materials [19], and CoMn2O4/CQDs [20].
Multi-walled carbon nanotubes (MWCNTs) represent one of the most extensively studied carbon nanomaterials, serving both as standalone modifiers and as components in hybrid composites with metal oxides, polymers, or other nanomaterials. These modified electrodes have demonstrated remarkable performance across various analytical applications, from pharmaceutical analysis to environmental monitoring [21]. While carbon-based sensors and complex composites demonstrate significant advances in analytical sensitivity, their implementation often relies on conventional, non-renewable electrode substrates. This reliance can present challenges regarding surface fouling when analyzing complex matrices, potentially affecting signal stability and long-term measurement reproducibility. These factors represent important considerations for applications that require routine monitoring. Additionally, the growing sophistication of multi-material modifiers, despite their performance benefits, may introduce fabrication complexities and obscure the fundamental contribution of individual components to the sensing mechanism.
The electrochemical behavior of prednisolone, as can be seen from its chemical structure, shows a redox activity that is due to two different electroactive centers—oxidative and reductive sites. Various working electrodes were used for quantitative prednisolone determination in the anodic range, including a glassy carbon electrode [22], a gold electrode modified with C60 (C60/Au), an indium tin oxide electrode modified with nanogold (nano Au/ITO) [23], as well as a diamond electrode doped with boron [24].
However, most publications focus on prednisolone determination in the cathodic range due to the improved voltammetric response and the greater stability of the reduction products compared to oxidative pathways. Analytical measurements have been performed using both mercury-based electrodes [25,26] and carbon electrodes modified with metal nanoparticles, nanocarbon materials, or their hybrid composites, such as CN-Pd-IL/CPE [27] and MWCNTs-IL-L-Lysine-GCE [28].
The development of cost-effective electrode modifiers that enable highly sensitive detection of analytes remains a fundamental research priority in modern electroanalytical chemistry and pharmaceutical quality control. While MWCNTs have already been used in combination with other modifiers, their individual application offers the potential to develop simpler, faster, and more cost-effective sensors. This approach would not only lead to a better understanding of the specific role of MWCNTs in the electrochemical reduction mechanism of prednisolone but could also serve to optimize existing methods for the analysis of biological fluids and drugs.
In this work, we present a novel electrochemical sensor that addresses these practical challenges through a fundamental redesign of the sensing platform. We report a sensitive and cost-effective voltammetric sensor for prednisolone based on a carbon-containing electrode (CCE) with a mechanically renewable surface modified with multi-walled carbon nanotubes (MWCNTs). The key innovation of this platform is not merely the application of MWCNTs but their strategic integration with a renewable substrate. This unique combination ensures exceptional resistance to fouling and offers unparalleled operational stability and reproducibility. Moreover, by achieving a superior detection limit using MWCNTs as a standalone modifier, we demonstrate that high sensitivity can be attained without recourse to complex composite materials, thereby streamlining sensor fabrication and providing clearer insight into electrocatalytic mechanisms. This approach prioritizes practical robustness alongside analytical performance, offering a significant advantage for the reliable analysis of pharmaceuticals and biological fluids.
2. Materials and Methods
2.1. Reagents
Prednisolone (>99% HPLC), MWCNTs powder (>98% carbon basis; O.D. × L 6−13 nm × 2.5−20 μm), and 1,2 Dichloroethane (ACS reagent, ≥99.0%) were purchased from Sigma-Aldrich (Merck KGaA, Darmstadt, Germany). Potassium chloride (KCl), potassium hexacyanoferrate (II) trihydrate (K4[Fe(CN)6]·3H2O), Potassium hexacyanoferrate (III) (K3[Fe(CN)6]), sulfuric acid (H2SO4), and nitric acid (HNO3) were purchased from Chimmed (Moscow, Russia). All other chemical reagents were of analytical grade and used as received. Stock solutions of prednisolone were prepared in double distilled water and stored at +4 °C. High purity nitrogen gas was used to remove dissolved oxygen from the supporting electrolyte.
2.2. Characterization Instruments
Electrochemical measurements, including CV and DPV, were performed using a TA-Lab voltammetric analyzer (Tomanalyt, Tomsk, Russia). The following parameters were selected for DPV measurements: step potential of 5 mV, scan rate of 50 mV/s, modulation amplitude of 50 mV, and potential range from −0.5 V to −1.7 V. The electrochemical measurements were carried out in a three-electrode quartz cell (20 cm3) with either bare CCE or MWCNTs/CCE. Prior to the measurements, the electrode surface was renewed by removing a 0.3–0.5 mm thick layer with a special surface cutter (Tomanalyt, Tomsk, Russia). Ag/AgCl (1 M KCl) electrodes were used as reference/counter electrodes and stored in 1 M KCl.
The EIS was carried out with a potentiostat/galvanostat PalmSens 4 (Palmsens B.V., Houten, The Netherlands). For faradaic impedance spectroscopy measurements, the following parameters were set: voltage amplitude of Eac = 0.01 V; frequency range from 0.1 to 105 Hz, and Edc was determined as the equilibrium potential of the [Fe(CN)6]3–/4– redox pair. All measurements were performed in 0.1 M KCl containing 5 mM [Fe(CN)6]3–/4–. Impedance spectra were fitted using the PSTrace 5.8 software (Palmsens B.V., Houten, The Netherlands).
The structure of MWCNTs during functionalization was investigated by TEM on a 200 kV JEM 2100 microscope (JEOL, Tokyo, Japan). Quantitative elemental analysis was carried out by energy dispersive spectrometer (EDS) INCA Energy (Oxford Instruments, Oxford, UK) mounted on TEM. The parameters for TEM/EDS analysis were as follows: accelerating voltage of 200 kV, electron probe broadening ~12–15 nm, dead time <10%, and scanning time of 550 s with a total number of pulses ~105.
A 50 W ultrasonic bath (YAXUN, Shenzhen, China) was employed for two purposes: to dissolve standard hormone and pharmaceutical samples and to functionalize the MWCNTs. After functionalization, the MWCNTs suspensions were purified by centrifugation at 4400 rpm using a Centrifuge 5702 R (Eppendorf, Hamburg, Germany).
2.3. Preparation of the MWCNTs/CCE Sensor
A solid composite electrode with a 30% carbon content was used as the base working electrode. The electrode body is composed of polyethylene filled with an electrically conductive mixture of polyethylene (70%) and technical carbon (30%). A key feature of this electrode is its easily renewable surface, which was regenerated before each experiment by cutting a thin layer (0.1–0.3 mm) using a dedicated cutter. This process exposes a fresh, unpassivated, and reproducible carbon surface, minimizing passivation effects and ensuring consistent baseline performance [29,30,31].
Multi-walled carbon nanotubes (3 mg) were acid-functionalized by sonication (80 W, 60 °C) for 8 h in a 3 mL mixture of concentrated H2SO4 and HNO3 (3:1 v/v). The resulting product was centrifuged at 4400 rpm, and the supernatant was discarded. The functionalized MWCNTs were then repeatedly washed with distilled water via centrifugation until the supernatant reached a neutral pH. The functionalized MWCNTs were dispersed in 1,2-dichloroethane at a concentration of 1 mg/mL by sonication (80 W) for 2 h. Subsequently, 4 µL of this suspension was drop-casted directly onto the freshly renewed surface of the CCE. The modified electrode (MWCNT/CCE) was used within 1 min of modifier application to prevent any inconsistencies due to the rapid evaporation of the solvent.
2.4. Preparation of Real Sample for Analysis
The pharmaceutical formulations “Prednisolone tablets” (5 mg per tablet) and “Prednisolone ointment” (50 mg per 100 g of ointment) were supplied by a local pharmacy. An amount of 0.25 g of crushed tablets (containing approximately 5 mg of prednisolone) was transferred into a 100 mL volumetric flask. After adding 80 mL of ethanol, the mixture was sonicated (60 W, 10 min), cooled to room temperature, and then made up with ethanol. The resulting solution was filtered prior to analysis.
Ointment samples (50 g) were extracted with ethanol (80 mL), sonicated (60 W, 10 min, 50 °C), cooled to room temperature, diluted with ethanol to 100 mL, and filtered.
A 10 μL aliquot of the pharmaceutical filtrate (tablets or ointment) was added to the electrochemical cell containing 10 mL of Britton–Robinson buffer (pH 2.0) as supporting electrolyte. Dissolved oxygen was removed by purging with nitrogen gas for 300 s prior to voltammetric analysis. Prednisolone concentration was determined using the standard addition method.
The analytical performance of the sensor was also investigated in a blood serum matrix. The blood serum samples were spiked with known concentrations of prednisolone and then quantified using the standard addition method.
3. Results and Discussion
3.1. MWCNTS Surface Characterization
Due to their high surface energy, MWCNTs exhibit a strong tendency to agglomerate, impeding their dispersion in solvents and limiting their effectiveness as functional modifiers. Therefore, surface functionalization is essential to improve the polarization and electrical conductivity of MWCNTs. The degree of conductivity improvement depends on the functionalization strategy employed, a critical factor for optimizing MWCNTs’ performance in electrochemical applications [32]. One of the most common approaches is chemical functionalization by oxidation, in which oxygen-containing groups (e.g., carboxyl or hydroxyl) are introduced onto the surface of the nanotubes. These functional groups facilitate the formation of stable and homogeneous MWCNT suspensions in various solvents [33].
This study employed TEM to monitor structural changes in MWCNTs during oxidative functionalization in a nitric–sulfuric acid mixture. The TEM image of pristine MWCNTs (Figure 2A) reveals well-ordered graphitic lattice, confirming a high structural crystallinity. Significant morphological changes occurred after an 8 h acid treatment: fragmentation of the nanotubes into shorter segments, introduction of structural defects in sidewalls, and formation of an amorphous surface layer consistent with covalent bonding of oxygen-containing functional groups (Figure 2B). The functionalization process promotes the deagglomeration of the nanotube bundles and significantly increases the density of functional groups on the surface. This increase directly improves their dispersibility in various solvents. In some reports, the conductivity of MWCNTs is attributed to residual Fe catalyst particles [34]. However, recent studies have found that acid treatment selectively removes residual catalyst particles from MWCNTs by oxidative dissolution [35]. The results, summarized in Table 1, clearly show a substantial reduction in iron (Fe) content from 0.11 at.% in the pristine MWCNTs to 0.06 at.% after functionalization, while conductivity increased (Figure 2C,D). The experimental data demonstrate that the electrical conductivity of MWCNTs is derived from their unique structure, rather than residual metallic impurities.
Figure 2.
Bright−field TEM images of MWCNTs before (A) and after 8 h acid treatment (B); EDS spectra of pristine (C) and functionalized MWCNTs (D).
Table 1.
Quantitative EDS analysis of pristine and functionalized MWCNTs.
3.2. Electrochemical Characterization of the Modified Electrode
The development of electrodes with renewable surfaces represents an ongoing challenge in modern electroanalytical chemistry. CCEs have emerged as a promising platform due to their renewable surface properties. The electrode consists of a polyethylene tube filled with a composite mixture of polyethylene (70%) and carbon (30%). The carbon component provides electrical conductivity, though its electroactive surface area remains limited and requires further modification for enhanced performance.
The electrochemical response and detection sensitivity of any analyte depend on the modifier film thickness and the resulting density of conductive particles. In systematic studies, different volumes of MWCNTs suspension (1–5 μL) were applied to the electrode surface, followed by CV characterization of 5 mM potassium ferricyanide in 0.1 M KCl. Figure 3A demonstrates a volume-dependent enhancement in both peak current and electrochemical reversibility. The electroactive surface area was calculated using the Randles–Sevcik equation (Equation (1)) [36]:
where Ip is the anodic peak current (A), n is the number of electrons (n = 1), A is the electroactive surface area (cm2), D is the diffusion coefficient (6.67·10−6 cm2/s), C is the concentration of Fe(CN)63−/Fe(CN)64− in bulk solution (C = 5 mM), and v is the scan rate (V/s) [37].
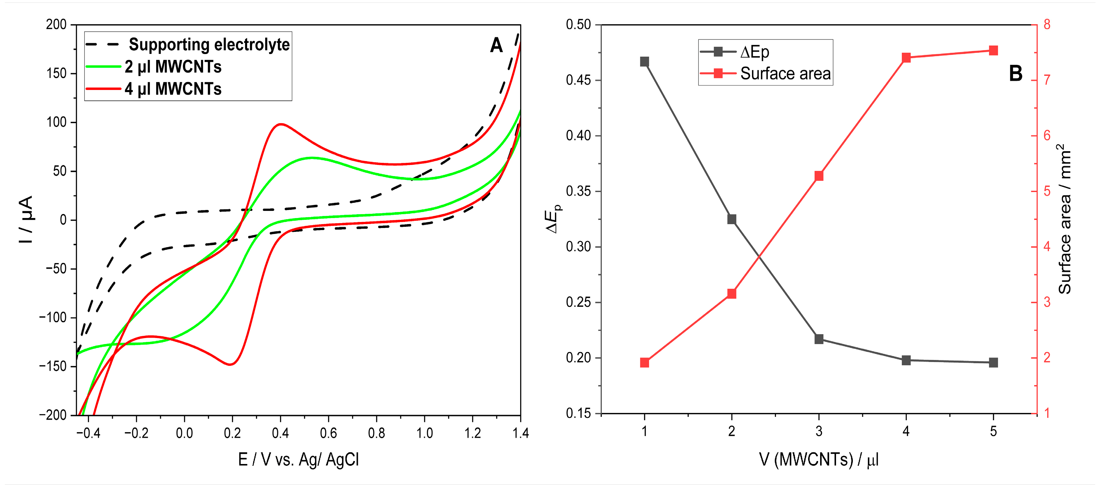
Figure 3.
(A) Cyclic voltammograms obtained at CCE, modified with 2 and 4 μL of MWCNTs in 0.1M KCl containing 5mM Fe(CN)63−/Fe(CN)64−; (B) Cyclic voltammograms parameters (∆Ep and electroactive surface area, mm2) depending on the MWCNTs volume.
As can be seen in Figure 3B, an increase in modifier volume from 1 to 4 μL leads to a proportional increase in electroactive surface area from 1.92 to 7.54 mm2, which correlates directly with increased signal intensity.
The distance of the peak potential (ΔEp) decreases significantly from 0.467 V to 0.196 V, while the ratio of cathodic-to-anodic peak current (ip,c/ip,a) approaches unity. Both criteria indicate a facilitation of oxidation–reduction processes and the transition of electrochemical reaction to conditions of reversibility [38]. It should be noted that the voltammetric responses remain essentially unchanged when the volume of modifier exceeds 4 μL, which is considered the optimal MWCNTs suspension volume. The signal-to-noise ratio (S/N) was calculated for the prednisolone cathodic peak across a range of modifier volumes (1–6 µL). As summarized in Table 2, the S/N ratio reached a clear maximum at a volume of 4 µL, while larger volumes (5–6 µL) yielded a marginally higher absolute signal; this was offset by a significant increase in baseline noise, which we attribute to the formation of a thicker, less homogeneous MWCNT film that impedes electron transfer. Consequently, the volume of 4 µL was objectively selected as the optimal condition for all subsequent experiments, as it provides the most favorable balance between signal intensity and measurement stability. The standard Fe(CN)63−/Fe(CN)64− redox system demonstrated the effectiveness of MWCNTs as a modifier for CCE through electroactive surface area enhancement.
Table 2.
Optimization of MWCNT suspension volume based on signal-to-noise ratio (S/N).
EIS also serves as a powerful analytical tool for the characterization of electrode surface modifiers employed in voltammetric applications. The technique provides a comprehensive characterization of the electrochemical processes at the interface between electrode and solution as well as an evaluation of the influence of the modifiers on the electrode reactions and the overall system characteristics. EIS measurements involve applying small-amplitude alternating potentials to the working electrode while monitoring the current response. These measurements yield frequency-dependent impedance spectra that characterize the kinetics of charge transfer, mass transport limitations, and other interfacial phenomena. Comparative analysis of modified and unmodified electrode systems quantifies alterations in interfacial resistance, double-layer capacitance, and related electrochemical parameters.
The Nyquist plot representation of electrochemical impedance spectra provides critical insights into interfacial processes through complex plane analysis, where Z′ (real impedance component) and Z″ (imaginary impedance component) reflect distinct electrochemical phenomena. The characteristic semicircular feature corresponds to charge transfer kinetics, where the arc radius is inversely proportional to the charge transfer rate. Subsequent linear segments with 45° inclination represent Warburg-type diffusion limitations.
Figure 4A shows that the bare CCE exhibits a semicircular Nyquist plot, which is characteristic of high charge transfer resistance, and no diffusion processes are observed at the bare electrode. In contrast, MWCNTs/CCE exhibits substantially reduced resistance, which is associated with improved conductivity. A linear region with a 45° slope indicates diffusion processes at the electrode–electrolyte interface.
Figure 4.
Impedance spectra of bare CCE and MWCNTs/CCE (A); MWCNTs/CCE before and after activation in 0.05 M H2SO4 (B), obtained by faradaic impedance spectroscopy in 0.1 M KCl containing 5 mM Fe(CN)63−/Fe(CN)64−. Inset shows the equivalent circuit model: Rs—solution resistance; CPE—constant phase element; Rct—charge transfer resistance; W—Warburg element.
In this work, the effect of electrochemical pretreatment with sulfuric acid on MWCNTs/CCE was investigated. The electrochemical activation was carried out at +1.1 V (vs. Ag/AgCl) for 80 s in 0.05 M H2SO4. The acidic electrochemical pretreatment reduced the charge transfer resistance to 0.744 kΩ, indicating enhanced conductivity (Figure 4B). The acid treatment increases the hydrophilic surface properties of the electrode and, thus, improves the wetting of the electrolyte. Furthermore, hydrogen ions influence the surface state of the modifier during this treatment, leading to the formation of additional surface functional groups through oxidation processes [39,40].
The electrochemical impedance data for the MWCNTs/CCE system was analyzed using the Randles–Ershler equivalent circuit model, which includes the following: solution resistance (Rs), constant phase element (CPE), charge transfer resistance (Rct), and Warburg element (W) (inset in Figure 4B). The values of charge transfer resistance (Rct) resulting from modeling the faradaic impedance spectra for bare CCE and MWCNTs/CCE before and after activation in 0.05 M H2SO4 are shown in Table 3.
Table 3.
Extrapolated parameters of impedance spectra obtained by modeling faradaic impedance data.
The data show that the bare CCE has a significantly high charge transfer resistance, indicating poor conductive properties. Modification with MWCNTs significantly improves the performance of the electrode by a 185-fold reduction in Rct. Subsequent electrochemical activation of the MWCNTs/CCE yields a further enhanced charge transfer efficiency, achieving a 246-fold decrease in Rct compared to the bare CCE. Therefore, MWCNTs/CCE subjected to electrochemical pretreatment was employed for all subsequent experimental measurements.
3.3. Electrochemical Behavior of Prednisolone at the Modified Electrode
The subsequent investigations focused on the characterization of the redox behavior of prednisolone by systematically evaluating key electrochemical parameters: peak potential, current response, pH dependence, and scan rate. These operating variables have a significant influence on the electron transfer kinetics and ultimately determine the analytical sensitivity and selectivity of the method. The effect of pH is one of the most important factors, as it influences the ionization of prednisolone molecules containing functional groups capable of protonation and deprotonation. In addition, the pH of the electrolyte fundamentally controls both the redox potential and the current response in proton-coupled electron transfer reactions. The electrochemical measurements were carried out using a standard three-electrode cell with MWCNTs/CCE as the working electrode and Ag/AgCl reference/counter electrodes. Britton–Robinson buffer solutions with varying pH values served as the background electrolyte. Voltammograms were recorded by first-derivative linear sweep voltammetry.
Figure 5 shows a systematic anodic shift in reduction peak potential with decreasing pH, demonstrating a facilitation of prednisolone electroreduction as the number of protons increases. Furthermore, increasing the pH of the background electrolyte decreases the signal intensities and increases peak widths at half-height, affecting the method’s resolution capability. The linear peak potential—pH relationship (Ep = −0.0567 ± 0.0037) pH − (0.9988 ± 0.0241)—with a correlation coefficient of 0.9916 provides evidence for proton-coupled electron transfer. The experimental slope 56.7 mV/pH closely approximates the theoretical Nernstian value of 59 mV/pH, confirming the 1:1 proton-to-electron stoichiometry in the redox mechanism [41].
Figure 5.
The dependence of prednisolone cathodic peak potential on pH.
The effect of the potential scan rate (10–300 mV/s) was investigated using a three-electrode cell comprising the MWCNTs/CCE and a Ag/AgCl reference/counter electrodes. Measurements were performed using first-derivative linear sweep voltammetry in Britton–Robinson buffer (pH 2.0) containing 1 μM of prednisolone.
The prednisolone reduction current exhibited a scan rate-dependent enhancement, showing a linear proportionality between the peak current and the square root of the scan rate (Figure 6A). This functional dependence is consistent with a diffusion-controlled electrode process, that may display either reversible or irreversible electron transfer kinetics.
Figure 6.
Effect of potential scan rate on current (A) and potential (B) of prednisolone electroreduction.
Moreover, the peak potential shifts to more negative values with increasing scan rate (Figure 6B). A second criterion that confirms the irreversibility of the observed reduction reaction is the linear dependence of the cathodic peak potential (Epc) on the logarithm of the square root of the scan rate (lnν1/2), as described in Equation (2) [42]:
The electron transfer coefficient (α) for the cathodic process was calculated to be 0.433 from the slope of the Epc vs. lnν1/2 dependence. The number of electrons involved in the electrochemical reaction can be calculated using the apparent electron transfer coefficient. Considering the irreversible nature of the prednisolone reduction, the number of electrons (Z) can be determined from the difference between the peak potential and the potential at half-peak height (Epc/2) using Equation (3):
The total number of electrons involved in the electrochemical reaction was calculated to be 1.87, indicating that the overall number of electrons participating in the process is close to 2.
Based on the data received, the reduction mechanism of prednisolone at the MWCNTs/CCE can be proposed (Figure 7).
Figure 7.
Proposed mechanism of prednisolone electroreduction at MWCNTs/CCE.
3.4. Analytical Performance of the Modified Electrode
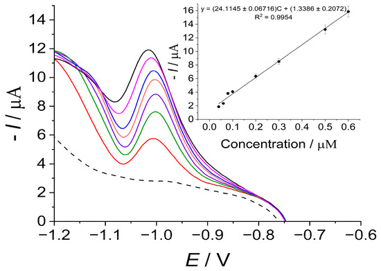
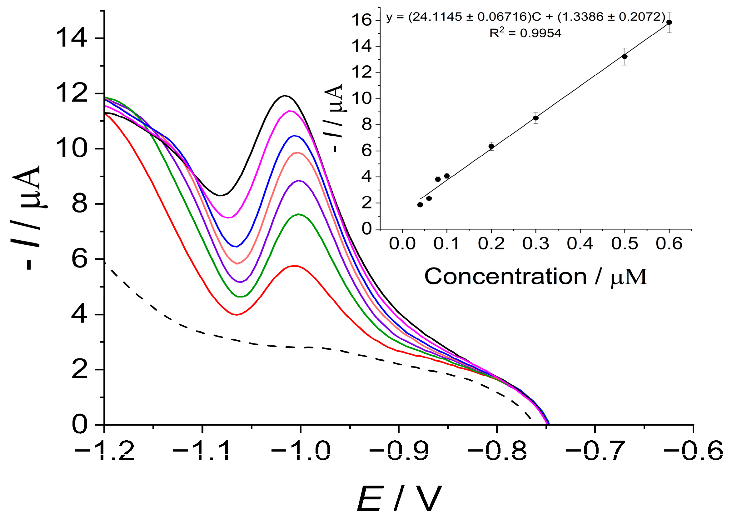
The quantification of prednisolone was performed by DPV with an applied potential window from −0.5 to −1.5 V versus Ag/AgCl in Britton–Robinson buffer (pH 2.0) under the following parameters: scan rate of 50 mV/s, step potential of 5 mV, pulse width of 20 ms, and pulse amplitude of 50 mV. Dissolved oxygen was removed from the background electrolyte by purging with nitrogen gas. Under the optimized conditions, the analytical response showed linearity (R2 = 0.9954) across the 0.04–0.60 μM concentration range (0.014–0.216 mg/L), described by the regression equation Iₚ (μA) = 24.115 C (μM) + 1.3386 (Figure 8). The detection limit was 8 nM (0.003 mg/L) (S/N = 3). The LOD was calculated using the formula LOD = 3σ/S, where σ is the standard deviation of 10 measurements of the blank solution, and S is the slope of the corresponding calibration curve.
Figure 8.
DPV signals of MWCNTs/CCE under different concentrations of prednisolone (0.04 to 0.6 μM). Inset depicts calibration curve for prednisolone determination using MWCNTs/CCE.
While the analytical performance of the MWCNT/GCE for prednisolone detection is promising, the requirement of nitrogen purging to eliminate interference from dissolved oxygen presents a challenge for point-of-care or rapid analysis. For future translation to real-world applications, alternative strategies can be employed. These include the use of electrochemical oxygen scavengers (e.g., oxidase enzymes coupled with their substrates) within the measurement cell, the application of protective membranes selective to the analyte, or the development of a flow-injection system where deaeration can be efficiently managed upstream. These approaches would mitigate oxygen interference without the need for extensive sample purging, thereby enhancing the practicality of the sensor.
Table 4 presents a comparison of the analytical parameters of the proposed sensor with data from other sources. It shows that the MWCNTs/CCE have a wide linear range for prednisolone determination and a low LOD. At the same time, the proposed sensor is quite simple to fabricate and has the advantage of the electrode surface being easy to renew, which removes the need for the steps of removing the modifier and cleaning and regeneration of the working electrode.
Table 4.
Comparison of MWCNTs/CCE and recent reports of prednisolone determination.
3.5. Reproducibility, Stability and Selectivity of MWCNTs/CCE Sensor
The reproducibility of the sensor was evaluated by the determination of 0.3 μM (0.108 mg/L) prednisolone with five independently prepared MWCNTs/CCEs using DPV in Britton–Robinson buffer (pH 2.0). The resulting voltammograms yielded a low relative standard deviation (RSD) of 1.77% (Figure 9A), demonstrating excellent electrode-to-electrode reproducibility.
Figure 9.
Properties of MWCNTs/CCE sensor: (A) reproducibility of sensor fabrication, (B) sensor stability (n= 3) for 4 weeks, (C) selectivity against pharmaceutical matrix components, and (D) selectivity against blood serum interferents, expressed as the percentage change in the prednisolone reduction signal.
The long-term storage stability of the two prepared MWCNTs/CCE sensors was evaluated over a period of four weeks. The sensors retained no less than 96% of their initial response after two weeks of storage. Thereafter, a slight decrease in response was observed, with a signal reduction of approximately 10% and 13% after three and four weeks, respectively (Figure 9B). The precision between individual sensors remained high throughout the study, as evidenced by RSD values below 2.5% at each weekly time point. The overall variability of the mean response over time was 4.5% RSD. These results confirm the excellent long-term stability of the proposed sensor.
The selectivity of the sensor was evaluated under established analytical conditions. An aliquot of prednisolone standard solution was added to the background electrolyte (Britton–Robinson buffer, pH 2.0) to achieve a concentration of 0.3 μM (0.108 mg/L), and cathodic voltammograms were recorded using the DPV under the selected working conditions. Subsequently, interfering components were then introduced into the electrochemical cell, and the voltammograms were recorded again while monitoring changes in prednisolone reduction current and potential.
The results indicate that the presence of a 100-fold excess of excipient components, such as sucrose, lactose monohydrate, gelatin, calcium stearate, starch, glycerine, methyl paraben, and propyl paraben, does not significantly interfere with the DPV response of prednisolone. The results show that MWCNTs/CCE is effective for selective determination of prednisolone in the presence of possible interfering compounds that may be present in drug formulations (Figure 9). The sensor’s selectivity was further evaluated against key biological interferents at physiologically relevant concentrations: ascorbic acid (200 µM), uric acid (500 µM), glucose (5 mM), sucrose (50 µM), and lactose (50 µM). These results are presented in Figure 9. Figure 9C shows the percentage change in the prednisolone signal caused by pharmaceutical excipients. Figure 9D illustrates the percentage change in the signal in the presence of biological interferents typical in blood serum. The results clearly demonstrate that none of the tested substances caused any significant interference, as all variations in the sensor’s response to prednisolone remained within an acceptable margin of ±5%.
3.6. Real Sample Analysis
The new sensor was successfully applied to accurately detect prednisolone in blood serum and pharmaceutical samples of tablets and ointment following the established preparation procedure described in Section 2.4. The analyte was quantified via standard addition method at three concentration levels. The data summarized in Table 5 indicate recoveries between 95% and 104%, with RSD ranging from 0.96% to 4.26%. The sensor effectively quantified prednisolone in both commercial pharmaceuticals and complex biological matrix, confirming its practical applicability. Moreover, the developed method demonstrates detection capability for prednisolone in blood serum at concentrations significantly below the WADA-established threshold of 100 ng/mL (0.1 mg/L) and, thus, meets the analytical anti-doping requirements. As shown in Table 6, the results demonstrate excellent agreement between the two methods. The calculated t-values (tcalc) range from 0.775 to 2.681, all of which are below the critical t-value of 4.303. This indicates that there is no statistically significant difference between the DPV and HPLC methods at the 95% confidence level.
Table 5.
DPV determination of prednisolone with the MWCNTs/CCE sensor in pharmaceutical and blood serum samples (n = 3, P= 0.95).
Table 6.
Comparison of prednisolone determination results obtained by the proposed DPV method and the reference HPLC method (n = 3, P= 0.95).
4. Conclusions
This work presents a novel, low-cost electrochemical sensor based on a MWCNTs-modified CCE for the highly sensitive and stable determination of prednisolone. The functionalization of the MWCNTs was confirmed by TEM and EDS. A comprehensive electrochemical characterization by EIS and CV showed a synergistic effect: the modification with MWCNTs in combination with electrochemical activation in acidic medium resulted in a remarkable 246-fold increase in the electroactive surface area and a significantly enhanced conductivity compared to the bare CCE. The resulting sensor demonstrated excellent performance in the determination of prednisolone with DPV, exhibiting a wide linear range (0.04–0.60 µM) and an exceptionally low LOD of 8 nM. The method was successfully applied to the analysis of pharmaceutical formulations (tablets and ointment) and spiked blood serum, yielding excellent recoveries (95–104%) with high precision (RSD ≤ 4.26%). These results underscore the high potential of the MWCNTs/CCE platform for reliable, real-time monitoring of prednisolone in complex matrices.
Author Contributions
Conceptualization, E.I.K., M.S., O.I.L., and P.K.K.; methodology, E.I.K., O.I.L., M.S., and P.K.K.; software, M.V.L., A.V.E., M.S.M., O.I.L., and M.S.; validation, O.I.L., M.S., and E.I.K.; formal analysis, M.V.L., A.V.E., M.S.M., and O.I.L.; investigation, M.V.L., A.V.E., M.S.M., and O.I.L.; resources, E.I.K., M.S., and P.K.K.; data curation, O.I.L. and M.S.; writing—original draft preparation, M.V.L., A.V.E., and O.I.L.; writing—review and editing, O.I.L., E.I.K., M.S., and P.K.K.; visualization, E.I.K., M.S., and P.K.K.; supervision, E.I.K., P.K.K., and M.S.; project administration, E.I.K.; funding acquisition, E.I.K., M.S., and P.K.K. All authors have read and agreed to the published version of the manuscript.
Funding
This research received no external funding.
Data Availability Statement
The original contributions presented in this study are included in the article. Further inquiries can be directed to the corresponding author.
Acknowledgments
This research was supported by the State assignment of the Russian Federation “Science” and the TPU development Program.
Conflicts of Interest
The authors declare no conflicts of interest.
Abbreviations
The following abbreviations are used in this manuscript:
| CCE | Carbon-Containing Electrode |
| MWCNTs | Multi-Walled Carbon Nanotubes |
| TEM | Transmission Electron Microscopy |
| EDS | Energy Dispersive Spectrometry |
| EIS | Electrochemical Impedance Spectroscopy |
| CV | Cyclic Voltammetry |
| DPV | Differential Pulse Voltammetry |
| HPLC | High-Performance Liquid Chromatography |
| WADA | World Anti-Doping Agency |
| IL | Ionic Liquid |
| LOD | Limit of Detection |
| S/N | Signal-to-Noise Ratio |
| L-Lysine-GCE | L-Lysine-Modified Glassy Carbon Electrode |
| BDD | Boron-Doped Diamond Electrode |
| HMFE | Hollow Microfiber Electrode |
| CN-Pd-IL/CPE | Carbon Nanotubes–Palladium–Ionic Liquid/Carbon Paste Electrode |
| nano Au/ITO | Nanogold-Modified Indium Tin Oxide Electrode |
| C60/Au | Fullerene C60-Modified Gold Electrode |
| GCE | Glassy Carbon Electrode |
| OSWV | Osteryoung Square Wave Voltammetry |
| SWV | Square Wave Voltammetry |
| RSD | Relative Standard Deviation |
References
- Bensa, A.; Salerno, M.; Moraca, G.; Boffa, A.; McIlwraith, C.W.; Filardo, G. Intra-articular corticosteroids for the treatment of osteoarthritis: A systematic review and meta-analysis on the comparison of different molecules and doses. J. Exp. Orthop. 2024, 11, e12060. [Google Scholar] [CrossRef]
- Tsai, W.; Chen, C. Development of hyaluronic acid hydrogel containing prednisolone-encapsulated nonphospholipid liposomes for the treatment of rheumatoid arthritis. J. Biomed. Mater. Res. Part B Appl. Biomater. 2024, 112, e35453. [Google Scholar] [CrossRef] [PubMed]
- World Anti-Doping Agency. Minimum Required Performance Levels and Applicable Minimum Reporting Levels for Non-Threshold Substances Analyzed by Chromatographic-Mass Spectrometric Analytical Methods. 2022. Available online: https://www.wada-ama.org/sites/default/files/2022-01/td2022mrpl_v1.1_eng_0.pdf (accessed on 8 October 2025).
- Kumar, D.; Singh, H.; Shrivastav, T.G. Homologous ELISA for detection of prednisolone in human serum. Food Agric. Immunol. 2017, 29, 369–385. [Google Scholar] [CrossRef]
- Kumar, D.; Oberoi, H.S.; Sonkar, S.C.; Koner, B.C.; Shrivastav, T.G. Determining factor of enzyme conjugates, bridge heterology and analytical variables of immunogens in prednisolone ELISA. Sens. Bio-Sens. Res. 2024, 46, 100700. [Google Scholar] [CrossRef]
- Escamilla-Lara, K.A.; Ibarra, I.S.; Paez-Hernandez, M.E.; Gutierrez, E.; Rodriguez, J.A. Determination of Prohibited Corticosteroids, Dexamethasone, Prednisolone and Triamcinolone in Cosmetic Creams by Combination of Dispersive Solid Phase Extraction and High-Performance Liquid Chromatography with Diode Array Detection (HPLC-DAD). Anal. Lett. 2025, 1–16. [Google Scholar] [CrossRef]
- Möhlmann, J.E.; Van Luin, M.; Lentjes, E.G.W.M.; Huitema, A.D.R.; Punt, A.M. Bioanalysis of protein-unbound prednisolone in serum using equilibrium dialysis followed by liquid chromatography-tandem mass spectrometry. J. Chromatogr. B 2024, 1252, 124440. [Google Scholar] [CrossRef]
- Kazemi, S.Y. Photoinduced chemiluminescence determination of prednisolone using Lucigenin-Cobalt 5,10,15,20-Tetra(4-Pyridyl)-21H,23H-Porphine system. Luminescence 2025, 40, e70096. [Google Scholar] [CrossRef]
- Behyar, M.B.; Mirzaie, A.; Hasanzadeh, M.; Shadjou, N. Advancements in biosensing of hormones: Recent progress and future trends. TrAC Trends Anal. Chem. 2024, 173, 117600. [Google Scholar] [CrossRef]
- Haroon, N.; Stine, K.J. Electrochemical detection of hormones using nanostructured electrodes. Coatings 2023, 13, 2040. [Google Scholar] [CrossRef]
- Saqib, M.; Solomonenko, A.N.; Hazra, N.K.; Aljasar, S.A.; Korotkova, E.I.; Dorozhko, E.V.; Vashisth, M.; Kar, P.K. Electrochemical Detection of Heavy Metals Using Graphene-Based Sensors: Advances, Meta-Analysis, Toxicity, and Sustainable Development Challenges. Biosensors 2025, 15, 505. [Google Scholar] [CrossRef]
- Dorozhko, E.V.; Solomonenko, A.N.; Erkovich, A.V.; Koltsova, A.V.; Korotkova, E.I.; Kolobova, E.N.; Semin, V.O.; Nikulin, L.G.; Mikhailova, T.V.; Kazachinskaya, E.I.; et al. Copper-enhanced electrochemical immunosensor based on gold nanoparticles for the quality control of hepatitis A virus vaccines. Talanta 2025, 297 (Pt A), 128579. [Google Scholar] [CrossRef] [PubMed]
- Dorozhko, E.; Kazachinskaia, E.; Kononova, Y.; Zaikovskaya, A.; Barek, J.; Korotkova, E.; Kolobova, E.; Sheveleva, P.; Saqib, M. Electrochemical immunoassay of antibodies using freshly prepared and aged conjugates of silver nanoparticles. Talanta 2022, 253, 124028. [Google Scholar] [CrossRef]
- Barhoum, A.; Naseef, A.; Ahmed, Y.M.; Zahran, M.K.; Alhashemi, Y.; Mohamed, M.S.; Rizk, M.S.; Abdel-Haleem, F.M. Modern designs of electrochemical sensor for accurate drug analysis in pharmaceutical and biological samples: Principles, nanofabrication, and key challenges. Mater. Chem. Phys. 2025, 337, 130588. [Google Scholar] [CrossRef]
- Aleksanyan, M.; Sayunts, A.; Shahkhatuni, G.; Simonyan, Z.; Kananov, D.; Khachaturyan, E.; Papovyan, R.; Michalcová, A.; Kopecký, D. SNO2/MWCNTS Nanostructured material for High-Performance Acetone and Ethanol gas sensors. ACS Omega 2025, 10, 7283–7294. [Google Scholar] [CrossRef]
- Dorozhko, E.V.; Solomonenko, A.N.; Saqib, M.; Semin, V.O. Electrochemical immunosensors based on gold nanoparticles for the determination of ovalbumin in immunobiological preparations. J. Anal. Chem. 2024, 79, 860–867. [Google Scholar] [CrossRef]
- Liang, Y.; Liao, H.; Gong, S.; Lan, L.; Hasan, M.; Zhou, X.; Gunasekaran, S. Green synthesis of reduced graphene oxide nanosheets: An efficient material for electrochemical sensor and photocatalytic agent. Microchem. J. 2025, 209, 112799. [Google Scholar] [CrossRef]
- Kilimci, U.; Öndeş, B.; Sunna, Ç.; Uygun, M.; Uygun, D.A. Development of label-free immunosensors based on AuNPs-fullerene nanocomposites for the determination of cancer antigen 125. Bioelectrochemistry 2024, 163, 108863. [Google Scholar] [CrossRef]
- Wang, H.; Li, J.; Zhao, P.; Fei, J.; Xie, Y. Ultrasensitive electrochemical sensor for vanillin based on CuS doped highly conductive carbon materials. Food Chem. 2025, 482, 144093. [Google Scholar] [CrossRef]
- Liu, S.; Jiang, R.; Liu, Z.; Zhu, C.; Ma, Z.; Pan, C.; Dai, G. An electrochemical dopamine sensor based on CoMn2O4/CQDs nanocomposite modified carbon paste electrode. Microchem. J. 2025, 210, 112889. [Google Scholar] [CrossRef]
- Meskher, H.; Ragdi, T.; Thakur, A.K.; Ha, S.; Khelfaoui, I.; Sathyamurthy, R.; Sharshir, S.W.; Pandey, A.K.; Saidur, R.; Singh, P.; et al. A review on CNTS-Based Electrochemical Sensors and Biosensors: Unique Properties and Potential Applications. Crit. Rev. Anal. Chem. 2023, 54, 2398–2421. [Google Scholar] [CrossRef]
- Yilmaz, S.; Skrzypek, S.; Dilgin, Y.; Yagmur, S.; Coskun, M. Electrochemical oxidation of prednisolone at glassy carbon electrode and its quantitative determination in human serum and tablets by Osteryoung Square Wave Voltammetry. Curr. Anal. Chem. 2006, 3, 41–46. [Google Scholar] [CrossRef]
- Goyal, R.N.; Oyama, M.; Bachheti, N.; Singh, S.P. Fullerene C60 modified gold electrode and nanogold modified indium tin oxide electrode for prednisolone determination. Bioelectrochemistry 2008, 74, 272–277. [Google Scholar] [CrossRef] [PubMed]
- Leme, S.S.; Ferreira, T.L.; Valle, E.M.A.; Codognoto, L. Development of an environmentally friendly method for the determination of prednisolone in natural waters using unmodified boron-doped diamond electrode. J. Solid State Electrochem. 2024, 29, 3139–3147. [Google Scholar] [CrossRef]
- Zayed, S.I.M. Cathodic adsorptive stripping voltammetric determination of prednisolone in pharmaceutical preparation and human urine. Acta Chim. Slov. 2011, 58, 75–80. [Google Scholar] [PubMed]
- Smajdor, J.; Piech, R.; Paczosa-Bator, B. A novel method of high sensitive determination of prednisolone on renewable mercury film silver based electrode. Electroanalysis 2015, 28, 394–400. [Google Scholar] [CrossRef]
- Wu, Z.; Du, X.; Zhang, J. Fabrication of a novel electrochemical sensing platform for voltammetric screening of prednisolone as a doping agent in sport. Alex. Eng. J. 2024, 96, 93–98. [Google Scholar] [CrossRef]
- Kilele, J.C.; Chokkareddy, R.; Redhi, G.G. Ionic liquid-multi walled carbon nanotubes-l-lysine modified glassy carbon electrode for detection of prednisolone. J. Mol. Liq. 2022, 363, 119729. [Google Scholar] [CrossRef]
- Solomonenko, A.N.; Dorozhko, E.V.; Barek, J.; Korotkova, E.I.; Semin, V.O.; Erkovich, A.V.; Aseeva, N.V. Adsorptive stripping voltammetric determination of carbofuran in food using novel type of modified carbon-based electrode with grafted layers of nickel. Talanta 2023, 267, 125116. [Google Scholar] [CrossRef]
- Barek, J. How to improve the performance of electrochemical sensors via minimization of electrode passivation. Chemosensors 2021, 9, 12. [Google Scholar] [CrossRef]
- Solomonenko, A.N.; Dorozhko, E.V.; Barek, J.; Korotkova, E.I.; Vyskocil, V.; Shabalina, A.V. Adsorptive stripping voltammetric determination of carbofuran in herbs on chromatographic sorbent modified electrode. J. Electroanal. Chem. 2021, 900, 115692. [Google Scholar] [CrossRef]
- Liu, D.; Shi, L.; Dai, Q.; Lin, X.; Mehmood, R.; Gu, Z.; Dai, L. Functionalization of carbon nanotubes for multifunctional applications. Trends Chem. 2024, 6, 186–210. [Google Scholar] [CrossRef]
- Taklimi, S.R.; Ghazinezami, A.; Askari, D. Chemical Functionalization of Helical Carbon Nanotubes: Influence of Sonication Time and Concentrations of Sulfuric and Nitric Acids with 3: 1 Mixing Ratio. J. Nanomater. 2019, 2019, 1–10. [Google Scholar] [CrossRef]
- Kim, H.; Sigmund, W. Iron particles in carbon nanotubes. Carbon 2005, 43, 1743–1748. [Google Scholar] [CrossRef]
- Elsehly, E.; Chechenin, N.; Makunin, A.; Motaweh, H.; Vorobyeva, E.; Bukunov, K.; Leksina, E.; Priselkova, A. Characterization of functionalized multiwalled carbon nanotubes and application as an effective filter for heavy metal removal from aqueous solutions. Chin. J. Chem. Eng. 2016, 24, 1695–1702. [Google Scholar] [CrossRef]
- Saqib, M.; Dorozhko, E.V.; Barek, J.; Korotkova, E.I.; Semin, V.O.; Kolobova, E.; Erkovich, A.V. Sensitive electrochemical sensing of carbosulfan in food products on laser reduced graphene oxide sensor decorated with silver nanoparticles. Microchem. J. 2024, 207, 112253. [Google Scholar] [CrossRef]
- Şimşek, N.; Tığ, G.A. Graphene Quantum Dot-poly(L-lysine)-gold nanoparticles nanocomposite for electrochemical determination of dopamine and serotonin. Electroanalysis 2021, 34, 61–73. [Google Scholar] [CrossRef]
- Compton, R.G.; Banks, C.E. Understanding Voltammetry, 2nd ed.; Imperial College Press: London, UK, 2011; ISBN 978-1-84816-586-1. [Google Scholar]
- Musameh, M.; Lawrence, N.S.; Wang, J. Electrochemical activation of carbon nanotubes. Electrochem. Commun. 2004, 7, 14–18. [Google Scholar] [CrossRef]
- Chen, D.R.; Adusei, P.K.; Chitranshi, M.; Fang, Y.; Johnson, K.; Schulz, M.; Shanov, V. Electrochemical activation to enhance the volumetric performance of carbon nanotube electrodes. Appl. Surf. Sci. 2020, 541, 148448. [Google Scholar] [CrossRef]
- Nascimento, J.A.M.; Neto, J.G.S.; Rodrigues, W.E.; Santos, T.F.F.T.D.; Oliveira, J.E.S.; Liesen, A.P.; Santos, V.B.D.; Oliveira, S.C.B. Study of electrochemical oxidation mechanism of the tryptophan metabolite kynurenine on glassy carbon electrode. Electroanalysis 2025, 37, e12022. [Google Scholar] [CrossRef]
- Bard, A.J.; Faulkner, L.R.; White, H.S. Electrochemical Methods: Fundamentals and Applications, 3rd ed.; John Wiley & Sons: Hoboken, NJ, USA, 2022; ISBN 978-1-119-78640-0. [Google Scholar]
Disclaimer/Publisher’s Note: The statements, opinions and data contained in all publications are solely those of the individual author(s) and contributor(s) and not of MDPI and/or the editor(s). MDPI and/or the editor(s) disclaim responsibility for any injury to people or property resulting from any ideas, methods, instructions or products referred to in the content. |
© 2025 by the authors. Licensee MDPI, Basel, Switzerland. This article is an open access article distributed under the terms and conditions of the Creative Commons Attribution (CC BY) license (https://creativecommons.org/licenses/by/4.0/).








