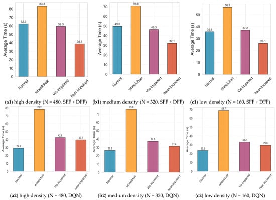
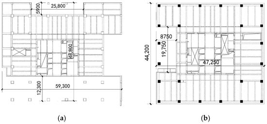
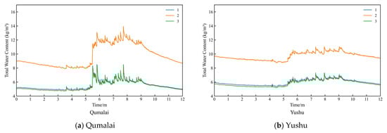
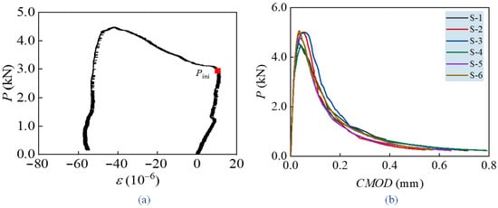
-
EPCDescriptor: A Multi-Attribute Visual Network Modeling of Housing Energy Performance -
Generative AI for Architectural Façade Design: Measuring Perceptual Alignment Across Geographical, Objective, and Affective Descriptors -
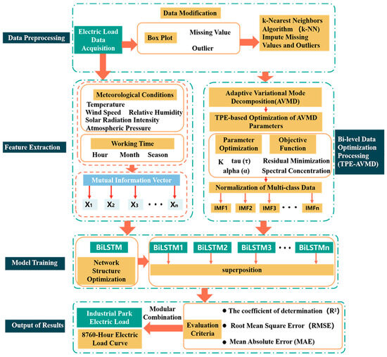
Sustainable Membrane-Based Acoustic Metamaterials Using Cork and Honeycomb Structures: Experimental and Numerical Characterization -
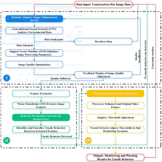
GPT Applications for Construction Safety: A Use Case Analysis
Journal Description
Buildings
- Open Access— free for readers, with article processing charges (APC) paid by authors or their institutions.
- High Visibility: indexed within SCIE (Web of Science), Scopus, Ei Compendex, Inspec, and other databases.
- Journal Rank: JCR - Q2 (Construction and Building Technology) / CiteScore - Q1 (Architecture)
- Rapid Publication: manuscripts are peer-reviewed and a first decision is provided to authors approximately 14.9 days after submission; acceptance to publication is undertaken in 2.7 days (median values for papers published in this journal in the first half of 2025).
- Recognition of Reviewers: reviewers who provide timely, thorough peer-review reports receive vouchers entitling them to a discount on the APC of their next publication in any MDPI journal, in appreciation of the work done.
- Companion Journal: Architecture.
- Journal Cluster of Civil Engineering and Built Environment: Architecture, Buildings, CivilEng, Construction Materials, Infrastructures, Intelligent Infrastructure and Construction, NDT and Vibration.
Latest Articles
E-Mail Alert
News
MDPI Launches the Michele Parrinello Award for Pioneering Contributions in Computational Physical Science
Topics
Deadline: 30 November 2025
Deadline: 20 December 2025
Deadline: 31 December 2025
Deadline: 20 January 2026
Conferences
Special Issues
Deadline: 28 November 2025
Deadline: 28 November 2025
Deadline: 30 November 2025
Deadline: 30 November 2025














