Winter Construction of 60 m Precast Railway Box Girders: An Investigation into Efficient Thermal Insulation Strategies
Abstract
1. Introduction
2. Materials and Experimental Work
2.1. Mixture Design of the Concrete
2.2. Experimental Programs
2.3. Strength Development of Concrete Under Various Curing Conditions
3. Comparative Analysis of Measured Results and Numerical Simulation
3.1. Heat Transfer Modeling
- (1)
- Model parameters
- (2)
- Heat-transfer coefficient
3.2. Finite Element Model
3.3. Comparative Analysis of Measured Results and Numerical Simulation
4. Test Results and Discussions
4.1. Influence of Insulation Room
4.2. Influence of Insulation Temperature
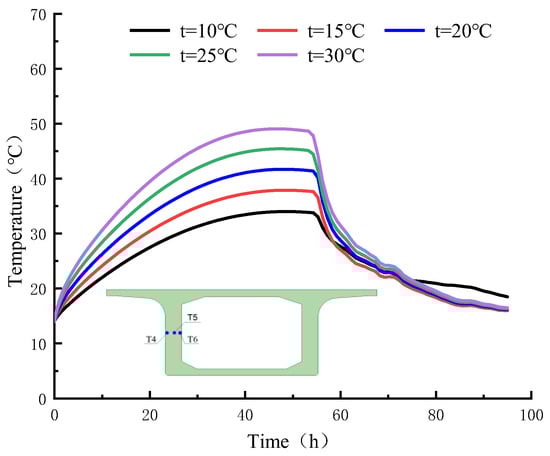
4.2.1. Influence of Insulation Temperature on Box Girder’s Peak Temperature
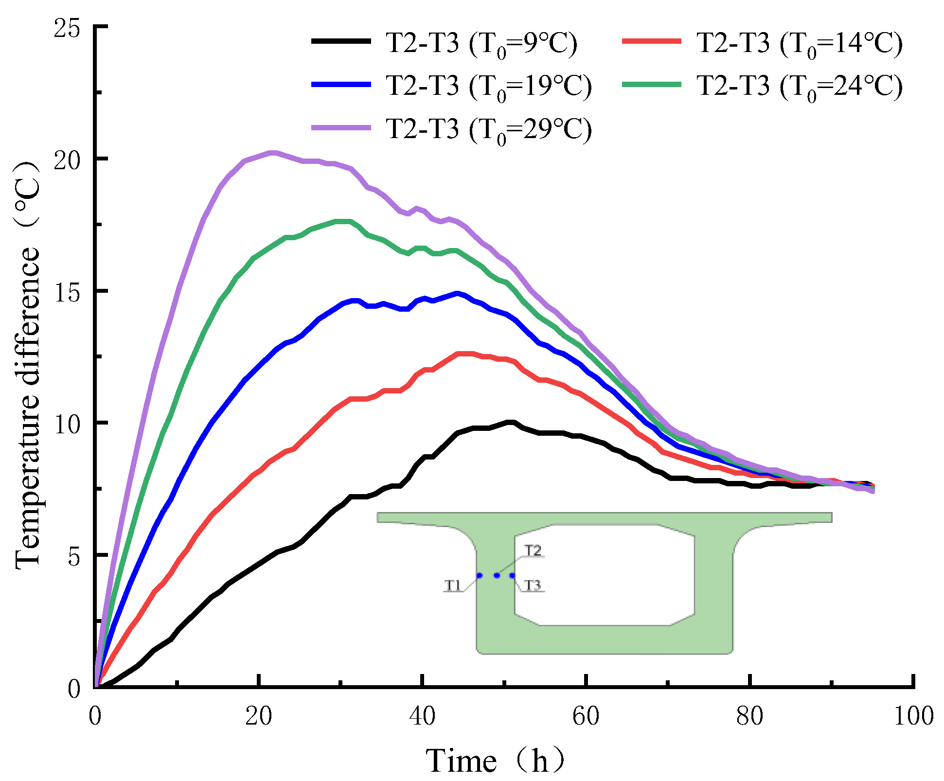
4.2.2. Influence of Insulation Temperature on Box Girder’s Temperature Difference
4.3. Influence of Placing Temperature
4.3.1. Influence of Pouring Temperature on Box Girder’s Peak Temperature
4.3.2. Influence of Pouring Temperature on Box Girder’s Temperature Difference
5. Conclusions
- (1).
- The peak hydration temperature is positively correlated with the local geometric dimensions of the box girder sections. High-temperature zones in the end sections are primarily concentrated in the webs, whereas in the T65 and midspan sections, these regions are predominantly located at the web and top-web junctions.
- (2).
- Thermal insulation with heating significantly accelerates concrete strength development and improves production efficiency of large-scale box girders in winter. Compared to natural curing conditions, insulated curing increases the temperature difference between the web core and inner surface while decreasing the temperature difference between the web core and outer surface during the early-age stage.
- (3).
- Increasing the insulation temperature elevates the peak temperature of box girders, and the section with thinner local dimensions exhibits greater thermal sensitivity. Before 54 h, higher insulation temperatures reduce the maximum temperature differences between the web core and outer surface, while conversely increasing the maximum temperature differences between the core and inner surface. To prevent concrete cracking on both the outer and inner surfaces of large-scale box girders, the recommended insulation temperature range during winter construction is 15–20 °C.
- (4).
- An elevated concrete placing temperature not only increases the peak temperature and maximum temperature differences in large-scale box girders but also induces an earlier occurrence and a more rapid growth of the maximum temperature difference between the web core and inner surface, thereby exacerbating the risk of early-age cracking when the concrete strength is low. To control the maximum temperature difference, it is recommended to maintain the concrete placing temperature below 19 °C during winter construction.
- (5).
- During the winter construction of the 60 m railway box girder, the concrete placing temperature and the curing temperature inside the insulation room are controlled according to the above recommended values. Furthermore, by applying preliminary prestressing tension before the 54 h mark to develop an adequate reserve of compressive stress in the large-scale box girder, production efficiency is successfully improved while effectively preventing the formation of early-age cracks.
Author Contributions
Funding
Data Availability Statement
Conflicts of Interest
References
- Zhu, J.S.; Wang, Z.Y. Experimental modeling and quantitative evaluation of mitigating cracks in early-age mass concrete by regulating heat transfer. J. Build. Eng. 2024, 96, 110641. [Google Scholar] [CrossRef]
- Zeng, Y.; Zeng, Y.T.; Jiang, D.; Liu, S.H.; Tan, H.M.; Zhou, J.T. Curing parameters’ influences of early-age temperature field in concrete continuous rigid frame bridge. J. Clean. Prod. 2021, 313, 127571. [Google Scholar] [CrossRef]
- Do, T.A.; Verdugo, D.; Tia, M.; Hoang, T.T. Effect of volume-to-surface area ratio and heat of hydration on early-age thermal behavior of precast concrete segmental box girders. Case Stud. Therm. Eng. 2021, 28, 101448. [Google Scholar] [CrossRef]
- Zhang, P.; Xiong, H.T.; Wang, R.M. Measurements and numerical simulations for cast temperature field and early-age thermal stress in zero blocks of high-strength concrete box girders. Adv. Mech. Eng. 2022, 14, 16878132221091514. [Google Scholar] [CrossRef]
- Wang, J.Q.; Zhi, F.; Liu, J. Measurement and analysis of hydration heat of long span PC box girders. Bridge Constr. 2016, 46, 29–34. (In Chinese) [Google Scholar]
- Zhang, F.; Liu, J.Y. Study on temperature distribution of three-cell box girder during the hydration process. J. Therm. Anal. Calorim. 2023, 148, 2629–2643. [Google Scholar] [CrossRef]
- Taysi, N.; Abid, S. Temperature distributions and variations in concrete box-girder bridges: Experimental and finite element parametric studies. Adv. Struct. Eng. 2015, 18, 469–486. [Google Scholar] [CrossRef]
- Han, S.; Liu, Y.J.; Lyu, Y.; Liu, J.; Zhang, N. Numerical simulation investigation on hydration heat temperature and early cracking risk of concrete box girder in cold regions. J. Traffic Transp. Eng.-Engl. Ed. 2023, 10, 697–720. [Google Scholar] [CrossRef]
- Zhang, N.; Zhou, X.; Liu, Y.J.; Liu, J. In-situ test on hydration heat temperature of box girder based on array measurement. China Civ. Eng. J. 2019, 52, 76–86. (In Chinese) [Google Scholar] [CrossRef]
- Abid, S.R.; Xue, J.Q.; Liu, J.; Taysi, N.; Liu, Y.J.; Ozakça, M.; Briseghella, B. Temperatures and gradients in concrete bridges: Experimental, finite element analysis and design. Structures 2022, 37, 960–976. [Google Scholar] [CrossRef]
- He, J.H.; Ma, K.L.; Long, G.C.; Xie, Y.J. Mechanical properties evolution of concrete in steam-curing process. J. Chin. Ceram. Soc. 2018, 46, 1584–1592. (In Chinese) [Google Scholar] [CrossRef]
- Zeyad, A.M.; Tayeh, B.A.; Adesina, A.; Azevedo, A.R.G.; Amin, M.; Hadzima-Nyarko, M.; Agwa, I.S. Review on effect of steam curing on behavior of concrete. Clean. Mater. 2022, 3, 100042. [Google Scholar] [CrossRef]
- Zou, P.; Chang, H.J.; Wang, F.; Cai, Y.L.; Zhang, Z.; Zhao, Z.; Lv, Z.D. Effect of steam curing scheme on the early-age temperature field of a prefabricated concrete T-beam. Case Stud. Constr. Mater. 2024, 20, e02787. [Google Scholar] [CrossRef]
- Cai, Y.L.; Gao, S.B.; Wang, F.; Zhang, Z.; Zhao, Z.; Ma, B.H. Early hydration heat temperature field of precast concrete T-beam under steam curing: Experiment and simulation. Case Stud. Constr. Mater. 2023, 18, e02067. [Google Scholar] [CrossRef]
- Tarasov, A.S.; Kearsley, E.P.; Kolomatskiy, A.S.; Mostert, H.F. Heat evolution due to cement hydration in foamed concrete. Mag. Concr. Res. 2010, 62, 895–906. [Google Scholar] [CrossRef]
- Sbia, L.A.; Peyvandi, A.; Harsini, I.; Lu, J.; Ul Abideen, S.; Weerasiri, R.R.; Balachandra, A.M.; Soroushian, P. Study on field thermal curing of ultra-high-performance concrete employing heat of hydration. ACI Mater. J. 2018, 114, 733–743. [Google Scholar] [CrossRef]
- Hernandez-Bautista, E.; Bentz, D.P.; Sandoval-Torres, S.; Cano-Barrita, J. Numerical simulation of heat and mass transport during hydration of Portland cement mortar in semi-adiabatic and steam curing conditions. Cem. Concr. Compos. 2016, 69, 38–48. [Google Scholar] [CrossRef]
- Abdulla, A.I. Thermal properties of sand modified resins used for bonding CFRP to concrete substrates. Int. J. Sustain. Built Environ. 2016, 5, 176–182. [Google Scholar] [CrossRef]
- Hu, J.; Zhi, G.; Wang, K.J. Influence of cement fineness and water-to-cement ratio on mortar early-age heat of hydration and set times. Constr. Build. Mater. 2014, 50, 657–663. [Google Scholar] [CrossRef]
- Wang, Q.; Shi, M.X.; Wang, D.Q. Contributions of fly ash and ground granulated blast-furnace slag to the early hydration heat of composite binder at different curing temperatures. Adv. Cem. Res. 2016, 28, 320–327. [Google Scholar] [CrossRef]
- Zhang, J.K.; Lu, X.C.; Xiong, B.B.; Chen, B.F.; Tian, B.; Chen, H.J.; Li, Y.Q. Study on the influence of temperature rise inhibitor on the early-age temperature field of moderate heat Portland cement (MHC) concrete. J. Build. Eng. 2024, 97, 110810. [Google Scholar] [CrossRef]
- Woo, H.M.; Kim, C.Y.; Yeon, J.H. Heat of hydration and mechanical properties of mass concrete with high-volume GGBFS replacements. J. Therm. Anal. Calorim. 2018, 132, 599–609. [Google Scholar] [CrossRef]
- Ismail, M.; Noruzman, A.H.; Bhutta, M.A.R.; Yusuf, T.O.; Ogiri, I.H. Effect of vinyl acetate effluent in reducing heat of hydration of concrete. Ksce. J. Civ. Eng. 2016, 20, 145–151. [Google Scholar] [CrossRef]
- Yang, K.H.; Moon, G.D.; Jeon, Y.S. Implementing ternary supplementary cementing binder for reduction of the heat of hydration of concrete. J. Clean. Prod. 2016, 112, 845–852. [Google Scholar] [CrossRef]
- Nassr, A.; Abd-el-Rahim, H.H.A.; Kaiser, F.; El-sokkary, A. Topology optimization of horizontally curved box girder diaphragms. Eng. Struct. 2022, 256, 113959. [Google Scholar] [CrossRef]
- Wang, T.Y.; Cai, J.B.; Feng, Q.; Jia, W.Z.; He, Y.C. Experimental study and numerical analysis of hydration heat effect on precast prestressed concrete box girder. Building 2025, 15, 859. [Google Scholar] [CrossRef]
- GB/T 50081-2019; Standard for Test Methods of Concrete Physical and Mechanical Properties. China Architecture & Building Press: Beijing, China, 2019. (In Chinese)
- Zhu, B.F. Thermal Stresses and Temperature Control of Mass Concrete, 1st ed.; Elsevier: Boston, MA, USA, 2014. [Google Scholar]
- Bergman, T.L.; Incropera, F.P. Fundamentals of Heat and Mass Transfer, 7th ed.; Wiley: Hoboken, NJ, USA, 2011. [Google Scholar]
- Hansen, P.F.; Pedersen, E.J. Maturity computer for controlled curing and hardening of concrete. Nordisk Betong. 1977, 1, 19–34. [Google Scholar]
- Schindler, A.K. Concrete Hydration, Temperature Development, and Setting at Early Ages; The University of Texas at Austin: Austin, TX, USA, 2002. [Google Scholar]
- Van Breugel, K. Simulation of Hydration and Formation of Structure in Hardening Cement-Based Materials; Delft University Press: Delft, The Netherlands, 1997. [Google Scholar]
- Zhu, B.F. Temperature Stresses and Temperature Control in Mass Concrete, 2nd ed.; China Water Conservancy and Hydropower Press: Beijing, China, 2012. (In Chinese) [Google Scholar]



































| Gravel | Sand | Cement | Coal Ash | Mineral Powder | Water | Water Reducer | Water-Binder Ratio |
|---|---|---|---|---|---|---|---|
| 1048 | 698 | 260 | 95 | 118 | 156 | 4.73 | 0.33 |
| Curing Conditions | Section Position | Temperature Difference Within 48 h (°C) | Temperature Difference Within 63 h (°C) | ||
|---|---|---|---|---|---|
| Core and Outer Surface | Core and Inner Surface | Core and Outer Surface | Core and Inner Surface | ||
| The insulation room | T90 | ≤13.9 | ≤12.6 | ≤27.5 | ≤12.6 |
| T65 | ≤12.5 | ≤7.4 | ≤19.0 | ≤7.4 | |
| Natural curing conditions | T90 | ≤17.3 | ≤10.2 | ≤26.1 | ≤10.2 |
| T65 | ≤11.2 | ≤5.3 | ≤17.0 | ≤5.3 | |
| Insulation Temperature (°C) | T90 Section | T65 Section | ||||
|---|---|---|---|---|---|---|
| Core and Outer Surface (°C) | Core and Inner Surface (°C) | The Ratio | Core and Outer Surface (°C) | Core and Inner Surface (°C) | The Ratio | |
| 10 | 25.0 | 11.3 | 45.2% | 17 | 5.0 | 29.4% |
| 15 | 27.7 | 12.6 | 45.5% | 18.9 | 7.3 | 38.6% |
| 20 | 28.5 | 13.7 | 48.1% | 19.9 | 8.5 | 42.7% |
| 25 | 29.1 | 14.9 | 51.2% | 20.9 | 9.6 | 45.9% |
| 30 | 30.0 | 15.9 | 53.0% | 21.7 | 10.6 | 48.8% |
| Placing Temperatures (°C) | T90 Section | T65 Section | T40 Section | |||
|---|---|---|---|---|---|---|
| Peak Temperature (°C) | Occurrence Time (h) | Peak Temperature (°C) | Occurrence Time (h) | Peak Temperature (°C) | Occurrence Time (h) | |
| 9 | 52.5 | 60 | 43.1 | 56 | 31.9 | 54 |
| 14 | 57.9 | 54 | 46.8 | 51 | 33.2 | 47 |
| 19 | 63.6 | 44 | 51.5 | 42 | 36.0 | 34 |
| 24 | 69.8 | 37 | 57.2 | 35 | 39.5 | 30 |
| 29 | 76.3 | 29 | 63.6 | 27 | 44.3 | 21 |
Disclaimer/Publisher’s Note: The statements, opinions and data contained in all publications are solely those of the individual author(s) and contributor(s) and not of MDPI and/or the editor(s). MDPI and/or the editor(s) disclaim responsibility for any injury to people or property resulting from any ideas, methods, instructions or products referred to in the content. |
© 2025 by the authors. Licensee MDPI, Basel, Switzerland. This article is an open access article distributed under the terms and conditions of the Creative Commons Attribution (CC BY) license (https://creativecommons.org/licenses/by/4.0/).
Share and Cite
Yang, W.; Zhang, T.; Zhao, Z.; Feng, X.; Wang, L.; Wang, F.; Cai, Y. Winter Construction of 60 m Precast Railway Box Girders: An Investigation into Efficient Thermal Insulation Strategies. Buildings 2025, 15, 4201. https://doi.org/10.3390/buildings15224201
Yang W, Zhang T, Zhao Z, Feng X, Wang L, Wang F, Cai Y. Winter Construction of 60 m Precast Railway Box Girders: An Investigation into Efficient Thermal Insulation Strategies. Buildings. 2025; 15(22):4201. https://doi.org/10.3390/buildings15224201
Chicago/Turabian StyleYang, Wei, Tao Zhang, Zuqing Zhao, Xuebin Feng, Lei Wang, Fei Wang, and Yuliang Cai. 2025. "Winter Construction of 60 m Precast Railway Box Girders: An Investigation into Efficient Thermal Insulation Strategies" Buildings 15, no. 22: 4201. https://doi.org/10.3390/buildings15224201
APA StyleYang, W., Zhang, T., Zhao, Z., Feng, X., Wang, L., Wang, F., & Cai, Y. (2025). Winter Construction of 60 m Precast Railway Box Girders: An Investigation into Efficient Thermal Insulation Strategies. Buildings, 15(22), 4201. https://doi.org/10.3390/buildings15224201
