Topic Editors

State Key Laboratory of Mountain Bridge and Tunnel Engineering, Chongqing Jiaotong University, Chongqing 400074, China
State Key Laboratory of Mountain Bridge and Tunnel Engineering, Chongqing Jiaotong University, Chongqing 400074, China
Dr. Fengbo Wu
School of Civil Engineering, Chongqing Jiaotong University, Chongqing 400074, China
Dr. Runchuan Xia
State Key Laboratory of Mountain Bridge and Tunnel Engineering, Chongqing Jiaotong University, Chongqing 400074, China
Advanced Robotics & Intelligent Systems (ARIS) Lab, School of Engineering, University of Guelph, Guelph, ON N1G 2W1, Canada
State Key Laboratory of Mountain Bridge and Tunnel Engineering, Chongqing Jiaotong University, Chongqing 400074, China
Dr. Yonghui Fan
State Key Laboratory of Mountain Bridge and Tunnel Engineering, Chongqing Jiaotong University, Chongqing 400074, China

New Developments in Intelligent Construction and Operation of Infrastructures

Abstract submission deadline
closed (30 September 2025)
Manuscript submission deadline
closed (30 November 2025)
Viewed by
29225

Topic Information

Dear Colleagues,

Infrastructure plays an important role in human activities. Improving the safety and durability of infrastructure becomes a major challenge in the economic development process. The combination of artificial intelligence with engineering construction, structural health monitoring, condition assessment, and performance improvement is an essential way to realize the intelligent construction and operation of infrastructure, which has become a research hotspot and difficulty involving multiple disciplines. At present, with the rapid development of the Internet of Things, big data, artificial intelligence, and remote sensing, it is inevitable to explore new technologies covering the intelligent construction and operation of infrastructures in the life cycle. For this reason, this topic aims to boost knowledge and development in the intelligent construction and operation of infrastructures through multi-disciplinary works.

The potential topics include (but are not limited to):

  • Intelligent structural design;
  • Intelligent construction;
  • Intelligent operation and maintenance;
  • Intelligent disaster prevention;
  • Structural earthquake and wind engineering;
  • New technologies in the life cycle of infrastructures.

Prof. Dr. Jingzhou Xin
Dr. Yan Jiang
Dr. Fengbo Wu
Dr. Runchuan Xia
Prof. Dr. Simon X. Yang
Dr. Qizhi Tang
Dr. Yonghui Fan
Topic Editors

Keywords

  • non-destructive testing
  • structural health monitoring
  • construction
  • artificial intelligence
  • disaster prevention
  • smart materials
  • structural design
  • structural durability
  • structural reinforcement
  • marine and ocean structures/infrastructures

Participating Journals

Journal Name Impact Factor CiteScore Launched Year First Decision (median) APC
Algorithms
algorithms
2.1 4.5 2008 19.2 Days CHF 1800
Buildings
buildings
3.1 4.4 2011 15.1 Days CHF 2600
CivilEng
civileng
2.0 4.0 2020 21.7 Days CHF 1400
Journal of Marine Science and Engineering
jmse
2.8 5.0 2013 16.5 Days CHF 2600
Sensors
sensors
3.5 8.2 2001 17.8 Days CHF 2600

Preprints.org is a multidisciplinary platform offering a preprint service designed to facilitate the early sharing of your research. It supports and empowers your research journey from the very beginning.

MDPI Topics is collaborating with Preprints.org and has established a direct connection between MDPI journals and the platform. Authors are encouraged to take advantage of this opportunity by posting their preprints at Preprints.org prior to publication:

  1. Share your research immediately: disseminate your ideas prior to publication and establish priority for your work.
  2. Safeguard your intellectual contribution: Protect your ideas with a time-stamped preprint that serves as proof of your research timeline.
  3. Boost visibility and impact: Increase the reach and influence of your research by making it accessible to a global audience.
  4. Gain early feedback: Receive valuable input and insights from peers before submitting to a journal.
  5. Ensure broad indexing: Web of Science (Preprint Citation Index), Google Scholar, Crossref, SHARE, PrePubMed, Scilit and Europe PMC.

Published Papers (20 papers)

Order results
Result details
Journals
Select all
Export citation of selected articles as:
27 pages, 16918 KB  
Article
Quantitative Evaluation Method for the Circumferential Multi-Point Corrosion States of Stay Cables Based on Self-Magnetic Flux Leakage Detection
by Runchuan Xia, Qingxia Tao, Guo Chen, Jinying Chen, Ran Deng and Yaxi Ding
Buildings 2026, 16(7), 1309; https://doi.org/10.3390/buildings16071309 - 26 Mar 2026
Viewed by 262
Abstract
Stay cables are critical load-bearing components in cable-stayed structures, making corrosion distribution vital for damage diagnosis and maintenance. To address the insufficient characterization of circumferential multi-point corrosion distribution in stay cables, a theoretical model of circumferential multi-point defect magnetic charge for the stay [...] Read more.
Stay cables are critical load-bearing components in cable-stayed structures, making corrosion distribution vital for damage diagnosis and maintenance. To address the insufficient characterization of circumferential multi-point corrosion distribution in stay cables, a theoretical model of circumferential multi-point defect magnetic charge for the stay cables was established, and a self-magnetic flux leakage experiment was conducted on 37-wire steel specimens with circumferential corrosion. The effects of corroded wire number (N), corrosion time (T), and circumferential angle number (K) on the axial Bx component of the magnetic flux leakage signal were analyzed. The relationship between the θ-Bx-max peak distribution and corrosion patterns was clarified. Quantitative models for corrosion number (c), center (θc), and the cross-sectional corrosion rate (α) were established. The results indicate that c improves the determination of the number of concentrated corrosion sites in the ‘peak platform’ corrosion distribution type. Based on the Lorentz fitting, the maximum prediction error of θc is 15.1%, and the prediction accuracy of the cross-sectional corrosion rate α exceeds 90%. The study provides a reference for the quantifiable characterization and evaluation methods of the circumferential multi-point defect distribution in stay cables. Full article
Show Figures

Figure 1

19 pages, 2252 KB  
Article
Research on Cable Force Optimization for the Construction of Reinforced Concrete Arch Bridges Based on Improved Whale Optimization Algorithm and Support Vector Machine
by Hongping Ye, Jianjun Liu, Jian Yang, Jinbo Zhu, Jijin Zhang, Zhimei Jiang and Zhongya Zhang
Buildings 2026, 16(6), 1254; https://doi.org/10.3390/buildings16061254 - 22 Mar 2026
Viewed by 194
Abstract
To address the issue of cable force optimization during the cantilever casting stage of reinforced concrete arch bridge construction, this study proposes a cable force optimization method based on an Improved Whale Optimization Algorithm (IWOA) combined with a Support Vector Machine (SVM) model. [...] Read more.
To address the issue of cable force optimization during the cantilever casting stage of reinforced concrete arch bridge construction, this study proposes a cable force optimization method based on an Improved Whale Optimization Algorithm (IWOA) combined with a Support Vector Machine (SVM) model. First, the standard Whale Optimization Algorithm is enhanced through Tent chaotic mapping, a nonlinear iterative control parameter, adaptive weight factors, and adaptive threshold strategies. The improved algorithm is then used to optimize key parameters (C, g) in the SVM model, constructing a parameter-optimized cable force combination-structure response prediction model for the arch bridge. Next, with the average tensile stress of the arch ring’s top and bottom slabs during construction and the bending strain energy after bridge completion as target variables, a multi-objective optimization mathematical model for cable forces during the construction stage of reinforced concrete arch bridges based on IWOA-SVM was established. Finally, the feasibility of the method was validated using the Shatuo Bridge project as a case study. The results indicate that compared to the finite element optimization method, the IWOA-SVM cable force optimization method significantly improved computational efficiency while ensuring optimization effectiveness. After optimization, the peak tensile stress and vertical displacement of each arch segment were significantly reduced, leading to improved internal force distribution and alignment, thereby enhancing the overall structural safety and reliability of reinforced concrete arch bridges. Full article
Show Figures

Figure 1

23 pages, 5091 KB  
Article
Multiclass Anomaly Detection in Bridge Health Monitoring Data via Attention Enhancement and Class Imbalance Mitigation
by Wenda Ma, Qizhi Tang, Lei Huang and Shihao Zhang
Buildings 2026, 16(6), 1181; https://doi.org/10.3390/buildings16061181 - 17 Mar 2026
Viewed by 294
Abstract
Bridge structural health monitoring (BSHM) systems are essential for assessing the operational performance and safety of long-span bridges. However, monitoring data are often affected by factors such as sensor malfunctions, environmental disturbances, or power interruptions, leading to various anomalous data. Moreover, the multiclass [...] Read more.
Bridge structural health monitoring (BSHM) systems are essential for assessing the operational performance and safety of long-span bridges. However, monitoring data are often affected by factors such as sensor malfunctions, environmental disturbances, or power interruptions, leading to various anomalous data. Moreover, the multiclass imbalance of the data presents a major challenge to traditional anomaly detection methods. To address this issue, a novel multiclass anomaly detection method based on an improved deep convolutional neural network is proposed. Specifically, a ResNet50 architecture integrated with the convolutional block attention module (CBAM) is developed to enhance the extraction of discriminative features. Additionally, the Focal Loss function is introduced to emphasize the loss weight of minority samples, reducing the influence of majority classes, thereby effectively overcoming the class imbalance issue in multiclass anomaly detection. The proposed method is trained and validated using measured acceleration data collected from a large-scale cable-stayed bridge. The experimental results indicate that the model achieves an overall accuracy of 98.28%, while effectively improving the classification performance of minority categories. The method further reproduces the spatiotemporal distribution of anomalies in full-month monitoring data, confirming its robustness and engineering applicability for large-scale automated anomaly diagnosis in BSHM systems. Full article
Show Figures

Figure 1

29 pages, 14746 KB  
Article
A Novel Strategy for Analyzing Live Load Effects in Cable-Stayed Suspension Hybrid Bridges with Varied Structural Parameters
by Jie Meng, Dongdong Zhao, Zhao Liu, Ding Yang and Jiayong Chen
Buildings 2026, 16(3), 529; https://doi.org/10.3390/buildings16030529 - 28 Jan 2026
Viewed by 324
Abstract
Cable-stayed suspension hybrid bridges (CSSHBs) integrate the advantages of cable-stayed bridges and suspension bridges into a highly rigid structure. However, due to their hybrid nature, the static performance of CSSHBs is highly sensitive to various factors, presenting significant challenges for parameter analysis and [...] Read more.
Cable-stayed suspension hybrid bridges (CSSHBs) integrate the advantages of cable-stayed bridges and suspension bridges into a highly rigid structure. However, due to their hybrid nature, the static performance of CSSHBs is highly sensitive to various factors, presenting significant challenges for parameter analysis and scheme comparison during design. This study presents a new live load effects analysis strategy for the hybrid bridge with varied structural parameters. The methodology expands the application scenarios of variable parameter influence line (IL) analysis. It solves structural live load responses based on the area of influence lines with the same sign and constructs a “parameter variation-structural response” diagram. Simultaneously, it extracts critical live load cases, enabling designers to adjust parameters during the conceptual design phase based on calculation results from a limited number of load cases. The 690 m Tuwan Bridge is used as the benchmark model for the case study. The study first investigates the characteristics of its influence lines, followed by parametric studies. Results indicate that when the main girder stiffness is increased by a factor of 100, the deflection at the mid-span section and the cable force amplitude of the side hanger are reduced by 53% and 81%, respectively. And increasing the sag-to-span ratio proves effective in mitigating live load effects. Finally, the structural static responses under three critical load cases are analyzed to comprehensively validate the proposed analytical strategy. Full article
Show Figures

Figure 1

22 pages, 2341 KB  
Article
Quantitative Detection of High-Strength Bolt Loosening Based on Self-Magnetic Flux Leakage
by Shangkai Liu, Kai Tong, Fengmin Chen, Senhua Zhang and Runchan Xia
Buildings 2026, 16(3), 497; https://doi.org/10.3390/buildings16030497 - 26 Jan 2026
Viewed by 334
Abstract
The reliability of high-strength bolted connections is critical to the safety of large-scale engineering structures. This study proposes a non-contact quantitative method for detecting bolt loosening based on the self-magnetic flux leakage (SMFL) effect. Systematic experiments were carried out on M14-12.9 bolts, using [...] Read more.
The reliability of high-strength bolted connections is critical to the safety of large-scale engineering structures. This study proposes a non-contact quantitative method for detecting bolt loosening based on the self-magnetic flux leakage (SMFL) effect. Systematic experiments were carried out on M14-12.9 bolts, using nine independent specimens tested under six torque levels, to reveal the intrinsic relationship between bolt preload and the “magnetic valley” feature of the surface leakage field. For quantitative evaluation, the absolute value of the differential peak magnetic field, |ΔPMF|, is defined as the core feature parameter. The results show that, in the reference specimen group, |ΔPMF| exhibits a pronounced linear relationship with the applied torque (R2 > 0.96), and the corresponding linear regression parameters display good consistency across the nine specimens (RSD ≈ 4%). Comparative tests on two additional bolt specifications clarify how bolt strength grade and geometric size influence the detection sensitivity and linearity. To address lift-off effects, measurements on a representative specimen at four lift-off heights were used to construct a simplified bivariate linear compensation model, which significantly reduces lift-off-induced bias within the working range h = 10–16 mm. Finally, a hierarchical diagnostic scheme for bolt loosening that incorporates lift-off compensation is established on the basis of |ΔPMF|, providing a feasible approach for rapid assessment of bolt loosening under complex service conditions. Full article
Show Figures

Figure 1

21 pages, 12664 KB  
Article
High-Precision Point Cloud Registration for Long-Span Bridges Based on Iterative Closest-Surface Method
by Jinyu Zhu, Yin Zhou, Yonghui Fan, Guotao Hu, Chao Luo, Lijun Gan and Shengyang Liang
Buildings 2026, 16(3), 495; https://doi.org/10.3390/buildings16030495 - 25 Jan 2026
Viewed by 425
Abstract
Noncontact, high-fidelity data acquisition has enabled terrestrial laser scanning (TLS) to be widely adopted for bridge geometry measurement and condition monitoring. In TLS applications, point cloud registration directly affects data quality and the correctness of subsequent results. For long-span bridges in large-scale scenes, [...] Read more.
Noncontact, high-fidelity data acquisition has enabled terrestrial laser scanning (TLS) to be widely adopted for bridge geometry measurement and condition monitoring. In TLS applications, point cloud registration directly affects data quality and the correctness of subsequent results. For long-span bridges in large-scale scenes, complex geometry and sparse sampling pose challenges to surface-based, data-driven registration methods, and may degrade registration accuracy. A data-driven approach for high-precision point cloud registration, referred to as the Iterative Closest-Surface (IC-Surface) method, is presented in this study. The method extracts neighboring surface patches via a bounding box and applies random sampling-based plane fitting to derive surface features for registration, effectively mitigating the impact of sparse points and outliers in long-span bridges. Regular points are generated on the source patch and projected onto the corresponding target patch to establish high precision correspondences, yielding a stable and accurate transformation. This method effectively overcomes the limitations of the Iterative Closest Point (ICP), which struggles with unreliable correspondences and outliers. Comparative experiments were conducted using synthetic data, large bridge segments, and full-bridge datasets against commonly used registration methods. The results show that the IC-Surface method maintains high accuracy and stability across varying levels of outliers and overlap ratios. In complex scenes, IC Surface achieves higher registration accuracy than both ICP and the sphere target method, with distance errors reduced from 3 mm to 1 mm and inter-plane angle errors reduced from 0.016 rad to 0.009 rad. These findings demonstrate the method’s broad applicability in digital construction and operation and maintenance assessments of long-span bridges. Full article
Show Figures

Figure 1

17 pages, 2979 KB  
Article
Performance of Drilling–Mixing–Jetting Deep Cement Mixing Pile Groups in the Yellow River Floodplain Area
by Peng Li, Tao Lei, Chao Xu, Yuhe Zhang, Lin Li, Haoji Wei, Zhanyong Yao and Kai Yao
Buildings 2026, 16(1), 162; https://doi.org/10.3390/buildings16010162 - 29 Dec 2025
Viewed by 431
Abstract
The Yellow River Floodplain region of Shandong Province is dominated by silty soils that challenge geotechnical construction. Drilling–Mixing–Jetting (DMJ) Deep Cement Mixing Pile groups have been adopted to improve the geotechnical properties of the soil. This study conducted field tests to evaluate column [...] Read more.
The Yellow River Floodplain region of Shandong Province is dominated by silty soils that challenge geotechnical construction. Drilling–Mixing–Jetting (DMJ) Deep Cement Mixing Pile groups have been adopted to improve the geotechnical properties of the soil. This study conducted field tests to evaluate column strength and numerically investigated the effects of area replacement ratio (7.10%, 10.66% and 14.21%) and column spacing. It is observed that the DMJ-integrated columns demonstrate enhanced soil–cement strength in the Yellow River Floodplain region, with sample strengths varying between 2 and 8 MPa. The electrical resistivity of soil–cement shows a strong linear correlation (Pearson’s R > 0.75) with unconfined compressive strength. Settlement reduction ratios range between 32.11% and 94.75% and increase with higher area replacement ratio (ARR) and applied stress but decrease with larger column spacing. Bearing capacity improvement factors are found to be increased with ARR, while column spacing has minimal effect, with values between 423.89 kPa and 431.61 kPa. Lateral displacement decreased with column installation and increasing area replacement ratio (ARR), while the effect of column spacing was confined to depths near the column head. Full article
Show Figures

Figure 1

20 pages, 5035 KB  
Article
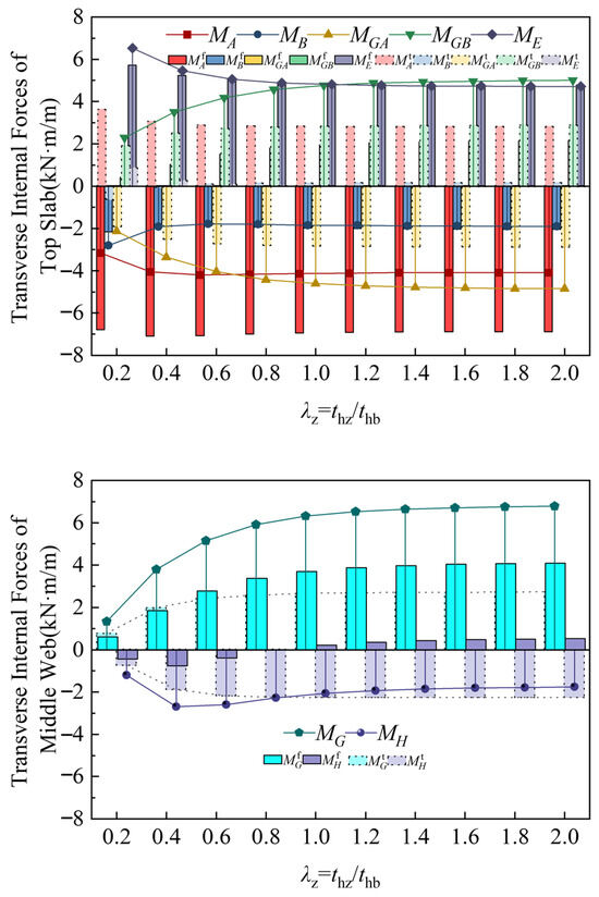
Analytical Calculation Method for Transverse Internal Force of Single-Box Double-Cell Box Girder with Inclined Webs Considering the Influence of Distortion Resistance Stiffness
by Jianbo Yu, Fucheng Zhou, Yuanhai Zhang, Yuyuan Zhang and Yanhong Wei
Buildings 2025, 15(24), 4478; https://doi.org/10.3390/buildings15244478 - 11 Dec 2025
Viewed by 490
Abstract
The complex structural form of single-box twin-cell concrete box girders with inclined webs, featuring two internal cavities and angled webs, makes accurate calculation of transverse internal forces a pressing issue. This paper explores methods for calculating transverse internal forces in these structures by [...] Read more.
The complex structural form of single-box twin-cell concrete box girders with inclined webs, featuring two internal cavities and angled webs, makes accurate calculation of transverse internal forces a pressing issue. This paper explores methods for calculating transverse internal forces in these structures by analyzing the mechanical behavior under eccentric loads using the single-box single-cell frame method, while fully considering structural characteristics. A method is proposed to decompose the analysis of released fictitious supports into three modes: torsion, distortion, and bending. This method clarifies shear force distribution patterns in the single-width frame for each mode of released support transverse internal forces, fully accounting for transverse flexural stiffness of each component. It establishes a general calculation method for transverse internal forces in single-box twin-cell box girders with inclined webs. The accuracy of this method is validated through comparison with results obtained from the finite element method (FEM). An in-depth analysis examines the relative magnitudes of transverse internal forces in each component and explores the effects of web inclination and middle web thickness on total transverse internal forces. Results show that the proposed calculation method aligns closely with FEM in terms of transverse internal force distribution patterns, demonstrating high accuracy. The total transverse internal force in the twin-cell box girder comprises fictitious support and released support transverse internal forces, with the latter primarily contributed by torsion and distortion modes. While tensile and compressive states of various slab elements differ in the two modes, the numerical values of transverse internal forces are very close under calculated conditions. When the eccentric load application point is near the middle web, the influence of the distortion mode increases significantly. In engineering practice, a rectangular section with the same top slab can be used as an approximate model to simplify transverse internal force calculations of the top slab in inclined web box girders. However, precise analysis is still required for the transverse internal force calculation of the middle web. To ensure the stability of transverse internal forces, it is recommended that the middle web thickness matches that of the side webs. Full article
Show Figures

Figure 1

20 pages, 4893 KB  
Article
Effects of Near-Fault Pulse-like Ground Motions upon Seismic Performance of Large-Span Concrete-Filled Steel Tubular Arch Bridges
by Jun Shi, Kai Zhang, Haoqi Shi, Dan Ye, Hongtao He and Maojun Yuan
Buildings 2025, 15(21), 3923; https://doi.org/10.3390/buildings15213923 - 30 Oct 2025
Cited by 1 | Viewed by 1065
Abstract
This study aims to explore the seismic performance of large-span concrete-filled steel tubular (CFST) arch bridges under near-fault pulse-like ground motions (PLGMs). Firstly, a deck-type CFST arch bridge located in a high-intensity seismic zone is studied. Three typical near-fault ground motions (NFGMs), namely, [...] Read more.
This study aims to explore the seismic performance of large-span concrete-filled steel tubular (CFST) arch bridges under near-fault pulse-like ground motions (PLGMs). Firstly, a deck-type CFST arch bridge located in a high-intensity seismic zone is studied. Three typical near-fault ground motions (NFGMs), namely, forward-directivity pulses, fling-step pulses, and nonpulse ground motions, are chosen for analysis. The effects of pulse characteristics on the seismic responses of the large-span arch bridge are investigated using the nonlinear dynamic time-history analysis method. Subsequently, the near-fault PLGMs are synthesized using the record-decomposition incorporation method, which takes into account the pulse type, seismic source, and site characteristics. The validity of the proposed synthesis method is evaluated from three perspectives: the time and frequency domains of ground motions and dynamic responses of the structure. Finally, the effects of the pulse type, fault distance, moment magnitude, and pulse superposition effect on dynamic responses of the large-span arch bridge are thoroughly studied. The results indicate that the arch bridge exhibits the most pronounced dynamic response to fling-step pulses and moderate responses to forward-directivity pulses, with nonpulse ground motions inducing the weakest response. The three pulse models accurately capture the essential characteristics of NFGMs. Moreover, the synthesized NFGMs, based on the same pulse type, show a high degree of consistency with the actual ground motion results. The dynamic responses are positively correlated with the number of pulse waveforms and the moment magnitude and negatively correlated with the fault distance. The dynamic response is most significant when the peak values of the two types of pulse records coincide. The pulse superposition effect dramatically affects dynamic responses of the arch bridge, so it needs to be fully taken into account in the seismic design of arch bridges. Full article
Show Figures

Figure 1

36 pages, 3601 KB  
Review
A Review of Inertial Positioning Error Suppression and Accuracy Improvement Methods for Underground Pipelines
by Zhongwei Hou, Han Liang, Shixun Wu, Xuefu Zhang and Wei Hu
Buildings 2025, 15(21), 3904; https://doi.org/10.3390/buildings15213904 - 28 Oct 2025
Viewed by 1534
Abstract
With the continuous advancement of urban construction, inertial sensors are increasingly used in the detection of underground pipelines. However, inertial measurement units (IMUs) are susceptible to a variety of error sources, leading to the accumulation of position estimation errors over time, which severely [...] Read more.
With the continuous advancement of urban construction, inertial sensors are increasingly used in the detection of underground pipelines. However, inertial measurement units (IMUs) are susceptible to a variety of error sources, leading to the accumulation of position estimation errors over time, which severely restricts their positioning accuracy. This paper provides a systematic review of IMU calibration and drift suppression error compensation methods applicable to underground pipeline environments. Building upon this foundation, it innovatively proposes a three-tiered review framework based on “error characteristics–compensation mechanisms–application scenarios”. The framework begins with the characterization of error factors, maps them to corresponding compensation mechanisms, and then applies them to specific operating conditions. It identifies current research limitations in real-time performance, robustness, experimental validation, and standardized evaluation. Future efforts should focus on designing lightweight fusion algorithms, integrating deep learning with sensor fusion, and establishing standardized testing platforms. This paper aims to summarize the current state and development trends of inertial sensor error compensation methods, providing a reference for advancing related technologies while offering beginners a clear and systematic learning path. Full article
Show Figures

Figure 1

17 pages, 2203 KB  
Article
Automated Checking of Highway Bridge BIM Models Based on Large Language Models
by Yongyi Yang, Xiaoping Jing and Yan-Ming Liu
Buildings 2025, 15(19), 3465; https://doi.org/10.3390/buildings15193465 - 25 Sep 2025
Viewed by 1711
Abstract
Building Information Modeling (BIM) is widely used in highway bridge engineering, making compliance with complex design specifications crucial. Existing checks rely heavily on manual review, which is time-consuming and inefficient. This study proposes an automated framework using large language models (LLMs) to parse [...] Read more.
Building Information Modeling (BIM) is widely used in highway bridge engineering, making compliance with complex design specifications crucial. Existing checks rely heavily on manual review, which is time-consuming and inefficient. This study proposes an automated framework using large language models (LLMs) to parse unstructured design specifications and extract structured rules with 79.5% accuracy, stored in a knowledge graph. IFC-formatted BIM component attributes are then compared with these rules to check structural completeness and compliance, achieving 84.4% precision. The results indicate that the framework offers an effective solution for automated rule extraction and has the potential to improve compliance-checking efficiency and accuracy in engineering practice. Full article
Show Figures

Figure 1

23 pages, 5280 KB  
Article
Seismic Damage Pattern Analysis of Long-Span CFST Arch Bridges Based on Damper Configuration Strategies
by Bin Zhao, Longhua Zeng, Qingyun Chen, Chao Gan, Lueqin Xu and Guosi Cheng
Buildings 2025, 15(15), 2728; https://doi.org/10.3390/buildings15152728 - 2 Aug 2025
Cited by 1 | Viewed by 960
Abstract
Variations in damper configuration strategies have a direct impact on the seismic damage patterns of long-span deck-type concrete-filled steel tube (CFST) arch bridges. This study developed an analysis and evaluation framework to identify the damage category, state, and progression sequence of structural components. [...] Read more.
Variations in damper configuration strategies have a direct impact on the seismic damage patterns of long-span deck-type concrete-filled steel tube (CFST) arch bridges. This study developed an analysis and evaluation framework to identify the damage category, state, and progression sequence of structural components. The framework aims to investigate the influence of viscous dampers on the seismic response and damage patterns of long-span deck-type CFST arch bridges under near-fault pulse-like ground motions. The effects of different viscous damper configuration strategies and design parameters on seismic responses of long-span deck-type CFST arch bridges were systematically investigated, and the preferred configuration and parameter set were identified. The influence of preferred viscous damper configurations on seismic damage patterns of long-span deck-type CFST arch bridges was systematically analyzed through the established analysis and evaluation frameworks. The results indicate that a relatively optimal reduction in bridge response can be achieved when viscous dampers are simultaneously installed at both the abutments and the approach piers. Minimum seismic responses were attained at a damping exponent α = 0.2 and damping coefficient C = 6000 kN/(m/s), demonstrating stability in mitigating vibration effects on arch rings and bearings. In the absence of damper implementation, the lower chord arch foot section is most likely to experience in-plane bending failure. The piers, influenced by the coupling effect between the spandrel construction and the main arch ring, are more susceptible to damage as their height decreases. Additionally, the end bearings are more prone to failure compared to the central-span bearings. Implementation of the preferred damper configuration strategy maintains essentially consistent sequences in seismic-induced damage patterns of the bridge, but the peak ground motion intensity causing damage to the main arch and spandrel structure is significantly increased. This strategy enhances the damage-initiation peak ground acceleration (PGA) for critical sections of the main arch, while concurrently reducing transverse and longitudinal bending moments in pier column sections. The proposed integrated analysis and evaluation framework has been validated for its applicability in capturing the seismic damage patterns of long-span deck-type CFST arch bridges. Full article
Show Figures

Figure 1

16 pages, 1400 KB  
Article
An RMSprop-Incorporated Latent Factorization of Tensor Model for Random Missing Data Imputation in Structural Health Monitoring
by Jingjing Yang
Algorithms 2025, 18(6), 351; https://doi.org/10.3390/a18060351 - 6 Jun 2025
Viewed by 1458
Abstract
In structural health monitoring (SHM), ensuring data completeness is critical for enhancing the accuracy and reliability of structural condition assessments. SHM data are prone to random missing values due to signal interference or connectivity issues, making precise data imputation essential. A latent factorization [...] Read more.
In structural health monitoring (SHM), ensuring data completeness is critical for enhancing the accuracy and reliability of structural condition assessments. SHM data are prone to random missing values due to signal interference or connectivity issues, making precise data imputation essential. A latent factorization of tensor (LFT)-based method has proven effective for such problems, with optimization typically achieved via stochastic gradient descent (SGD). However, SGD-based LFT models and other imputation methods exhibit significant sensitivity to learning rates and slow tail-end convergence. To address these limitations, this study proposes an RMSprop-incorporated latent factorization of tensor (RLFT) model, which integrates an adaptive learning rate mechanism to dynamically adjust step sizes based on gradient magnitudes. Experimental validation on a scaled bridge accelerometer dataset demonstrates that RLFT achieves faster convergence and higher imputation accuracy compared to state-of-the-art models including SGD-based LFT and the long short-term memory (LSTM) network, with improvements of at least 10% in both imputation accuracy and convergence rate, offering a more efficient and reliable solution for missing data handling in SHM. Full article
Show Figures

Figure 1

17 pages, 1804 KB  
Article
Analysis Method for the Pouring Stage of Concrete-Filled Steel Tube (CFST) Arch Bridges Considering Time-Varying Heat of Hydration and Elastic Modulus
by Mengsheng Yu, Xinyu Yao, Kaizhong Xie, Tianzhi Hao and Xirui Wang
Buildings 2025, 15(10), 1711; https://doi.org/10.3390/buildings15101711 - 18 May 2025
Cited by 4 | Viewed by 1303
Abstract
The behavior of long-span concrete-filled steel tube (CFST) arch bridges during the pouring stage is complex. The coupling effect of the time-varying hydration heat and the evolution of the elastic modulus is crucial for the linear control of the structure. Most of the [...] Read more.
The behavior of long-span concrete-filled steel tube (CFST) arch bridges during the pouring stage is complex. The coupling effect of the time-varying hydration heat and the evolution of the elastic modulus is crucial for the linear control of the structure. Most of the existing models focus on static self-weight analysis but generally ignore the above-mentioned dynamic heat–force interaction, resulting in significant prediction deviations. In response to this limitation, this paper proposes an analysis method for the injection stage considering the time-varying heat of hydration and elastic modulus of concrete inside the pipe. Firstly, based on the composite index model of the hydration heat and through the reduction of the participating materials, the heat source function of the hydration heat of the arch rib was obtained, and its accuracy was verified by using two test components. Secondly, the equivalent application method of the hydration heat temperature field of the bar system model was proposed. Combined with the modified time-varying model of the elastic modulus at the initial age, the analysis method for the pouring stage of concrete-filled steel tube arch bridges was established. Finally, the accuracy of the proposed method was verified by analysis and calculation combined with engineering examples and comparison with the measured results. The results show that the time-varying heat of hydration and the time-varying elastic modulus during the concrete pouring stage inside the pipe can lead to residual deflection after the arch rib is poured. The calculated value of the example reaches 154 mm, while the influence of the lateral displacement is relatively small and recoverable. The proposed method improves the calculation accuracy by 44.19% compared with the traditional method, which is of great significance for the actual engineering construction control. Full article
Show Figures

Figure 1

28 pages, 8423 KB  
Article
Research on the Support-Free Replacement Method of Suspenders for Long-Span Self-Anchored Rail Special Suspension Bridges
by Xiaogang Li, Minglin Zhou, Peng Ding, Ling Luo, Xiangsheng Huang and Xiang Li
Buildings 2025, 15(9), 1406; https://doi.org/10.3390/buildings15091406 - 22 Apr 2025
Viewed by 989
Abstract
To meet the demand of not interrupting traffic during the replacement of suspenders in long-span railway suspension bridges, this research proposes for the first time the application of the unsupported replacement method to the suspender replacement of self-anchored railway suspension bridges. Based on [...] Read more.
To meet the demand of not interrupting traffic during the replacement of suspenders in long-span railway suspension bridges, this research proposes for the first time the application of the unsupported replacement method to the suspender replacement of self-anchored railway suspension bridges. Based on the basic principle of suspension bridge, the safety control index in the process of boom replacement is proposed. Midas Civil 2024 software is used to analyze the structural response of the boom after removal under static force and train load, including the change of cable force of adjacent boom, the displacement of main cable and stiffening beam. The real bridge test was carried out based on the special bridge of Chongqing Egongyan Track. The results show that after the removal of the boom, the cable force of the adjacent boom increases by 42–55%, the main cable is partially twisted but the adjacent joints change little, and the displacement of the stiffened beam meets the specification requirements. When the train is fully loaded, the maximum increase of the cable force of the adjacent boom is 150 kN, the stress increment of the operating boom is far less than the design strength, the increase of the downtorsion of the main cable is only 2.22%, and the displacement of the stiffening beam is within the allowable range. The safety control index and real bridge test results show that the unsupported replacement method is feasible and safe in the replacement of the suspenders of long-span rail suspension bridges, which provides an important reference for related projects. Full article
Show Figures

Figure 1

18 pages, 3311 KB  
Article
Synchronous Multi-Span Closure Techniques in Continuous Rigid-Frame Bridges: Research and Implementation
by Xinyu Yao and Chuanxi Li
Buildings 2025, 15(8), 1331; https://doi.org/10.3390/buildings15081331 - 17 Apr 2025
Cited by 1 | Viewed by 1147
Abstract
This study investigates the Huangdong Daning River Bridge project in Guangxi, where the innovative side-span and mid-span synchronous closure technology for continuous rigid-frame bridges (CRFB) was systematically implemented for the first time in this region of China. A comparative finite element model developed [...] Read more.
This study investigates the Huangdong Daning River Bridge project in Guangxi, where the innovative side-span and mid-span synchronous closure technology for continuous rigid-frame bridges (CRFB) was systematically implemented for the first time in this region of China. A comparative finite element model developed in MIDAS Civil 2024 was employed to analyze the mechanical behavior mechanisms of main girders under span-by-span closure and synchronous closure processes. The numerical simulation results demonstrate that the stress distribution in main girders shows no significant sensitivity (<3%) to closure method differences during both the bridge completion phase and 10-year shrinkage-creep cycle. However, distinct closure sequences (asynchronous vs. synchronous) exhibited notable impacts on the girder alignment at the completion stage. The cumulative deviation induced by differential installation elevations of formwork segments necessitates precise dynamic control during construction monitoring. Furthermore, shrinkage and creep effects manifested differential influences on pier top horizontal displacements and bending moments when employing different closure methods, though all variations remained within 5%. The synchronous multi-span closure technology effectively mitigates structural mutation risks during construction while achieving superior alignment accuracy, rational stress distribution, and accelerated construction progress as verified by field implementation. Full article
Show Figures

Figure 1

21 pages, 8531 KB  
Article
Recursive Time Series Prediction Modeling of Long-Term Trends in Surface Settlement During Railway Tunnel Construction
by Feilian Zhang, Qicheng Wei, Zhe Wu, Jiawei Cao, Danlin Jian and Lantian Xiang
CivilEng 2025, 6(2), 19; https://doi.org/10.3390/civileng6020019 - 3 Apr 2025
Cited by 1 | Viewed by 1483
Abstract
The surface settlement of railroad tunnels is dynamically updated as the construction progresses, exhibiting complex nonlinear characteristics. The accuracy of the on-site nonlinear regression fitting prediction method needs to be improved. To prevent surface settlement and surrounding rock collapse during railroad tunnel construction, [...] Read more.
The surface settlement of railroad tunnels is dynamically updated as the construction progresses, exhibiting complex nonlinear characteristics. The accuracy of the on-site nonlinear regression fitting prediction method needs to be improved. To prevent surface settlement and surrounding rock collapse during railroad tunnel construction, while also ensuring the safety of the tunnel and existing structures, we propose a recursive prediction model for the long-term trend of surface settlement utilizing a singular spectrum analysis (SSA), improved sand cat swarm optimization (ISCSO), and a kernel extreme learning machine (KELM). First, SSA decomposition, known for its adaptive decomposition of one-dimensional nonlinear time series, reorganizes the early surface settlement data. The dynamic sliding window method is introduced to construct the prediction dataset, which is then trained using the KELM. ISCSO is used to optimize the key parameters of the KELM to obtain the long-term trend curves of surface settlement through recursive time series prediction. The superiority and effectiveness of ISCSO and the model are verified through numerical experiments and simulation experiments based on engineering cases, providing a reference for the early warning and control of surface settlement during the construction of similar tunnels. Full article
Show Figures

Figure 1

25 pages, 11695 KB  
Article
Multi-Scale Crack Detection and Quantification of Concrete Bridges Based on Aerial Photography and Improved Object Detection Network
by Liming Zhou, Haowen Jia, Shang Jiang, Fei Xu, Hao Tang, Chao Xiang, Guoqing Wang, Hemin Zheng and Lingkun Chen
Buildings 2025, 15(7), 1117; https://doi.org/10.3390/buildings15071117 - 29 Mar 2025
Cited by 6 | Viewed by 3012
Abstract
Regular crack detection is essential for extending the service life of bridges. However, the image data collected during bridge crack inspections are complex to convert into physical information and construct intuitive and comprehensive Three-Dimensional (3D) models incorporating crack information. An intelligent crack detection [...] Read more.
Regular crack detection is essential for extending the service life of bridges. However, the image data collected during bridge crack inspections are complex to convert into physical information and construct intuitive and comprehensive Three-Dimensional (3D) models incorporating crack information. An intelligent crack detection method for bridge surface damage based on Unmanned Aerial Vehicles (UAVs) is proposed for these challenges, incorporating a three-stage detection, quantification, and visualization process. This method enables automatic crack detection, quantification, and localization in a 3D model, generating a bridge model that includes crack details and distribution. The key contributions of this method are as follows: (1) The DCN-BiFPN-EMA-YOLO (DBE-YOLO) crack detection network is introduced, which improves the model’s ability to extract crack features from complex backgrounds and enhances its multi-scale detection capability for accurate detection; (2) a more comprehensive crack quantification method is proposed, integrating the crack automation detection system for accurate crack quantification and efficient processing; (3) crack information is mapped onto the 3D model by computing the camera pose for each image in the 3D model for intuitive crack visualization. Experimental results from tests on a concrete beam and an urban bridge demonstrate that the proposed method accurately identifies and quantifies crack images captured by UAVs. The DBE-YOLO network achieves an accuracy of 96.79% and an F1 score of 88.51%, improving accuracy by 3.19% and the F1 score by 3.8% compared to the original model. The quantification accuracy is within 10% of the error margin of traditional manual inspection. A 3D bridge model was also constructed and integrated with crack information. Full article
Show Figures

Figure 1

24 pages, 2227 KB  
Review
Current Status and Prospects of Digital Twin Approaches in Structural Health Monitoring
by Qiuting Wang, Bo Huang, Yongsheng Gao and Chaojian Jiao
Buildings 2025, 15(7), 1021; https://doi.org/10.3390/buildings15071021 - 22 Mar 2025
Cited by 17 | Viewed by 5597
Abstract
Structural health monitoring (SHM) is a critical technology for ensuring infrastructure safety, extending their service life, and reducing their maintenance costs. With the rapid development of digital twin (DT) technology, an increasing number of studies have implemented DT in SHM systems. This study [...] Read more.
Structural health monitoring (SHM) is a critical technology for ensuring infrastructure safety, extending their service life, and reducing their maintenance costs. With the rapid development of digital twin (DT) technology, an increasing number of studies have implemented DT in SHM systems. This study provides a detailed analysis of the role of DT in SHM through a comprehensive literature review, specifically examining its applications in damage detection, dynamic response monitoring, and maintenance management. The paper first reviews advances in DT applications across various fields, then systematically discusses how DT enhances monitoring accuracy, enables real-time performance, and supports predictive maintenance strategies in SHM. Finally, technical challenges and future research directions for DT implementation in SHM are explored. The findings highlight DT’s significant potential to improve both the efficiency and the accuracy of structural monitoring systems, while proposing innovative solutions for intelligent infrastructure management. Full article
Show Figures

Figure 1

18 pages, 3218 KB  
Article
CGV-Net: Tunnel Lining Crack Segmentation Method Based on Graph Convolution Guided Transformer
by Kai Liu, Tao Ren, Zhangli Lan, Yang Yang, Rong Liu and Yuantong Xu
Buildings 2025, 15(2), 197; https://doi.org/10.3390/buildings15020197 - 10 Jan 2025
Cited by 3 | Viewed by 1979
Abstract
Lining cracking is among the most prevalent forms of tunnel distress, posing significant threats to tunnel operations and vehicular safety. The segmentation of tunnel lining cracks is often hindered by the influence of complex environmental factors, which makes relying solely on local feature [...] Read more.
Lining cracking is among the most prevalent forms of tunnel distress, posing significant threats to tunnel operations and vehicular safety. The segmentation of tunnel lining cracks is often hindered by the influence of complex environmental factors, which makes relying solely on local feature extraction insufficient for achieving high segmentation accuracy. To address this issue, this study proposes CGV-Net (CNN, GNN, and ViT networks), a novel tunnel crack segmentation network model that integrates convolutional neural networks (CNNs), graph neural networks (GNNs), and Vision Transformers (ViTs). By fostering information exchange among local features, the model enhances comprehension of the global structural patterns of cracks and improves inference capabilities in recognizing intricate crack configurations. This approach effectively addresses the challenge of modeling contextual information in crack feature extraction. Additionally, the Detailed-Macro Feature Fusion (DMFF) module enables multi-scale feature integration by combining detailed and coarse-grained features, mitigating the significant feature loss encountered during the encoding and decoding stages, and further improving segmentation precision. To overcome the limitations of existing public datasets, which often feature a narrow range of crack types and simplistic backgrounds, this study introduces TunnelCrackDB, a dataset encompassing diverse crack types and complex backgrounds.Experimental evaluations on both the public Crack dataset and the newly developed TunnelCrackDB demonstrate the efficacy of CGV-Net. On the Crack dataset, CGV-Net achieves accuracy, recall, and F1 scores of 73.27% and 57.32%, respectively. On TunnelCrackDB, CGV-Net attains accuracy, recall, and F1 scores of 81.15%, 83.54%, and 82.33%, respectively, showcasing its superior performance in challenging segmentation tasks. Full article
Show Figures

Figure 1

Back to TopTop