Next Issue
Volume 12, December
Previous Issue
Volume 12, October
 
 

Separations, Volume 12, Issue 11 (November 2025) – 36 articles

Cover Story (view full-size image): Rowan (Sorbus aucuparia L.) is a resilient, polyphenol-rich fruit that is still underutilized. This study investigated how pre-treatment and extraction strategy affected the recovery of health-promoting phenolics and antioxidant activity from its fruits. Convective drying was compared with freeze-drying, followed by rotor–stator homogenization, ultrasound-assisted extraction, and Soxhlet extraction in ethanol. Freeze-drying roughly doubled total phenolics, and freeze-dried samples treated with ultrasound showed the strongest antioxidant capacity and favorable greenness scores. Soxhlet maximized phenolic and flavonoid yields but at a higher environmental cost. The findings guided the design of sustainable processes to valorize rowan as a source of natural antioxidants. View this paper
  • Issues are regarded as officially published after their release is announced to the table of contents alert mailing list.
  • You may sign up for e-mail alerts to receive table of contents of newly released issues.
  • PDF is the official format for papers published in both, html and pdf forms. To view the papers in pdf format, click on the "PDF Full-text" link, and use the free Adobe Reader to open them.
Order results
Result details
Section
Select all
Export citation of selected articles as:
14 pages, 1584 KB  
Article
UHPLC-QTOF-MS/MS Metabolomic Profiling Reveals Environmental, Morphological, and Taxonomic Drivers of Chemical Diversity in Neotropical Banisteriopsis and Stigmaphyllon
by Jaqueline Munise Guimarães da Silva, Grazielle Jesus dos Santos, Rafael Felipe de Almeida and Maria Luiza Zeraik
Separations 2025, 12(11), 323; https://doi.org/10.3390/separations12110323 - 20 Nov 2025
Cited by 1 | Viewed by 992
Abstract
Banisteriopsis and Stigmaphyllon are among the most species-rich liana genera in the Neotropical Malpighiaceae family, known for their diverse chemical and biological activities. However, metabolomic information correlating these genera with their biome of occurrence, humidity levels, and plant habit (liana vs. shrub) remains [...] Read more.
Banisteriopsis and Stigmaphyllon are among the most species-rich liana genera in the Neotropical Malpighiaceae family, known for their diverse chemical and biological activities. However, metabolomic information correlating these genera with their biome of occurrence, humidity levels, and plant habit (liana vs. shrub) remains limited. This study explored in detail the metabolomic profiles of 15 species (29 specimens) of Banisteriopsis and 26 species (35 specimens) of Stigmaphyllon using Partial Least Squares Discriminant Analysis (PLS-DA). Leaf extracts obtained with ethanol/water (4:1, v/v) were analyzed by Ultra Performance Liquid Chromatography coupled to Quadrupole Time-of-Flight Mass Spectrometry (UHPLC-QTOF-MS/MS). Comparative analyses were performed at the genus level and across biome, humidity, and plant habit variables. The UHPLC-MS/MS profiling enabled the annotation of compounds, including previously unreported metabolites identified in B. quadriglandula and S. saxicola. Shared metabolites between the two genera were also characterized. PLS-DA revealed discriminant metabolites associated with the different comparative parameters, notably glucose (plant habit), coumaroyl hexoside, myricetin-3-galactoside, quercetin (genus), and quercetin-3-O-robinobioside (environment). With 95% confidence, our results demonstrate that environmental and morphological factors significantly influence metabolite biosynthesis in Banisteriopsis and Stigmaphyllon, providing valuable insights for future phytochemical and ecological research in the Neotropics. Full article
Show Figures

Figure 1

17 pages, 1999 KB  
Article
Enhancing Dye Removal Efficiency Through Sustainable Adsorbent Production from Corncobs (Zea mays L. ssp. amilacea)
by Rosmery Godoy Bautista, Rubén Alfredo Palomino Infante, Cipriano Mendoza Rojas, Kirianova Godoy Bautista, Juan Carlos Woolcott Hurtado, Ulises Roman-Concha and Héctor Luis Gómez Ramírez
Separations 2025, 12(11), 322; https://doi.org/10.3390/separations12110322 - 20 Nov 2025
Viewed by 1738
Abstract
Active surface materials such as activated carbon are used in the removal of contaminants and dyes in effluents. The primary objective of this study was to convert starchy corncobs into valuable activated carbon, capable of efficiently adsorbing dyes, and to comprehensively analyze the [...] Read more.
Active surface materials such as activated carbon are used in the removal of contaminants and dyes in effluents. The primary objective of this study was to convert starchy corncobs into valuable activated carbon, capable of efficiently adsorbing dyes, and to comprehensively analyze the resulting material’s physical and structural properties. To achieve this purpose, a 23 factorial design was employed to create optimized activated carbon for effective methylene blue dye adsorption. The factors considered were carbonization temperatures, carbonization times, and H3PO4 activating agent concentrations. This design yielded eight types of activated carbon, namely B-85%, D-85%, M-85%, L-85%, A-45%, S-45%, P-45% and X-45%, observing that the increase in temperature and carbonization time had negative effects on the adsorption capacity, while the increase in the percentage of activating agent had positive effects. The variant labeled as A-45% displayed the highest cationic methylene blue dye removal efficiency, boasting a remarkable adsorption capacity of 99.93%. This result almost reached the performance of commercial activated carbon, which exhibited a similar methylene blue dye removal efficiency (99.94%), while the removal efficiency of the anionic dye nigrosin was 95.24%. X-ray diffraction analysis of activated carbon A-45% indicated a slightly crystalline amorphous structure. Moreover, surface area analysis utilizing the BET method revealed that this material possessed a micromesoporous nature, mainly consisting of cylindrical micropores, resulting in an impressive surface area of 306,493 m2/g. FTIR analysis revealed the presence of functional groups, including O-H, C=C, C-O, C-X, and P=O, which create a highly polar surface that enhances the chemisorption of cationic molecules like methylene blue. These findings demonstrate the potential application of the synthesized activated carbon in industrial effluent treatment processes. Full article
Show Figures

Graphical abstract

20 pages, 1458 KB  
Article
Comparison and Validation of QuEChERS Extraction Methods Coupled with UHPLC/Orbitrap HR-MS for the Determination of Antibiotics and Related Compounds in Fish and Fish Feed
by Kleopatra Miserli, Vasiliki Boti, Dimitra Hela, Triantafyllos Albanis and Ioannis Konstantinou
Separations 2025, 12(11), 321; https://doi.org/10.3390/separations12110321 - 18 Nov 2025
Cited by 1 | Viewed by 1277
Abstract
The widespread presence of pharmaceutical active compounds (PhACs) in aquatic environments raises significant environmental and public health concerns, particularly through their accumulation in marine biota and potential transfer to humans via seafood. In aquaculture, fish feed is essential for production but may also [...] Read more.
The widespread presence of pharmaceutical active compounds (PhACs) in aquatic environments raises significant environmental and public health concerns, particularly through their accumulation in marine biota and potential transfer to humans via seafood. In aquaculture, fish feed is essential for production but may also act as a pathway for contaminants in the marine environment. This study aimed to develop and validate an analytical method for the extraction and quantification of 14 antibiotics and ethoxyquin antioxidant in fish tissue and feed. Two QuEChERS-based extraction protocols were compared: the AOAC 2007.01 method (Method A) using Z-Sep+ as clean-up, and the original QuEChERS method (Method B) employing Enhanced Matrix Removal (EMR)-lipid. Ultra-performance liquid chromatography coupled with Orbitrap mass spectrometry using electrospray ionization in positive and negative mode was applied for identification and quantification. Validation included assessment of recovery, linearity, precision, limits of detection and quantification, uncertainty, matrix effects, and process efficiency. Both methods showed good linearity (R2 > 0.9899) and precision (<19.7%). Method B achieved superior recoveries for most analytes in both fish tissue (70–110%) and feed (69–119%), with lower uncertainties (<18.4%) compared to Method A. Overall, the original QuEChERS method demonstrated better analytical performance, supporting its application as a green, robust tool for monitoring emerging contaminants in aquaculture products. Full article
Show Figures

Graphical abstract

19 pages, 5532 KB  
Article
Multi-Parameter Synergistic Effects on Fine Coal Slurry Sedimentation in High-Gravity Fields: A CFD Study
by Lingyun Liu, Huikuan Pan, Wei Ge and Chuilei Kong
Separations 2025, 12(11), 320; https://doi.org/10.3390/separations12110320 - 16 Nov 2025
Cited by 1 | Viewed by 773
Abstract
This study addresses the technical challenges of conventional coal slurry sedimentation equipment in handling fine coal particles, such as poor settling performance and strong dependence on chemical reagents, by designing a novel high-gravity sedimentation and dewatering device. Solid–liquid centrifugal separation was simulated on [...] Read more.
This study addresses the technical challenges of conventional coal slurry sedimentation equipment in handling fine coal particles, such as poor settling performance and strong dependence on chemical reagents, by designing a novel high-gravity sedimentation and dewatering device. Solid–liquid centrifugal separation was simulated on the CFD-Fluent platform using the Eulerian–Eulerian method, with the solid volume fraction and effective deposition thickness adopted as key indicators of particle settling performance. The settling behavior and flow field characteristics of particles with different sizes (0.045–0.5 mm) were elucidated under varying centrifugal radii (400–800 mm) and rotational speeds (400–1200 r·min−1), thereby providing a solid theoretical foundation for the parameter optimization of centrifugal settling processes for fine particles. The results indicate that increasing the centrifugal radius and rotational speed strengthens the centrifugal field effect, markedly enhancing the dynamic pressure gradient and interphase slip velocity. Under high-speed (ω = 1200 r·min−1) and large-radius (R = 800 mm) conditions, the dynamic pressure of fine particles (0.045 mm) reached 7.52 MPa with a radial velocity of 0.79 m·s−1, effectively compensating for the settling disadvantage of fine particles, promoting solid–liquid separation, and ensuring the stable deposition of coal particles. Meanwhile, as particle size increases, a distinct deposition thickness can be formed under different operating conditions, demonstrating that particle size is the dominant factor governing deposition behavior. The study elucidates the intrinsic mechanism of how multiple parameters—rotational speed, centrifugal radius, and coal particle size—synergistically influence particle deposition characteristics. By regulating these parameters to accommodate different particle sizes, the findings provide valuable insights for the parameter optimization of centrifugal settling processes for fine particles. Full article
(This article belongs to the Special Issue Solid Waste Recycling and Strategic Metal Extraction)
Show Figures

Figure 1

12 pages, 1504 KB  
Article
Solid-Phase Extraction Combined with Digital Image Colorimetry for the Analysis of Lead in Water Samples
by Wenying Wu, Zhen Ma, Xu Jing and Xinyuan Bi
Separations 2025, 12(11), 319; https://doi.org/10.3390/separations12110319 - 15 Nov 2025
Cited by 1 | Viewed by 1063
Abstract
In this study, we developed a rapid method for determining lead(II) by integrating solid-phase extraction with digital image colorimetry to reduce the time and labor required for the analysis of lead(II) in water samples. The solid-phase extraction column was packed with cellulose as [...] Read more.
In this study, we developed a rapid method for determining lead(II) by integrating solid-phase extraction with digital image colorimetry to reduce the time and labor required for the analysis of lead(II) in water samples. The solid-phase extraction column was packed with cellulose as a bio-based adsorbent, which facilitated adsorption and enrichment of lead(II) during sample loading. The elution step, which is time-consuming and solvent-intensive, was eliminated from the procedure. An aqueous solution of sodium rhodizonate was added to react with lead(II), forming a red–brown complex. The color intensity was quantified using a smartphone-based digital image colorimetry. The method showed good linearity in the range of 0.01–0.8 mg L−1 with R2 > 0.99. In tap, river, and spring water, the recovery was 93.5% to 97.5% with a relative standard deviation of 1.7–4.8%. Five complementary greenness assessment tools confirmed the environmental friendliness of the method. This rapid pretreatment and detection technique can be applied to analyzing lead(II) in aqueous samples. Full article
Show Figures

Figure 1

16 pages, 4753 KB  
Article
Numerical Analysis and Experimental Study on the Classification of Fine Particles Using a Hydrocyclone with Multiple Vortex Finders
by Feng Li, Guodong Huang, Chaoqi Zou, Yuting Fu, Jiawei Li, Baocong Ma, Yanchao Wang and Chenglei Zhang
Separations 2025, 12(11), 318; https://doi.org/10.3390/separations12110318 - 15 Nov 2025
Viewed by 731
Abstract
Ultrafine particles, as raw materials for various industries such as construction and environmental protection, are currently obtained through repeated ball milling and multiple classifications, but classification efficiency remains at a low level. Based on the principle of hydrocyclone classification, this paper designs a [...] Read more.
Ultrafine particles, as raw materials for various industries such as construction and environmental protection, are currently obtained through repeated ball milling and multiple classifications, but classification efficiency remains at a low level. Based on the principle of hydrocyclone classification, this paper designs a hydrocyclone with a triple-vortex finder structure that can achieve finer particle size distributions without altering the main structure of the hydrocyclone. The classification performance of the triple-vortex finder hydrocyclone is investigated through numerical analysis and experimental methods, with numerical comparisons made to single-vortex finder and double-vortex finder structures. The results indicate that with an increase in the number of vortex finders, the static pressure and tangential velocity gradually decrease, reducing the likelihood of tangential vortex formation while meeting classification requirements. The axial velocity in the triple-vortex finder structure is significantly reduced, which extends the residence time within the hydrocyclone and facilitates sufficient particle classification. As the number of vortex finders increases, the zero-velocity envelope surface (LZVV) gradually migrates inward, enlarging the external swirling classification space. Through numerical and experimental analyses, it is found that the triple-vortex finder hydrocyclone exhibits the highest classification efficiency, the strongest cutting ability, and the best classification accuracy. Compared to the single-vortex finder structure, the cutting particle size of the triple-vortex finder hydrocyclone decreases by 2.5 µm, and the content of fine particles in the underflow is reduced by 4.36 percentage points, effectively decreasing the fine particle content in the underflow. The quality efficiency improves by 18.85 percentage points compared to the single-vortex finder, while the quantity efficiency shows no significant decline. The obtained data provide a theoretical foundation and data support for the structural design of the new hydrocyclone. Full article
(This article belongs to the Topic Advances in Separation Engineering)
Show Figures

Figure 1

13 pages, 1406 KB  
Article
A Comprehensive Analytical Workflow for the Quantification of Carotenoid Presence in Chicken Egg Yolks
by Eleni D. Myrtsi, Dionysios T. Pavlopoulos, Vasilios Iliopoulos, Sofia D. Koulocheri and Serkos A. Haroutounian
Separations 2025, 12(11), 317; https://doi.org/10.3390/separations12110317 - 14 Nov 2025
Viewed by 1145
Abstract
Chicken egg is included among the main components of the human diet as an important source of nutrients, such as proteins, lipids, vitamins, minerals and carotenoids. The latter are terpenoid pigments present in egg yolks, providing their color and playing a vital role [...] Read more.
Chicken egg is included among the main components of the human diet as an important source of nutrients, such as proteins, lipids, vitamins, minerals and carotenoids. The latter are terpenoid pigments present in egg yolks, providing their color and playing a vital role because of their significant bioactivities. The carotenoid content of egg yolk varies considerably since it is strongly influenced by the respective laying hens’ farming and feeding procedures, and there is therefore a need to establish an efficient method for their assessment. The absence of such a method prompted us to develop a novel procedure consisting of the extraction, saponification and quantitative assessment of contained carotenoids. For this purpose, the optimal conditions for the extraction of carotenoids from egg yolks were defined, along with the optimal saponification conditions of carotenoids, with respect to reaction duration and pH influence on the extract’s contents of lutein and zeaxanthin. The carotenoid content of extracts was determined using a novel, developed herein LC-MS/MS method that allows the accurate, fast and simultaneous quantitation of the 11 most abundant carotenoids in egg yolks. The method accuracy and reliability were validated for six different parameters determined for each analyte. The novel procedure was applied for the assessment of the carotenoid content of ten egg yolks of diverse origin, indicating the bioactive carotenoids lutein and retinol as the most abundant, while lesser amounts of the remaining natural and synthetic carotenoids were found and there was no trace of fucoxanthin or astaxanthin molecules. The results herein revealed a variation in the carotenoid content of chicken eggs that depended on the diet and farming method of egg-laying hens. Full article
Show Figures

Figure 1

19 pages, 2557 KB  
Article
Comparison of Different DNA Isolation Methods from Grapevine (Vitis vinifera) Leaves
by Nina Buljević, Darko Preiner, Iva Šikuten and Ivana Tomaz
Separations 2025, 12(11), 316; https://doi.org/10.3390/separations12110316 - 12 Nov 2025
Cited by 2 | Viewed by 2586
Abstract
The extraction of high-quality DNA is essential for molecular analyses in grapevine, yet differences among commonly used protocols remain underexplored. This study compared two cetyltrimethylammonium bromide (CTAB)-based methods, with and without polyvinylpyrrolidone (PVP), and three commercial kits (peqGOLD Plant DNA Mini Kit, Qiagen [...] Read more.
The extraction of high-quality DNA is essential for molecular analyses in grapevine, yet differences among commonly used protocols remain underexplored. This study compared two cetyltrimethylammonium bromide (CTAB)-based methods, with and without polyvinylpyrrolidone (PVP), and three commercial kits (peqGOLD Plant DNA Mini Kit, Qiagen DNeasy Plant Mini Kit, and SPINeasy DNA Kit for Plant MP) using grapevine leaves and other tissues and further validated the CTAB protocol across 34 cultivars. DNA yield, purity, and integrity were assessed spectrophotometrically and by electrophoresis, while PCR suitability was confirmed for all methods. CTAB provided the highest yields and purity at low cost, with densitometry showing approximately 70–85% high-molecular-weight DNA (>20 kb). The Qiagen kit yielded reproducible results with moderate integrity (about 40–60% HMW fraction), making it suitable for high-throughput applications. The MP kit produced high concentrations but severe fragmentation (<10% HMW fraction) due to bead-beating, while the VWR kit performed worst in yield and purity. The addition of PVP improved DNA purity in polyphenol-rich tissues but reduced yield. All protocols generated DNA sufficient for PCR amplification. Overall, CTAB was robust and cost-effective across cultivars and tissues, Qiagen offered speed and reproducibility, and MP provided high concentration at the expense of integrity. Full article
(This article belongs to the Collection State of the Art in Plant Omics Analysis in Separations)
Show Figures

Figure 1

18 pages, 4999 KB  
Article
Efficient Resource Utilization and Environmentally Safe Recovery of Platinum Group Metals from Spent Automotive Catalysts via Copper Smelting
by Shubo A, Ganfeng Tu, Shuchen Sun, Yaoyu Yan, Faxin Xiao, Ruifeng Shi, Chengfu Sui and Kuopei Yu
Separations 2025, 12(11), 315; https://doi.org/10.3390/separations12110315 - 11 Nov 2025
Cited by 1 | Viewed by 1235
Abstract
Spent automotive catalysts (SAC) not only contain significant amounts of platinum group metals (PGMs) but also hazardous heavy metals, rendering them a solid waste. A harmless technology for the efficient recovery of PGMs through copper smelting has been proposed. By investigating the effects [...] Read more.
Spent automotive catalysts (SAC) not only contain significant amounts of platinum group metals (PGMs) but also hazardous heavy metals, rendering them a solid waste. A harmless technology for the efficient recovery of PGMs through copper smelting has been proposed. By investigating the effects of the CaO/SiO2 mass ratio and Al2O3 content on the properties of the slag, the composition of the slag was adjusted. The influence of copper dosage, Na2B4O7 dosage, smelting temperature, and smelting time on the recovery efficiency of PGMs was also discussed. The determined composition of the target slag was 36.44 wt% CaO, 45.56 wt% SiO2, 12.00 wt% Al2O3, and 6.00 wt% MgO. The optimal processing conditions included 12 wt% Cu, 4 wt% Na2B4O7, smelting temperature 1450 °C, and smelting time 90 min. Ultimately, the recovery efficiency of PGMs reached 99.5%. Compared to traditional plasma furnace smelting methods, PGMs were efficiently recovered at a lower melting temperature. A pilot-scale experiment with a mass of 30 kg also achieved a recovery rate of over 99% for PGMs. TCLP results indicate that the heavy metals were immobilized within the glass slag. Full article
(This article belongs to the Special Issue Separation Technology for Resource Utilization and Recovery)
Show Figures

Figure 1

29 pages, 6379 KB  
Article
Enhancing Recovery of Low-Productivity Coalbed Methane Wells in Medium-Shallow Reservoirs by CO2 Huff-and-Puff
by Chenlong Yang, Zhiming Fang, Shaicheng Shen and Haibin Wang
Separations 2025, 12(11), 314; https://doi.org/10.3390/separations12110314 - 11 Nov 2025
Cited by 1 | Viewed by 792
Abstract
Coalbed methane (CBM) is a vital clean energy resource, yet its extraction efficiency is often hindered by rapid production decline and low production rates in medium-shallow reservoirs. This study investigates the potential of CO2 huff-and-puff technology to enhance CBM recovery and achieve [...] Read more.
Coalbed methane (CBM) is a vital clean energy resource, yet its extraction efficiency is often hindered by rapid production decline and low production rates in medium-shallow reservoirs. This study investigates the potential of CO2 huff-and-puff technology to enhance CBM recovery and achieve CO2 storage in low-productivity wells. A comprehensive model, constructed based on the geological conditions of the Qinshui Basin, was developed. Numerical simulations revealed that CO2 huff-and-puff significantly improves CH4 production by displacing adsorbed CH4 and maintaining reservoir pressure. Key findings indicate that higher CO2 injection volumes yield substantial increases in both peak CH4 production and cumulative production compared with conventional extraction. Optimal soaking times balance recovery efficiency and operational costs. Sensitivity analysis identified gas diffusion coefficients, initial permeability, and Langmuir volume constants as critical geological parameters influencing the performance. This study preliminarily demonstrates the feasibility of large-scale CO2 huff-and-puff for enhancing production in low-productivity CBM wells and provides theoretical insights for revitalizing China’s underperforming CBM wells while advancing carbon neutrality goals, although further experimental validation is still required. Full article
Show Figures

Figure 1

17 pages, 3037 KB  
Article
Fluid Flow Dynamics and Micro-Dust Separation in Multi-Module Cyclone-Separators: Experimental Research and Comparative Analysis
by Aleksandras Chlebnikovas
Separations 2025, 12(11), 313; https://doi.org/10.3390/separations12110313 - 11 Nov 2025
Cited by 2 | Viewed by 1134
Abstract
An improved multi-module gas purification device is capable of removing micro-particles with an overall efficiency of over 95% at an average velocity of 16 m/s under a flow distribution ratio of 50/50. Its operation is based on the separation and filtration effect, and [...] Read more.
An improved multi-module gas purification device is capable of removing micro-particles with an overall efficiency of over 95% at an average velocity of 16 m/s under a flow distribution ratio of 50/50. Its operation is based on the separation and filtration effect, and the multi-module design increases gas flow processing capacity without increasing the size of the device, and ensures good sustainable development as an innovation. The effects of one, dual, and triple-module configurations were experimentally investigated in terms of gas flow and distribution in channels, including pressure drag and separation level. For a comparative analysis of three pilot models of the device, granite micro-dust and wood ash were used as test particles. At an average micro-dust concentration of 4.5 g/m3, a pressure drop of less than 1600 Pa and a separation level of more than 93% were achieved. Full article
(This article belongs to the Special Issue Advances in Gas–Solid Separation for Solid Waste Recovery)
Show Figures

Figure 1

47 pages, 15185 KB  
Review
Advances in Miniaturized Liquid Chromatography for the Detection of Organic Pollutants in Food, Environmental, and Biological Samples
by Kaoma Temwani, Daodong Pan, Zhen Wu, Yan Zhang and Hangzhen Lan
Separations 2025, 12(11), 312; https://doi.org/10.3390/separations12110312 - 11 Nov 2025
Cited by 3 | Viewed by 2785
Abstract
The advancement of miniaturized liquid chromatography (M-LC) systems has drawn considerable attention for their ability to enhance sensitivity, expedite analysis, and minimize the environmental impact of chemical usage in various analytical processes. This review explores the fundamental principles and recent innovations in M-LC [...] Read more.
The advancement of miniaturized liquid chromatography (M-LC) systems has drawn considerable attention for their ability to enhance sensitivity, expedite analysis, and minimize the environmental impact of chemical usage in various analytical processes. This review explores the fundamental principles and recent innovations in M-LC technology, including diverse pump designs, advanced column techniques, and the reduction in connection devices. Emphasizing the need for components that operate efficiently at the capillary or nanoscale with minimal dead volumes, we also discuss the development of benchtop instruments and mass spectrometry integrations. The review further highlights the growing applications of M-LC in food, environmental, and biological analyses, highlighting its potential as a powerful and emerging tool in separation science. Looking forward, addressing problems such as limited robustness, fabrication complexity, and integration with sensitive detectors will be instrumental to advancing M-LC technology. Modern innovation in microfabrication, materials science, and hyphenated methods holds great promise for allowing real-time, high-throughput, and portable analytical solutions in the near future. Full article
Show Figures

Graphical abstract

1 pages, 126 KB  
Retraction
RETRACTED: Abhishek et al. Polymer-Coated Nickel Nanoparticles for CO2 Capture in Seawater. Separations 2025, 12, 107
by Abhishek, Abhishek Ratanpara, Adib Mahmoodi Nasrabadi and Myeongsub Kim
Separations 2025, 12(11), 311; https://doi.org/10.3390/separations12110311 - 11 Nov 2025
Viewed by 508
Abstract
The journal retracts the article “Polymer-Coated Nickel Nanoparticles for CO2 Capture in Seawater” [...] Full article
14 pages, 1148 KB  
Article
Determination of Multiple Metal Elements in Cyanobacteria Culture Media by Metal Capture/Enrichment Hyphenated with Inductively Coupled Plasma Mass Spectrometry
by Jun Men, Siyu Wang, Lingling Zheng, Fang Zhou, Zhixian Qiao, Xiaocui Chai, Feng Ge and Yanxia Zuo
Separations 2025, 12(11), 310; https://doi.org/10.3390/separations12110310 - 7 Nov 2025
Cited by 1 | Viewed by 962
Abstract
To address the challenges posed by extensive sample pretreatment and significant matrix interference in conventional metal quantification methods for cyanobacterial culture media, an automated online metal capture and enrichment system was developed and integrated with inductively coupled plasma mass spectrometry (ICP-MS). This system [...] Read more.
To address the challenges posed by extensive sample pretreatment and significant matrix interference in conventional metal quantification methods for cyanobacterial culture media, an automated online metal capture and enrichment system was developed and integrated with inductively coupled plasma mass spectrometry (ICP-MS). This system enabled the simultaneous determination of nine metal elements—Cd, Pb, V, Mn, Fe, Co, Ni, Cu, and Zn—within the culture medium. Through systematic optimization and validation, the method demonstrated exceptional analytical performance: calibration curves for all analytes exhibited correlation coefficients (r) exceeding 0.999; repeatability tests yielded relative standard deviations (RSD) below 3% (n = 6); and recoveries at low, medium, and high spike levels ranged from 93.98% to 108.70%. The procedure is characterized by simplicity, high automation, low detection limits, and robust accuracy, making it an effective platform for multi-element contamination monitoring and metal metabolic studies in cyanobacterial cultivation. This approach holds significant potential for applications in algal resource utilization and environmental restoration. Full article
Show Figures

Figure 1

20 pages, 7539 KB  
Article
Design, Simulation, and Parametric Analysis of an Ultra-High Purity Phosphine Purification Process with Dynamic Control
by Jingang Wang, Jinyu Guo, Yu Liu, Shuyue Zhou, Yawei Du and Xuejiao Tang
Separations 2025, 12(11), 309; https://doi.org/10.3390/separations12110309 - 7 Nov 2025
Viewed by 925
Abstract
Phosphine (PH3) is an important functional material that plays a pivotal role in semiconductor fields. As semiconductor technology rapidly advances toward smaller sizes and higher performance, the requirements for the purity of phosphine in chip manufacturing are becoming increasingly stringent. To [...] Read more.
Phosphine (PH3) is an important functional material that plays a pivotal role in semiconductor fields. As semiconductor technology rapidly advances toward smaller sizes and higher performance, the requirements for the purity of phosphine in chip manufacturing are becoming increasingly stringent. To address this, this study has designed a purification process for ultra-high purity phosphine, capable of achieving a purity level of 6N (99.9999%) for phosphine products. The process was simulated and analyzed using Aspen Plus to investigate the influence of various factors on the purity of phosphine products. In this design, the sensitivity analysis function was used to determine the optimal number of theoretical stages, feed stage, and reflux ratios for each rectifying column in the process. It was also found that an increase in rectifying column pressure is detrimental to the removal of low-boiling-point substances such as N2 and O2 from phosphine. Furthermore, a double-effect distillation process was designed. After adopting the double-effect distillation process, the heat duty on all condensers and reboilers would decrease by 27%, but the purity of the phosphine product would decrease from 99.999943% to 99.999936%. Finally, a control scheme was designed for the distillation column used to extract phosphine products, and the control effect was dynamically simulated and tested using Aspen Plus Dynamics. The test results showed that disturbances caused by a decrease in feed were much more difficult to control than those caused by an increase in feed, and that low-boiling-point impurities had a much greater impact on the purity of phosphine products than high-boiling-point impurities. In addition, the results of steady-state simulation indicate that CO2 in phosphine is difficult to remove through distillation processes. Adding adsorption processes or membrane separation processes after distillation to remove CO2 from phosphine is a research direction for improving the purity of phosphine. Full article
(This article belongs to the Special Issue Novel Solvents and Methods in Distillation Process)
Show Figures

Figure 1

39 pages, 1490 KB  
Review
Bacterial Potential for Bioremediation of Surfactants and Heavy Metals: Current Knowledge and Trends in Wastewater Treatment Processes
by Ivana D. Radojević and Violeta D. Jakovljević
Separations 2025, 12(11), 308; https://doi.org/10.3390/separations12110308 - 6 Nov 2025
Cited by 1 | Viewed by 2746
Abstract
Surfactants are chemical compounds present in a large number of products that people use on a daily basis, starting with detergents for washing clothes, dishes, personal hygiene products, etc. Some products also contain certain heavy metals. Their uses cause heavy contamination of wastewater [...] Read more.
Surfactants are chemical compounds present in a large number of products that people use on a daily basis, starting with detergents for washing clothes, dishes, personal hygiene products, etc. Some products also contain certain heavy metals. Their uses cause heavy contamination of wastewater that must be purified before discharge into receivers. Given that some types of surfactants are very persistent and heavy metals are non-biodegradable and toxic even in small concentrations, the purification process requires a complex approach and a combination of different methods. Bioremediation, as an environmentally acceptable and economically clean technology, has great potential. It is based on the use of indigenous microorganisms that have developed different mechanisms for breaking down and removing or detoxifying a large number of pollutants and are excellent candidates for bioremediation of wastewater. Bacteria can degrade surfactants as sole carbon sources and exhibit tolerance to various heavy metals. This paper summarizes the most significant results, highlighting the potential of bacteria for the biodegradation of surfactants and heavy metals, with the aim of drawing attention to their insufficient practical application in wastewater treatment. Bioreactors and microbial fuel cells are described as currently relevant strategies for bioremediation. Full article
(This article belongs to the Special Issue Microbial Methods for Pollutant Removal and Wastewater Treatment)
Show Figures

Figure 1

17 pages, 1552 KB  
Article
Ultrasound Impact on Extraction Yield and Properties of Starch and Polyphenols from Canna indica L. Rhizomes
by Vigna Nivetha Chandrasekaran, Charlotte Silvestre, Julien Antih, Prakash Maran Jeganathan, Karine Portet, Gaelle Vesta, Hippolyte Kodja, Thomas Petit, Kaies Souidi, Florence Bichon and Patrick Poucheret
Separations 2025, 12(11), 307; https://doi.org/10.3390/separations12110307 - 6 Nov 2025
Viewed by 935
Abstract
In this present study, the efficiency of ultrasound-assisted extraction (UAE) in increasing the yields of extraction of starch and polyphenols from Canna indica L. (Canna) rhizomes were analyzed, along with its influence on the physiochemical properties of the extracted compounds. Extraction parameters (temperature, [...] Read more.
In this present study, the efficiency of ultrasound-assisted extraction (UAE) in increasing the yields of extraction of starch and polyphenols from Canna indica L. (Canna) rhizomes were analyzed, along with its influence on the physiochemical properties of the extracted compounds. Extraction parameters (temperature, time, and solid-to-liquid ratio) were optimized through Box–Behnken response surface design (BBD). The physiochemical and functional properties of starch and polyphenols were investigated through scanning electron microscopy (SEM), the swelling and solubility index, oil and water absorption index, total polyphenol yield, and antioxidant activity assays (DPPH and ORAC). The starch yield obtained from Canna at the optimum extraction conditions (temperature 40 °C, time 10 min, and solid-to-liquid ratio 1:30 g/mL) was 19.81%. The obtained starch yield was found to be significantly higher than the yield attained through the conventional extraction method without adverse changes in the physicochemical and functional properties. The total polyphenol extraction yield from the Canna rhizome, through UAE, was significantly higher (1061.72 mg GAE/100 g) than that of the conventional method. The antioxidant activity of bioactive compounds was proportional to the attained polyphenol yield. Our results suggest that UAE optimized conditions efficiently and improved Canna starch and polyphenol extraction yields while preserving their functional properties. Full article
(This article belongs to the Special Issue Isolation and Identification of Biologically Active Natural Compounds)
Show Figures

Figure 1

21 pages, 1599 KB  
Article
Porous Metal Electrodes in Microbubble Surface Dielectric Barrier Discharge Plasma Reactors for Methylene Blue Removal
by Emil Ninan Skariah and Minkwan Kim
Separations 2025, 12(11), 306; https://doi.org/10.3390/separations12110306 - 5 Nov 2025
Viewed by 873
Abstract
The present study evaluates a surface dielectric barrier discharge (SDBD) plasma system utilizing porous metal electrodes to enhance the performance of non-thermal plasma (NTP)-based water treatment. A custom high-voltage, variable-frequency power driver was developed to operate SDBD reactors featuring novel porous electrode configurations [...] Read more.
The present study evaluates a surface dielectric barrier discharge (SDBD) plasma system utilizing porous metal electrodes to enhance the performance of non-thermal plasma (NTP)-based water treatment. A custom high-voltage, variable-frequency power driver was developed to operate SDBD reactors featuring novel porous electrode configurations aimed at enhancing plasma–liquid interaction. Three types of porous metal electrodes—copper (60 ppi), copper (20 ppi), and nickel (60 ppi)—were investigated as ground electrodes to evaluate their impact on discharge behavior and treatment performance. Electrical characterization via Lissajous plot analysis and optical emission spectroscopy (OES) was used to assess plasma power and reactive species generation. Ozone measurement and hydroxyterephthalic acid (HTA) dosimetry confirmed the formation of O3 and hydroxyl radicals (·OH), while methylene blue (MB) removal experiments quantified pollutant removal percentage and energy yield. Among the tested electrodes, the copper (20 ppi) configuration achieved the highest MB removal percentage of 95.07%, followed by nickel (60 ppi) with 90.53%, and copper (60 ppi) with only 27.55%. Correspondingly, the energy yield (EY) reached 0.349 g/kWh for copper (20 ppi) at 15 min of plasma exposure, 0.19 g/kWh for nickel (60 ppi) at 20 min, and 0.049 g/kWh for copper (60 ppi) at 15 min. These results highlight the potential of porous metal electrodes as effective design choices for optimizing plasma–liquid interaction in SDBD systems. The findings support the development of compact, energy-efficient plasma water purification technologies using air-fed, surface DBD configurations. Full article
(This article belongs to the Special Issue Adsorption/Degradation Methods for Water and Wastewater Treatment)
Show Figures

Figure 1

16 pages, 3577 KB  
Article
Recovery of Phenolic Compounds from Rowan Fruits (Sorbus aucuparia L.): A Comparison of Pretreatment and Extraction Methods
by Bartłomiej Zieniuk and Dorota Kowalska
Separations 2025, 12(11), 305; https://doi.org/10.3390/separations12110305 - 5 Nov 2025
Cited by 1 | Viewed by 934
Abstract
Phenolic compounds contribute significantly to the nutritional value of underused rowan (Sorbus aucuparia L.), but their extraction depends heavily on pre-processing and extraction methods. This study examined convective drying (CD) and freeze-drying (FD) of fruits, followed by ethanol extraction using rotor–stator homogenization, [...] Read more.
Phenolic compounds contribute significantly to the nutritional value of underused rowan (Sorbus aucuparia L.), but their extraction depends heavily on pre-processing and extraction methods. This study examined convective drying (CD) and freeze-drying (FD) of fruits, followed by ethanol extraction using rotor–stator homogenization, ultrasound-assisted extraction (UAE), or Soxhlet, to measure total phenolics (TPC), total flavonoids (TFC), and DPPH antioxidant activity (AA). AGREEprep benchmarking was included to assess method greenness. FD samples outperformed CD samples, increasing TPC by ≈2× (α = 0.05). For CD samples, Soxhlet extraction produced the highest averages, while for FD samples, UAE resulted in the highest AA (>58 μmol TE/g DW), and Soxhlet with 16 cycles maximized TPC and TFC (22.82 mg CGA/g DW; 4.24 mg QE/g DW). AA correlated strongly with TPC (R = 0.860) but only exhibited a moderate correlation with TFC. Multivariate analysis revealed that extracts mainly differed based on drying method and extraction intensity. AGREEprep scores were 0.45 for homogenization/UAE and 0.35 for Soxhlet. Overall, drying and extraction methods jointly influence results: FD combined with UAE offers a robust antioxidant profile with a lower environmental impact, whereas FD with Soxhlet maximizes phenolic and flavonoid yields at a higher environmental cost. Full article
(This article belongs to the Special Issue Extraction and Characterization of Food Components)
Show Figures

Figure 1

13 pages, 2689 KB  
Article
Determination of Phthalate Esters and Bisphenol A in Pear by Packed-Fiber Solid-Phase Extraction Coupled with Gas Chromatography–Mass Spectrometry
by Wenhui Xu, Lu Wang, Mengjia Ji, Zigang Tang, Jing Liu, Hangzhen Lan and Xingtao Zhang
Separations 2025, 12(11), 304; https://doi.org/10.3390/separations12110304 - 4 Nov 2025
Cited by 1 | Viewed by 732
Abstract
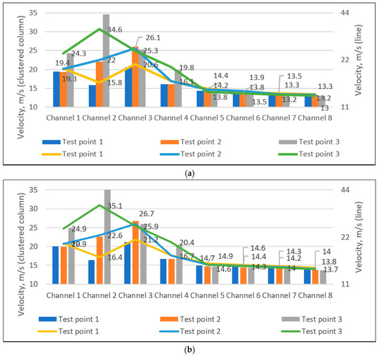
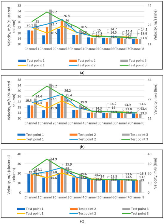
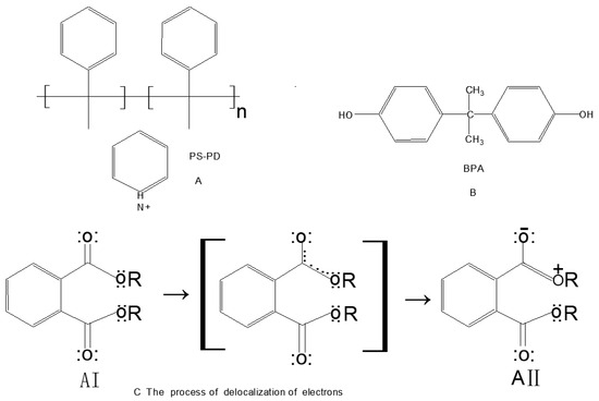
This study aimed to achieve efficient capture of phthalate esters (PAEs) and bisphenol A (BPA) from pear samples collected in the northern Anhui Province. A novel polystyrene–pyridine (PS/PD) composite nanofiber membrane was fabricated via electrospinning and employed as a filter in the sampling [...] Read more.
This study aimed to achieve efficient capture of phthalate esters (PAEs) and bisphenol A (BPA) from pear samples collected in the northern Anhui Province. A novel polystyrene–pyridine (PS/PD) composite nanofiber membrane was fabricated via electrospinning and employed as a filter in the sampling process. Following sample collection, PAEs and BPA were extracted with acetonitrile (ACN). Then, 100 μL of the extract was further concentrated using packed-fiber solid-phase extraction (PFSPE), with PS/PD nanofibers as the sorbent, and subsequently analyzed by gas chromatography–mass spectrometry (GC-MS). Under the optimized procedure, satisfactory recoveries of 87.0–109.9% were obtained for pear samples, with relative standard deviations (RSDs) ranging from 0.6% to 11.9%. Limits of detection (LOD) and limits of quantification (LOQ) were 0.03–0.10 μg/L and 0.034–0.34 μg/L, respectively. Analysis of pear samples from local markets and the native region was performed, and the detected concentrations of five PAEs and BPA ranged from 0.037 to 0.079 μg/L. Matrix effects were also evaluated. These findings demonstrate that the developed packed-nanofiber solid-phase extraction (PFSPE)-GC-MS method is reliable and effective for the determination of PAEs and BPA in pear samples. Full article
(This article belongs to the Section Analysis of Natural Products and Pharmaceuticals)
Show Figures

Figure 1

20 pages, 12060 KB  
Article
Synthesis of Novel γ-Carbon-Substituted Dialkylphosphinic Acids (P355/P227-355): Unraveling Structural Symmetry Effects on Middle Rare Earth Separation and Extraction Mechanism
by Ruiyi Sun, Fan Li, Yu Xie, Na Sui, Yong Li and Junlian Wang
Separations 2025, 12(11), 303; https://doi.org/10.3390/separations12110303 - 1 Nov 2025
Cited by 2 | Viewed by 762
Abstract
In this study, two γ-carbon-substituted dialkylphosphinic acids—symmetrical di-(3,5,5-trimethylhexyl)phosphinic acid (P355) and unsymmetrical (2-ethylhexyl)(3,5,5-trimethylhexyl)phosphinic acid (P227-355)—were synthesized via a precise free radical addition method. Their chemical structures were fully characterized using ESI-HRMS, 1H NMR, 31P NMR, and FT-IR. Their middle REE extraction/separation [...] Read more.
In this study, two γ-carbon-substituted dialkylphosphinic acids—symmetrical di-(3,5,5-trimethylhexyl)phosphinic acid (P355) and unsymmetrical (2-ethylhexyl)(3,5,5-trimethylhexyl)phosphinic acid (P227-355)—were synthesized via a precise free radical addition method. Their chemical structures were fully characterized using ESI-HRMS, 1H NMR, 31P NMR, and FT-IR. Their middle REE extraction/separation performance, anti-emulsification behavior, and underlying mechanisms were investigated. Key results showed that P355 had better Dy saturation capacity (357.51 mg/L) and good selectivity for middle REEs (their average value of βN + 1/N = 3.18), while P227-355 showed higher back-extraction efficiency (≈90% Dy stripping at ≥0.02 mol/L H2SO4). Methyl n-pentyl ketone (MNPK) eliminated emulsification and boosted saturation capacity (324.18 mg/L Sm and 357.51 mg/L Dy for P355). Mechanistically, the extraction followed cation exchange (Sm3+ + 2(HL)2 ↔ Sm·L3·(HL) + 3H+); MNPK formed hydrogen-bonded associates (HL·MNPK) with free extractants, slightly reducing the effective concentration of (HL)2 but not altering the core cation exchange mechanism. Full article
(This article belongs to the Special Issue Recent Advances in Rare Earth Separation and Extraction)
Show Figures

Figure 1

19 pages, 3297 KB  
Article
Removal of Ionic Liquid (IL) from Herbal Materials After Extraction with IL and Comprehensive Investigation
by Zhaojin Zhang, Subhan Mahmood, Yu Cao and Shun Yao
Separations 2025, 12(11), 302; https://doi.org/10.3390/separations12110302 - 1 Nov 2025
Viewed by 1293
Abstract
At present, ionic liquids (ILs) are increasingly being used to extract natural products as green solvents, but their residues can lead to risks in terms of further use for the extracted herbal materials. Therefore, it is necessary to remove them with simple and [...] Read more.
At present, ionic liquids (ILs) are increasingly being used to extract natural products as green solvents, but their residues can lead to risks in terms of further use for the extracted herbal materials. Therefore, it is necessary to remove them with simple and effective methods. For example, after the toxic anthraquinones in Polygonum multiflorum are removed by extraction with the IL of [C4Bim][PTSA], it needs to be recovered and reused, and the useful stilbene glycosides should not suffer from obvious loss as they are the main functional components. In this study, an ultrasonic method with n-propanol was used to remove the residual [C4Bim][PTSA] in the solid powders of Polygonum multiflorum that had been extracted for anthraquinones. After single-factor optimization, the removal conditions were as follows: the removal temperature was 303.15 K, the solid–liquid ratio was 1:200 (w (1 g):v (200 mL)), the ultrasonic time was 40 min, and there were four operations. Under these conditions, ILs could be completely removed with almost no loss of stilbene glycosides in solid powders. After that, the IL in the extracting solution and scrubbing solution was recovered by the back-extraction method, and an IL with high purity could be obtained for reuse. The total recovery efficiency of the IL reached more than 98%. Then gas chromatography (GC) was conducted for the determination of residual ethanol and n-propanol in the solid powders of Polygonum multiflorum, which could be used to quickly detect the contents of two organic solvents within three minutes. Besides that, the method could also be applied to the determination of residual organic solvents in the raw materials of Polygonum multiflorum, and the results showed that the residue of ethanol and n-propanol in the solid powders were in accordance with the general provisions of the current Chinese Pharmacopoeia. According to the developed procedures and optimized conditions, the recovered IL could be reused in five runs at least. General applicability and greenness assessment for the developed process also proved that it is an ideal method, which has potential in large-scale application. Full article
(This article belongs to the Collection Feature Paper Collection in Section 'Purification Technology')
Show Figures

Figure 1

15 pages, 1927 KB  
Article
Enhanced Elution of Residual Ammonium from Weathered Crust Elution-Deposited Rare Earth Ore Tailings by Ferric Chloride
by Xiaoyan Wu, Jian Feng, Xianping Luo, Fang Zhou and Ruan Chi
Separations 2025, 12(11), 301; https://doi.org/10.3390/separations12110301 - 1 Nov 2025
Viewed by 521
Abstract
The existence of residual ammonium in weathered crust elution-deposited rare earth ore (WREO) tailings will cause serious environmental pollution, and it is necessary to remove it from the ore body. In this work, ferric chloride was applied as the eluent, and the effects [...] Read more.
The existence of residual ammonium in weathered crust elution-deposited rare earth ore (WREO) tailings will cause serious environmental pollution, and it is necessary to remove it from the ore body. In this work, ferric chloride was applied as the eluent, and the effects of the ferric salt concentration, liquid/solid ratio, and the eluting temperature on the ammonium removal process were investigated. The results indicated that ferric chloride demonstrated a significant capability to eliminate residual ammonium (RA) from rare earth (RE) tailings. The optimal conditions identified for this process included a ferric salt concentration of 0.06 mol/L, a liquid/solid ratio of 2:1, and a temperature of 25 °C. Under optimal conditions, the removal efficiency of RA by ferric chloride was measured at 97.47%. The NH4+ concentration in the final stage leachate was determined to be 1.85 mg/L, which satisfies the environmental standards. Kinetic analysis revealed an internal diffusion-controlled elution mechanism for RA in the RE ore tailings, with a reaction order of 0.28 and an activation energy of 13.36 kJ/mol. FT-IR characterization results showed that most of the RA salts were effectively removed. This study establishes a feasible approach to remove RA from RE ore tailings, thereby laying a theoretical foundation for this process. Full article
Show Figures

Figure 1

12 pages, 2578 KB  
Article
High-Efficiency Uranium Adsorption from Real Salt-Lake Brine Using Amine-Functionalized Lignin Microspheres
by Xiaodong Wang, Lijun Guo, Liangqiong Peng, Wenhua Zhang and Bi Shi
Separations 2025, 12(11), 300; https://doi.org/10.3390/separations12110300 - 1 Nov 2025
Viewed by 2167
Abstract
The exploit of an efficient method for uranium (U) extraction is crucial for the development of nuclear energy. In this study, an aminated lignin-based microsphere (AL-PEI/GMS) was synthesized and used as an adsorbent for the recovery of hexavalent uranium (U(VI)) from salt-lake brine. [...] Read more.
The exploit of an efficient method for uranium (U) extraction is crucial for the development of nuclear energy. In this study, an aminated lignin-based microsphere (AL-PEI/GMS) was synthesized and used as an adsorbent for the recovery of hexavalent uranium (U(VI)) from salt-lake brine. The effects of adsorbent dosage, initial solution pH value, interfering ions, adsorption time, and temperature on the U(VI) adsorption performance of AL-PEI/GMSs were systematically investigated. The results show that when the adsorbent dosage was 2 g/L, the temperature was 45 °C, and the pH was 8, the adsorption capacity of AL-PEI/GMS for U(VI) could reach 256.4 mg/g. In addition, after five cycles, a high U(VI) adsorption efficiency of over 90% could still be achieved. Furthermore, through a fixed-bed system, AL-PEI/GMS could rapidly adsorb U(VI) from actual salt-lake brine. Therefore, the prepared AL-PEI/GMS is a competitive alternative material compared with other adsorbents in terms of efficiently recovering U(VI) from actual salt-lake brine. Full article
(This article belongs to the Special Issue Separation Technology for Metal Extraction and Removal)
Show Figures

Graphical abstract

25 pages, 3914 KB  
Article
Geopolymers Based on Fly Ash for Organic Dye Removal from Water
by Dušan V. Trajković, Marina M. Maletić, Marija M. Vukčević, Đorđe N. Veljović, Aleksandra A. Perić Grujić and Dragana Z. Živojinović
Separations 2025, 12(11), 299; https://doi.org/10.3390/separations12110299 - 1 Nov 2025
Cited by 1 | Viewed by 2399
Abstract
The main goal of this study is to address the problem of environmental water pollution caused by organic dyes through waste valorization by synthesizing geopolymer-based adsorbents. In this work, geopolymers were synthesized using fly ash modified with chitosan and polyvinyl alcohol as a [...] Read more.
The main goal of this study is to address the problem of environmental water pollution caused by organic dyes through waste valorization by synthesizing geopolymer-based adsorbents. In this work, geopolymers were synthesized using fly ash modified with chitosan and polyvinyl alcohol as a starting material. The obtained materials were characterized by scanning electron microscopy, Fourier transform infrared spectroscopy, X-ray diffraction, and determination of the point of zero charge. We examined the adsorption potential for organic dye (methylene blue, brilliant green, crystal violet) removal through the influence of contact time, initial pH and concentration of adsorbate solution, and temperature on adsorption. The obtained results were analyzed using theoretical kinetics and isotherm models. Interpretation of the obtained results was performed using the Box–Behnken design and chemometric methods of multivariate analysis. The findings showed that modification with chitosan significantly enhanced the adsorption efficiency of the synthesized materials up to 95.9% for methylene blue adsorption. The parameters identified as having the greatest influence on the adsorption process were contact time, pH-value, initial dye concentration, and the type of dye being adsorbed. Full article
(This article belongs to the Special Issue Applications of Adsorbent Materials in Water and Wastewater Treatment)
Show Figures

Graphical abstract

19 pages, 3302 KB  
Article
Quantitative Analysis of Chlorogenic Acid, Rutin, and Isoquercitrin in Extracts of Cudrania tricuspidata Leaves Using HPLC-DAD
by Ju-Yeong Kang, Hye-Ryeong Noh, Youngdae Yoone and Bong-Gyu Kim
Separations 2025, 12(11), 298; https://doi.org/10.3390/separations12110298 - 31 Oct 2025
Cited by 3 | Viewed by 1448
Abstract
A high-performance liquid chromatography (HPLC) method using a diode array detector (DAD) was developed and validated for the simultaneous quantification of chlorogenic acid, rutin, and isoquercitrin, which are key bioactive compounds in Cudrania tricuspidata leaves. The method demonstrated excellent specificity, precision, and accuracy [...] Read more.
A high-performance liquid chromatography (HPLC) method using a diode array detector (DAD) was developed and validated for the simultaneous quantification of chlorogenic acid, rutin, and isoquercitrin, which are key bioactive compounds in Cudrania tricuspidata leaves. The method demonstrated excellent specificity, precision, and accuracy in accordance with the guidelines of the International Council for Harmonisation of Technical Requirements for Pharmaceuticals for Human Use (ICH). Calibration curves showed outstanding linearity (r2 > 0.99), with recovery rates of 101.63%, 101.81%, and 102.18% for chlorogenic acid, rutin, and isoquercitrin, respectively. The limits of detection (LOD) were 0.286, 0.411, and 0.201 μg/mL, and the limits of quantification (LOQ) were 1.246, 0.866, and 0.608 μg/mL for chlorogenic acid, rutin, and isoquercitrin, respectively. Additionally, response surface methodology (RSM) based on a Box–Behnken design was employed to optimize the extraction conditions of the three marker compounds. The second-order regression models showed high coefficients of determination (r2) and significant ANOVA results (p < 0.05). RSM analysis revealed that extraction temperature and ethanol concentration exerted the most significant effects on the extraction yields, while extraction time played a supportive role. The optimal conditions (70 °C, 40% ethanol, 120 min) significantly enhanced compound recovery while reducing solvent and energy consumption, thereby contributing to the development of efficient and sustainable extraction processes. Collectively, the validated HPLC-DAD method and the optimized extraction strategy developed in this study provide a reliable framework for the quality standardization and industrial application of C. tricuspidata leaf extracts in functional food, cosmetic, and pharmaceutical products. Full article
Show Figures

Figure 1

14 pages, 1186 KB  
Article
Optimizing Iron Dosage in Photo-Fenton Treatment of 2,6-Dichlorobenzoquinone for Sustainable Wastewater Remediation
by Unai Duoandicoechea and Natalia Villota
Separations 2025, 12(11), 297; https://doi.org/10.3390/separations12110297 - 29 Oct 2025
Cited by 1 | Viewed by 1639
Abstract
Chlorinated benzoquinones, such as 2,6-dichlorobenzoquinone (DCBQ), are toxic disinfection byproducts of growing concern in aquatic environments. Advanced oxidation processes, particularly photo-Fenton treatment, provide sustainable alternatives for their degradation. However, optimization is required to ensure not only the removal of the parent compound but [...] Read more.
Chlorinated benzoquinones, such as 2,6-dichlorobenzoquinone (DCBQ), are toxic disinfection byproducts of growing concern in aquatic environments. Advanced oxidation processes, particularly photo-Fenton treatment, provide sustainable alternatives for their degradation. However, optimization is required to ensure not only the removal of the parent compound but also the reduction in harmful intermediates. This study evaluated the degradation of DCBQ (1.0 mM H2O2, 150 W UV, pH 3.0, 25 °C) with ferrous ion between 0 and 1.0 mg/L. DCBQ removal followed a second-order kinetic model, reaching complete degradation. Aromaticity-loss and water color degradation adjusted to kinetics of second-order, reflecting the sequential reduction in chlorinated hydroquinones and chlorophenols type intermediates, with marked decreases after 120 min at 0.8 mg/L. Results showed that increasing iron dosage enhanced both the rate of DCBQ disappearance and the removal of aromaticity, with complete pollutant degradation. Importantly, optimal ferrous ion dosages (20 mol DCBQ: 70 mol H2O2: 1 mol Fe2+) effectively limited the persistence of intermediates, as evidenced by significant decreases in color and aromaticity, while avoiding excessive turbidity. These findings demonstrate that fine-tuning iron dosage in photo-Fenton systems can maximize contaminant elimination and minimize secondary byproducts, reinforcing their role as sustainable solutions for wastewater remediation. Full article
Show Figures

Figure 1

13 pages, 2079 KB  
Article
High-Resolution Analysis of DNA Electrophoretic Separations via Digital Image Processing
by Jing Yang, Tengfei Zhang, Bo Yang, Jiahe Liu, Zhenqing Li and Yoshinori Yamaguchi
Separations 2025, 12(11), 296; https://doi.org/10.3390/separations12110296 - 29 Oct 2025
Viewed by 2280
Abstract
Compared with capillary electrophoresis (CE), gel electrophoresis (GE) is a traditional method for the analysis of nucleic acids because of its low cost, although the operation process is complicated. The electropherogram from CE can offer more information (e.g., DNA size and its concentration) [...] Read more.
Compared with capillary electrophoresis (CE), gel electrophoresis (GE) is a traditional method for the analysis of nucleic acids because of its low cost, although the operation process is complicated. The electropherogram from CE can offer more information (e.g., DNA size and its concentration) for researchers. Based on the self-built integrated biochip GE system, we proposed a computational method that converts conventional agarose GE images into CE-like fluorescence profiles for enhanced DNA analysis. The gel images were processed using an image-based algorithm involving median filtering to remove background noise and pixel-wise intensity summation along the migration axis to generate one-dimensional records of electrophoretic separations. Each DNA band in the gel was thereby transformed into a distinct fluorescence peak, reflecting its migration distance and relative intensity. To further enhance resolution and peak separation, Gaussian modeling was applied to fit the fluorescence intensity distribution, providing smoother and more distinguishable spectral peaks. To validate the method, three periodontal pathogens—Porphyromonas gingivalis (P.g), Treponema denticola (T.d), and Tannerella forsythia (T.f)—were amplified using PCR and analyzed by gel electrophoresis. The method successfully identified distinct electrophoretic patterns for the three pathogens by using a 50 bp DNA ladder as an internal calibration reference. The results demonstrate that image-based reconstruction of electrophoretic data provides a reliable, quantitative, and visually interpretable representation of DNA migration, comparable to CE output. This approach bridges a gap between traditional GE and modern capillary systems, allowing for the semi-quantitative analysis of DNA fragments without specialized CE instrument. The proposed method offers a valuable analysis method for the separation of DNA, RNA, protein and polypeptides. Full article
Show Figures

Figure 1

12 pages, 2247 KB  
Technical Note
A Closed-Loop Solvent Recycling Device for Polymer Removal in Graphene Transfer Process
by Zian Tang, Junhao Yang, Haoqun Huang, Minhui Ma, Minyi Zhu and Lingling Zhang
Separations 2025, 12(11), 295; https://doi.org/10.3390/separations12110295 - 26 Oct 2025
Viewed by 1157
Abstract
The traditional chemical vapor deposition (CVD)graphene transfer process generates a large amount of solvent waste, posing a significant sustainability challenge. To address this, we designed a Cyclic Cleaning Multi-Chamber (CCMC) system. Inspired by Soxhlet extraction, the CCMC enables closed-loop solvent recycling through integrated [...] Read more.
The traditional chemical vapor deposition (CVD)graphene transfer process generates a large amount of solvent waste, posing a significant sustainability challenge. To address this, we designed a Cyclic Cleaning Multi-Chamber (CCMC) system. Inspired by Soxhlet extraction, the CCMC enables closed-loop solvent recycling through integrated distillation, condensation, and reflux mechanisms. Experimental results show that the system effectively removes poly(methyl methacrylate) (PMMA) residues from transferred graphene without damaging its structural integrity, a finding confirmed by Raman spectroscopy and X-ray photoelectron spectroscopy (XPS). The CCMC system achieves a solvent recovery efficiency of over 98% across 25 cycles using acetone, significantly reducing solvent consumption compared to conventional methods. While providing this substantial environmental benefit, the energy demand remains moderate, increasing by only about 15 kWh. These results position the CCMC as a scalable, eco-friendly solution for the semiconductor and nanomaterial industries, promoting the broader adoption of sustainable manufacturing practices. Full article
(This article belongs to the Section Purification Technology)
Show Figures

Figure 1

11 pages, 1466 KB  
Article
Purification of Rosmarinic Acid from Rosemary Extract and the Evaluation of the Antibacterial and Antioxidant Effects of Rosmarinic Acid and Its Derivatives
by Ai-Jing Chen, Jin Lv, Yu Feng, Chang-Jia Mo, Cheng-Wei Yang and He Ni
Separations 2025, 12(11), 294; https://doi.org/10.3390/separations12110294 - 26 Oct 2025
Cited by 4 | Viewed by 3020
Abstract
Rosmarinic acid (RA), a natural polyphenolic hydroxyl compound found from plants, exhibits many biological activities. This study reported an efficient purification method for RA from the water-soluble rosemary extract. By employing silica gel column chromatography combined with liquid–liquid extraction, the water-soluble extract of [...] Read more.
Rosmarinic acid (RA), a natural polyphenolic hydroxyl compound found from plants, exhibits many biological activities. This study reported an efficient purification method for RA from the water-soluble rosemary extract. By employing silica gel column chromatography combined with liquid–liquid extraction, the water-soluble extract of rosemary was refined to yield RA with a purity of 92.85 ± 3.18%. To further enhance the potential of RA as a natural preservative, the prepared RA was esterified to produce methyl rosmarinate (RA-me) and propyl rosmarinate (RA-pro). The antioxidant and antibacterial activities of RA and its derivatives were subsequently evaluated. The results indicated that RA and its esterified derivatives exhibited more pronounced antibacterial efficacy against the Gram-positive bacteria than Gram-negative bacteria. Moreover, the antibacterial activity of the ester derivatives was enhanced compared to that of RA. RA and RA-me exhibited comparable antioxidant activity, which was superior to that of RA-pro. In summary, this study established an effective purification strategy for RA, laying a foundation for developing better natural, non-toxic preservatives with antibacterial activity. Full article
Show Figures

Figure 1

Previous Issue
Next Issue
Back to TopTop