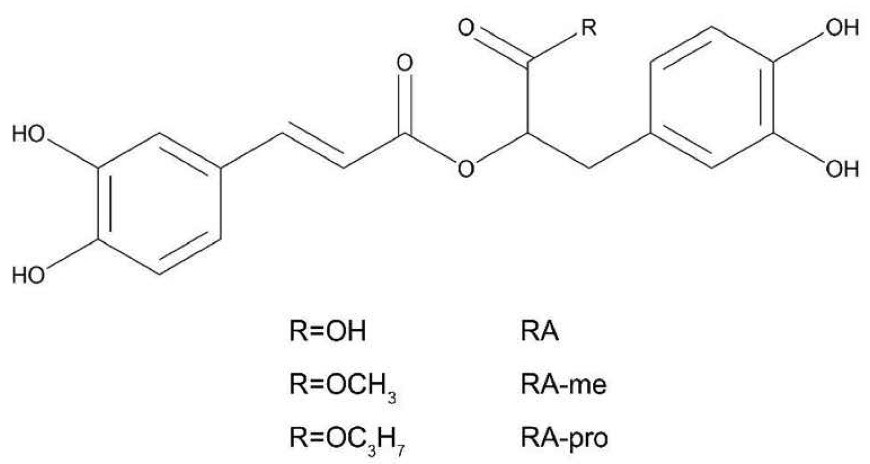
Purification of Rosmarinic Acid from Rosemary Extract and the Evaluation of the Antibacterial and Antioxidant Effects of Rosmarinic Acid and Its Derivatives
Abstract
Share and Cite
Chen, A.-J.; Lv, J.; Feng, Y.; Mo, C.-J.; Yang, C.-W.; Ni, H. Purification of Rosmarinic Acid from Rosemary Extract and the Evaluation of the Antibacterial and Antioxidant Effects of Rosmarinic Acid and Its Derivatives. Separations 2025, 12, 294. https://doi.org/10.3390/separations12110294
Chen A-J, Lv J, Feng Y, Mo C-J, Yang C-W, Ni H. Purification of Rosmarinic Acid from Rosemary Extract and the Evaluation of the Antibacterial and Antioxidant Effects of Rosmarinic Acid and Its Derivatives. Separations. 2025; 12(11):294. https://doi.org/10.3390/separations12110294
Chicago/Turabian StyleChen, Ai-Jing, Jin Lv, Yu Feng, Chang-Jia Mo, Cheng-Wei Yang, and He Ni. 2025. "Purification of Rosmarinic Acid from Rosemary Extract and the Evaluation of the Antibacterial and Antioxidant Effects of Rosmarinic Acid and Its Derivatives" Separations 12, no. 11: 294. https://doi.org/10.3390/separations12110294
APA StyleChen, A.-J., Lv, J., Feng, Y., Mo, C.-J., Yang, C.-W., & Ni, H. (2025). Purification of Rosmarinic Acid from Rosemary Extract and the Evaluation of the Antibacterial and Antioxidant Effects of Rosmarinic Acid and Its Derivatives. Separations, 12(11), 294. https://doi.org/10.3390/separations12110294
