Abstract
The existence of residual ammonium in weathered crust elution-deposited rare earth ore (WREO) tailings will cause serious environmental pollution, and it is necessary to remove it from the ore body. In this work, ferric chloride was applied as the eluent, and the effects of the ferric salt concentration, liquid/solid ratio, and the eluting temperature on the ammonium removal process were investigated. The results indicated that ferric chloride demonstrated a significant capability to eliminate residual ammonium (RA) from rare earth (RE) tailings. The optimal conditions identified for this process included a ferric salt concentration of 0.06 mol/L, a liquid/solid ratio of 2:1, and a temperature of 25 °C. Under optimal conditions, the removal efficiency of RA by ferric chloride was measured at 97.47%. The NH4+ concentration in the final stage leachate was determined to be 1.85 mg/L, which satisfies the environmental standards. Kinetic analysis revealed an internal diffusion-controlled elution mechanism for RA in the RE ore tailings, with a reaction order of 0.28 and an activation energy of 13.36 kJ/mol. FT-IR characterization results showed that most of the RA salts were effectively removed. This study establishes a feasible approach to remove RA from RE ore tailings, thereby laying a theoretical foundation for this process.
1. Introduction
RE elements have a special electronic layer structure with low transition energy f electrons with unique magnetic, optical, electrical and other properties, making these elements extensively utilized in various high-tech applications [1,2,3]. The development of RE resources, particularly the limited medium and heavy RE elements, has garnered increasing attention in recent years. The extraction of WREOs, which are rich in medium and heavy rare earth elements, is not only economically valuable but also of great strategic significance [4,5].
The genesis of the WREO deposits originates from parent rocks, which undergo biological and chemical weathering to form clay minerals. And the weathering RE minerals in the original rock dissociate RE ions and form hydroxyl hydrated RE ions, which migrate with groundwater and adsorb on clay minerals, forming WREOs [6]. According to this formation process, rare earths mainly exist as the ionic phase in the ore, and the ion exchange method can be used to leach the RE with electrolyte solution [7,8,9].
Based on the extraction methods, the barrel dipping, pool dipping, heap leaching and in situ leaching processes have been successively developed. The barrel and pool dipping processes primarily utilize sodium salt as the leaching liquor within barrels or pools. However, due to the high content of sodium salt required for this process, it results in higher economic costs and lower purity of rare earth products [10]. To solve this problem, the heap leaching process with a lower content of ammonium sulfate as leaching liquor was developed. However, this process still has shortcomings. It requires mining of ore bodies, which damages vegetation. And the stacking of tailings occupies a large area of land and affects the ecological environment of the ore mining area. Consequently, the in situ leaching method utilizing ammonium sulfate as a leaching agent, which is directly injected into the ore deposit, has been proposed. This technique is currently regarded as the most widely adopted process for the extraction of RE elements [11,12]. The chemical reaction involved in the leaching process is illustrated in Equation (1).
where [Al2Si2O5(OH)4]m represents clay minerals. s and aq represent the solid phase and aqueous phase, respectively.
With the progress of leaching research, in situ leaching processes based on ammonium salts have been continuously improved. Zhou et al. [13] improved the infiltration performance of the leaching process by adding CTAB to the NH4+ salt liquor to increase the surface wettability of the ore body. Feng et al. [14] investigated the leaching effect of adding ammonium formate to ammonium sulfate and found that the addition of ammonium formate could significantly shorten the time required for RE leaching equilibrium. Zou et al. [15] compared the percolation effect of ammonium acetate, ammonium tartrate and ammonium citrate as leaching agents and found that ammonium acetate had a better percolation effect in the ore body. In addition, researchers also studied the impact of impurity suppressants on the RE leaching process [16,17,18,19,20,21]. These studies play an important role in improving the efficiency of RE leaching process and product purity. However, existing research mostly focus on how to efficiently extract more rare earths from the ore, with little attention paid to the environmental issues that arise after the in situ leaching process is completed. In order to comprehensively engage with the RE elements present in the mineral during the leaching process utilizing the leaching agent, the amount of ammonium salt is often higher than the theoretical amount, which results in a large amount of RA in the ore body after the leaching. When it rains in the mining area, residual ammonium will infiltrate the soil with the rainwater and flow into rivers and lakes, affecting the soil and water quality around the mining area.
Considering the strong reducibility and ion exchange ability of ferric ions, this study used ferric salt as eluent and explored the optimization conditions of ferric salt for the elution of RA. In addition, the effects of the ferric salt concentration and elution temperature on the elution kinetics and mass transfer process of RA were analyzed, and the leaching kinetics model was established. This study provides useful theoretical guidance and technical support for the residual ammonium elution in rare earth leaching sites.
2. Materials and Methods
2.1. Materials
The WREO samples used in the experiment were collected from Jiangxi province, China. The chemical composition of the WREO sample is shown in Figure 1. Analysis of the ore sample shows its composition includes 0.07% REO. Additionally, the ore sample has a high Al2O3 content of 27.64%. Minerals in the WREO sample are shown in Figure 2. Feldspar, quartz, and kaolinite were the dominant minerals in the ore, collectively accounting for over 60% of its composition. Ammonium sulfate, iron(III) chloride hexahydrate, Nessler’s reagent, and potassium sodium tartrate tetrahydrate were purchased from Sinopharm Chemical Reagent Co., Ltd., located in Shanghai, China, and are of analytical grade. Additionally, all solutions were prepared using deionized water.
Figure 1.
Chemical composition of WREOs sample.
Figure 2.
Minerals in WREOs sample.
2.2. Column Leaching Experiment
In a series of column leaching experiments, 150 g of RE ore samples were treated with a 2% ammonium sulfate solution. The process was carried out in a 50 mm inner diameter glass column under ambient temperature conditions. A peristaltic pump precisely controlled the leaching solution flow at 0.6 mL/min, corresponding to a liquid/solid ratio of 2:1. The RA concentrations in the ore tailings were quantified based on the depletion of NH4+ ions in the solution, calculated from the difference between its initial and final concentration. Subsequently, the leached ore tailings were recovered from the column for further characterization. Figure 3 illustrates the schematic of the experimental setup.
Figure 3.
Schematic diagram of the eluting process.
A peristaltic pump was used to inject the eluent from the top of the column at a constant flow rate, thereby eluting the RE ore tailings. The eluate was then gathered for analysis. The entire process was performed at an ambient temperature of 25 ± 0.5 °C.
2.3. Analytical Methods
The concentration of ammonium ion (NH4+) was measured using Nessler’s reagent spectrophotometry as outlined in National Environmental Protection Standard of China HJ 535-2009 [22]. The RA content in the RE ore tailings can be calculated using the following equation:
where m (mg) represents the RA content in the RE ore tailings; C0 (mg/L) represents the concentration of NH4+ in the 2% (NH4)2SO4 solution; and C1 (mg/L) represents the concentration of NH4+ in the leachate. Meanwhile, V0 and V1 (mL) signify the volume of the 2% (NH4)2SO4 solution and the leachate, respectively.
The removal efficiency of ammonium in the ore tailing can be calculated according to the following equation:
3. Results
3.1. Effect of Different Factors on Ammonium Elution Process
3.1.1. Effect of the Ferric Salt Concentration on Ammonium Removal Efficiency
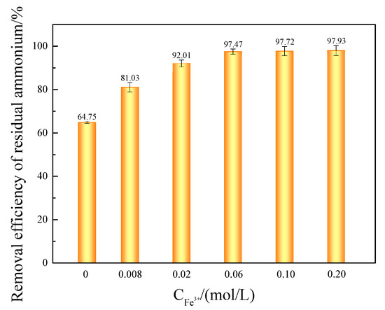
Under the conditions of a flow rate of 0.6 mL/min, a temperature of 25 °C, and a liquid-to-solid ratio of 2:1 mL/g, the impact of ferric salt concentration on the removal efficiency of RA was analyzed. The results of the analysis are presented in Figure 4. From Figure 4, the removal efficiency of residual ammonium using ferric salt as eluent is obviously higher than that of deionized water. This is because deionized water can only remove most of the water-soluble ammonium, while the ferric salt can not only remove the water-soluble ammonium but also react with exchangeable ammonium in rare earth ore to remove it. The reaction can be expressed as follows:
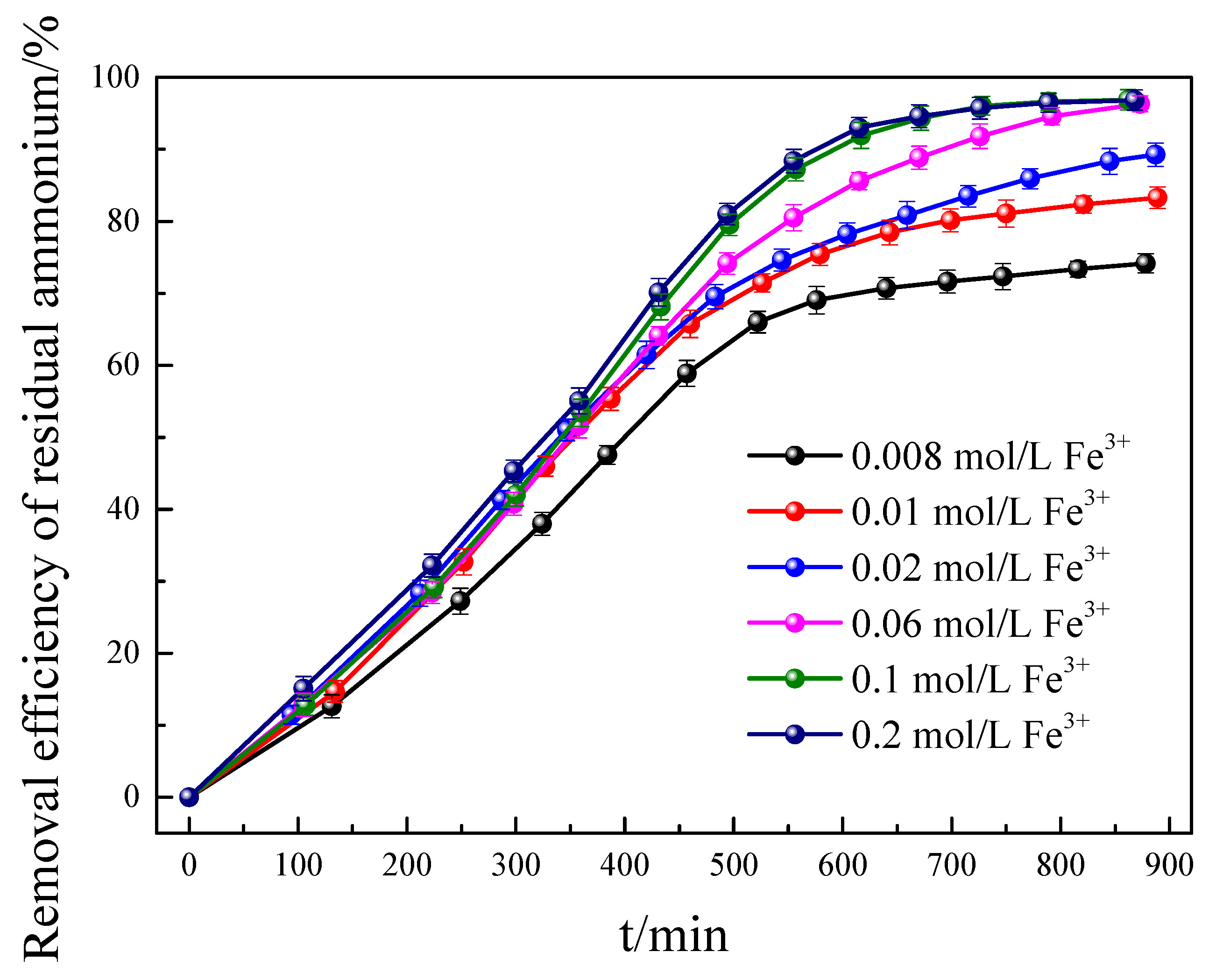
Figure 4.
Effect of the ferric salt concentration on the removal efficiency of RA.
As the iron ions in the eluent increases, the removal efficiency of residual ammonium increases gradually. While the concentration of iron ions in the eluent reaches 0.06 mol/L, the removal efficiency of residual ammonium basically reaches the maximum value. Afterwards, the concentration of iron ions in the eluent continues to increase, and the removal efficiency of residual ammonium remains basically balanced. While the concentration of iron ions is low, the iron ions in the eluent solution are not enough to exchange all the exchangeable ammonium remaining in the RE ore, so the removal efficiency of residual ammonium in the rare earth ore is not high. With the increasing concentration of iron ions, more iron ions exist in the flow layer solution, which can provide more iron ions for the exchange of more exchangeable ammonium, so the removal efficiency of RA will increase rapidly. Therefore, 0.06 mol/L can be selected as the optimal concentration for ferric salt to remove residual ammonium.
3.1.2. Effect of Liquid/Solid Ratio on Ammonium Removal Process
Figure 5 illustrates the influence of the liquid/solid ratio on the ammonium removal process. As depicted, an initial rapid increase in the removal efficiency of residual ammonium salt is observed with the rise in the liquid/solid ratio, followed by a slower rate of increase until it eventually reaches a state of equilibrium. A higher liquid/solid ratio facilitates more frequent interactions between the ore particles and the electrolyte iron ions present in the eluent, thereby enhancing the exchange reaction between these iron ions and the residual ammonium, resulting in an elevated removal efficiency. However, an excessively high eluent volume may lead to resource wastage. Notably, when the liquid/solid ratio is maintained at 2:1 mL/g, the removal efficiency of residual ammonium is considered to have reached equilibrium, with a recorded efficiency of 97.47% for ammonium extraction from rare earth ore using ferric chloride.
Figure 5.
Effect of the liquid/solid ratio on the removal efficiency of RA.
3.1.3. Effect of Temperature on Ammonium Removal Process
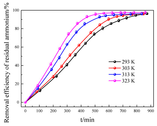
The effect of temperature on the ammonium removal process is presented in Figure 6. As depicted in the figure, an increase in temperature corresponds with a slight enhancement in the removal efficiency of RA in RE ore. However, this change is not pronounced. The phenomenon may be attributed to the strong exchange capacity of iron ions present during the process. Furthermore, the concentrations and liquid/solid ratios of the eluent utilized in the experiment are relatively high when compared to the residual ammonium salts found in the rare earth ore, which likely contributes to the limited impact of temperature on the removal efficiency. Notably, the removal efficiency of RA consistently exceeds 97%.
Figure 6.
Effect of the temperature on the removal efficiency of RA.
3.2. Kinetic Analysis
3.2.1. Effect of the Ferric Salt Concentration on Elution Kinetics
The influence of ferric salt concentration on the elution kinetics of residual ammonium was explored by systematically varying its concentration in the elution agent, with the flow rate and temperature that were maintained at 0.6 mL/min and 25 °C, respectively. The removal efficiency of residual ammonium over time is presented in Figure 7. It can be observed that with the increase in time, the removal efficiency of residual ammonium in tailings increases rapidly and gradually reaches the maximum value, and then maintains in the equilibrium state. Additionally, Figure 7 illustrates that as the concentration of ferric salt in the eluent rises, the removal rate of residual ammonium salts in the ore tailing significantly improves, with the duration for residual ammonium to attain elution equilibrium progressively decreasing. It can be attributed to the fact that as the concentration of iron ions in the elution agent increases, the concentration gradient of iron ions between the core of the eluent flow layer and the surface of the ore particles will increase, thereby enhancing the cation diffusion capacity of the eluent. Furthermore, a greater concentration of iron ions amplifies the intensity of the ion exchange reactions occurring between the iron ions and RA present in the RE ore throughout the elution process. Therefore, the removal rate of RA in the ore tailing will gradually increase.
Figure 7.
Effect of the iron concentration on the kinetics curves of residual ammonium.
The reaction between the ferric chloride solution and the remaining ammonium in the rare earth ore tailing represents a classic example of a liquid/solid heterogeneous reaction. The elution process is primarily composed of two distinct stages, namely the rapid elution stage in which the removal efficiency of RA increases rapidly with time and the equilibrium elution stage in which the removal efficiency of RA remains basically unchanged with time. Analysis of the kinetics curve illustrating the removal of RA by ferric salt indicates that the rapid elution stage serves as the pivotal control phase in the RA elution process. This stage can be effectively characterized by the shrinking core model.
If the reaction is controlled by diffusion through the porous ore layer, the internal diffusion-controlled equation can be expressed as follows [23]:
If the reaction is controlled by a surface reaction, the equation can be expressed as follows:
where α is the leaching efficiency; k is the apparent rate constant; and t (min) is the reaction time.
After fitting the data presented in Figure 7 using Equations (5) and (6), it was observed that when fitting with Equation (5), the expression (1 − 2α)/(3 − (1 − α)2/3) exhibits a superior linear relationship with the reaction time, with a fitting coefficient R2 exceeding 0.96. The apparent rate constants and fitting coefficients calculated under different iron salt concentrations are summarized in Table 1. This indicates that the internal diffusion-controlled kinetic equation effectively simulates the elution process of residual ammonium in the ore tailing. Therefore, it can be concluded that the elution process of residual ammonium is mainly controlled by the internal particle diffusion mechanism.
Table 1.
The apparent rate constant values and correlation coefficient values of internal diffusion.
Equation (2) can also be expressed as follows [24]:
From Equations (2) and (4), the subsequent relationship can be derived:
where α is the removal efficiency, k (min−1) is the rate constant of reaction, t (min) is the reaction time, k1 is the apparent rate constant, n is the empirical reaction order, and C0 (mol/L) is the initial elution concentration.
The apparent rate constants k and corresponding initial elution concentrations from Table 1 were substituted into Equation (8), and the resulting data are illustrated in Figure 8. As demonstrated in Figure 8, the linear relationship between lnk and lnC0 (R2 > 0.97) indicates that the reaction process of residual ammonium in the ore tailing with ferric salt is controlled by internal diffusion.
Figure 8.
Plots of lnk versus lnC0.
The empirical reaction order of the residual ammonium elution process can be determined by the slope obtained from fitting a straight line. Specifically, the empirical reaction order n of the RA eluting process concerning the concentration of ferric chloride was calculated as 0.28. The reaction order serves as an indicator of how concentration affects the reaction rate. A higher reaction order signifies a more significant impact of concentration on the rate of reaction.
The value of the apparent rate constant k1 of the RA eluted by ferric chloride was determined from the data obtained from the fitted straight line, which was 0.00093. Consequently, the kinetic equation describing the concentration of iron ions during the process of eluting RA with ferric salt can be derived as follows:
3.2.2. Effect of Temperature on Elution Kinetics
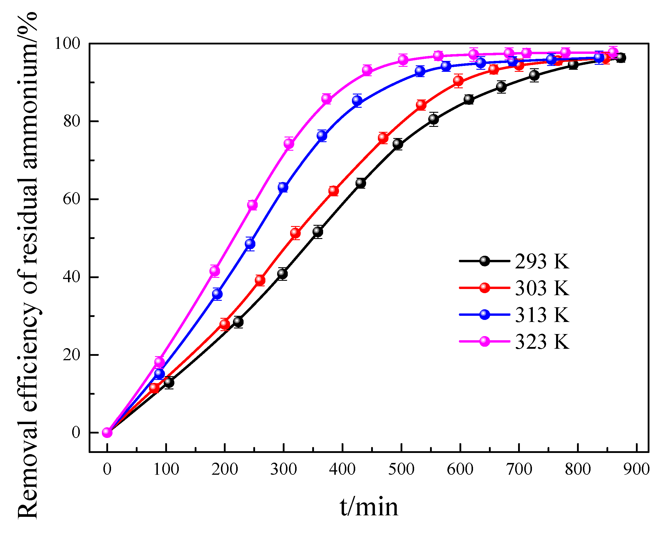
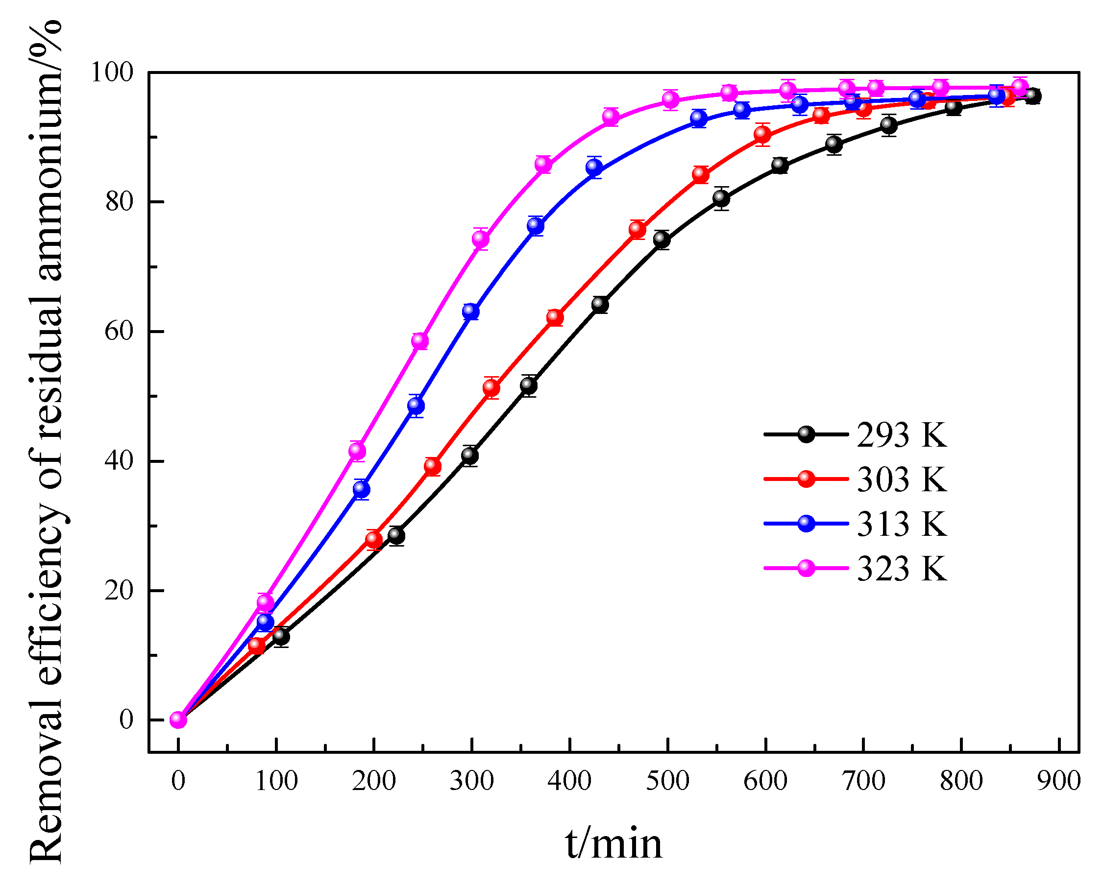
The influence of temperature on the elution kinetics of residual ammonium in the ore tailing, using ferric chloride as the eluent, was systematically investigated. As shown in Figure 9, the removal efficiency of residual ammonium increases progressively over time and is enhanced when the temperature increases. This is because the higher the temperature, the higher the activity of ions in the reaction system, the greater the reaction intensity, and the stronger the anisotropic diffusion ability of the solution, so the elution rate of the residual ammonium in the ore tailing is faster. Therefore, it is obvious that the operation at high temperature is beneficial to the elution of RA from RE ore tailings.
Figure 9.
Effect of the temperature on the kinetics curves of RA.
The data of residual ammonium salt-leaching kinetics at different temperatures in Figure 9 were respectively fitted into the kinetic control models. It was observed that the expression (1 − 2α)/(3 − (1 − α)2/3) in Equation (5) exhibits a significant linear correlation with t, yielding a fitting coefficient R2 exceeding 0.97. The apparent rate constants along with the fitting coefficients are summarized in Table 2. The result indicates that the internal diffusion control kinetic equation provides a well-fitted description for the elution process of residual ammonium. Furthermore, it implies that the elution of residual ammonium in the ore tailing is predominantly governed by the internal particle diffusion step.
Table 2.
The k values and correlation coefficient values of internal diffusion.
The relationship between the apparent reaction rate constant k and temperature is given by the Arrhenius equation [25,26]:
where k is the apparent rate constant, min−1; A is the pre-exponential factor; R is the constant of ideal gas; T is the reaction temperature, K; and E is the apparent activation energy, kJ/mol.
The relationship between lnk and 1/T has been illustrated using the apparent rate constants derived from Table 2, as depicted in Figure 10. From the figure, it is evident that a strong linear correlation exists between lnk and 1/T, with fitting coefficients R2 exceeding 0.98.
Figure 10.
Plots of lnk versus 1/T.
The activation energy for the reaction involving the elution of residual ammonium by ferric salt can be derived from the slope of the fitting line. Based on this analysis, the activation energy for the elution process was found to be 13.36 kJ/mol, as indicated by the slope of the fitted line.
When both temperature and concentration are taken into account, the kinetic equation can be formulated as follows:
Which is
From the fitted data in Figure 8, k2 can be calculated, and then the activation energy and the experimental temperature can be brought into Equation (14) to determine the pre-exponential factor, denoted as k’. Thus, the kinetic equation for the elution of residual ammonium of ferric chloride can be obtained as follows:
3.3. Mass Transfer Analysis
3.3.1. Effect of the Ferric Salt Concentration on Mass Transfer Process
Figure 11 depicts the influence of ferric salt concentration on the mass transfer process during the elution of residual ammonium by ferric chloride. Figure 11 indicates that a higher iron ion concentration in eluent corresponds to a higher ammonium concentration in the eluate during the initial equilibrium stage. This is because a high concentration of iron ions in the eluent facilitates the ion exchange process in two ways: firstly, it directly increases the rate of exchange with the adsorbed ammonium ions, and secondly, it creates a larger concentration gradient for the displaced ammonium ions, which in turn accelerates their diffusion into the flowing liquid film. When the concentration of iron ions in the eluent is high, the exchange rate between iron ions and ammonium ions adsorbed by ore particles increases, and the diffusion rate of the replaced ammonium ions to the flowing liquid layer is accelerated due to the concentration difference. Therefore, when the concentration of iron ions is elevated, the concentration of ammonium ions in the eluate experiences a slight increase. As the eluate continues to flow out, however, the concentration of ammonium ions diminishes sharply and ultimately gradually approaches zero, reaching a state of elution equilibrium. Specifically, when the concentration of ferric chloride was set at 0.06, 0.10, and 0.20 mol/L, the recorded ammonium levels in at the final stage leachate were 1.85, 1.69, and 1.90 mg/L, respectively. The measured pollution level falls within the rare earth industry’s standard, which is set at 15 mg/L. Therefore, it can be concluded that ferric salts are effective in eluting residual ammonium from tailings, thereby mitigating the potential for slow-release pollution associated with ammonia nitrogen.
Figure 11.
Effect of the iron ions concentration on the elution curves of RA.
3.3.2. Effect of Temperature on Mass Transfer Process
Figure 12 illustrates the effect of temperature on the elution curve of residual ammonium from the RE ore. As temperature increases, the elution rate of RA increases. Concurrently, the volume of eluate required to reach equilibrium decreases. This is mainly due to the increased driving force of reactions between ions under high temperature conditions, resulting in an accelerated elution rate of RA. When the eluting temperature was 293 K, 303 K, 313 K, and 323 K, the concentration of ammonium ion in the final stage leachate was 1.85, 1.59, 3.11, and 0.85 mg/L, respectively. Following the leaching process, the exchangeable ammonium content in the RE ore was substantially reduced to very low levels. Over time, physical and chemical processes like rainwater leaching and microbial activity will significantly reduce the concentration of ammonia nitrogen, resulting in minimal environmental impact. Additionally, the extremely low residual ammonia nitrogen within the ore body will provide essential nutrients necessary for plant growth [27].
Figure 12.
Effect of the temperature on the elution curves of RA.
3.4. FT-IR Analysis
The Infrared spectrum analysis of the rare earth tailings, both pre- and post-ammonium elution with ferric chloride, were investigated, and the comparative results are shown in Figure 13. It can be seen that there are three significant absorption peaks near 3696 cm−1, 3620 cm−1, and 3454 cm−1, which are mainly attributed to the internal hydroxyl vibration of clay minerals in rare earth ores. A significant absorption peak appeared at 1386 cm−1 in the infrared spectrum of rare earth tailings without using ferric chloride to elute residual ammonium. This was caused by N-H bending vibration acting on clay minerals, which can clearly characterize the NH4+ in the structure of rare earth tailings. However, in the infrared spectrum of the residual ammonium salt ore sample eluted with ferric chloride, the absorption peak near 1386 cm−1 disappeared, indicating that ferric chloride has effectively eluted and removed the RA in the RE tailings. Clay minerals are an important component of rare earth ores. The infrared spectrum of the rare earth ores reveals several distinctive absorption bands. A prominent peak near 1031 cm−1 is attributed primarily to the Si-O stretching vibration in clay minerals and feldspar in rare earth ores. Similarly, the band at 911 cm−1 arises mainly from the O-H vibration within the clay minerals. Furthermore, two adjacent peaks located at 760 cm−1 and 695 cm−1 are assigned to the stretching and parallel vibrations of Si-O-Al and Si-O-Si in the layered silicates of rare earth clay minerals. Finally, the spectral features observed at 536 cm−1 and 469 cm−1 are predominantly due to the bending vibration of Si-O and the stretching vibration of Al-O in the clay mineral components.
Figure 13.
Infrared spectrum of rare earth ore tailings: pre- and post-ammonium elution with ferric chloride.
4. Conclusions
This work investigated the impact of ferric salts on the elution of residual ammonium from weathered crust elution-deposited rare earth ore tailings. Results showed that the optimal conditions for the effective elution process of the ore tailings include a ferric salt concentration of 0.06 mol/L, a liquid/solid ratio of 2:1, and a temperature of 25 °C. At these conditions, the removal efficiency of ferric chloride for residual ammonium was 97.47%, and the terminal concentration of NH4+ in the leachate was 1.85 mg/L, which could meet the environmental standards (15 mg/L). The shrinking unreacted core model was used to fit the elution kinetics curves. The kinetic analysis revealed that the elution of residual ammonium from rare earth ore tailings by ferric salt was governed by internal particle diffusion. A kinetic equation for the elution process, which incorporates temperature and iron ion concentration, has been established. FT-IR characterization results prove that most of the residual ammonium salts were effectively removed. The kinetic equation for the elution of residual ammonium of ferric chloride was as follows:
Author Contributions
Conceptualization, J.F.; methodology, X.W.; software, X.W.; validation, J.F. and X.L.; formal analysis, X.W.; investigation, X.W.; resources, R.C.; data curation, X.W.; writing—original draft preparation, X.W.; writing—review and editing, X.W. and J.F.; visualization, F.Z.; supervision, X.L. and F.Z.; project administration, X.L. and R.C.; funding acquisition, X.W. All authors have read and agreed to the published version of the manuscript.
Funding
This research was funded by the National Natural Science Foundation of China, grant number 52204278; and the Natural Science Foundation of East China University of Technology, grant number DHBK2024007 and DHBK2024008.
Data Availability Statement
The original contributions presented in this study are included in the article. Further inquiries can be directed to the corresponding authors.
Conflicts of Interest
The authors declare no conflicts of interest.
Abbreviations
| WREO | Weathered crust elution-deposited rare earth ore |
| RA | Residual ammonium |
| RE | Rare earth |
References
- Balaram, V. Rare earth elements: A review of applications, occurrence, exploration, analysis, recycling, and environmental impact. Geosci. Front. 2019, 10, 1285–1303. [Google Scholar] [CrossRef]
- Moldoveanu, G.A.; Papangelakis, V.G. An overview of rare-earth recovery by ion-exchange leaching from ion-adsorption clays of various origins. Mineral. Mag. 2016, 80, 63–76. [Google Scholar] [CrossRef]
- Ju, W.; Yang, J.; Yao, C.; Zhang, X.; Ye, Z.; Liu, D. Experimental Study on the Permeability of Rare Earths with Different Particle Composition for a Novel Heap Leaching Technology. Appl. Sci. 2022, 12, 11368. [Google Scholar] [CrossRef]
- Wang, G.; Xu, J.; Ran, L.; Zhu, R.; Ling, B.; Liang, X.; Kang, S.; Wang, Y.; Wei, J.; Ma, L. A Green and Efficient Technology to Recover Rare Earth Elements from Weathering Crusts. Nat. Sustain. 2023, 6, 81–92. [Google Scholar] [CrossRef]
- Shi, Q.; Zhao, Y.; Meng, X.; Shen, L.; Qiu, G.; Zhang, X.; Yu, H.; He, X.; He, H.; Zhao, H. Column Leaching of Ion Adsorption Rare Earth Ore at Low Ammonium Concentration. J. Mater. Res. Technol. 2022, 19, 2135–2145. [Google Scholar] [CrossRef]
- Yang, L.; Wang, D.; Li, C.; Sun, Y.; Zhou, X. Searching for a high efficiency and environmental benign reagent to leach ion-adsorption rare earths based on the zeta potential of clay particles. Green Chem. 2018, 20, 4528–4536. [Google Scholar] [CrossRef]
- Meng, X.; Zhao, H.; Zhang, Y.; Shen, L.; Gu, G.; Qiu, G.; Zhang, X.; Yu, H.; He, X.; Liu, C. Simulated Bioleaching of Ion-Adsorption Rare Earth Ore Using Metabolites of Biosynthetic Citrate: An Alternative to Cation Exchange Leaching. Miner. Eng. 2022, 189, 107900. [Google Scholar] [CrossRef]
- Wu, S.; Wang, L.; Zhao, L.; Zhang, P.; El-Shall, H.; Moudgil, B.; Huang, X.; Zhang, L. Recovery of rare earth elements from phosphate rock by hydrometallurgical processes-a critical review. Chem. Eng. J. 2018, 335, 774–800. [Google Scholar] [CrossRef]
- Ju, W.; Yang, J.; Wang, Z.; Yao, C.; Zhang, X. Formation Mechanism of Preferential Flow Paths and Seepage Characteristics of a Novel Growable Pile for Heap Leaching of Rare Earth. Adv. Mater. Sci. Eng. 2021, 2021, 3010859. [Google Scholar] [CrossRef]
- Deng, G.; Yang, Y. A Review of The Mining Technologies of Ion-absorbed Rare Earth Mineral. Chin. Rare Earths 2016, 37, 129–133. [Google Scholar]
- Zhou, L.B.; Yang, J.; Kang, S.J.; Wang, X.J.; Yu, H.D.; Wan, Y.H. Enhancing Leaching Efficiency of Ion Adsorption Rare Earths by Ameliorating Mass Transfer Effect of Rare Earth Ions by Applying an Electric Field. J. Rare Earth 2023, in press. [Google Scholar] [CrossRef]
- Xia, H.; Deng, P.; Wu, X.; Liu, D.; Qiu, S.; Liu, Y.; Yu, Y. Simulation Research on Pilot Experimental of In-situ Leaching Ion-adsorption Rare Earth Ores with Plant Leaching Agent. Nonferrous Met. Eng. 2020, 10, 52–59. [Google Scholar]
- Zhou, F.; Zhang, L.; Wang, Z.; Zhang, Y.; Chi, R.; Wu, X. Application of surfactant for improving leaching process of weathered crust elution-deposited rare earth ores. J. Rare Earths 2024, 42, 181–190. [Google Scholar] [CrossRef]
- Feng, J.; Zhou, F.; Chi, R.; Liu, X.; Xu, Y.; Liu, Q. Effect of a novel compound on leaching process of weathered crust elution-deposited rare earth ore. Miner. Eng. 2018, 129, 63–70. [Google Scholar] [CrossRef]
- Zou, H.; Zhang, Z.; Chen, Z.; Liu, D.; Chai, X.; Zhang, H.; Chi, R. Seepage process on weathered crust elution-deposited rare earth ores with ammonium carboxylate solution. Phys. Probl. Miner. Process. 2020, 56, 89–101. [Google Scholar]
- Zhu, D.; Qiu, T.; Zhong, J.; Zeng, Q.; Fang, X. Molecular dynamics simulation of aluminum inhibited leaching during ion-adsorbed type rare earth ore leaching process. J. Rare Earths 2019, 37, 1334–1340. [Google Scholar] [CrossRef]
- Qiu, T.; Fang, X.; Wu, H.; Zeng, Q.; Zhu, D. Leaching behaviors of iron and aluminum elements of ion-absorbed-rare-earth ore with a new impurity depressant. Trans. Nonferrous Met. Soc. China 2014, 24, 2986–2990. [Google Scholar] [CrossRef]
- Qiu, T.; Zhu, D.; Fang, X.; Zeng, Q.; Gao, G.; Zhu, H. Leaching kinetics of ionic rare-earth in ammonia-nitrogen wastewater system added with impurity inhibitor. J. Rare Earths 2014, 32, 1175–1183. [Google Scholar] [CrossRef]
- Yan, H.; Liang, T.; Liu, Q.; Qiu, T.; Ai, G. Compound leaching behavior and regularity of ionic rare earth ore. Powder Technol. 2018, 333, 106–114. [Google Scholar] [CrossRef]
- Chen, J.; Qiu, J.; Chen, X.; Peng, B.; Yang, Y.; Xiao, Y. The coordination-reduction leaching process of ion-adsorption type rare earth ore with ascorbic acid. J. Rare Earths 2023, 41, 1225–1233. [Google Scholar] [CrossRef]
- Guo, Q.; Li, Z.; Pan, J.; Li, B.; Zhao, L.; Liu, D.; Zheng, X.; Wang, C. Leaching Mechanism of Aluminum during Column Leaching of Ion-Adsorption Rare Earth Ore Using Magnesium Sulfate. Minerals 2023, 13, 401. [Google Scholar] [CrossRef]
- HJ 535-2009; Water Quality-Determination of Ammonia Nitrogen-Nessler’s Reagent Spectrophotometry. China Standards Press: Beijing, China, 2009.
- Sohn, H.; Wadsworth, M. Rate Processes in Extractive Metallurgy; Plenum: New York, NY, USA, 1979. [Google Scholar]
- Li, M.; Zhang, X.; Liu, Z.; Hu, Y.; Wang, M.; Liu, J.; Yang, J. Kinetics of leaching fluoride from mixed rare earth concentrate with hydrochloric acid and aluminum chloride. Hydrometallurgy 2013, 140, 71–76. [Google Scholar] [CrossRef]
- Zhu, P.; Zhang, X.; Li, K.; Qian, G.; Zhou, M. Kinetics of leaching refractory gold ores by ultrasonic-assisted electro-chlorination. J. Int. Min. Metall. Mater. 2012, 19, 473–477. [Google Scholar] [CrossRef]
- Ashraf, M.; Zafar, Z.; Ansari, T. Selective leaching kinetics and upgrading of low-grade calcareous phosphate rock in succinic acid. Hydrometallurgy 2005, 80, 286–292. [Google Scholar] [CrossRef]
- Li, Y. Ion Adsorption Rare Earth Resources and Their Green Extraction; Chemical Industry Press: Beijing, China, 2014. [Google Scholar]
Disclaimer/Publisher’s Note: The statements, opinions and data contained in all publications are solely those of the individual author(s) and contributor(s) and not of MDPI and/or the editor(s). MDPI and/or the editor(s) disclaim responsibility for any injury to people or property resulting from any ideas, methods, instructions or products referred to in the content. |
© 2025 by the authors. Licensee MDPI, Basel, Switzerland. This article is an open access article distributed under the terms and conditions of the Creative Commons Attribution (CC BY) license (https://creativecommons.org/licenses/by/4.0/).












