Next Issue
Volume 13, December-1
Previous Issue
Volume 13, November-1
 
 
mathematics-logo

Journal Browser

Journal Browser

Mathematics, Volume 13, Issue 22 (November-2 2025) – 162 articles

Cover Story (view full-size image): Can one visualize wave operators and scattering operators, whose existence is usually established only through abstract proofs? We propose an explicitly solvable model in the discrete half-space in which the action of these operators can be visualized using arrows. By computing the explicit formulas for the wave and scattering operators, this work provides a novel visual representation of their action and of their standard properties. These figures also offer a new perspective on wold's decomposition, a seminal result in operator theory. These investigations show how abstract results from operator theory can be intuitively understood through a simple and explicit dynamical model. View this paper
  • Issues are regarded as officially published after their release is announced to the table of contents alert mailing list.
  • You may sign up for e-mail alerts to receive table of contents of newly released issues.
  • PDF is the official format for papers published in both, html and pdf forms. To view the papers in pdf format, click on the "PDF Full-text" link, and use the free Adobe Reader to open them.
Order results
Result details
Section
Select all
Export citation of selected articles as:
31 pages, 511 KB  
Article
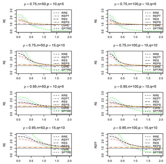
Shrinkage Approaches for Ridge-Type Estimators Under Multicollinearity
by Marwan Al-Momani, Bahadır Yüzbaşı, Mohammad Saleh Bataineh, Rihab Abdallah and Athifa Moideenkutty
Mathematics 2025, 13(22), 3733; https://doi.org/10.3390/math13223733 - 20 Nov 2025
Cited by 1 | Viewed by 762
Abstract
Multicollinearity is a common issue in regression analyses that occurs when some predictor variables are highly correlated, leading to unstable least squares estimates of model parameters. Various estimation strategies have been proposed to address this problem. In this study, we enhanced a ridge-type [...] Read more.
Multicollinearity is a common issue in regression analyses that occurs when some predictor variables are highly correlated, leading to unstable least squares estimates of model parameters. Various estimation strategies have been proposed to address this problem. In this study, we enhanced a ridge-type estimator by incorporating pretest and shrinkage techniques. We conducted an analytical comparison to evaluate the performance of the proposed estimators in terms of their bias, quadratic risk, and numerical performance using both simulated and real data. Additionally, we assessed several penalization methods and three machine learning algorithms to facilitate a comprehensive comparison. Our results demonstrate that the proposed estimators outperformed the standard ridge-type estimator with respect to the mean squared error of the simulated data and the mean squared prediction error of two real data applications. Full article
(This article belongs to the Special Issue Advances in Statistical Methods with Applications)
Show Figures

Figure 1

19 pages, 319 KB  
Article
Optimal Consumption and Investment Problem with Consumption Ratcheting in Luxury Goods
by Geonwoo Kim and Junkee Jeon
Mathematics 2025, 13(22), 3732; https://doi.org/10.3390/math13223732 - 20 Nov 2025
Viewed by 564
Abstract
This paper investigates an infinite-horizon optimal consumption and investment problem for an agent who consumes two types of goods: necessities and luxuries. The agent derives utility from both goods but faces a ratcheting constraint on luxury consumption, which prohibits any decline in its [...] Read more.
This paper investigates an infinite-horizon optimal consumption and investment problem for an agent who consumes two types of goods: necessities and luxuries. The agent derives utility from both goods but faces a ratcheting constraint on luxury consumption, which prohibits any decline in its level over time. This constraint captures the irreversible nature of high living standards or luxury habits often observed in real economies. We formulate the problem in a complete financial market with a risk-free asset and a risky stock and solve it analytically using the dual–martingale method. The dual problem is shown to reduce to a family of optimal stopping problems, from which we derive explicit closed-form solutions for the value function and optimal policies. Our results reveal that the ratcheting constraint generates asymmetric consumption dynamics: necessities adjust freely, whereas luxuries exhibit downward rigidity. As a consequence, the marginal propensity to consume necessities declines with wealth, while luxury consumption and portfolio risk exposure increase more sharply compared to the benchmark case without ratcheting. The model provides a continuous-time microfoundation for persistent high consumption levels and greater risk-taking among wealthy individuals. Full article
(This article belongs to the Special Issue Recent Developments in Theoretical and Applied Mathematics)
Show Figures

Figure 1

20 pages, 22800 KB  
Review
Deep Learning Empowered Signal Detection for Spatial Modulation Communication Systems
by Shaopeng Jin, Yuyang Peng and Fawaz AL-Hazemi
Mathematics 2025, 13(22), 3731; https://doi.org/10.3390/math13223731 - 20 Nov 2025
Viewed by 615
Abstract
Index modulation (IM) has attracted increasing research attention in recent years. Spatial modulation (SM) as a popular IM scheme is effective to increase spectral efficiency using the antenna index to transmit extra information bits. It can also address some issues that occur in [...] Read more.
Index modulation (IM) has attracted increasing research attention in recent years. Spatial modulation (SM) as a popular IM scheme is effective to increase spectral efficiency using the antenna index to transmit extra information bits. It can also address some issues that occur in multiple-input multiple-output systems, such as inter-channel interference and inter-antenna synchronization. Artificial intelligence, especially deep learning (DL), has made significant inroads in wireless communication. Recently, more researchers have started to apply DL methods to IM-based applications such as signal detection. Many results have proven that DL methods can achieve breakthroughs in metrics like bit error rate (BER) and time complexity compared to conventional signal detection methods. However, the problem of how to design this novel method in practical scenarios is far from fully understood. This article surveys several DL-based signal detection methods for IM and its variants. Moreover, we discuss the performance of different neural network structures, some of which can achieve better performance compared to original neural network. In the implementation, trade-offs between BER and time complexity, as well as neural network’s training time, are discussed. Several simulation results are provided to demonstrate how the DL method in signal detection of SM can lead to improvements in BER and time complexity. Finally, some challenges and open issues that suggest future research directions are discussed. Full article
(This article belongs to the Section E2: Control Theory and Mechanics)
Show Figures

Figure 1

25 pages, 3204 KB  
Article
A Classified Branch–CapNet: A Multi-Modal Model with Classified Branches for the Capacity Prediction of Li–Ion Battery Cathodes
by Junghee Kim, Jaehyeok Yang and Daewon Chung
Mathematics 2025, 13(22), 3730; https://doi.org/10.3390/math13223730 - 20 Nov 2025
Viewed by 772
Abstract
Machine learning has emerged as a promising tool to accelerate the screening of lithium–ion battery electrode materials. Gravimetric capacity, a critical performance indicator governing electrode energy density, is intrinsically related to lithium insertion and extraction mechanisms, requiring sophisticated embedding approaches that capture the [...] Read more.
Machine learning has emerged as a promising tool to accelerate the screening of lithium–ion battery electrode materials. Gravimetric capacity, a critical performance indicator governing electrode energy density, is intrinsically related to lithium insertion and extraction mechanisms, requiring sophisticated embedding approaches that capture the structural characteristics of cathode materials. The cathode material dataset from the Materials Project database comprises heterogeneous data modalities: numerical features representing chemical properties and categorical features encoding structural characteristics. Naive integration of these disparate data types may introduce semantic gaps from statistical distributional discrepancies, potentially degrading predictive performance and limiting model generalization. To address these limitations, this study proposes a Classified Branch–CapNet model that individually embeds four distinct types of categorical structural data into separate classified branches along with numerical data for independent learning, subsequently integrating them through a late fusion strategy. This approach minimizes interference between heterogeneous data modalities while capturing structure–property relationships with enhanced precision. The proposed model achieved superior performance with a mean absolute error of 2.441 mAh/g, demonstrating substantial improvements of 56.2%, 71.2%, 73.9%, and 51.1% over conventional deep neural networks, recurrent neural networks, long short-term memory architectures, and the encoder-only Transformer, respectively. Furthermore, it achieved the lowest root mean square error of 15.236 mAh/g and the highest coefficient of determination of 0.961, confirming its superior predictive accuracy and generalization capability compared with all benchmark models. Our model therefore demonstrates significant potential to accelerate the efficient screening and discovery of high-performance battery electrode materials. Full article
Show Figures

Figure 1

20 pages, 5367 KB  
Article
EDICA: A Hybrid Ensemble Architecture Using Deep Learning Models for Fine-Grained Image Classification
by Juan Paulo Sánchez Hernández, Alan J. González Hernández, Juan Frausto Solis, Deny Lizbeth Hernández Rabadán, Javier González-Barbosa and Guadalupe Castilla Valdez
Mathematics 2025, 13(22), 3729; https://doi.org/10.3390/math13223729 - 20 Nov 2025
Viewed by 997
Abstract
This work presents EDICA, a two-stage architecture for fine-grained image classification, which is a hybrid model for the detection and classification task. The model employs YOLOv8 for the detection stage and an ensemble deep learning model that utilizes a majority voting strategy for [...] Read more.
This work presents EDICA, a two-stage architecture for fine-grained image classification, which is a hybrid model for the detection and classification task. The model employs YOLOv8 for the detection stage and an ensemble deep learning model that utilizes a majority voting strategy for fine-grained image classification. The proposed model aims to enhance the precision of classification by integrating classification models that have been trained with the same classes. This approach enables the utilization of the strengths of these classification models for a range of test instances. The experiment involved a diverse set of classes, encompassing a variety of types, including dogs, cats, birds, fruits, frogs, and foliage; each class is divided into subclasses for finer-grained classification, such as specific dogs, cat breeds, bird species, and fruit types. The experimental results show that the hybrid model outperforms classification approaches that use only one model, thereby demonstrating greater robustness relating to ambiguous complex images and uncontrolled environments. Full article
(This article belongs to the Special Issue Artificial Intelligence: Deep Learning and Computer Vision)
Show Figures

Figure 1

27 pages, 11404 KB  
Article
Systematic Integration of Attention Modules into CNNs for Accurate and Generalizable Medical Image Classification
by Zahid Ullah, Minki Hong, Tahir Mahmood and Jihie Kim
Mathematics 2025, 13(22), 3728; https://doi.org/10.3390/math13223728 - 20 Nov 2025
Cited by 11 | Viewed by 1737
Abstract
Deep learning has demonstrated significant promise in medical image analysis; however, standard CNNs frequently encounter challenges in detecting subtle and intricate features vital for accurate diagnosis. To address this limitation, we systematically integrated attention mechanisms into five commonly used CNN backbones: VGG16, ResNet18, [...] Read more.
Deep learning has demonstrated significant promise in medical image analysis; however, standard CNNs frequently encounter challenges in detecting subtle and intricate features vital for accurate diagnosis. To address this limitation, we systematically integrated attention mechanisms into five commonly used CNN backbones: VGG16, ResNet18, InceptionV3, DenseNet121, and EfficientNetB5. Each network was modified using either a Squeeze-and-Excitation block or a hybrid Convolutional Block Attention Module, allowing for more effective recalibration of channel and spatial features. We evaluated these attention-augmented models on two distinct datasets: (1) a Products of Conception histopathological dataset containing four tissue categories, and (2) a brain tumor MRI dataset that includes multiple tumor subtypes. Across both datasets, networks enhanced with attention mechanisms consistently outperformed their baseline counterparts on all measured evaluation criteria. Importantly, EfficientNetB5 with hybrid attention achieved superior overall results, with notable enhancements in both accuracy and generalizability. In addition to improved classification outcomes, the inclusion of attention mechanisms also advanced feature localization, thereby increasing robustness across a range of imaging modalities. Our study established a comprehensive framework for incorporating attention modules into diverse CNN architectures and delineated their impact on medical image classification. These results provide important insights for the development of interpretable and clinically robust deep learning-driven diagnostic systems. Full article
Show Figures

Figure 1

40 pages, 31100 KB  
Article
MESDO: A Multi-Strategy Supply Demand Optimization for Global Optimization and Deployment of Wireless Sensor Network
by Bowei Wang, Yuchen Yan, Lingxi Zhu, Shaojie Yin and Yangjian Yang
Mathematics 2025, 13(22), 3727; https://doi.org/10.3390/math13223727 - 20 Nov 2025
Viewed by 564
Abstract
To address the problems of the traditional Supply–Demand Optimization (SDO) algorithm in wireless sensor network (WSN) node deployment—such as blind search direction, weak global exploration capability, coarse boundary handling, and insufficient maintenance of population diversity—this paper proposes a Multi-Strategy Enhanced Supply–Demand Optimization algorithm [...] Read more.
To address the problems of the traditional Supply–Demand Optimization (SDO) algorithm in wireless sensor network (WSN) node deployment—such as blind search direction, weak global exploration capability, coarse boundary handling, and insufficient maintenance of population diversity—this paper proposes a Multi-Strategy Enhanced Supply–Demand Optimization algorithm (MESDO). The proposed MESDO is validated on the CEC2017 and CEC2022 benchmark test suites. The results demonstrate that MESDO achieves superior performance in unimodal, multimodal, hybrid, and composite function optimization: for unimodal functions, it enhances local exploitation precision via elite-guided search to quickly converge to optimal regions; for multimodal functions, the adaptive differential evolution operator effectively avoids local optima by expanding exploration scope; for hybrid and composite functions, the centroid-based opposition learning boundary control maintains stable population diversity, ensuring adaptability to complex solution spaces. These advantages enable MESDO to effectively avoid premature convergence. According to the Friedman test, MESDO ranks first on CEC2017 (d = 30), CEC2022 (d = 10), and CEC2022 (d = 20), with average rankings of 1.20, 1.67, and 1.33, respectively—significantly outperforming the second-ranked SDO (average rankings of 3.60, 3.25, and 3.83). Finally, MESDO is applied to WSN deployment optimization. Its average coverage rate (86.80%) exceeds that of SDO (84.41%) by 2.39 percentage points, while its minimum coverage (84.80%) is 21.21 percentage points higher than that of AOO (69.96%). Moreover, its standard deviation (8.1308 × 10−3) is the lowest among all compared algorithms. The convergence curve reveals that MESDO achieves 82% coverage within 50 iterations, which is significantly faster than SDO (80 iterations) and IWOA (100 iterations). The node deployment distribution further shows that the generated nodes are uniformly distributed without coverage blind spots. In summary, MESDO demonstrates superior optimization accuracy, convergence speed, and stability in both function optimization and WSN deployment, providing a reliable and efficient approach for WSN deployment optimization. Full article
(This article belongs to the Special Issue Advanced Information and Signal Processing: Models and Algorithms)
Show Figures

Figure 1

29 pages, 4638 KB  
Article
Semantics-Driven 3D Scene Retrieval via Joint Loss Deep Learning
by Juefei Yuan, Tianyang Wang, Shandian Zhe, Yijuan Lu, Zhaoxian Zhou and Bo Li
Mathematics 2025, 13(22), 3726; https://doi.org/10.3390/math13223726 - 20 Nov 2025
Viewed by 1299
Abstract
Three-dimensional (3D) scene model retrieval has emerged as a novel and challenging area within content-based 3D model retrieval research. It plays an increasingly critical role in various domains, such as video games, film production, and immersive technologies, including virtual reality (VR), augmented reality [...] Read more.
Three-dimensional (3D) scene model retrieval has emerged as a novel and challenging area within content-based 3D model retrieval research. It plays an increasingly critical role in various domains, such as video games, film production, and immersive technologies, including virtual reality (VR), augmented reality (AR), and mixed reality (MR), where automated generation of 3D content is highly desirable. Despite their potential, the existing 3D scene retrieval techniques often overlook the rich semantic relationships among objects and between objects and their surrounding scenes. To address this gap, we introduce a comprehensive scene semantic tree that systematically encodes learned object occurrence probabilities within each scene category, capturing essential semantic information. Building upon this structure, we propose a novel semantics-driven image-based 3D scene retrieval method. The experimental evaluations show that the proposed approach effectively models scene semantics, enables more accurate similarity assessments between 3D scenes, and achieves substantial performance improvements. All the experimental results, along with the associated code and datasets, are available on the project website. Full article
Show Figures

Figure 1

17 pages, 537 KB  
Article
Convergence Properties and Numerical Illustration of a Resolvent-Based Inertial Extrapolation Method for Variational Inclusions in Banach Space
by Mohd Aftab Alam, Syed Shakaib Irfan and Iqbal Ahmad
Mathematics 2025, 13(22), 3725; https://doi.org/10.3390/math13223725 - 20 Nov 2025
Viewed by 660
Abstract
This paper examines H(·,·)-accretive mappings in Banach spaces and proves that the resolvent operator related to these mappings is Lipschitz continuous. Using the resolvent operator technique, we formulate iterative algorithms to solve a class of variational inclusions [...] Read more.
This paper examines H(·,·)-accretive mappings in Banach spaces and proves that the resolvent operator related to these mappings is Lipschitz continuous. Using the resolvent operator technique, we formulate iterative algorithms to solve a class of variational inclusions in Banach spaces. We also concentrate on examining the convergence of the problem by employing the inertial extrapolation scheme and proving the convergence of the iterative scheme produced by the algorithm. The theoretical analysis is corroborated with a numerical result, which highlights the effectiveness and practical relevance of the proposed approaches. Full article
Show Figures

Figure 1

28 pages, 5515 KB  
Article
A Multivariable Mathematical Model of Conductivity, β-Amyloid and T-Protein Dynamics in Alzheimer’s Disease Progression
by Emmanouil Perakis and Panagiotis Vlamos
Mathematics 2025, 13(22), 3724; https://doi.org/10.3390/math13223724 - 20 Nov 2025
Viewed by 798
Abstract
Alzheimer’s disease (AD) affects over 55 million individuals worldwide, yet no transformative disease-modifying therapies exist. Mathematical modelling provides a powerful framework to elucidate complex disease mechanisms, predict therapeutic outcomes, and enable precision medicine—capabilities urgently needed where multiscale spatiotemporal processes defy experimental analysis alone. [...] Read more.
Alzheimer’s disease (AD) affects over 55 million individuals worldwide, yet no transformative disease-modifying therapies exist. Mathematical modelling provides a powerful framework to elucidate complex disease mechanisms, predict therapeutic outcomes, and enable precision medicine—capabilities urgently needed where multiscale spatiotemporal processes defy experimental analysis alone. We developed a mechanistic spatiotemporal model coupling four AD hallmarks: β-amyloid (Aβ) accumulation, T-protein (T-p) aggregation, neuroinflammation and electrical conductivity decline. Formulated as non-linear partial differential equations (p.d.es) on a 3-dimensional biological interpretation of non-linear terms (the ellipsoidal brain domain with biologically grounded parameters), the model was solved using eigenfunction expansion, Fourier analysis and numerical methods. Therapeutic interventions were simulated through mechanistically motivated parameter modifications and validated against longitudinal biomarker data from major cohort studies. Simulations reveal Aβ-initiated spatiotemporal cascades originating in the hippocampus and spreading radially at 0.15–0.20 cm/year, with T-pathology emerging after 2–3 years. Conductivity decline accelerates upon T-onset (year 5–7), reflecting the transition to symptomatic disease. Multimodal intervention at early symptomatic stages reduces peak Aβ by 36% and inflammation by 52% and preserves 41% more conductivity than untreated controls. Sensitivity analysis identifies Aβ production and inflammatory regulation as critical therapeutic targets, with dose–response curves demonstrating linear efficacy relationships. This biologically grounded framework explicitly links molecular pathology to functional decline, enabling patient-specific trajectory prediction through parameter calibration. The model establishes a foundation for precision medicine applications including individualized prognosis, optimal treatment timing and virtual clinical trial design, advancing quantitative systems biology of neurodegeneration. Full article
(This article belongs to the Section E3: Mathematical Biology)
Show Figures

Figure 1

27 pages, 3374 KB  
Article
Industry Index Volatility Spillovers and Forecasting from Crude Oil Prices Based on the MS-HAR-TVP Model
by Haoqing Yu
Mathematics 2025, 13(22), 3723; https://doi.org/10.3390/math13223723 - 20 Nov 2025
Viewed by 2244
Abstract
This paper investigates the volatility spillover effects from the crude oil market to domestic stock markets using high-frequency data. We propose an enhanced methodology, the MS-HAR-TVP model, which extends the standard HAR framework. Our model decomposes crude oil price impacts on domestic financial [...] Read more.
This paper investigates the volatility spillover effects from the crude oil market to domestic stock markets using high-frequency data. We propose an enhanced methodology, the MS-HAR-TVP model, which extends the standard HAR framework. Our model decomposes crude oil price impacts on domestic financial markets into trend and jump volatility spillover components via the TVP framework, while incorporating a Markov switching mechanism to capture regime changes in volatility dynamics. This paper selects the CSI coal index and the CSI new energy index as the representatives of the domestic energy stock market, uses the rolling window method and the MCS test method to evaluate the predictive performance of the model, and compares it with other commonly used models. The empirical results show that (1) the decomposed high-frequency volatility spillover has obvious volatility clustering and asymmetry and the trend and jump spillover have significant improvement in the predictive ability of future volatility; (2) the short-term trend of crude oil is opposite to the trend of the new energy index, but the same as the short-term trend of the coal index, indicating that the impact of crude oil prices on different energy stock markets is different; and (3) the MS-HAR-TVP model and MS-HAR-TVP-J/TCJ model combined with the crude oil volatility spillover have significantly higher in-sample and out-of-sample prediction accuracy than other models in high volatility periods, indicating that the model proposed in this paper can better characterize and predict the volatility characteristics of the domestic energy stock market. Full article
Show Figures

Figure 1

26 pages, 7070 KB  
Article
Converse Inertial Step Approach and Its Applications in Solving Nonexpansive Mapping
by Gangxing Yan and Tao Zhang
Mathematics 2025, 13(22), 3722; https://doi.org/10.3390/math13223722 - 20 Nov 2025
Viewed by 625
Abstract
In spite of great successes of the inertial step approach (ISA) in various fields, we are investigating the converse inertial step approach (CISA) for the first time. First, the classical Picard iteration for solving nonexpansive mappings converges weakly with CISA integration. Its analysis [...] Read more.
In spite of great successes of the inertial step approach (ISA) in various fields, we are investigating the converse inertial step approach (CISA) for the first time. First, the classical Picard iteration for solving nonexpansive mappings converges weakly with CISA integration. Its analysis is based on the newly developed weak quasi-Fejér monotonicity under mild assumptions. We also establish O(1/kγ) (γ(0,1)) and linear convergence rate under different assumptions. This extends the O(1/k) convergence rate of the Krasnosel’skiĭ–Mann iteration. A generalized version of CISA is then studied. Second, combining CISA with over-relaxed step approach for solving nonexpansive mappings leads to a new algorithm, which not only converges without restrictive assumptions but also allows an inexact calculation in each iteration. Third, with CISA integration, a Backward–Forward splitting algorithm succeeds in accepting a larger step-size, and a Peaceman–Rachford splitting algorithm is guaranteed to converge. Full article
(This article belongs to the Section E: Applied Mathematics)
Show Figures

Figure 1

21 pages, 3627 KB  
Article
High-Resolution Numerical Scheme for Simulating Wildland Fire Spread
by Vasileios G. Mandikas and Apostolos Voulgarakis
Mathematics 2025, 13(22), 3721; https://doi.org/10.3390/math13223721 - 20 Nov 2025
Viewed by 820
Abstract
Predicting wildland fire spread requires numerical schemes that can resolve sharp gradients at the fireline while remaining stable and efficient on practical grids. We develop a compact high-order finite-difference scheme for Hamilton–Jacobi level-set formulations of wildfire propagation, based on the anisotropic spread law [...] Read more.
Predicting wildland fire spread requires numerical schemes that can resolve sharp gradients at the fireline while remaining stable and efficient on practical grids. We develop a compact high-order finite-difference scheme for Hamilton–Jacobi level-set formulations of wildfire propagation, based on the anisotropic spread law of Mallet and co-authors. The spatial discretization employs a compact finite-difference derivative scheme to achieve spectral-like resolution with narrow stencils, improving accuracy and boundary robustness compared with wide-stencil ENO/WENO reconstructions. To control high-frequency artifacts intrinsic to non-dissipative compact schemes, an implicit high-order low-pass filter is incorporated and activated after each Runge–Kutta stage. Convergence is verified on the eikonal expanding-circle benchmark, where the method attains the expected high-order spatial accuracy as the grid is refined. The proposed scheme is then applied to wind-driven wildfire simulations governed by Mallet’s non-convex Hamiltonian, including a single ignition under moderate and strong wind. A complex topology test case is also considered, involving two ignitions that merge into a single front with the evolution of an internal unburnt island. The results demonstrate that the proposed method accurately reproduces fireline evolution even on coarse grids, achieving accuracy comparable to fifth-order WENO while maintaining superior fidelity in complex fireline topologies, where it better resolves multi-front interactions and topological changes in the fireline. This makes the method an efficient, accurate alternative for level-set wildfire modeling and readily integrable into existing frameworks. Full article
(This article belongs to the Section E: Applied Mathematics)
Show Figures

Figure 1

23 pages, 39304 KB  
Article
Anatomical Alignment of Femoral Radiographs Enables Robust AI-Powered Detection of Incomplete Atypical Femoral Fractures
by Doyoung Kwon, Jin-Han Lee, Joon-Woo Kim, Ji-Wan Kim, Sun-jung Yoon, Sungmoon Jeong and Chang-Wug Oh
Mathematics 2025, 13(22), 3720; https://doi.org/10.3390/math13223720 - 20 Nov 2025
Cited by 1 | Viewed by 927
Abstract
An Incomplete Atypical femoral fracture is subtle and requires early diagnosis. However, artificial intelligence models for these fractures often fail in real-world clinical settings due to the “domain shift” problem, where performance degrades when applied to new data sources. This study proposes a [...] Read more.
An Incomplete Atypical femoral fracture is subtle and requires early diagnosis. However, artificial intelligence models for these fractures often fail in real-world clinical settings due to the “domain shift” problem, where performance degrades when applied to new data sources. This study proposes a data-centric approach to overcome this problem. We introduce an anatomy-based four-step preprocessing pipeline to normalize femoral X-ray images. This pipeline consists of (1) semantic segmentation of the femur, (2) skeletonization and centroid extraction using RANSAC, (3) rotational alignment to the vertical direction, and (4) cropping a normalized region of interest (ROI). We evaluate the effectiveness of this pipeline across various one-stage (YOLO) and two-stage (Faster R-CNN) object detection models. On the source domain data, the proposed alignment pipeline significantly improves the performance of the YOLO model, with YOLOv10n achieving the best performance of 0.6472 at mAP@50–95. More importantly, in zero-shot evaluation on a completely new domain, standing AP X-ray, the model trained on aligned data exhibited strong generalization performance, while the existing models completely failed (mAP = 0), YOLOv10s, which applied the proposed method, achieved 0.4616 at mAP@50–95. The first-stage detector showed more consistent performance gains from the alignment technique than the second-stage detector. Normalizing medical images based on inherent anatomical consistency is a highly effective and efficient strategy for achieving domain generalization. This data-driven paradigm, which simplifies the input to AI, can create clinically applicable, robust models without increasing the complexity of the model architecture. Full article
Show Figures

Figure 1

38 pages, 20996 KB  
Article
Preassigned-Time Projective Lag Synchronization of Octonion-Valued BAM Neural Networks via Exponential Quantized Event-Triggered Control
by Xuejiao Qin, Xinman Li, Lianyang Hu, Cheng Hu and Haijun Jiang
Mathematics 2025, 13(22), 3719; https://doi.org/10.3390/math13223719 - 19 Nov 2025
Viewed by 628
Abstract
This study addresses the preassigned-time (PDT) projective lag synchronization of octonion-valued BAM neural networks (OV-BAMNNs) through exponential quantized event-triggered control (ETC). First, an OV-BAMNN model incorporating discontinuous activation functions and time-varying delays is established. Subsequently, by introducing the octonion-valued sign function, several exponential [...] Read more.
This study addresses the preassigned-time (PDT) projective lag synchronization of octonion-valued BAM neural networks (OV-BAMNNs) through exponential quantized event-triggered control (ETC). First, an OV-BAMNN model incorporating discontinuous activation functions and time-varying delays is established. Subsequently, by introducing the octonion-valued sign function, several exponential quantized ETC schemes are designed, which employ solely a single exponential term while eliminating traditional linear and power-law components. Compared with conventional ETC designs, the proposed control schemes are simpler in form. Furthermore, within the framework of the non-separation method, several criteria for PDT projective lag synchronization are derived based on the Lyapunov method and Taylor expansion, proving that Zeno behavior is excluded. Finally, two simulation examples are given to verify the correctness of the theoretical results and to apply these results to image encryption. Full article
Show Figures

Figure 1

35 pages, 1060 KB  
Article
Institutional Investors and Green Innovation Under Double Externalities: A Machine Learning Optimization Perspective
by Siqi Luo and Chengkun Liu
Mathematics 2025, 13(22), 3718; https://doi.org/10.3390/math13223718 - 19 Nov 2025
Viewed by 1741
Abstract
This paper investigates how institutional investors address the double externalities of green innovation (knowledge spillovers and environmental benefits) in China’s transition economy. Methodologically, we integrate fixed-effects econometric models with a double machine learning framework, employing random forest, gradient boosting, Lasso, and Ridge to [...] Read more.
This paper investigates how institutional investors address the double externalities of green innovation (knowledge spillovers and environmental benefits) in China’s transition economy. Methodologically, we integrate fixed-effects econometric models with a double machine learning framework, employing random forest, gradient boosting, Lasso, and Ridge to optimize causal inference under high-dimensional controls. The results consistently show that institutional ownership significantly enhances both the scale and quality of green innovation, particularly when formal institutions inadequately internalize externalities. Mechanism analysis further reveals that corporate transparency acts as a compensatory governance tool, strengthening the role of institutional investors in mitigating market failures. We also document heterogeneous effects across informal institutional environments, where weaker Confucian culture and stronger market sentiment amplify investor influence. By combining econometric identification with machine learning optimization, this study advances methodological approaches to sustainable finance and offers policy insights into leveraging institutional investors as catalysts for environmental governance. Full article
Show Figures

Figure 1

32 pages, 996 KB  
Article
Extreme Theory of Functional Connections with Receding Horizon Control for Aerospace Applications
by Kristofer Drozd and Roberto Furfaro
Mathematics 2025, 13(22), 3717; https://doi.org/10.3390/math13223717 - 19 Nov 2025
Viewed by 757
Abstract
This paper introduces a novel closed-loop optimal controller that integrates the Extreme Theory of Functional Connections (X-TFC) with receding horizon control (RHC), referred to as X-TFC-RHC. The controller reformulates a sequence of linearized or quasi-linearized optimal control problems into two-point boundary value problems [...] Read more.
This paper introduces a novel closed-loop optimal controller that integrates the Extreme Theory of Functional Connections (X-TFC) with receding horizon control (RHC), referred to as X-TFC-RHC. The controller reformulates a sequence of linearized or quasi-linearized optimal control problems into two-point boundary value problems (TPBVPs) using the indirect method of optimal control. X-TFC then solves each TPBVP by approximating the solution with constrained expressions. These expressions consist of radial basis function neural networks (RBFNNs) and terms that satisfy the TPBVP constraints analytically. The RBFNNs are initialized offline using a particle swarm optimizer, which enables X-TFC to solve the TPBVPs efficiently online during each RHC iteration. The effectiveness of X-TFC-RHC is demonstrated through several aerospace guidance applications, which highlight its accuracy and computational efficiency in executing the RHC process. The proposed approach is also compared with state-of-the-art indirect pseudospectral methods and the traditional backward sweep method. Full article
(This article belongs to the Special Issue Advances in Numerical Methods for Optimal Control Problems)
Show Figures

Figure 1

22 pages, 1380 KB  
Article
Nonlocal Optimal Control in the Source—Numerical Approximation of the Compliance Functional Constrained by the p-Laplacian Equation
by Damián Castaño and Julio Muñoz
Mathematics 2025, 13(22), 3716; https://doi.org/10.3390/math13223716 - 19 Nov 2025
Viewed by 512
Abstract
The goal of this manuscript is the study of an optimal control problem. It consists on the minimization of the compliance functional when the state equation is the nonlocal p-laplacian and the control is the source of this equation. For this problem, [...] Read more.
The goal of this manuscript is the study of an optimal control problem. It consists on the minimization of the compliance functional when the state equation is the nonlocal p-laplacian and the control is the source of this equation. For this problem, a minimum principle, an uniqueness result of optimal control, and a numerical scheme able to approximate the only optimal control, have been derived. The obtained results are an extension of those found in the Cea and Malanowski’s paper, and the arguments employed to face the nonlinear and nonlocal case have been achieved by Muñoz. Some numerical examples are given. Full article
(This article belongs to the Section E2: Control Theory and Mechanics)
Show Figures

Figure 1

19 pages, 4283 KB  
Article
Integrating Traditional and Deep Cues for Depth from Focus Using Unfolding Networks
by Muhammad Tariq Mahmood and Khurram Ashfaq
Mathematics 2025, 13(22), 3715; https://doi.org/10.3390/math13223715 - 19 Nov 2025
Viewed by 864
Abstract
Depth from focus (DFF) is an optical, passive method that perceives the dense depth map of a real-world scene by exploiting the focus cue through a focal stack, a sequence of images captured at different focal distances. In DFF methods, first, a focus [...] Read more.
Depth from focus (DFF) is an optical, passive method that perceives the dense depth map of a real-world scene by exploiting the focus cue through a focal stack, a sequence of images captured at different focal distances. In DFF methods, first, a focus volume is computed, which represents per-pixel focus quality across the focal stack, obtained either through a conventional focus metric or a deep encoder. Depth is then recovered by different strategies: Traditional approaches typically apply an argmax operation over the focus volume (i.e., selecting the image index with maximum focus), whereas deep learning-based methods often employ soft-argmax for direct feature aggregation. However, applying a simple argmax operation to extract depth from the focus volume often introduces artifacts and results in an inaccurate depth map. In this work, we propose a deep framework that integrates depth estimates from both traditional and deep learning approaches to produce an enhanced depth map. First, a deep depth module (DDM) extracts an initial depth map from deep multi-scale focus volumes. This estimate is subsequently refined through a depth unfolding module (DUM), which iteratively learns residual corrections to update the predicted depth. The DUM also incorporates structural cues from traditional methods, leveraging their strong spatial priors to further improve depth quality. Extensive experiments were conducted on both synthetic and real-world datasets. The results show that the proposed framework achieves improved performance in terms of root mean square error (RMS) and mean absolute error (MAE) compared to state-of-the-art deep learning and traditional methods. In addition, the visual quality of the reconstructed depth maps is noticeably better than that of other approaches. Full article
Show Figures

Figure 1

26 pages, 1507 KB  
Article
A Novel ANP-DEMATEL Framework for Multi-Criteria Decision-Making in Adaptive E-Learning Systems
by Maja Gligora Marković, Nikola Kadoić and Božidar Kovačić
Mathematics 2025, 13(22), 3714; https://doi.org/10.3390/math13223714 - 19 Nov 2025
Viewed by 969
Abstract
E-learning systems that support personalized learning require sophisticated decision-making methods to adapt content to students optimally. This paper deals with applying multi-criteria decision-making methods in assigning learning objects in an e-learning system to students based on relevant customization criteria. The novelty of this [...] Read more.
E-learning systems that support personalized learning require sophisticated decision-making methods to adapt content to students optimally. This paper deals with applying multi-criteria decision-making methods in assigning learning objects in an e-learning system to students based on relevant customization criteria. The novelty of this study lies in the application of ANP and DEMATEL to improve content adaptation for students. Structuring the decision-making problem according to the DEMATEL and using ANP for prioritization has made the entire selection of learning objects better with respect to cognitive and learning styles and Bloom’s taxonomy levels. The method consists of various forms. In the first, DEMATEL has identified dependencies between criteria and clusters, mentioning their influence values on a 0–4 scale. A linear transformation model quantified the compatibility level of a student profile to a learning material. The transformed DEMATEL results were incorporated in all the interdependencies among criteria. The unweighted supermatrix was normalized by cluster weights assigned by experts before the iterative computation led to the converging weighted supermatrix. The outcome was that the individual students made these final priority rankings for learning materials. A pilot experiment was carried out to validate the system, and the results revealed that in the experimental group, the personalized learning environment showed the maximum statistical improvement over the control group. The research was conducted in Croatia, and the participants were students (N = 77) from two public universities and one polytechnic. Ultimately, the newly developed combined ANP-DEMATEL approach was effective in an instantaneous result-optimized dynamic learning path generation, ensuring knowledge acquisition. This research further contributes to developing intelligent educational systems by demonstrating how ANP and DEMATEL can be used synergistically to improve e-learning personalization. Future work could include optimizing weight assignment strategies or using new learning contexts to further adaptivity. Full article
(This article belongs to the Special Issue Advances in Multi-Criteria Decision Making Methods with Applications)
Show Figures

Figure 1

28 pages, 490 KB  
Review
A Concise Review on the Numerical Treatment of Generalized Fractional Equations
by Xuhao Li and Patricia J. Y. Wong
Mathematics 2025, 13(22), 3713; https://doi.org/10.3390/math13223713 - 19 Nov 2025
Cited by 1 | Viewed by 902
Abstract
In this paper, we shall give a concise review of recent numerical methods of some generalized fractional models. As is elucidated later, the generalized fractional models may arise from either mathematical point of view or application point of view. We shall focus on [...] Read more.
In this paper, we shall give a concise review of recent numerical methods of some generalized fractional models. As is elucidated later, the generalized fractional models may arise from either mathematical point of view or application point of view. We shall focus on the former one and discuss the numerical methods for these models in a concise manner. Finally, some potential research directions are proposed based on existing results as well as some advanced new topics. We hope this review can provide a sketch of current and future studies of generalized fractional models for interested readers. Full article
(This article belongs to the Special Issue Applications of Partial Differential Equations, 2nd Edition)
22 pages, 44103 KB  
Article
Hybrid Physics-Informed Neural Networks Integrating Multi-Relaxation-Time Lattice Boltzmann Method for Forward and Inverse Flow Problems
by Mengyu Feng, Minglei Shan, Ling Kuai, Chenghui Yang, Yu Yang, Cheng Yin and Qingbang Han
Mathematics 2025, 13(22), 3712; https://doi.org/10.3390/math13223712 - 19 Nov 2025
Cited by 1 | Viewed by 1993
Abstract
Although physics-informed neural networks (PINNs) offer a novel, mesh-free paradigm for computational fluid dynamics (CFD), existing models often suffer from poor stability and insufficient accuracy, particularly when dealing with complex flows at high Reynolds numbers. To address this limitation, we propose, for the [...] Read more.
Although physics-informed neural networks (PINNs) offer a novel, mesh-free paradigm for computational fluid dynamics (CFD), existing models often suffer from poor stability and insufficient accuracy, particularly when dealing with complex flows at high Reynolds numbers. To address this limitation, we propose, for the first time, a novel hybrid architecture, PINN-MRT, which integrates the multi-relaxation-time lattice Boltzmann method (MRT-LBM) with PINNs. The model embeds the MRT-LBM evolution equation as a physical constraint within the loss function and employs a unique dual-network architecture to separately predict macroscopic conserved variables and non-equilibrium distribution functions, enabling both forward and inverse problem-solving through a composite loss function. Benchmark tests on the lid-driven cavity flow demonstrate the superior performance of PINN-MRT. In inverse problems, it remains stable at Reynolds numbers up to 5000 with parameter inversion errors below 15%, whereas standard PINN and single-relaxation-time PINN-LBM models fail at a Reynolds number of 1000 with errors exceeding 80%. In purely physics-driven forward problems, PINN-MRT also provides stable solutions at a Reynolds number of 400, while the other models completely collapse. This study confirms that incorporating mesoscopic kinetic theory into PINNs effectively overcomes the stability bottlenecks of conventional approaches, providing a more robust and accurate architecture for CFD and paving the way for solving more challenging fluid dynamics problems. Full article
Show Figures

Figure 1

38 pages, 4780 KB  
Article
Deep Learning-Enhanced Iterative Modified Contrast Source Method for Electromagnetic Imaging in Half-Space
by Wei-Tsong Lee, Chien-Ching Chiu, Po-Hsiang Chen, Yen-Chun Li and Hao Jiang
Mathematics 2025, 13(22), 3711; https://doi.org/10.3390/math13223711 - 19 Nov 2025
Viewed by 1068
Abstract
This paper presents a hybrid inversion framework that integrates a physics-informed iterative algorithm with a deep learning-based refinement strategy to address the electromagnetic inverse scattering problem of a uniaxial object buried in lossy half-space environments. Specifically, an Iterative Modified Contrast Scheme (IMCS) is [...] Read more.
This paper presents a hybrid inversion framework that integrates a physics-informed iterative algorithm with a deep learning-based refinement strategy to address the electromagnetic inverse scattering problem of a uniaxial object buried in lossy half-space environments. Specifically, an Iterative Modified Contrast Scheme (IMCS) is developed to accelerate convergence and produce stable initial estimates, yielding improved performance compared to conventional contrast source methods. These estimates are subsequently refined by U-Net architecture, thereby enhancing the image quality of the reconstructed dielectric targets. Numerical simulations demonstrate that the proposed framework achieves robust and high-fidelity reconstructions of buried high-contrast dielectric objects, even in the presence of 20% additive Gaussian noise. Full article
Show Figures

Figure 1

32 pages, 8434 KB  
Article
Explainable Machine Learning Financial Econometrics for Digital Inclusive Finance Impact on Rural Labor Market
by Huanhao Chen, Yong Chen, Jiaxuan Wu and Xiaofei Du
Mathematics 2025, 13(22), 3710; https://doi.org/10.3390/math13223710 - 19 Nov 2025
Cited by 1 | Viewed by 1030
Abstract
The research examines how digital inclusive finance reshapes the rural labor market using an auditable index system and an interpretable learning pipeline. We construct a four-pillar framework for the rural labor market covering labor behavior, labor structure, security and fairness, and sustainability, and [...] Read more.
The research examines how digital inclusive finance reshapes the rural labor market using an auditable index system and an interpretable learning pipeline. We construct a four-pillar framework for the rural labor market covering labor behavior, labor structure, security and fairness, and sustainability, and compute county-level scores with an Attribute Hierarchy Model plus Fuzzy Comprehensive Evaluation (AHM–FCE). Using data for 58 counties in Jiangsu from 2014 to 2023, we estimate nonlinear links from overall and sub-dimensional digital finance to labor market outcomes with a random forest optimized by Particle Swarm Optimization plus Genetic Algorithm (PSO-GA-RF). Theoretical contribution: we provide a measurement-based bridge from digital inclusive finance to rural labor markets by aligning access, usage, and service quality with the four pillars of the rural labor market index, which yields testable county level predictions on participation, job quality, equity, and persistence of gains. Maps show heterogeneity, with higher behavior scores, lagging sustainability, and a north–south gradient. Empirically, stronger digital finance is associated with higher non-agricultural employment, better job quality, narrower urban–rural gaps, and stronger protection mechanisms, with larger effects where rural population shares and policy support are higher. Findings are robust to variable transforms, bandwidth choices, and tuning. Full article
(This article belongs to the Special Issue Financial Econometrics and Machine Learning)
Show Figures

Figure 1

20 pages, 428 KB  
Article
A New Bounding Procedure for Transportation Problems with Stepwise Costs
by Jingyi Liu
Mathematics 2025, 13(22), 3709; https://doi.org/10.3390/math13223709 - 19 Nov 2025
Viewed by 751
Abstract
Transportation planning often involves not only shipment costs but also setup costs associated with deploying vehicles or transport resources. In many practical logistics operations, this setup cost does not remain constant but increases stepwise with the number of vehicles used, reflecting economies of [...] Read more.
Transportation planning often involves not only shipment costs but also setup costs associated with deploying vehicles or transport resources. In many practical logistics operations, this setup cost does not remain constant but increases stepwise with the number of vehicles used, reflecting economies of scale and scheduling thresholds. To capture this realistic feature, this study investigates the transportation problem with stepwise costs, where total costs combine shipment-dependent variable costs and vehicle activation costs. We develop a mixed-integer programming (MIP) model to represent the problem and propose an efficient algorithm based on variable-splitting reformulation and a row-and-column generation scheme. This approach dynamically introduces only the necessary variables and constraints, enabling the solution of large-scale instances that are otherwise computationally challenging. Numerical experiments show that the method produces high-quality solutions much faster than direct MIP solvers. The results highlight the model’s practical value in optimizing fleet utilization and transportation cost structures in real logistics and supply chain systems. Full article
(This article belongs to the Special Issue Modeling and Optimization in Supply Chain Management)
Show Figures

Figure 1

13 pages, 400 KB  
Article
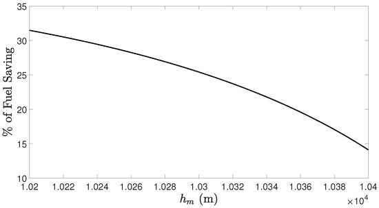
Reducing Fuel Consumption in Aircraft: A Cruising Strategy-Based Approach
by Marta Zárraga-Rodríguez, Francisco Velásquez-SanMartín, Juliana Solórzano-Ochoa, Jesús Gutiérrez-Gutiérrez and Xabier Insausti
Mathematics 2025, 13(22), 3708; https://doi.org/10.3390/math13223708 - 19 Nov 2025
Viewed by 949
Abstract
The increasing environmental concerns related to aircraft carbon dioxide (CO2) emissions call for efficient fuel-saving strategies. This study proposes an alternative cruising strategy to minimize fuel consumption during the cruise flight phase by introducing a two-phase maneuver consisting of a descent [...] Read more.
The increasing environmental concerns related to aircraft carbon dioxide (CO2) emissions call for efficient fuel-saving strategies. This study proposes an alternative cruising strategy to minimize fuel consumption during the cruise flight phase by introducing a two-phase maneuver consisting of a descent followed by a climb. Constraints related to both passenger comfort and aviator regulatory frameworks are considered to ensure the feasibility of the proposed strategy in real-world operational contexts. Using closed-form formulas of the aircraft’s fuel consumption, this strategy is compared against the conventional constant altitude cruise approach. Numerical simulations using data from a Boeing 767-300ER show that the proposed strategy can achieve reduction in fuel consumption at the cost of an increment in flight time. This can be achieved by repeating the proposed strategy as many times as needed according to the distance to be covered during the cruise flight phase. Full article
Show Figures

Figure 1

47 pages, 1303 KB  
Article
A Least-Squares Control Strategy for Asymptotic Tracking and Disturbance Rejection Using Tikhonov Regularization and Cascade Iteration
by Eugenio Aulisa, Andrea Chierici and David S. Gilliam
Mathematics 2025, 13(22), 3707; https://doi.org/10.3390/math13223707 - 19 Nov 2025
Viewed by 690
Abstract
This paper presents a comprehensive strategy for addressing tracking and disturbance rejection for both lumped and distributed parameter systems, focusing on infinite-dimensional input and output spaces. Building on the geometric theory of regulation, the proposed methodology employs a cascade algorithm coupled with Tikhonov [...] Read more.
This paper presents a comprehensive strategy for addressing tracking and disturbance rejection for both lumped and distributed parameter systems, focusing on infinite-dimensional input and output spaces. Building on the geometric theory of regulation, the proposed methodology employs a cascade algorithm coupled with Tikhonov regularization to derive control laws that improve tracking accuracy iteratively. Unlike traditional optimal control approaches, the framework minimizes the limsup in time of the tracking error norm, rather than with respect to a quadratic cost function. It is important to note that this work also includes applicability to over- and under-determined systems. We provide theoretical insights, detailed algorithmic formulations, and numerical simulations to demonstrate the effectiveness and generality of the method. Results indicate that the cascade controls asymptotically approximate the classical optimal control solutions, with limitations addressed through rigorous error analysis. Applications include diverse scenarios with both finite and infinite-dimensional input and output spaces, showcasing the versatility of the approach. Full article
(This article belongs to the Section E2: Control Theory and Mechanics)
Show Figures

Figure 1

19 pages, 304 KB  
Article
Stochastic Formulation of Multiscale Model of Hepatitis B Viral Infections
by Oladele Toyin Ogunfowote, Winston Garira and Kizito Muzhinji
Mathematics 2025, 13(22), 3706; https://doi.org/10.3390/math13223706 - 19 Nov 2025
Viewed by 450
Abstract
The study investigates and analyzes certain qualitative properties of a stochastic dynamical multiscale model for hepatitis B viral infection. By formulating appropriate stochastic Lyapunov functions, the study derives sufficient conditions for the existence and uniqueness of an ergodic stationary distribution of the positive [...] Read more.
The study investigates and analyzes certain qualitative properties of a stochastic dynamical multiscale model for hepatitis B viral infection. By formulating appropriate stochastic Lyapunov functions, the study derives sufficient conditions for the existence and uniqueness of an ergodic stationary distribution of the positive solutions of the multiscale model. Additionally, the study establishes conditions under which the virus can be eradicated from the population. The findings indicate that low-intensity white noise guarantees a unique ergodic stationary distribution, while higher noise levels can result in viral extinction. Full article
21 pages, 731 KB  
Article
Fractional-Order Deterministic Learning for Fast and Robust Detection of Sub-Synchronous Oscillations in Wind Power Systems
by Omar Kahouli, Lilia El Amraoui, Mohamed Ayari and Omar Naifar
Mathematics 2025, 13(22), 3705; https://doi.org/10.3390/math13223705 - 19 Nov 2025
Cited by 1 | Viewed by 646
Abstract
This work explores the issue of identifying sub-synchronous oscillations (SSOs). Regular detection techniques face issues with response timings to variations in viewpoint and adaptability to variations in conditions of the system but our proposed method overcomes them. We have actually come up with [...] Read more.
This work explores the issue of identifying sub-synchronous oscillations (SSOs). Regular detection techniques face issues with response timings to variations in viewpoint and adaptability to variations in conditions of the system but our proposed method overcomes them. We have actually come up with a new framework called Tempered Fractional Deterministic Learning (TF-DL) that successfully combines tempered fractional calculus with deterministic learning theory. This method makes a memory-based learner that works best for oscillatory dynamics. This lets SSO identification happen faster through a recursive structure that can run in real time. Theoretical analysis validates exponential convergence in the context of persistent excitation. Simulations show that detection time is 62.7% shorter than gradient descent, with better convergence and better parameters. Full article
(This article belongs to the Special Issue Artificial Intelligence Techniques Applications on Power Systems)
Show Figures

Figure 1

22 pages, 348 KB  
Article
Mittag–Leffler Stability of a Switched Fractional Gene Regulatory Network Model with a Short Memory
by Ravi P. Agarwal, Snezhana Hristova and Donal O’Regan
Mathematics 2025, 13(22), 3704; https://doi.org/10.3390/math13223704 - 18 Nov 2025
Viewed by 431
Abstract
A model of gene regulatory networks with generalized Caputo fractional derivatives with respect to another function is set up in this paper. The main characteristic of the model is the presence of a switching rule, which changes at certain times at both the [...] Read more.
A model of gene regulatory networks with generalized Caputo fractional derivatives with respect to another function is set up in this paper. The main characteristic of the model is the presence of a switching rule, which changes at certain times at both the lower limit of the applied fractional derivative and the right-side part of the equations. This gives the opportunity for better and more adequate modeling of the problem. Mittag–Leffler-type stability is defined for the model and studied with two types of Lyapunov functions. Initially, some properties of absolute value Lyapunov functions and quadratic Lyapunov functions are given, and two types of sufficient conditions are obtained. An example is provided to illustrate our theoretical results and the influences of the type of fractional derivative as well the switching rule on the stability behavior of the equilibrium. Full article
Previous Issue
Back to TopTop