Next Article in Journal
High-Resolution Numerical Scheme for Simulating Wildland Fire Spread
Previous Article in Journal
Institutional Investors and Green Innovation Under Double Externalities: A Machine Learning Optimization Perspective
 
 
Due to scheduled maintenance work on our servers, there may be short service disruptions on this website between 11:00 and 12:00 CEST on March 28th.
Font Type:
Arial Georgia Verdana
Font Size:
Aa Aa Aa
Line Spacing:
Column Width:
Background:
Article

Preassigned-Time Projective Lag Synchronization of Octonion-Valued BAM Neural Networks via Exponential Quantized Event-Triggered Control

1
School of Biomedical Engineering, Xinjiang Second Medical College, Karamay 834000, China
2
School of Big Data and Artificial Intelligence, Chengdu Technological University, Chengdu 611730, China
3
College of Mathematics and System Sciences, Xinjiang University, Urumqi 830017, China
*
Author to whom correspondence should be addressed.
Mathematics 2025, 13(22), 3719; https://doi.org/10.3390/math13223719
Submission received: 2 October 2025 / Revised: 2 November 2025 / Accepted: 18 November 2025 / Published: 19 November 2025

Abstract

This study addresses the preassigned-time (PDT) projective lag synchronization of octonion-valued BAM neural networks (OV-BAMNNs) through exponential quantized event-triggered control (ETC). First, an OV-BAMNN model incorporating discontinuous activation functions and time-varying delays is established. Subsequently, by introducing the octonion-valued sign function, several exponential quantized ETC schemes are designed, which employ solely a single exponential term while eliminating traditional linear and power-law components. Compared with conventional ETC designs, the proposed control schemes are simpler in form. Furthermore, within the framework of the non-separation method, several criteria for PDT projective lag synchronization are derived based on the Lyapunov method and Taylor expansion, proving that Zeno behavior is excluded. Finally, two simulation examples are given to verify the correctness of the theoretical results and to apply these results to image encryption.

1. Introduction

Over the past several years, high-dimensional neural networks (NNs), particularly complex-valued and quaternion-valued architectures [1,2], have demonstrated significant potential in domains such as image processing and computer vision [3]. However, their capacity for high-dimensional feature representation remains fundamentally constrained. As an advanced extension, octonion-valued neural networks (OVNNs) exhibit superior performance in information storage and high-dimensional data processing by virtue of their distinctive eight-dimensional algebraic structure [4]. Given the non-associative and non-commutative nature of octonion algebra, existing studies predominantly employ decomposition methods for analyzing OVNNs [5]. Nevertheless, such approaches typically lead to an eightfold expansion of the original system’s dimensionality while potentially compromising critical information integrity. Consequently, research on the dynamic characteristics of OVNNs based on non-separation approaches carries substantial significance and has attracted growing scholarly attention [6,7,8]. In neural network architectures, bidirectional associative memory NNs (BAMNNs) serve as a classical two-layer structure that demonstrates exceptional performance in associative memory tasks [9]. Although research on real-valued BAMNNs has reached considerable maturity, investigations into octonion-valued BAMNNs (OV-BAMNNs) remain relatively scarce [10,11], which has sparked our research interest.
Synchronization, as a characteristic dynamical behavior in NNs, has significant applications in bioengineering and image encryption [12,13,14]. The scaling factor ρ enables projective synchronization between drive-response NNs, where ρ = 1 and ρ = 1 correspond to complete synchronization and anti-synchronization, respectively. Given unavoidable transmission delays in practical systems, investigating projective lag synchronization is crucial [15]. Moreover, discontinuous activation functions are particularly effective for nonlinear problems with ultra-high slopes and show unique advantages in electronic switching circuits. Therefore, research on projective lag synchronization in OV-BAMNNs with discontinuous activation functions has both theoretical importance and practical value.
To further minimize convergence time and enhance the precision of synchronization settling time (ST) estimation, synchronization research has evolved through four distinct generations: commencing with asymptotic synchronization [16], advancing to finite-time synchronization [17], progressing to fixed-time (FDT) synchronization [18,19], and ultimately achieving preassigned-time (PDT) synchronization [20,21]. Compared with other synchronization types, PDT synchronization allows the convergence time to be predetermined according to requirements and is independent of any system parameters. In [20], Hu et al. established several innovative FDT stability inequalities by employing specific functions, then based on these inequalities and designed concise control strategies, sufficient conditions were derived for realizing both FDT and PDT synchronization in complex networks. In [21], by employing aperiodic intermittent pinning control, the FDT synchronization and PDT synchronization of quaternion-valued fuzzy BAMNNs were discussed. In [22], some general PDT stability lemmas are established to analyze the PDT synchronization of memristive complex-valued BAMNNs. By using event-triggered control (ETC), the practical PDT synchronization of complex networks with Markov switching topology under random DoS attacks was investigated in [23].
In the synchronization study of NNs, controllers play a pivotal role. To date, various control strategies have been successively developed, including quantized control [24,25], intermittent control [26,27], and ETC [28,29,30]. Notably, ETC executes updates only when predefined triggering conditions are met, thereby significantly reducing communication and computational overhead [31]. So far, numerous outstanding works have been reported on PDT synchronization of systems based on ETC [32,33,34,35,36,37]. For instance, in [32], by designing an ETC scheme, Zhang et al. achieved PDT synchronization for second-order NNs with distributed delays using the reduced-order approach. Based on PDT stability theory, the PDT anti-synchronization of unified chaotic systems was investigated by developing an ETC strategy in [33]. Additionally, the latest research progress on ETC is detailed in Table 1. It should be emphasized that existing findings primarily focus on real and quaternion domains. However, due to the non-commutative and non-associative algebraic structure of octonions, which entails more complex operational rules, conventional ETC schemes are not applicable to OVNNs. Moreover, signal quantization before transmission can effectively conserve bandwidth resources, while the integration of quantized control with ETC further enhances communication efficiency. Regrettably, no studies have yet discussed the PDT projective lag synchronization of OV-BAMNNs under quantized ETC, which has motivated our research.
Building upon the aforementioned discussions, this study investigates the PDT projective lag synchronization of OV-BAMNNs with discontinuous activation functions and time-varying delays via quantized ETC strategies. The main contributions are summarized as follows:
(1)
An OV-BAMNN model with discontinuous activation functions and time-varying delays is established. By adopting a non-separation approach that treats the original OVNNs as a unified entity instead of decomposing it into eight real-valued NNs [5,10,11], the PDT projective lag synchronization of the considered networks is discussed.
(2)
Compared with ETC schemes in [32,36] that contain at least two terms and multiple control parameters, the proposed control strategy consists solely of a single exponential term requiring only one power-law parameter. This demonstrates that the developed controller not only has a more compact structure but also offers greater convenience in engineering implementation.
(3)
By building two classes of ETC schemes based on the 2-norm and 1-norm, the synchronization problem of OV-BAMNNs is explored. Compared with studies considering only the 1-norm [7,18], the conclusions of this paper are more comprehensive and flexible. Furthermore, results such as FDT/PDT complete synchronization, FDT/PDT lag synchronization, or FDT/PDT anti-synchronization all be viewed as special cases of this study.
To further underscore the innovations of this work, Table 2 provides a comparative analysis with existing works. For brevity, the quaternion and octonion fields are denoted by Q and O , respectively; a checkmark indicates that a feature is included, whereas a cross × marks its omission.
The remainder of this paper is organized as follows. Section 2 introduces the OV-BAMNN model and provides the necessary prerequisite knowledge. Section 3 discusses the PDT projective lag synchronization of OV-BAMNNs under two exponential quantized ETC schemes. Numerical simulations are presented in Section 4 to validate the theoretical analysis. Section 5 applies the theoretical results to image encryption, and the work is concluded in Section 6.
Notations. Denote Z = { 0 , 1 , 2 , } , r ~ = { 1 , 2 , , n 1 } and p ~ = { 1 , 2 , , n 2 } . Let R , O and O n represent the set of real constants, the set of octonions and the n-dimensional octonion-valued vectors, respectively.

2. Preliminaries and Model Description

2.1. Octonion Algebra

The set of octonions is defined as O = { ϑ = j = 0 7 ϑ ( j ) u ( j ) ϑ 0 , ϑ 1 , ϑ 2 , ϑ 3 , ϑ 4 , ϑ 5 , ϑ 7 R } , where j = 0 , 1 , , 7 , u ( j ) is the unit element of the octonions and meets the following properties
u 0 = 1 , u j u k = u k u j , j k , j , k = 1 , 2 , , 7 , u j 2 = 1 , j = 1 , 2 , , 7 .
For any ϑ = j = 0 7 ϑ ( j ) u j O , ς = j = 0 7 ς ( j ) u j O and F R , F ϑ = j = 0 7 F ϑ ( j ) u j , ϑ + ς = j = 0 7 ( ϑ ( j ) + ς ( j ) ) u j , the conjugate of ϑ is denoted by ϑ ¯ = ϑ ( 0 ) u 0 j = 1 7 ϑ ( j ) u j . Moreover, the 1-norm and 2-norm of ϑ are denoted by | ϑ | 1 = j = 0 7 | ϑ ( j ) | and | ϑ | 2 = ϑ ¯ ϑ = j = 0 7 ( ϑ ( j ) ) 2 . For any ϑ ( t ) = j = 0 7 ϑ ( j ) ( t ) u j : R O , where ϑ ( j ) ( t ) : R R , one has d ( ϑ ( t ) ) d t = j = 0 7 d ( ϑ ( j ) ( t ) ) d t u j .
Definition 1
([8]). For any ϑ = j = 0 7 ϑ ( j ) u j O , the sign function of ϑ is given by
Sign ( ϑ ) sign ( ϑ ( 0 ) ) u 0 + sign ( ϑ ( 1 ) ) u 1 + + sign ( ϑ ( 7 ) ) u 7 .
Moreover, the convex hull of Sign ( ϑ ) is characterized by
co ¯ ( Sign ( ϑ ) ) co ¯ ( sign ( ϑ ( 0 ) ) ) u 0 + co ¯ ( sign ( ϑ ( 1 ) ) ) u 1 + co ¯ ( sign ( ϑ ( 7 ) ) ) u 7 ,
and
co ¯ ( sign ( ϑ ( j ) ) ) = 1 , sign ( ϑ ( j ) ) > 0 , j = 0 , 1 , , 7 , [ 1 , 1 ] , sign ( ϑ ( j ) ) = 0 , j = 0 , 1 , , 7 , 1 , sign ( ϑ ( j ) ) < 0 , j = 0 , 1 , , 7 .
Lemma 1
([8]). For any ϑ, ς O , then
( 1 ) ϑ ¯ ς + ς ¯ ϑ 2 | ϑ | 2 | ς | 2 ;
( 2 ) ϑ + ϑ ¯ = 2 ϑ ( 0 ) 2 | ϑ | 2 2 | ϑ | 1 ;
( 3 ) | ϑ ς | 1 | ϑ | 1 | ς | 1 ; | ϑ ς | 2 = | ϑ | 2 | ς | 2 .
Lemma 2
([8]). For any A 1 ( t ) , A 2 ( t ) : R O and any measurable selection ϖ ( t ) co ¯ ( Sign ( A 1 ( t ) ) ) , then
( 1 ) Sign ( A 1 ( t ) ) ¯ A 2 ( t ) + A 2 ( t ) ¯ Sign ( A 1 ( t ) ) 2 | A 2 ( t ) | 1 ;
( 2 ) Sign ( A 1 ( t ) ) ¯ ϖ ( t ) + ϖ ( t ) ¯ Sign ( A 1 ( t ) ) = 2 | Sign ( A 1 ( t ) ) | 1 ;
( 3 ) Sign ( A 1 ( t ) ) ¯ A 1 ( t ) + A 1 ( t ) ¯ Sign ( A 1 ( t ) ) = 2 | A 1 ( t ) | 1 2 | A 1 ( t ) | 2 ;
( 4 ) D + | A 1 ( t ) | 1 = 1 2 Sign ( A 1 ( t ) ) ¯ D + A 1 ( t ) + D + A 1 ( t ) ¯ Sign ( A 1 ( t ) ) .
where D + denotes the Dini derivative.
Lemma 3.
For ϑ ( t ) O , then D + | ϑ ( t ) | 1 | ϑ ˙ ( t ) | 1 .
Proof. 
According to Lemma 2,
D + | ϑ ( t ) | 1 = 1 2 Sign ( ϑ ( t ) ) ¯ D + A 1 ( t ) + D + ϑ ( t ) ¯ Sign ( ϑ ( t ) ) = j = 0 7 sign ( ϑ ( j ) ( t ) ) ϑ ˙ ( j ) ( t ) j = 0 7 | ϑ ˙ ( j ) ( t ) | .
In addition, by the definition of 1-norm, | ϑ ˙ ( t ) | 1 = j = 0 7 | ϑ ˙ ( j ) ( t ) | . Hence, D + | ϑ ( t ) | 1 | ϑ ˙ ( t ) | 1 . □

2.2. Model Description

Consider the following discontinuous OV-BAMNN model with time-varying delays:
X l a y e r : z ˙ 1 p ( t ) = d 1 p z 1 p ( t ) + r = 1 n 1 ω p r h r ( z 2 r ( t ) ) + W 1 p + r = 1 n 1 a p r h r ( z 2 r ( t 2 r ( t ) ) ) , p p ~ , Y l a y e r : z ˙ 2 r ( t ) = d 2 r z 2 r ( t ) + p = 1 n 2 e r p m p ( z 1 p ( t ) ) + W 2 r + p = 1 n 2 l r p m p ( z 1 p ( t 1 p ( t ) ) ) , r r ~ ,
where z 1 p ( t ) , z 2 r ( t ) O are the states of the pth neuron in X l a y e r and rth neurons in Y l a y e r , respectively, d 1 p , d 2 r > 0 , ω p r , a p r , e r p , l r p O are the connections weights, h r ( · ) and m p ( · ) : O O are the discontinuous activation functions, 2 r ( t ) and 1 p ( t ) denote the time-varying delays and 0 < 2 r ( t ) 2 r , 0 < 1 p ( t ) 1 p . W 1 p and W 2 r O are the external inputs. The initial conditions of system (1) are z 1 p ( 𝚤 ) = 1 p ( 𝚤 ) and z 2 r ( 𝚤 ) = 2 r ( 𝚤 ) for 𝚤 [ , 0 ] , where = max { max p p ~ { 1 p } , max r r ~ { 2 r } } .
System (1) is referred to as the driving system, and its corresponding response system is depicted as
X l a y e r : z ˜ ˙ 1 p ( t ) = d 1 p z ˜ 1 p ( t ) + r = 1 n 1 ω p r h r ( z ˜ 2 r ( t ) ) + W 1 p + r = 1 n 1 a p r h r ( z ˜ 2 r ( t 2 r ( t ) ) ) + U 1 p ( t ) , p p ~ , Y l a y e r : z ˜ ˙ 2 r ( t ) = d 2 r z ˜ 2 r ( t ) + p = 1 n 2 e r p m p ( z ˜ 1 p ( t ) ) + W 2 r + p = 1 n 2 l r p m p ( z ˜ 1 p ( t 1 p ( t ) ) ) + U 2 r ( t ) , r r ~ ,
where z ˜ 1 p ( t ) , z ˜ 2 r ( t ) O are the neuron states in the response system, U 1 p ( t ) and U 2 r ( t ) are the controllers, and the remaining parameters are consistent with system (1). The initial conditions of system (2) are z ˜ 1 p ( 𝚤 ) = ˜ 1 p ( 𝚤 ) and z ˜ 2 r ( 𝚤 ) = ˜ 2 r ( 𝚤 ) for 𝚤 [ , 0 ] .
Assumption 1.
For any p p ~ and r r ~ , h r ( · ) and m p ( · ) O are continuous except at the countable isolated point sets { q r } and { ˜ q p } , where the left and right limits of h r ( j ) ( q r ) and m p ( j ) ( ˜ q p ) exist. Furthermore, on every bounded compact subset of O , h r ( · ) and m p ( · ) have at most finitely many jump discontinuities.
Assumption  2.
For any p p ~ , r r ~ and 𝚥 = 1 , 2 , there exist positive constants r 𝚥 , F p 𝚥 and nonnegative constants ˜ r 𝚥 and F ˜ p 𝚥 such that
| φ r ( t ) ψ r ( t ) | 𝚥 r 𝚥 | z ˜ 2 r ( t ) z 2 r ( t ) | 𝚥 + ˜ r 𝚥 , | φ ˜ p ( t ) ψ ˜ p ( t ) | j F p 𝚥 | z ˜ 1 p ( t ) z 1 p ( t ) | 𝚥 + F ˜ p 𝚥 ,
hold for z ˜ 2 r ( t ) , z 2 r ( t ) , z ˜ 1 p ( t ) , z 1 p ( t ) O , where φ r ( t ) co ¯ [ h r ( z ˜ 2 r ( t ) ) ] , ψ r ( t ) co ¯ [ h r ( z 2 r ( t ) ) ] , φ ˜ p ( t ) co ¯ [ m p ( z ˜ 1 p ( t ) ) ] , ψ ˜ p ( t ) co ¯ [ m p ( z 1 p ( t ) ) ] .
Remark 1.
The constants in Assumption 2 possess definite physical interpretations and are verifiable in practice. Specifically,
(1)
The positive constants r 𝚥 and F p 𝚥 bound the rate of change of the activation functions, analogous to standard Lipschitz constants. They can be determined from parameters of physical components such as transistor transconductance, linear-region amplifier gain, or operational amplifier slew rates.
(2)
The nonnegative constants ˜ r 𝚥 and F ˜ p 𝚥 quantify the effects of discontinuities, representing the maximum output deviations at discontinuity points, which are independent of input variations. In electronic implementations, these correspond to measurable characteristics including voltage gaps in switching circuits, hysteresis widths in magnetic components, and quantization errors in digital-analog interfaces. The discontinuous activation functions degrade into the continuous scenario when ˜ r 𝚥 = F ˜ p 𝚥 = 0 .
Assumption 3.
For any p p ~ , r r ~ and 𝚥 = 1 , 2 , there are positive constants ^ r 𝚥 , F ^ p 𝚥 such that | h r ( · ) | 𝚥 ^ r 𝚥 and | m p ( · ) | 𝚥 F ^ p 𝚥 .
For convenience, the following symbols are adopted.
Θ ( t ) = ( z 11 ( t ) , , z 1 n 2 ( t ) , z 21 ( t ) , , z 2 n 1 ( t ) ) T ,
Θ ˜ ( t ) = ( z ˜ 11 ( t ) , , z ˜ 1 n 2 ( t ) , z ˜ 21 ( t ) , , z ˜ 2 n 1 ( t ) ) T ,
Θ ^ ( 𝚤 ) = ( z 11 ( 𝚤 ) , , z 1 n 2 ( 𝚤 ) , z 21 ( 𝚤 ) , , z 2 n 1 ( 𝚤 ) ) T ,
Θ ˇ ( 𝚤 ) = ( z ˜ 11 ( 𝚤 ) , , z ˜ 1 n 2 ( 𝚤 ) , z ˜ 21 ( 𝚤 ) , , z ˜ 2 n 1 ( 𝚤 ) ) T .
Definition 2.
A continuous function vector Θ ( t ) : [ , T 0 ) O n is called a solution of system (1) on [ , T 0 ) if
(1)
Θ ( t ) is absolutely continuous on [ 0 , T 0 ) ;
(2)
There exist measurable choices ψ r ( t ) co ¯ [ h r ( z 2 r ( t ) ) ] and ψ ˜ p ( t ) co ¯ [ m p ( z 1 p ( t ) ) ] such that
z ˙ 1 p ( t ) = d 1 p z 1 p ( t ) + r = 1 n 1 ω p r ψ r ( t ) + W 1 p + r = 1 n 1 a p r ψ r ( t 2 r ( t ) ) , p p ~ , z ˙ 2 r ( t ) = d 2 r z 2 r ( t ) + p = 1 n 2 e r p ψ ˜ p ( t ) + W 2 r + p = 1 n 2 l r p ψ ˜ p ( t 1 p ( t ) ) , r r ~ ,
for almost everywhere t [ 0 , T 0 ) .
Analogously, the response system (2) is governed by measurable functions φ r ( t ) co ¯ [ h r ( z ˜ 2 r ( t ) ) ] and φ ˜ p ( t ) co ¯ [ m p ( z ˜ 1 p ( t ) ) ] , such that
z ˜ ˙ 1 p ( t ) = d 1 p z ˜ 1 p ( t ) + r = 1 n 1 ω p r φ r ( t ) + W 1 p + r = 1 n 1 a p r φ r ( t 2 r ( t ) ) + U 1 p ( t ) , p p ~ , z ˜ ˙ 2 r ( t ) = d 2 r z ˜ 2 r ( t ) + p = 1 n 2 e r p φ ˜ p ( t ) + W 2 r + p = 1 n 2 l r p φ ˜ p ( t 1 p ( t ) ) + U 2 r ( t ) , r r ~ ,
for almost everywhere t [ 0 , T 0 ) .
Let ξ 1 p ( t ) = z ˜ 1 p ( t ) ρ z 1 p ( t ε ) and ξ 2 r ( t ) = z ˜ 2 r ( t ) ρ z 2 r ( t ε ) be the projective lag synchronization error, by subtracting (3) from (4), the error system is derived as
ξ ˙ 1 p ( t ) = d 1 p ξ 1 p ( t ) + r = 1 n 1 ω p r G r ( ξ 2 r ( t ) ) + r = 1 n 1 a p r F r ( ξ 2 r ( t 2 r ( t ) ) ) + U 1 p ( t ) + r = 1 n 1 ω p r L r ( ξ 2 r ( t ) ) + r = 1 n 1 a p r S r ( ξ 2 r ( t 2 r ( t ) ) ) + ( 1 ρ ) W 1 p , p p ~ , ξ ˙ 2 r ( t ) = d 2 r ξ 2 r ( t ) + p = 1 n 2 e r p G ˜ p ( ξ 1 p ( t ) ) + p = 1 n 2 l r p F ˜ p ( ξ 1 p ( t 1 p ( t ) ) ) + U 2 r ( t ) + p = 1 n 2 e r p L ˜ p ( ξ 1 p ( t ) ) + p = 1 n 2 l r p S ˜ p ( ξ 1 p ( t 1 p ( t ) ) ) + ( 1 ρ ) W 2 r , r r ~ .
where ρ R , ε > 0 , η r ( t ε ) co ¯ [ h r ( ρ z 2 r ( t ε ) ) ] , η ˜ p ( t ε ) co ¯ [ m p ( ρ z 1 p ( t ε ) ) ] , G r ( ξ 2 r ( t ) ) = φ r ( t ) η r ( t ε ) , F r ( ξ 2 r ( t 2 r ( t ) ) ) = φ r ( t 2 r ( t ) ) η r ( t 2 r ( t ) ε ) , L r ( ξ 2 r ( t ) ) = η r ( t ε ) ρ ψ r ( t ε ) , S r ( ξ 2 r ( t 2 r ( t ) ) ) = η r ( t 2 r ( t ) ε ) ρ ψ r ( t 2 r ( t ) ε ) , G ˜ p ( ξ 1 p ( t ) ) = φ ˜ p ( t ) η ˜ p ( t ε ) , F ˜ p ( ξ 1 p ( t 2 r ( t ) ) ) = φ ˜ p ( t 1 p ( t ) ) η ˜ p ( t 1 p ( t ) ε ) , L ˜ p ( ξ 1 p ( t ) ) = η ˜ p ( t ε ) ρ ψ ˜ p ( t ε ) , S ˜ p ( ξ 1 p ( t 1 p ( t ) ) ) = η ˜ p ( t 1 p ( t ) ε ) ρ ψ ˜ p ( t 1 p ( t ) ε ) .
Definition 3.
Systems (1) and (2) can attain FDT projective lag synchronization, if for any solutions of (1) and (2) denoted by Θ ( t ) and Θ ˜ ( t ) with different initial values Θ ^ ( 𝚤 ) and Θ ˇ ( 𝚤 ) , there are a constant T ˘ > 0 which is not related to the initial conditions and a constant T ˜ ( Θ ^ ( 𝚤 ) , Θ ˇ ( 𝚤 ) ) > 0 called the ST, such that
lim t T ˜ ( Θ ^ ( 𝚤 ) , Θ ˇ ( 𝚤 ) ) Θ ˜ ( t ) ρ Θ ( t ε ) 𝚥 = 0 , Θ ˜ ( t ) ρ Θ ( t ε ) 𝚥 0 f o r t T ˜ ( Θ ^ ( 𝚤 ) , Θ ˇ ( 𝚤 ) ) ,
and T ˜ ( Θ ^ ( 𝚤 ) , Θ ˇ ( 𝚤 ) ) T ˘ , for any ( Θ ^ ( 𝚤 ) , Θ ˇ ( 𝚤 ) ) O 2 ( n 1 + n 2 ) and 𝚥 = 1 , 2 . Furthermore, systems (1) and (2) can attain PDT projective lag synchronization, if there is a pre-determined positive value T p r e > 0 such that Θ ˜ ( t ) ρ Θ ( t ε ) 𝚥 = 0 for all t T p r e , where T p r e is independent to any parameters.
Lemma 4
([21]). Let ζ ˜ 1 , ζ ˜ 2 , , ζ ˜ m 0 , 0 < τ 1 1 and τ 2 > 1 , one has
p = 1 m ζ ˜ p τ 1 ( p = 1 m ζ ˜ p ) τ 1 , p = 1 m ζ ˜ p τ 2 m 1 τ 2 ( p = 1 m ζ ˜ p ) τ 2 .
Lemma 5
([20]). Suppose that V ( ϖ ) : R n R + is a regular, positive definite and radially unbounded function Lyapunov function, there exist λ 1 R , λ 2 , λ 3 > 0 , 0 ζ 1 < 1 , ζ 2 > 1 and T p r e > 0 satisfying
D + V ( ϖ ( t ) ) T ˘ T p r e λ 2 V ζ 1 ( ϖ ( t ) ) + λ 3 V ζ 2 ( ϖ ( t ) ) , λ 1 0 , T ˘ T p r e λ 1 V ( ϖ ( t ) ) λ 2 V ζ 1 ( ϖ ( t ) ) λ 3 V ζ 2 ( ϖ ( t ) ) , 0 < λ 1 < min { λ 2 , λ 3 } ,
the zero solution of the QV-BAMNNs (5) is PDT stable in preassigned time T p r e , where
T ˘ = T ˘ * = π λ 3 ( ζ 2 ζ 1 ) ( λ 3 λ 2 ) ϱ csc ( ϱ π ) , λ 1 0 , T ˘ * * = π csc ( ϱ π ) λ 3 ( ζ 2 ζ 1 ) ( λ 3 λ 2 λ 1 ) 1 ϱ I ( λ 3 λ 2 + λ 3 λ 1 , ϱ , 1 ϱ ) + π csc ( ϱ π ) λ 2 ( ζ 2 ζ 1 ) ( λ 2 λ 3 λ 1 ) ϱ I ( λ 2 λ 2 + λ 3 λ 1 , 1 ϱ , ϱ ) , 0 < λ 1 < min { λ 2 , λ 3 } ,
and ϱ = 1 ζ 1 ζ 2 ζ 1 , I ( · , · , · ) denotes the incomplete beta function ratio given in [20].
Lemma 6.
For any [ 0 , + ) , one has
e 1 + + 2 2 .

3. Preassigned-Time Projective Lag Synchronization

In order to facilitate the description, the relevant parameters are given as follows.
d 1 = max p p ˜ { d 1 p + r = 1 n 1 | e r p | 1 F p 1 } , d 2 = max r r ˜ { d 2 r + p = 1 n 2 | ω p r | 1 r 1 } , d = max { d 1 , d 2 } , δ = max p p ˜ , r r ˜ { δ 1 p , δ 2 r } , k 1 = max { d , δ } , k ´ 2 = min p p ˜ { α 1 p β 1 p ( 1 ϵ ) w , γ 1 p } , k 2 = min r l ˜ { α 2 r β 2 r ( 1 ϵ ) w , γ 2 r } , k ´ 3 = min p p ˜ { 1 2 α 1 p β 1 p 2 ( 1 ϵ ) 2 w , μ 1 p } , k 3 = min r l ˜ { 1 2 α 2 r β 2 r 2 ( 1 ϵ ) 2 w , μ 2 r } , υ 1 p = r = 1 n 1 | ω p r | 1 ( ˜ r 1 + ^ r 1 ( 1 + | ρ | ) ) + r = 1 n 1 | α p r | 1 ^ r 1 ( 3 + | ρ | ) + ( 1 + | ρ | ) | W 1 p | 1 , υ 2 r = p = 1 n 2 | e r p | 1 ( F ˜ p 1 + F ^ p 1 ( 1 + | ρ | ) ) + p = 1 n 2 | l r p | 1 F ^ p 1 ( 3 + | ρ | ) + ( 1 + | ρ | ) | W 2 r | 1 , k 2 = min { k ´ 2 , k 2 } , k 3 = min { n 2 1 2 w k ´ 3 , n 1 1 2 w k 3 } , Φ 1 = n 2 Φ + n 1 Φ .
Firstly, the exponential quantized ETC scheme based on 1-norm for t [ t σ , t σ + 1 ) can be designed as
U 1 p ( t ) = T max T p r e α 1 p Sign ( ξ 1 p ( t σ ) ) e β 1 p | Q ( ξ 1 p ( t σ ) ) | 1 w , U 2 r ( t ) = T max T p r e α 2 r Sign ( ξ 2 r ( t σ ) ) e β 2 r | Q ( ξ 2 r ( t σ ) ) | 1 w ,
where α 1 p , β 1 p , α 2 r , β 2 r > 0 , 1 2 < w < 1 , p p ˜ , r r ˜ , { t σ } σ Z denotes an increasing sequence of release instants and t 0 = 0 , T p r e > 0 and
T max = T max * * = π csc ( π ) k 3 4 1 2 w w ( k 3 4 1 2 w k 2 k 1 ) 1 I ( k 3 4 1 2 w k 2 + k 3 4 1 2 w k 1 , , 1 ) + π csc ( π ) k 2 w ( k 2 k 3 4 1 2 w k 1 ) I ( k 2 k 2 + k 3 4 1 2 w k 1 , 1 , ) ,
and = 1 w w . Besides, Q ( ξ 1 p ( t ) ) = j = 0 7 Q ^ ( ξ 1 p ( j ) ( t ) ) , Q ( ξ 2 r ( t ) ) = j = 0 7 Q ^ ( ξ 2 r ( j ) ( t ) ) , and the quantization function Q ^ ( ) : R ( R ) is defined as
Q ^ ( ) = κ Λ , κ Λ 1 + ϵ < κ Λ 1 ϵ , 0 , = 0 , Q ^ ( ) , < 0 ,
where = { ± κ Λ = ν Λ κ 0 : 0 < ν < 1 , Λ = ± 1 , ± 2 , } { 0 } with Λ 0 > 0 , R and ϵ = 1 ν 1 + ν . According to the analysis in [25], there is a Filippov solution Ω [ ϵ , ϵ ) which satisfies Q ( ) = ( 1 + Ω ) .
The triggering condition is exploited as
t σ + 1 = inf { t > t σ | B 1 p ( t ) B 2 r ( t ) 0 } , B 1 p ( t ) = υ 1 p T max T p r e α 1 p + | E 1 p ( t ) | 1 δ 1 p Γ 1 p ( t ) , B 2 r ( t ) = υ 2 r T max T p r e α 2 r + | E 2 r ( t ) | 1 δ 2 r Γ 2 r ( t ) ,
where δ 1 p , δ 2 r > 0 , T max T p r e α 1 p > υ 1 p , T max T p r e α 2 r > υ 2 r , E 1 p ( t ) and E 2 r ( t ) are measurable errors, which are described as
E 1 p ( t ) = T max T p r e α 1 p Sign ( ξ 1 p ( t σ ) ) e β 1 p | Q ( ξ 1 p ( t σ ) ) | 1 w T max T p r e α 1 p Sign ( ξ 1 p ( t ) ) e β 1 p | Q ( ξ 1 p ( t ) ) | 1 w , E 2 r ( t ) = T max T p r e α 2 r Sign ( ξ 2 r ( t σ ) ) e β 2 r | Q ( ξ 2 r ( t σ ) ) | 1 w T max T p r e α 2 r Sign ( ξ 2 r ( t ) ) e β 2 r | Q ( ξ 2 r ( t ) ) | 1 w ,
for t [ t σ , t σ + 1 ] . Furthermore, dynamic variables Γ 1 p ( t ) and Γ 2 r ( t ) are designed as
Γ ˙ 1 p ( t ) = T max T p r e γ 1 p Γ 1 p w ( t ) T max T p r e μ 1 p Γ 1 p 2 w ( t ) , Γ ˙ 2 r ( t ) = T max T p r e γ 2 r Γ 2 r w ( t ) T max T p r e μ 2 r Γ 2 r 2 w ( t ) ,
where Γ 1 p ( 0 ) , Γ 2 r ( 0 ) > 0 , γ 1 p , μ 1 p , γ 2 r , μ 2 r > 0 and the remaining undefined parameters are consistent with those in (6).
Remark 2.
The preassigned time T p r e is a user-specified parameter that sets the desired synchronization time. Typically, the selected T p r e should satisfy T p r e T max . However, choosing an excessively short T p r e will raise the control gain through the term T max T p r e in the controller (6), increasing control energy consumption and implementation costs. This may result in violations of practical constraints, such as actuator saturation or energy limitations. Hence, the selection of T p r e should strike a balance between synchronization speed and feasible control inputs, ensuring that T max T p r e remains within acceptable system limits.
Lemma 7.
For t 0 , p p ˜ , r r ˜ , Γ 1 p ( t ) 0 , Γ 2 r ( t ) 0 .
Proof. 
Firstly, it is proved that Γ 1 p ( t ) 0 holds for t 0 . Otherwise, Γ 1 p ( t ^ a ) < 0 must hold for some t ^ a . Because Γ 1 p ( t ) is continuous, there are some t ^ b [ 0 , t ^ a ) such that Γ 1 p ( t ^ b ) = 0 . Denote t ^ c = inf { t ^ b | Γ 1 p ( t ^ b ) = 0 , t ^ b [ 0 , t ^ a ) } . Because of Γ 1 p ( 0 ) > 0 , and by (9),
Γ ˙ 1 p ( t ) = T max T p r e γ 1 p Γ 1 p w 1 ( t ) + μ 1 p Γ 1 p 2 w 1 ( t ) Γ 1 p ( t ) , t [ 0 , t ^ c ) .
Integrating the above formula from 0 to t ^ c , one gets
0 = Γ 1 p ( t c ) = e T max T p r e 0 t ^ c γ 1 p Γ 1 p w 1 ( t ) + μ 1 p Γ 1 p 2 w 1 ( t ) dv · Γ 1 p ( 0 ) > 0 ,
This results in a contradiction. Hence, Γ 1 p ( t ) 0 for any t 0 . By analogous reasoning, we have Γ 2 r ( t ) 0 for any t 0 . □
Theorem 1.
Under Assumptions 1–3, the quantized control protocol (6) and the dynamic ETC mechanism (7)–(9), if k 1 < min { k 2 , k 3 4 1 2 w } , systems (1) and (2) can attain PDT projective lag synchronization within T p r e , where T p r e T max and T max is given in (6).
Proof. 
The Lyapunov function is constructed as
V ( t ) = V 1 ( t ) + V 2 ( t ) + V 3 ( t ) + V 4 ( t ) , V 1 ( t ) = p = 1 n 2 | ξ 1 p ( t ) | 1 , V 2 ( t ) = p = 1 n 2 Γ 1 p ( t ) , V 3 ( t ) = p = 1 n 1 | ξ 2 r ( t ) | 1 , V 4 ( t ) = p = 1 n 1 Γ 2 r ( t ) .
Calculating the upper right Dini derivative V 1 ( t ) along the error trajectories of (5) for t [ t σ , t σ + 1 ) , one derives
D + V 1 ( t ) = 1 2 p = 1 n 2 ( Sign ( ξ 1 p ( t ) ) ¯ ( d 1 p ξ 1 p ( t ) + r = 1 n 1 ω p r G r ( ξ 2 r ( t ) ) + r = 1 n 1 a p r F r ( ξ 2 r ( t 2 r ( t ) ) ) + r = 1 n 1 ω p r L r ( ξ 2 r ( t ) ) + r = 1 n 1 a p r S r ( ξ 2 r ( t 2 r ( t ) ) ) + ( 1 ρ ) W 1 p + U 1 p ( t ) ) + ( r = 1 n 1 G r ( ξ 2 r ( t ) ) ¯ ω p r ¯ + r = 1 n 1 F r ( ξ 2 r ( t 2 r ( t ) ) ) ¯ a p r ¯ + r = 1 n 1 L r ( ξ 2 r ( t ) ) ¯ ω p r ¯ + r = 1 n 1 S r ( ξ 2 r ( t 2 r ( t ) ) ) ¯ a p r ¯
+ ( 1 ρ ) W 1 p ¯ + U 1 p ( t ) ¯ d 1 p ξ 1 p ( t ) ¯ ) Sign ( ξ 1 p ( t ) ) ) .
From Assumptions 2 and 3, and by means of Lemmas 1 and 2, one gets that
r = 1 n 1 ( Sign ( ξ 1 p ( t ) ) ¯ ω p r G r ( ξ 2 r ( t ) ) + G r ( ξ 2 r ( t ) ) ¯ ω p r ¯ Sign ( ξ p ( t ) ) )
2 r = 1 n 1 | ω p r | 1 r 1 | ξ 2 r ( t ) | 1 + ˜ r 1
and
r = 1 n 1 ( Sign ( ξ 1 p ( t ) ) ¯ a p r F r ( ξ 2 r ( t 2 r ( t ) ) ) + F r ( ξ 2 r ( t 2 r ( t ) ) ) ¯ a p r ¯ Sign ( ξ 1 p ( t ) ) )
4 r = 1 n 1 | a p r | 1 ^ r 1
and
r = 1 n 1 ( Sign ( ξ 1 p ( t ) ) ¯ ω p r L 2 r ( ξ 2 r ( t ) ) + L 2 r ( ξ 2 r ( t ) ) ¯ ω p r ¯ Sign ( ξ 1 p ( t ) ) )
2 r = 1 n 1 | ω p r | 1 ^ r 1 ( 1 + | ρ | )
and
r = 1 n 1 ( Sign ( ξ 1 p ( t ) ) ¯ a p r S r ( ξ 2 r ( t 2 r ( t ) ) ) + S r ( ξ 2 r ( t 2 r ( t ) ) ) ¯ a p r ¯ Sign ( ξ 1 p ( t ) ) )
2 r = 1 n 1 | a p r | 1 ^ r 1 ( 1 + | ρ | )
and
Sign ( ξ 1 p ( t ) ) ¯ ( 1 ρ ) W 1 p + ( 1 ρ ) W 1 p ¯ Sign ( ξ 1 p ( t ) ) 2 ( 1 + | ρ | ) | W 1 p | 1 .
By the measure error E 1 p ( t ) , one has
U 1 p ( t ) = E 1 p ( t ) T max T p r e α 1 p Sign ( ξ 1 p ( t ) ) e β 1 p | Q ( ξ 1 p ( t ) ) | 1 w .
According to Lemmas 2 and 6,
Sign ( ξ 1 p ( t ) ) ¯ U 1 p ( t ) + U 1 p ( t ) ¯ Sign ( ξ 1 p ( t ) ) = Sign ( ξ 1 p ( t ) ) ¯ E 1 p ( t ) + E 1 p ( t ) ¯ Sign ( ξ 1 p ( t ) ) T max T p r e α 1 p e β 1 p | Q ( ξ 1 p ( t ) ) | 1 w Sign ( ξ 1 p ( t ) ) ¯ Υ 1 p ( t ) + Υ 1 p ( t ) ¯ Sign ( ξ 1 p ( t ) ) 2 | E 1 p ( t ) | 1 2 T max T p r e α 1 p e β 1 p | Q ( ξ 1 p ( t ) ) | 1 w | Sign ( ξ 1 p ( t ) ) | 1 2 | E 1 p ( t ) | 1 2 T max T p r e α 1 p ( 1 + β 1 p | Q ( ξ 1 p ( t ) ) | 1 w + 1 2 β 1 p 2 | Q ( ξ 1 p ( t ) ) | 1 2 w ) | Sign ( ξ 1 p ( t ) ) | 1 2 | E 1 p ( t ) | 1 2 T max T p r e α 1 p 2 T max T p r e α 1 p β 1 p ( 1 ϵ ) w | ξ 1 p ( t ) | 1 w
T max T p r e α 1 p β 1 p 2 ( 1 ϵ ) 2 w | ξ 1 p ( t ) | 1 2 w ,
where Υ 1 p ( t ) co ¯ ( Sign ( ξ 1 p ( t ) ) ) . Substituting (11)–(16) into (10), and using the dynamic ETC mechanism under 1-norm (7)–(9), one can conclude that
D + V 1 ( t ) p = 1 n 2 d 1 p | ξ 1 p ( t ) | 1 + p = 1 n 2 r = 1 n 1 | ω p r | 1 r 1 | ξ 2 r ( t ) | 1 + p = 1 n 2 ( υ 1 p T max T p r e α 1 p + | E 1 p ( t ) | 1 ) T max T p r e p = 1 n 2 α 1 p β 1 p ( 1 ϵ ) w | ξ 1 p ( t ) | 1 w T max 2 T p r e p = 1 n 2 α 1 p β 1 p 2 ( 1 ϵ ) 2 w | ξ 1 p ( t ) | 1 2 w p = 1 n 2 d 1 p | ξ 1 p ( t ) | 1 + p = 1 n 2 r = 1 n 1 | ω p r | 1 r 1 | ξ 2 r ( t ) | 1 + p = 1 n 2 δ 1 p Γ 1 p ( t )
T max T p r e p = 1 n 2 α 1 p β 1 p ( 1 ϵ ) w | ξ 1 p ( t ) | 1 w T max 2 T p r e p = 1 n 2 α 1 p β 1 p 2 ( 1 ϵ ) 2 w | ξ 1 p ( t ) | 1 2 w .
Analogously,
D + V 3 ( t ) r = 1 n 1 d 2 r | ξ 2 r ( t ) | 1 + p = 1 n 2 r = 1 n 1 | e r p | 1 F p 1 | ξ 1 p ( t ) | 1 + r = 1 n 1 ( υ 2 r T max T p r e α 2 r + | E 2 r ( t ) | 1 ) T max T p r e r = 1 n 1 α 2 r β 2 r ( 1 ϵ ) w | ξ 2 r ( t ) | 1 w T max 2 T p r e r = 1 n 1 α 2 r β 2 r 2 ( 1 ϵ ) 2 w | ξ 2 r ( t ) | 1 2 w r = 1 n 2 d 2 r | ξ 2 r ( t ) | 1 + p = 1 n 2 r = 1 n 1 | e r p | 1 F p 1 | ξ 1 p ( t ) | 1 + r = 1 n 2 δ 2 r Γ 2 r ( t )
T max T p r e r = 1 n 1 α 2 r β 2 r ( 1 ϵ ) w | ξ 2 r ( t ) | 1 w T max 2 T p r e r = 1 n 1 α 2 r β 2 r 2 ( 1 ϵ ) 2 w | ξ 2 r ( t ) | 1 2 w .
Combining (17), (18), adaptive law (9), and using Lemma 4,
D + V ( t ) d 1 p = 1 n 2 | ξ 1 p ( t ) | 1 + δ p = 1 n 2 Γ 1 p ( t ) + d 2 r = 1 n 1 | ξ 2 r ( t ) | 1 + δ r = 1 n 1 Γ 2 r ( t ) k ´ 2 T max T p r e V 1 w ( t ) k ´ 2 T max T p r e V 2 w ( t ) k 2 T max T p r e V 3 w ( t ) k 2 T max T p r e V 4 w ( t ) k ´ 3 T max T p r e n 2 1 2 w V 1 2 w ( t ) k ´ 3 T max T p r e n 2 1 2 w V 2 2 w ( t ) k 3 T max T p r e n 2 1 2 w V 3 2 w ( t ) k 3 T max T p r e n 2 1 2 w V 4 2 w ( t ) k 1 V ( t ) T max T p r e k 2 V w ( t ) T max T p r e k 3 4 1 2 w V 2 w ( t ) .
Since k 1 = max { d , δ } > 0 and T p r e < T max ,
D + V ( t ) T max T p r e ( k 1 V ( t ) k 2 V w ( t ) k 3 4 1 2 w V 2 w ( t ) ) .
Therefore, by virtue of Lemma 5, if k 1 < min { k 2 , k 3 4 1 2 w } , the networks (1) and (2) can attain PDT projective lag synchronization within T p r e via the controller (6) with the dynamic ETC mechanism (7)–(9). □
Remark 3.
In [36,37], the authors solved the PDT synchronization of quaternion-valued BAMNNs by designing the following ETC scheme
U 1 p ( t ) = T max T p r e α 1 p Sign ( ξ 1 p ( t σ ) ) + β 1 p Sign ( ξ 1 p ( t σ ) ) | ξ 1 p ( t σ ) | 1 w ^ , U 2 r ( t ) = T max T p r e α 2 r Sign ( ξ 2 r ( t σ ) ) + β 2 r Sign ( ξ 2 r ( t σ ) ) | ξ 2 r ( t σ ) | 1 w ^ ,
where w ^ > 1 . In contrast, the controller proposed (6) in this paper introduces two key innovations. First, it establishes a novel hybrid control framework that seamlessly integrates exponential quantization with the ETC mechanism. Second, it replaces the conventional linear combination of sign and power-law terms with a unified exponential term e β 1 p | Q ( ξ 1 p ( t σ ) ) | 1 w . This achieves simultaneous improvements in structural compactness, convergence speed, and resource utilization efficiency.
Remark 4.
The non-separation approach is adopted in this work, as opposed to the decomposition-based Lyapunov method [5,10,11], for three key reasons: First, decomposing OVNNs into real-valued subsystems disrupts the intrinsic non-commutative and non-associative nature of the octonion algebra. Second, this approach avoids the computational complexity incurred by handling eight equivalent real-valued subsystems, thereby yielding more concise stability criteria and controller designs. Finally, from a practical perspective, the non-separation method provides a more direct framework that is straightforward to implement, as it processes the complete OVNN directly without component separation.
Remark 5.
A novel dynamic ETC algorithm (6)–(9) is developed to achieve enhanced control efficiency and communication resource conservation. Unlike conventional static triggering schemes [28,29,30,34,35], dynamic auxiliary variables Γ 1 p ( t ) 0 and Γ 2 r ( t ) 0 are incorporated into the proposed methodology, enhancing adaptability and overall performance in resource-constrained environments.
In the quantized controller (6) and the dynamic ETC mechanism (7)–(9), if T p r e = T max , Theorem 1 degenerates to the following result.
Corollary 1.
Under Assumptions 1–3, the quantized control protocol (6) and the dynamic ETC mechanism (7)–(9), if T p r e = T max and k 1 < min { k 2 , k 3 4 1 2 w } , systems (1) and (2) can attain FDT projective lag synchronization, and the ST is reckoned as T max , where T max is given in (6).
Next, we prove that the Zeno phenomenon is eliminated in the quantized controller (6) with the dynamic ETC mechanism (7)–(9).
Theorem 2.
By adopting the quantized controller (6) with the dynamic ETC mechanism (7)–(9), the Zeno behavior can be excluded.
Proof. 
Assume Zeno behavior occurs, i.e., there is a moment t ˘ that satisfies lim σ t σ = t ˘ < + . According to the definition of limits, for any e ˜ > 0 , there is N ( e ˜ ) such that t σ ( t ˘ e ˜ , t ˘ + e ˜ ) for any k N ( e ˜ ) , which implies that t N ( e ˜ ) + 1 t N ( e ˜ ) < 2 e ˜ . For t [ t σ , t σ + 1 ) , by Lemma 3, one derives
D + | E 1 p ( t ) | 1 | E ˙ 1 p ( t ) | 1 σ 1 p | ξ ˙ 1 p ( t ) | 1 ,
where σ 1 p = 8 T max T p r e α 1 p β 1 p w ( 1 + ϵ ) w e β 1 p | Q ( ξ 1 p ( t ) ) | 1 w | ξ 1 p ( t ) | 1 w 1 . Since D + V 1 ( t ) 0 , one can get
| ξ 1 p ( t ) | 1 p = 1 n 2 | ξ 1 p ( t ) | 1 V 1 ( t ) V 1 ( 0 ) .
According to systems (1) and (2), then
| ξ ˙ 1 p ( t ) | 1 d 1 p V 1 ( 0 ) + r = 1 n 1 | ω p r | 1 ( 1 + | ρ | ) ^ r 1 + r = 1 n 1 | a p r | 1 ( 1 + | ρ | ) ^ r 1
+ ( 1 + | ρ | ) | W 1 p | 1 + 8 T max T p r e α 1 p | e β 1 p | Q ( ξ 1 p ( t σ ) ) | 1 w | .
Substituting (20) and (21) into (19), one can obtain
D + | E 1 p ( t ) | 1 σ 1 p ( d 1 p V 1 ( 0 ) + r = 1 n 1 | ω p r | 1 ( 1 + | ρ | ) ^ r 1 + r = 1 n 1 | a p r | 1 ( 1 + | ρ | ) ^ r 1
+   ( 1 + | ρ | ) | W 1 p | 1 + 8 T max T p r e α 1 p | e β 1 p | Q ( ξ 1 p ( t σ ) ) | 1 w | ) Ψ 1 .
Analogously,
D + | E 2 r ( t ) | 1 σ 2 r ( d 2 r V 3 ( 0 ) + p = 1 n 2 | e r p | 1 ( 1 + | ρ | ) F ^ p 1 + p = 1 n 2 | l r p | 1 ( 1 + | ρ | ) F ^ p 1
+   8 T max T p r e α 2 r | e β 2 r | Q ( ξ 2 r ( t σ ) ) | 1 w | ) Ψ 2 ,
where σ 2 r = 8 T max T p r e α 2 r β 2 r w ( 1 + ϵ ) w e β 2 r | Q ( ξ 2 r ( t ) ) | 1 w | ξ 2 r ( t ) | 1 w 1 . Combining (22) and (23),
D + | E 1 p ( t ) | 1 + D + | E 2 r ( t ) | 1 Ψ 1 + Ψ 2 .
Thus, for t [ t σ , t σ + 1 ) , one gets | E 1 p ( t ) | 1 + | E 2 r ( t ) | 1 ( Ψ 1 + Ψ 2 ) ( t t σ ) . If t = t σ + 1 ,
| E 1 p ( t σ + 1 ) | 1 + | E 2 r ( t σ + 1 ) | 1 ( Ψ 1 + Ψ 2 ) ( t σ + 1 t σ ) .
In addition, by utilizing the triggering condition (7), one has
| E 1 p ( t σ + 1 ) | 1 + | E 2 r ( t σ + 1 ) | 1 > δ 1 p Γ 1 p ( t ) + δ 2 r Γ 2 r ( t ) .
By dynamic variables (9) and Lemma 7, for t [ t σ , t σ + 1 ) , one has
Γ 1 p ( t ) = e T max T p r e t σ t ( γ 1 p Γ 1 p w 1 ( t ) μ 1 p Γ 1 p 2 w 1 ( t ) ) dv · Γ 1 p ( t σ ) = e T max T p r e t σ 1 t ( γ 1 p Γ 1 p w 1 ( t ) μ 1 p Γ 1 p 2 w 1 ( t ) ) dv · Γ 1 p ( t σ 1 )
= = e T max T p r e 0 t ( γ 1 p Γ 1 p w 1 ( t ) μ 1 p Γ 1 p 2 w 1 ( t ) ) dv · Γ 1 p ( 0 ) > 0
and
Γ 2 r ( t ) = e T max T p r e t σ t ( γ 2 r Γ 2 r w 1 ( t ) μ 2 r Γ 2 r 2 w 1 ( t ) ) dv · Γ 2 r ( t σ ) = e T max T p r e t σ 1 t ( γ 2 r Γ 2 r w 1 ( t ) μ 2 r Γ 2 r 2 w 1 ( t ) ) dv · Γ 2 r ( t σ 1 )
= = e T max T p r e 0 t ( γ 2 r Γ 2 r w 1 ( t ) μ 2 r Γ 2 r 2 w 1 ( t ) ) dv · Γ 2 r ( 0 ) > 0 .
Substitute (26) and (27) into (25),
| E 1 p ( t σ + 1 ) | 1 + | E 2 r ( t σ + 1 ) | 1 > δ 1 p e T max T p r e 0 t ( γ 1 p Γ 1 p w 1 ( t ) μ 1 p Γ 1 p 2 w 1 ( t ) ) dv · Γ 1 p ( 0 )
+ δ 2 r e T max T p r e 0 t ( γ 2 r Γ 2 r w 1 ( t ) μ 2 r Γ 2 r 2 w 1 ( t ) ) dv · Γ 2 r ( 0 ) > 0 .
Ulteriorly, it can be seen from (24) and (28),
t σ + 1 t σ δ 1 p e T max T p r e 0 t ( γ 1 p Γ 1 p w 1 ( t ) μ 1 p Γ 1 p 2 w 1 ( t ) ) dv · Γ 1 p ( 0 ) Ψ 1 + Ψ 2 + δ 2 r e T max T p r e 0 t ( γ 2 r Γ 2 r w 1 ( t ) μ 2 r Γ 2 r 2 w 1 ( t ) ) dv · Γ 2 r ( 0 ) Ψ 1 + Ψ 2 > 0 .
Then it can be further deduced that t σ + 1 t σ 2 e ˜ , which contradicts with t σ + 1 t σ < 2 e ˜ . Consequently, the Zeno behavior can be precluded. □
In quantized ETC strategy (6), if w = 1 , the controller becomes the following form
U 1 p ( t ) = T max T p r e α 1 p Sign ( ξ 1 p ( t σ ) ) e β 1 p | Q ( ξ 1 p ( t σ ) ) | 1 , U 2 r ( t ) = T max T p r e α 2 r Sign ( ξ 2 r ( t σ ) ) e β 2 r | Q ( ξ 2 r ( t σ ) ) | 1 ,
where T max is defined as
T max = T max * = π k 3 ( k 3 Φ 1 ) 1 2 , k 1 T max T p r e k 2 0 , T max * * = 2 π k 3 ( 1 4 k 3 Φ 1 k 1 + T max T p r e k 2 ) 1 2 I ( 1 4 k 3 Φ 1 + 1 4 k 3 k 1 + T max T p r e k 2 , 1 2 , 1 2 ) + π 2 Φ 1 ( Φ 1 1 4 k 3 k 1 + T max T p r e k 2 ) 1 2 I ( k 2 Φ 1 + 1 4 k 3 k 1 + T max T p r e k 2 , 1 2 , 1 2 ) , 0 < k 1 T max T p r e k 2 < min { 1 4 k 3 , Φ 1 } ,
and the remaining undefined parameters are consistent with those in (6).
The triggering condition is exploited as
t σ + 1 = inf { t > t σ | B ^ 1 p ( t ) B ^ 2 r ( t ) 0 } , B ^ 1 p ( t ) = υ 1 p T max T p r e α 1 p + | E 1 p ( t ) | 1 δ 1 p Γ 1 p ( t ) + T max T p r e Φ , B ^ 2 r ( t ) = υ 2 r T max T p r e α 2 r + | E 2 r ( t ) | 1 δ 2 r Γ 2 r ( t ) + T max T p r e Φ ,
where δ 1 p , δ 2 r > 0 , T max T p r e α 1 p > υ 1 p + T max T p r e Φ , T max T p r e α 2 r > υ 2 r + T max T p r e Φ , E 1 p ( t ) and E 2 r ( t ) are described as
E 1 p ( t ) = T max T p r e α 1 p Sign ( ξ 1 p ( t σ ) ) e β 1 p | Q ( ξ 1 p ( t σ ) ) | 1 T max T p r e α 1 p Sign ( ξ 1 p ( t ) ) e β 1 p | Q ( ξ 1 p ( t ) ) | 1 , E 2 r ( t ) = T max T p r e α 2 r Sign ( ξ 2 r ( t σ ) ) e β 2 r | Q ( ξ 2 r ( t σ ) ) | 1 T max T p r e α 2 r Sign ( ξ 2 r ( t ) ) e β 2 r | Q ( ξ 2 r ( t ) ) | 1 ,
for t [ t σ , t σ + 1 ] . Furthermore, dynamic variables Γ 1 p ( t ) and Γ 2 r ( t ) are designed as
Γ ˙ 1 p ( t ) = T max T p r e γ 1 p Γ 1 p ( t ) T max T p r e μ 1 p Γ 1 p 2 ( t ) , Γ ˙ 2 r ( t ) = T max T p r e γ 2 r Γ 2 r ( t ) T max T p r e μ 2 r Γ 2 r 2 ( t ) ,
where Γ 1 p ( 0 ) , Γ 2 r ( 0 ) > 0 , γ 1 p , μ 1 p , γ 2 r and μ 2 r > 0 .
Theorem 3.
Under Assumptions 1–3, the quantized control protocol (29) and the dynamic ETC mechanism (30)–(32), if k 1 T max T p r e k 2 < min { 1 4 k 3 , Φ 1 } , the OV-BAMNNs (1) and (2) can achieve PDT projective lag synchronization in T p r e , where T p r e T max and T max is given in (29).
Proof. 
Analogous to the proof of Theorem 1, it is not difficult to obtain
D + V ( t ) ( k 1 T max T p r e k 2 ) V ( t ) T max 4 T p r e k 3 V 2 ( t ) T max T p r e Φ 1 T max T p r e ( k 3 4 V 2 ( t ) + Φ 1 ) , k 1 T max T p r e k 2 0 , T max T p r e ( ( k 1 T max T p r e k 2 ) V ( t ) k 3 4 V 2 ( t ) Φ 1 ) , 0 < k 1 T max T p r e k 2 < min { 1 4 k 3 , Φ 1 } .
From Lemma 5, the QV-BAMNNs (1) and (2) can achieve PDT projective lag synchronization in T p r e by the quantized control scheme (29) and the dynamic ETC mechanism (30)–(32). □
Corollary 2.
Under Assumptions 1–3, the quantized control strategy (29) and the dynamic ETC mechanism (30)–(32), if T p r e = T max and k 1 T max T p r e k 2 < min { 1 4 k 3 , Φ 1 } , the OV-BAMNNs (1) and (2) can achieve FDT projective lag synchronization, and the ST is reckoned as T max , where T max is given in (29).
Corollary 3.
By adopting the quantized controller (29) with the dynamic ETC mechanism (30)–(32), the Zeno behavior can be excluded.
To further strengthen the practicability of the results in this article, the PDT projective lag synchronization of OV-BAMNNs will be investigated by employing the 2-norm.
For convince, the related parameters are provided.
d ˜ 1 = max p p ˜ { 2 d 1 p + r = 1 n 1 | ω p r | 2 r 2 + r = 1 n 1 | e r p | 2 F p 2 + 1 } , δ = max p p ˜ , r r ˜ { δ ˜ 1 p , δ ˜ 2 r } , d ˜ 2 = max r r ˜ { 2 d 2 r + p = 1 n 2 | e r p | 2 F p 2 + p = 1 n 2 | ω p r | 2 r 2 + 1 } , d ˜ = max { d ˜ 1 , d ˜ 2 } , υ ˜ 1 p = 2 r = 1 n 1 | ω p r | 2 ( ˜ r 2 + ^ r 2 ( 1 + | ρ | ) ) + 2 r = 1 n 1 | α p r | 2 ^ r 2 ( 1 + | ρ | ) + 2 ( 1 + | ρ | ) | W 1 p | 2 , υ ˜ 2 r = 2 p = 1 n 2 | e r p | 2 ( F ˜ p 2 + F ^ p 2 ( 1 + | ρ | ) ) + 2 p = 1 n 2 | l r p | 2 F ^ r 2 ( 3 + | ρ | ) + 2 ( 1 + | ρ | ) | W 2 r | 2 , Φ ˜ 1 = n 2 Φ ˜ + n 1 Φ ˜ , k ˜ 1 = max { d ˜ , δ ˜ } , k ˜ 2 = min { k ˇ 2 , k ^ 2 } , k ˜ 3 = min { n 2 1 2 w k ˇ 3 , n 1 1 2 w k ^ 3 } , k ˇ 2 = min p p ˜ { 2 α ˜ 1 p β ˜ 1 p ( 1 ϵ ˜ ) w ˜ , 2 γ ˜ 1 p } , k ^ 2 = min r l ˜ { 2 α ˜ 2 r β ˜ 2 r ( 1 ϵ ˜ ) w ˜ , 2 γ ˜ 2 r } , k ˇ 3 = min p p ˜ { α ˜ 1 p β ˜ 1 p 2 ( 1 ϵ ˜ ) 2 w ˜ , 2 μ ˜ 1 p } , k ^ 3 = min r l ˜ { α ˜ 2 r β ˜ 2 r 2 ( 1 ϵ ˜ ) 2 w ˜ , 2 μ ˜ 2 r } .
Next, the exponential quantized ETC scheme based on 2-norm for t ˜ [ t ˜ σ , t ˜ σ + 1 ) can be designed as
U 1 p ( t ) = T ˜ max T ˜ p r e α ˜ 1 p Sign ( ξ 1 p ( t σ ) ) e β ˜ 1 p | Q ( ξ 1 p ( t σ ) ) | 2 w ˜ , U 2 r ( t ) = T ˜ max T ˜ p r e α ˜ 2 r Sign ( ξ 2 r ( t σ ) ) e β ˜ 2 r | Q ( ξ 2 r ( t σ ) ) | 2 w ˜ ,
where α ˜ 1 p , β ˜ 1 p , α ˜ 2 r , β ˜ 2 r > 0 , 1 2 < w ˜ < 1 , p p ˜ , r r ˜ , { t ˜ σ } σ Z denotes an increasing sequence of release instants and t ˜ 0 = 0 , T ˜ p r e is a preassigned-time and
T ˜ max = T ˜ max * * = 2 π csc ( π ) k ˜ 3 4 1 2 w w ( k ˜ 3 4 1 2 w k ˜ 2 k ˜ 1 ) 1 I ( k ˜ 3 4 1 2 w k ˜ 2 + k ˜ 3 4 1 2 w k ˜ 1 , , 1 ) + 2 π csc ( π ) k ˜ 2 w ( k ˜ 2 k ˜ 3 4 1 2 w k ˜ 1 ) I ( k ˜ 2 k ˜ 2 + k ˜ 3 4 1 2 w k ˜ 1 , 1 , ) ,
and = 1 w w . Q ( ξ 1 p ( t ) ) = j = 0 7 Q ^ ( ξ 1 p ( j ) ( t ) ) , Q ( ξ 2 r ( t ) ) = j = 0 7 Q ^ ( ξ 2 r ( j ) ( t ) ) and Q ^ ( ) is a quantization function, whose definition is consistent with that in Theorem 1.
The triggering condition is designed to
t ˜ σ + 1 = inf { t ˜ > t ˜ σ | B ˜ 1 p ( t ) B ˜ 2 r ( t ) 0 } , B ˜ 1 p ( t ) = ( υ ˜ 1 p 2 T ˜ max T ˜ p r e α ˜ 1 p ) | ξ 1 p ( t ) | 2 + | E ˜ 1 p ( t ) | 2 2 2 δ ˜ 1 p Γ ˜ 1 p 2 ( t ) , B ˜ 2 r ( t ) = ( υ ˜ 2 r 2 T ˜ max T ˜ p r e α ˜ 2 r ) | ξ 2 r ( t ) | 2 + | E ˜ 2 r ( t ) | 2 2 2 δ ˜ 2 r Γ ˜ 2 r 2 ( t ) ,
where δ ˜ 1 p , δ ˜ 2 r > 0 , 2 T ˜ max T ˜ p r e α ˜ 1 p > υ ˜ 1 p , 2 T ˜ max T ˜ p r e α ˜ 2 r > υ ˜ 2 r , E ˜ 1 p ( t ) and E ˜ 2 r ( t ) are measurable errors, which are described as
E ˜ 1 p ( t ) = T ˜ max T ˜ p r e α ˜ 1 p Sign ( ξ 1 p ( t ˜ σ ) ) e β ˜ 1 p | Q ( ξ 1 p ( t ˜ σ ) ) | 2 w ˜ T ˜ max T ˜ p r e α ˜ 1 p Sign ( ξ 1 p ( t ) ) e β ˜ 1 p | Q ( ξ 1 p ( t ) ) | 2 w , E ˜ 2 r ( t ) = T ˜ max T ˜ p r e α ˜ 2 r Sign ( ξ 2 r ( t ˜ σ ) ) e β ˜ 2 r | Q ( ξ 2 r ( t ˜ σ ) ) | 2 w ˜ T ˜ max T ˜ p r e α ˜ 2 r Sign ( ξ 2 r ( t ) ) e β ˜ 2 r | Q ( ξ 2 r ( t ) ) | 2 w ˜
for t ˜ [ t ˜ σ , t ˜ σ + 1 ] . Furthermore, dynamic variables Γ ˜ 1 p ( t ) and Γ ˜ 2 r ( t ) are designed as
Γ ˜ ˙ 1 p ( t ) = T ˜ max T ˜ p r e γ ˜ 1 p Γ ˜ 1 p w ˜ ( t ) T ˜ max T ˜ p r e μ ˜ 1 p Γ ˜ 1 p 2 w ˜ ( t ) , Γ ˜ ˙ 2 r ( t ) = T ˜ max T p r e γ ˜ 2 r Γ ˜ 2 r w ˜ ( t ) T ˜ max T ˜ p r e μ ˜ 2 r Γ ˜ 2 r 2 w ˜ ( t ) ,
where Γ ˜ 1 p ( 0 ) , Γ ˜ 2 r ( 0 ) > 0 , γ ˜ 1 p , μ ˜ 1 p , γ ˜ 2 r and μ ˜ 2 r > 0 .
Theorem 4.
Under Assumptions 1–3, the quantized control protocol (33) and the dynamic ETC mechanism (34)–(36), if k ˜ 1 < min { k ˜ 2 , k ˜ 3 4 1 2 w ˜ } , the OV-BAMNNs (1) and (2) can achieve PDT projective lag synchronization in T ˜ p r e , where T ˜ p r e T ˜ max and T ˜ max is given in (33).
Proof. 
Construct Lyapunov function
V ˜ ( t ) = V 5 ( t ) + V 6 ( t ) + V 7 ( t ) + V 8 ( t ) , V 5 ( t ) = p = 1 n 2 | ξ 1 p ( t ) | 2 2 , V 6 ( t ) = p = 1 n 2 Γ ˜ 1 p 2 ( t ) , V 7 ( t ) = r = 1 n 1 | ξ 2 r ( t ) | 2 2 , V 8 ( t ) = r = 1 n 1 Γ ˜ 2 r 2 ( t ) .
For t ˜ [ t ˜ σ , t ˜ σ + 1 ) , calculating the upper right Dini derivative V 5 ( t ) along the error trajectories of (5), one derives
D + V 5 ( t ) = p = 1 n 2 ( ( d 1 p ξ 1 p ( t ) ¯ + r = 1 n 1 G r ( ξ 2 r ( t ) ) ¯ ω p r ¯ + U 1 p ( t ) ¯ + r = 1 n 1 F r ( ξ 2 r ( t 2 r ( t ) ) ) ¯ a p r ¯ + r = 1 n 1 L r ( ξ 2 r ( t ) ) ¯ ω p r ¯ + r = 1 n 1 S r ( ξ 2 r ( t 2 r ( t ) ) ) ¯ a p r ¯ + ( 1 ρ ) W 1 p ¯ ) ξ 1 p ( t ) + ξ 1 p ( t ) ¯ ( d 1 p ξ 1 p ( t ) + r = 1 n 1 ω p r G r ( ξ 2 r ( t ) ) + U 1 p ( t ) + r = 1 n 1 a p r F r ( ξ 2 r ( t 2 r ( t ) ) ) + r = 1 n 1 ω p r L r ( ξ 2 r ( t ) )
+ r = 1 n 1 a p r S r ( ξ 2 r ( t 2 r ( t ) ) ) + ( 1 ρ ) W 1 p ) ) .
From Assumptions 2 and 3, and by means of Lemma 1, one gets that
r = 1 n 1 ( G r ( ξ 2 r ( t ) ) ¯ ω p r ¯ ξ 1 p ( t ) + ξ 1 p ( t ) ¯ ω p r G r ( ξ 2 r ( t ) ) ) 2 r = 1 n 1 | ω p r | 2 | ξ 1 p ( t ) | 2 r 2 | ξ 2 r ( t ) | 2 + ˜ r 2 = r = 1 n 1 | ω p r | 2 r 2 ( ξ 1 p ( t ) ¯ ξ 1 p ( t ) + ξ 2 r ( t ) ¯ ξ 2 r ( t ) )
+ 2 r = 1 n 1 | ω p r | 2 ˜ r 2 | ξ 1 p ( t ) | 2
and
r = 1 n 1 ( F r ( ξ 2 r ( t 2 r ( t ) ) ) ¯ a p r ¯ ξ 1 p ( t ) + ξ 1 p ( t ) ¯ a p r F r ( ξ 2 r ( t 2 r ( t ) ) ) )
4 r = 1 n 1 | a p r | 2 ^ r 2 | ξ 1 p ( t ) | 2
and
r = 1 n 1 ( L r ( ξ 2 r ( t ) ) ¯ ω p r ¯ ξ 1 p ( t ) + ξ 1 p ( t ) ¯ ω p r L 2 r ( ξ 2 r ( t ) ) )
2 r = 1 n 1 | ω p r | 2 ^ r 2 | ξ 1 p ( t ) | 2 ( 1 + | ρ | )
and
r = 1 n 1 ( S r ( ξ 2 r ( t 2 r ( t ) ) ) ¯ a p r ¯ ξ 1 p ( t ) + a p r S r ( ξ 2 r ( t 2 r ( t ) ) ) ξ 1 p ( t ) )
2 r = 1 n 1 | a p r | 2 ^ r 2 | ξ 1 p ( t ) | 2 ( 1 + | ρ | )
and
( 1 ρ ) W 1 p ¯ ξ 1 p ( t ) + ξ 1 p ( t ) ¯ ( 1 ρ ) W 1 p 2 ( 1 + | ρ | ) | ξ 1 p ( t ) | 2 | W 1 p | 2 .
By the measure error E ˜ 1 p ( t ) , one has
U 1 p ( t ) = E ˜ 1 p ( t ) T ˜ max T ˜ p r e α ˜ 1 p Sign ( ξ 1 p ( t ) ) e β ˜ 1 p | Q ( ξ 1 p ( t ) ) | 2 w ˜ .
According to Lemmas 2 and 6,
U 1 p ( t ) ¯ ξ 1 p ( t ) + ξ 1 p ( t ) ¯ U 1 p ( t ) = E ˜ 1 p ( t ) ¯ ξ 1 p ( t ) + ξ 1 p ( t ) ¯ E ˜ 1 p ( t ) T ˜ max T ˜ p r e α ˜ 1 p e β ˜ 1 p | Q ( ξ 1 p ( t ) ) | 2 w ˜ Υ 1 p ( t ) ¯ ξ 1 p ( t ) + ξ 1 p ( t ) ¯ Υ 1 p ( t ) 2 | E ˜ 1 p ( t ) | 2 | ξ 1 p ( t ) | 2 2 T ˜ max T ˜ p r e α ˜ 1 p e β ˜ 1 p | Q ( ξ 1 p ( t ) ) | 2 w ˜ | ξ 1 p ( t ) | 2 | E ˜ 1 p ( t ) | 2 2 + | ξ 1 p ( t ) | 2 2 2 T ˜ max T ˜ p r e α ˜ 1 p 1 + β ˜ 1 p | Q ( ξ 1 p ( t ) ) | 2 w ˜ + 1 2 β ˜ 1 p 2 | Q ( ξ 1 p ( t ) ) | 2 2 w ˜ | ξ 1 p ( t ) | 2 | E ˜ 1 p ( t ) | 2 2 + | ξ 1 p ( t ) | 2 2 2 T ˜ max T ˜ p r e α ˜ 1 p | ξ 1 p ( t ) | 2 2 T ˜ max T ˜ p r e α ˜ 1 p β ˜ 1 p ( 1 ϵ ˜ ) w ˜ | ξ 1 p ( t ) | 2 w ˜ + 1
T ˜ max T ˜ p r e α ˜ 1 p β ˜ 1 p 2 ( 1 ϵ ˜ ) 2 w ˜ | ξ 1 p ( t ) | 2 2 w ˜ + 1 ,
where Υ 1 p ( t ) co ¯ ( Sign ( ξ 1 p ( t ) ) ) .
Substituting (38)–(43) into (37), and using the dynamic ETC mechanism under 1-norm (34)–(36), one can conclude that
D + V 5 ( t ) p = 1 n 2 ( 2 d 1 p + r = 1 n 1 | ω p r | 2 r 2 + 1 ) | ξ 1 p ( t ) | 2 2 + p = 1 n 2 ( ( υ ˜ 1 p 2 T ˜ max T ˜ p r e α ˜ 1 p ) · | ξ 1 p ( t ) | 2 + | E ˜ 1 p ( t ) | 2 2 ) 2 T ˜ max T ˜ p r e p = 1 n 2 r = 1 n 1 α ˜ 1 p β ˜ 1 p ( 1 ϵ ˜ ) w ˜ | ξ 1 p ( t ) | 2 w ˜ + 1 T ˜ max T ˜ p r e p = 1 n 2 r = 1 n 1 α ˜ 1 p β ˜ 1 p 2 ( 1 ϵ ˜ ) 2 w ˜ | ξ 1 p ( t ) | 1 2 w ˜ + 1 + p = 1 n 2 r = 1 n 1 | ω p r | 2 r 2 | ξ 2 r ( t ) | 2 2 p = 1 n 2 ( 2 d 1 p + r = 1 n 1 | ω p r | 2 r 2 + 1 ) | ξ 1 p ( t ) | 2 2 + p = 1 n 2 r = 1 n 1 | ω p r | 2 r 2 | ξ 2 r ( t ) | 2 2 + p = 1 n 2 δ ˜ 1 p Γ ˜ 1 p 2 ( t ) 2 T ˜ max T ˜ p r e p = 1 n 2 r = 1 n 1 α ˜ 1 p β ˜ 1 p ( 1 ϵ ˜ ) w ˜ | ξ 1 p ( t ) | 2 w ˜ + 1
T ˜ max T ˜ p r e p = 1 n 2 r = 1 n 1 α ˜ 1 p β ˜ 1 p 2 ( 1 ϵ ˜ ) 2 w ˜ | ξ 1 p ( t ) | 1 2 w ˜ + 1 .
Analogously,
D + V 7 ( t ) r = 1 n 1 ( 2 d 2 r + p = 1 n 2 | e r p | 2 F p 2 + 1 ) | ξ 2 r ( t ) | 2 2 + r = 1 n 1 ( ( υ ˜ 2 r 2 T ˜ max T ˜ p r e α ˜ 2 r ) · | ξ 2 r ( t ) | 2 + | E ˜ 2 r ( t ) | 2 2 ) 2 T ˜ max T ˜ p r e p = 1 n 2 r = 1 n 1 α ˜ 1 p β ˜ 1 p ( 1 ϵ ˜ ) w ˜ | ξ 2 r ( t ) | 2 w ˜ + 1 T ˜ max T ˜ p r e p = 1 n 2 r = 1 n 1 α ˜ 2 r β ˜ 2 r 2 ( 1 ϵ ˜ ) 2 w | ξ 2 r ( t ) | 1 2 w + 1 + r = 1 n 1 p = 1 n 2 | e r p | 2 p 2 | ξ 1 p ( t ) | 2 2 r = 1 n 1 ( 2 d 2 r + p = 1 n 2 | e r p | 2 F p 2 + 1 ) | ξ 2 r ( t ) | 2 2 + r = 1 n 1 p = 1 n 2 | e r p | 2 F r 2 | ξ 1 p ( t ) | 2 2 + r = 1 n 1 δ ˜ 2 r Γ ˜ 2 r 2 ( t ) 2 T ˜ max T ˜ p r e p = 1 n 2 r = 1 n 1 α ˜ 2 r β ˜ 2 r ( 1 ϵ ˜ ) w ˜ | ξ 2 r ( t ) | 2 w ˜ + 1
T ˜ max T ˜ p r e p = 1 n 2 r = 1 n 1 α ˜ 2 r β ˜ 2 r 2 ( 1 ϵ ˜ ) 2 w ˜ | ξ 2 r ( t ) | 2 2 w ˜ + 1 .
Combining (44), (45) and adaptive law (36),
D + V ˜ ( t ) d ˜ 1 p = 1 n 2 | ξ 1 p ( t ) | 2 2 + δ ˜ p = 1 n 2 Γ ˜ 1 p 2 ( t ) + d ˜ 2 r = 1 n 1 | ξ 2 r ( t ) | 2 2 + δ ˜ r = 1 n 1 Γ ˜ 2 r 2 ( t ) k ˇ 2 T ˜ max T ˜ p r e V 5 w ˜ + 1 2 ( t ) k ˇ 2 T ˜ max T ˜ p r e V 6 w ˜ + 1 2 ( t ) k ^ 2 T ˜ max T ˜ p r e V 7 w ˜ + 1 2 ( t ) k ^ 2 T ˜ max T ˜ p r e V 8 w ˜ + 1 2 ( t ) k ˇ 3 T ˜ max T ˜ p r e n 2 1 2 w ˜ V 5 w ˜ + 1 2 ( t ) k ˇ 3 T ˜ max T ˜ p r e n 2 1 2 w ˜ V 6 w ˜ + 1 2 ( t ) k ^ 3 T ˜ max T ˜ p r e n 2 1 2 w ˜ V 7 w ˜ + 1 2 ( t ) k ^ 3 T ˜ max T ˜ p r e n 2 1 2 w ˜ V 8 w ˜ + 1 2 ( t ) k ˜ 1 V ˜ ( t ) T ˜ max T ˜ p r e k ˜ 2 V ˜ w ˜ + 1 2 ( t ) T ˜ max T ˜ p r e k ˜ 3 4 1 2 w ˜ V ˜ w ˜ + 1 2 ( t ) .
Since k ˜ 1 = max { d ˜ , δ ˜ } > 0 and T ˜ p r e < T ˜ max ,
D + V ˜ ( t ) T ˜ max T ˜ p r e ( k ˜ 1 V ˜ ( t ) k ˜ 2 V ˜ w ˜ + 1 2 ( t ) k ˜ 3 4 1 2 w V ˜ w ˜ + 1 2 ( t ) ) .
Therefore, by virtue of Lemma 5, if k ˜ 1 < min { k ˜ 2 , k ˜ 3 4 1 2 w ˜ } , the networks (1) and (2) can attain PDT projective lag synchronization within T ˜ p r e via the quantized controller (33) with the dynamic ETC mechanism (34)–(36). □
Corollary 4.
Under Assumptions 1–3, the quantized control protocol (33) and the dynamic ETC mechanism (34)–(36), if T ˜ p r e = T ˜ max and k ˜ 1 < min { k ˜ 2 , k ˜ 3 4 1 2 w ˜ } , the OV-BAMNNs (1) and (2) can achieve FDT projective lag synchronization, and the ST is reckoned as T ˜ max .
Corollary 5.
By adopting the quantized controller (33) with the dynamic ETC mechanism (34)–(36), the Zeno behavior can be excluded.
In quantized ETC strategy (33), if w = 1 , the controller becomes the following form:
U 1 p ( t ) = T ˜ max T ˜ p r e α ˜ 1 p Sign ( ξ 1 p ( t σ ) ) e β ˜ 1 p | Q ( ξ 1 p ( t σ ) ) | 2 , U 2 r ( t ) = T ˜ max T ˜ p r e α ˜ 2 r Sign ( ξ 2 r ( t σ ) ) e β ˜ 2 r | Q ( ξ 2 r ( t σ ) ) | 2 ,
where T ˜ max is defined as
T ˜ max = T ˜ max * = 8 3 π 9 k ˜ 3 ( k ˜ 3 2 Φ ˜ ) 2 3 , k ˜ 1 T ˜ max T ˜ p r e k ˜ 2 0 , T ˜ max * * = 8 3 π 9 k ˜ 3 ( 1 2 k ˜ 3 Φ ˜ 1 k ˜ 1 + T ˜ max T ˜ p r e k ˜ 2 ) 1 3 I ( 1 2 k ˜ 3 Φ ˜ 1 + 1 2 k ˜ 3 k ˜ 1 + T ˜ max T ˜ p r e k ˜ 2 , 2 3 , 1 3 ) + 4 3 π 9 Φ ˜ 1 ( Φ ˜ 1 1 2 k ˜ 3 k ˜ 1 + T ˜ max T ˜ p r e k ˜ 2 ) 1 3 I ( Φ ˜ 1 Φ ˜ 1 + 1 2 k ˜ 3 k ˜ 1 + T ˜ max T ˜ p r e k ˜ 2 , 1 3 , 2 3 ) , 0 < k ˜ 1 T ˜ max T ˜ p r e k ˜ 2 < min { 1 2 k ˜ 3 , Φ ˜ 1 } ,
and the remaining undefined parameters are consistent with those in (33).
The ETC condition is exploited as
t ˜ σ + 1 = inf { t ˜ > t ˜ σ | B ˇ 1 p ( t ) B ˇ 2 r ( t ) 0 } , B ˇ 1 p ( t ) = ( υ ˜ 1 p 2 T ˜ max T ˜ p r e α ˜ 1 p ) | ξ 1 p ( t ) | 2 + | E ˜ 1 p ( t ) | 2 2 2 δ ˜ 1 p Γ ˜ 1 p 2 ( t ) + T ˜ max T ˜ p r e Φ ˜ , B ˇ 2 r ( t ) = ( υ ˜ 2 r 2 T ˜ max T ˜ p r e α ˜ 2 r ) | ξ 2 r ( t ) | 2 + | E ˜ 2 r ( t ) | 2 2 2 δ ˜ 2 r Γ ˜ 2 r 2 ( t ) + T ˜ max T ˜ p r e Φ ˜ ,
where δ ˜ 1 p , δ ˜ 2 r > 0 , 2 T ˜ max T ˜ p r e α ˜ 1 p > υ ˜ 1 p , 2 T ˜ max T ˜ p r e α ˜ 2 r > υ ˜ 2 r , E ˜ 1 p ( t ) and E ˜ 2 r ( t ) are described as
E ˜ 1 p ( t ) = T ˜ max T ˜ p r e α ˜ 1 p Sign ( ξ 1 p ( t ˜ σ ) ) e β ˜ 1 p | Q ( ξ 1 p ( t ˜ σ ) ) | 2 T ˜ max T ˜ p r e α ˜ 1 p Sign ( ξ 1 p ( t ) ) e β ˜ 1 p | Q ( ξ 1 p ( t ) ) | 2 , E ˜ 2 r ( t ) = T ˜ max T ˜ p r e α ˜ 2 r Sign ( ξ 2 r ( t ˜ σ ) ) e β ˜ 2 r | Q ( ξ 2 r ( t ˜ σ ) ) | 2 T ˜ max T ˜ p r e α ˜ 2 r Sign ( ξ 2 r ( t ) ) e β ˜ 2 r | Q ( ξ 2 r ( t ) ) | 2
for t ˜ [ t ˜ σ , t ˜ σ + 1 ] . Furthermore, dynamic variables Γ ˜ 1 p ( t ) and Γ ˜ 2 r ( t ) are designed as
Γ ˜ ˙ 1 p ( t ) = T ˜ max T ˜ p r e γ ˜ 1 p Γ ˜ 1 p ( t ) T ˜ max T ˜ p r e μ ˜ 1 p Γ ˜ 1 p 2 ( t ) , Γ ˜ ˙ 2 r ( t ) = T ˜ max T p r e γ ˜ 2 r Γ ˜ 2 r ( t ) T ˜ max T ˜ p r e μ ˜ 2 r Γ ˜ 2 r 2 ( t ) ,
where Γ ˜ 1 p ( 0 ) , Γ ˜ 2 r ( 0 ) > 0 , γ ˜ 1 p , μ ˜ 1 p , γ ˜ 2 r and μ ˜ 2 r > 0 .
Theorem 5.
Under Assumptions 1–3, the quantized control protocol (46) and the dynamic ETC mechanism (47)–(49), if k ˜ 1 T ˜ max T ˜ p r e k ˜ 2 < min { 1 2 k ˜ 3 , Φ ˜ 1 } , the OV-BAMNNs (1) and (2) can achieve PDT projective lag synchronization in T ˜ p r e , where T ˜ p r e T ˜ max and T ˜ max is given in (46).
Proof. 
Similar to the proof of Theorem 4, it is not difficult to obtain
D + V ˜ ( t ) ( k ˜ 1 T ˜ max T ˜ p r e k ˜ 2 ) V ˜ ( t ) T ˜ max 2 T ˜ p r e k ˜ 3 V ˜ 3 2 ( t ) T ˜ max T ˜ p r e Φ ˜ 1 T ˜ max T ˜ p r e ( k ˜ 3 2 V ˜ 3 2 ( t ) + Φ ˜ 1 ) , k ˜ 1 T ˜ max T ˜ p r e k ˜ 2 0 , T ˜ max T ˜ p r e ( ( k ˜ 1 T ˜ max T ˜ p r e k ˜ 2 ) V ˜ ( t ) k ˜ 3 2 V ˜ 3 2 ( t ) Φ ˜ 1 ) , 0 < k ˜ 1 T ˜ max T ˜ p k ˜ 2 < min { 1 2 k ˜ 3 , Φ ˜ 1 } .
By virtue of Lemma, if k ˜ 1 T ˜ max T ˜ p r e k ˜ 2 < min { 1 2 k ˜ 3 , Φ ˜ 1 } , the networks (1) and (2) can attain PDT projective lag synchronization within T ˜ p r e via the quantized controller (46) with the dynamic ETC mechanism (47)–(49). □
Corollary 6.
Under Assumptions 1–3, the quantized control protocol (46) and the dynamic ETC mechanism (47)–(49), if k ˜ 1 T ˜ max T ˜ p r e k ˜ 2 < min { 1 2 k ˜ 3 , Φ ˜ 1 } , systems (1) and (2) can implement FDT projective lag synchronization, and the ST is assessed by T ˜ max , where T ˜ max is given in (46).
Corollary 7.
By adopting the quantized controller (46) with the dynamic ETC mechanism (47)–(49), the Zeno behavior can be excluded.
Remark 6.
Under the framework of the non-decomposition method, Theorems 1 and 4 establish the PDT projective lag synchronization of OV-BAMNNs using the 1-norm and 2-norm, respectively. In particular, Theorem 1 is derived by designing an exponential quantized ETC protocol under the 1-norm, while Theorem 4 is obtained using the 2-norm. It is noteworthy that two distinct Lyapunov functions are formulated in the theoretical analysis to demonstrate synchronization under the two respective norms. Moreover, compared with conventional decomposition-based methods [5,10,11] or the previous studies limited to a single norm [7,18], the proposed approach not only yields more comprehensive theoretical results but also significantly reduces computational redundancy.
Remark 7.
The proposed PDT projective lag synchronization scheme offers a unified framework that generalizes several conventional synchronization types. As defined by the error ξ 1 p ( t ) = z ˜ 1 p ( t ) ρ z 1 p ( t ε ) and ξ 2 r ( t ) = z ˜ 2 r ( t ) ρ z 2 r ( t ε ) , our results encompass: (i) PDT complete synchronization when ρ = 1 , ε = 0 ; (ii) PDT lag synchronization when ρ = 1 , ε 0 ; and (iii) PDT anti-synchronization when ρ = 1 , ε = 0 . While previous studies often focus on these special cases, they fail to address the combined challenges of PDT convergence [7,8], projective scaling [15], and transmission delays [38] simultaneously. Hence, the findings of the paper are more generalizable.
Remark 8.
In contrast to the finite-time and FDT synchronization, the ST T p r e of PDT synchronization can be predetermined depending on actual demands. Under the identical criteria, the ST of the PDT synchronization is noticeably less than that of the FDT synchronization. From this viewpoint, the PDT synchronization results in this paper are greater flexibility and practicality compared to the approaches in [28,29,30].
Remark 9.
This paper is compared with recent studies [24,25,27] to highlight its innovations. Unlike [25], which used quantized controllers for multi-layer networks, our study employs a more efficient quantized ETC scheme for OV-BAMNNs. Compared with [27], which achieved finite-time switching via intermittent control, this work solves the PDT projective lag synchronization problem, with a ST that can be preset independently of initial conditions. In contrast to [24], which developed PDT control for launch vehicles, our approach ensures PDT synchronization for NNs without requiring complex observers or performance functions.

4. Numerical Simulations

This section presents two numerical examples to demonstrate the validity and feasibility of the theoretical findings.
Example 1.
Consider the following OV-BAMNN
X l a y e r : z ˙ 1 p ( t ) = d 1 p z 1 p ( t ) + r = 1 2 ω p r h r ( z 2 r ( t ) ) + W 1 p + r = 1 2 a p r h r ( z 2 r ( t 2 r ( t ) ) ) , p = 1 , 2 , Y l a y e r : z ˙ 2 r ( t ) = d 2 r z 2 r ( t ) + p = 1 2 e r p m p ( z 1 p ( t ) ) + W 2 r + p = 1 2 l r p m p ( z 1 p ( t 1 p ( t ) ) ) , r = 1 , 2 ,
where z 1 p ( t ) , z 2 q ( t ) O , d 11 = d 12 = 0.9 , d 21 = d 22 = 1.1 , 2 r ( t ) = e t 1 + e t , 1 p ( t ) = 0.6 0.4 sin ( t ) , and W 1 p = W 2 r = 0 . h r ( z 2 r ( t ) ) = j = 0 7 0.6 tanh ( z 2 r ( j ) ( t ) ) + 0.01 sign ( z 2 r ( j ) ( t ) ) u j , and m p ( z 1 p ( t ) ) = j = 0 7 0.6 tanh ( z 1 p ( j ) ( t ) ) + 0.03 sign ( z 1 p ( j ) ( t ) ) u j . W 1 p ( t ) = W 2 r ( t ) = 0 . Apparently, Assumptions A2 and A3 are met with r 𝚥 = F p 𝚥 = 0.6 , 3 ˜ r 𝚥 = F ˜ p 𝚥 = 0.06 , ^ r 𝚥 = 0.61 and F ^ r 𝚥 = 0.63   ( 𝚥 = 1 , 2 ) . The diagrams of the activation functions h r ( z ) and m p ( z ) are presented in Figure 1.
The connection weights of the network (50) are selected as
ω 11 = 0.3 u 0 0.4 u 1 + 0.3 u 2 0.4 u 3 + 0.5 u 4 0.8 u 5 + 0.5 u 6 0.3 u 7 , ω 12 = 0.5 u 0 0.7 u 1 + 0.5 u 2 0.6 u 3 + 0.5 u 4 0.4 u 5 + 0.2 u 6 0.2 u 7 , ω 21 = 0.6 u 0 0.6 u 1 + 0.2 u 2 0.3 u 3 + 0.4 u 4 1.0 u 5 + 0.6 u 6 0.6 u 7 , ω 22 = 0.25 u 0 + 1.0 u 1 + 0.3 u 2 + 0.2 u 3 + 0.2 u 4 0.1 u 5 + 0.7 u 6 + 0.3 u 7 , a 11 = 0.8 u 0 0.4 u 1 0.5 u 2 1.1 u 3 + 0.5 u 4 + 0.2 u 5 0.1 u 6 1.0 u 7 , a 12 = 0.2 u 0 + 0.3 u 1 0.2 u 2 + 0.6 u 3 0.4 u 4 + 0.3 u 5 + 0.3 u 6 + 0.2 u 7 , a 21 = 0.3 u 0 + 0.5 u 1 + 0.7 u 2 + 0.1 u 3 0.9 u 4 0.1 u 5 + 0.4 u 6 0.6 u 7 , a 22 = 0.5 u 0 + 0.7 u 1 + 0.9 u 2 + 0.2 u 3 + 0.2 u 4 0.1 u 5 + 0.7 u 6 + 0.3 u 7 , e 11 = 0.3 u 0 0.4 u 1 + 0.3 u 2 0.4 u 3 + 0.5 u 4 0.8 u 5 + 0.5 u 6 0.3 u 7 , e 12 = 0.5 u 0 0.7 u 1 + 0.5 u 2 0.6 u 3 + 0.5 u 4 0.4 u 5 + 0.2 u 6 0.2 u 7 , e 21 = 0.6 u 0 0.6 u 1 + 0.2 u 2 0.3 u 3 + 0.4 u 4 1.0 u 5 + 0.6 u 6 0.6 u 7 , e 22 = 0.25 u 0 + 1.0 u 1 + 0.3 u 2 + 0.7 u 3 + 0.3 u 4 + 0.5 u 5 + 0.6 u 6 + 0.1 u 7 , l 11 = 0.3 u 0 0.4 u 1 + 0.5 u 2 0.8 u 3 + 0.6 u 4 0.6 u 5 + 0.5 u 6 0.6 u 7 , l 12 = 0.5 u 0 0.6 u 1 0.5 u 2 0.7 u 3 + 0.2 u 4 0.2 u 5 + 0.2 u 6 + 0.3 u 7 , l 21 = 0.6 u 0 1.6 u 1 + 0.3 u 2 1.6 u 3 + 0.7 u 4 0.1 u 5 + 0.5 u 6 0.3 u 7 , l 22 = 0.2 u 0 + 1.0 u 1 + 0.7 u 2 + 0.5 u 3 + 0.4 u 4 + 0.5 u 5 + 0.8 u 6 + 0.7 u 7 .
Under initial conditions z 11 ( 𝚤 ) = 1.4 u 0 + 1.2 u 1 + 0.5 u 2 + 1.1 u 3 + 1.4 u 4 + 1.2 u 5 + 1.0 u 6 + 1.1 u 7 , z 12 ( 𝚤 ) = 1.3 u 0 0.2 u 1 0.7 u 2 + 0.7 u 3 + 1.3 u 4 0.2 u 5 0.7 u 6 + 0.7 u 7 , z 21 ( 𝚤 ) = 1.1 u 0 1.0 u 1 + 0.5 u 2 + 0.3 u 3 1.1 u 4 + 0.2 u 5 + 0.5 u 6 + 0.3 u 7 and z 22 ( 𝚤 ) = 0.4 u 0 + 1.2 u 1 + 0.8 u 2 + 0.8 u 3 0.4 u 4 + 0.3 u 5 + 1.8 u 6 + 0.8 u 7 , 𝚤 [ 1 , 0 ] , the dynamic behaviors of network (50) are displayed in Figure 2.
The slave network is
X l a y e r : z ˜ ˙ 1 p ( t ) = d 1 p z ˜ 1 p ( t ) + r = 1 2 ω p r h r ( z ˜ 2 r ( t ) ) + W 1 p ( t ) + r = 1 2 a p r h r ( z ˜ 2 r ( t 2 r ( t ) ) ) + U 1 p ( t ) , p = 1 , 2 , Y l a y e r : z ˜ ˙ 2 r ( t ) = d 2 r z ˜ 2 r ( t ) + p = 1 2 e r p m p ( z ˜ 1 p ( t ) ) + W 2 r ( t ) + p = 1 2 l r p m p ( z ˜ 1 p ( t 1 p ( t ) ) ) + U 2 r ( t ) , r = 1 , 2 ,
where z ˜ 11 ( 𝚤 ) = 0.2 u 0 + 0.2 u 1 + 0.5 u 2 0.5 u 3 0.4 u 4 + 0.2 u 5 1.0 u 6 + 0.1 u 7 , z ˜ 12 ( 𝚤 ) = 0.3 u 0 + 0.8 u 1 0.2 u 2 + 0.6 u 3 0.3 u 4 + 1.5 u 5 + 0.8 u 6 0.1 u 7 , z ˜ 21 ( 𝚤 ) = 1.0 u 0 + 1.0 u 1 0.1 u 2 0.7 u 3 + 1.1 u 4 + 1.0 u 5 0.3 u 6 0.3 u 7 and z ˜ 22 ( 𝚤 ) = 0.5 u 0 0.6 u 1 0.6 u 2 0.3 u 3 + 0.6 u 4 + 1.7 u 5 1.2 u 6 0.5 u 7 , where 𝚤 [ 1 , 0 ] .
Take ρ = 0.9 and ε = 1 . When U 1 p ( t ) = U 2 r ( t ) = 0 , the state trajectories of the OV-BAMNNs (50) and (51) are depicted in Figure 3, which demonstrates that the OV-BAMNNs (50) and (51) cannot realize synchronization without control inputs.
First, the PDT projective lag synchronization of systems (50) and (51) will be verified via the quantized control scheme (6) and the dynamic ETC mechanism (7)–(9). By simple calculation, υ 11 = 27.672 , υ 12 = 36.246 , υ 21 = 29.936 and υ 22 = 36.07 . Choose the quantizer density ϵ = 0.7 . The parameters in (6) are selected as α 11 = 50 , α 12 = 60 , α 21 = 55 , α 22 = 60 , β 11 = β 12 = β 21 = β 22 = 0.6 , w = 0.6 . The parameters in (7) are selected as δ 11 = δ 12 = δ 21 = δ 22 = 4 . The parameters in (9) are selected as γ 11 = γ 12 = γ 21 = γ 22 = 14 , μ 11 = μ 12 = μ 21 = μ 22 = 10 , Γ 11 ( 0 ) = 10 , Γ 12 ( 0 ) = 30 , Γ 21 ( 0 ) = 50 and Γ 22 ( 0 ) = 70 . According to the selection of the above parameters, it is not difficult to calculate k 1 = 4 , k 2 = 14 and k 3 = 6.21 . Obviously, the inequality 0 < k 1 < min { k 2 , k 3 4 1 2 w } holds and T max = T max * * = 3.7 . So, we take T p r e = 2.5 , the OV-BAMNNs (50) and (51) can achieve PDT projective lag synchronization in T p r e = 2.5 by Theorem 1. The trajectories of the synchronization error ξ 1 p ( t ) and ξ 2 r ( t ) are plotted in Figure 4a. The triggering moments of each neuron in systems (50) and (51) are depicted in Figure 4b. The trajectories of dynamic variables Γ 1 p ( t ) and Γ 2 r ( t ) are showed in Figure 4c. Besides, Figure 5 displays the state trajectories of OV-BAMNNs (50) and (51) with ρ = 0.9 and ε = 1 .

4.1. Verification with Different Activation Functions

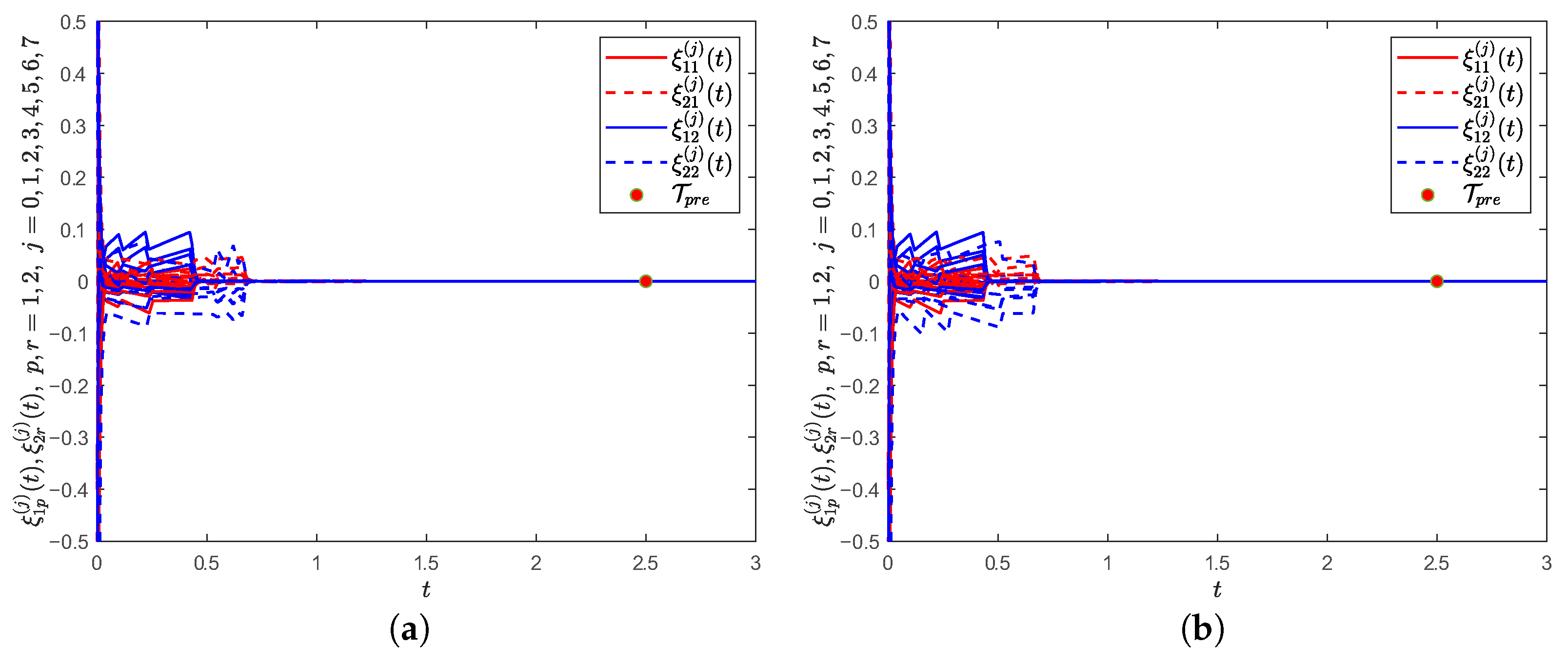
To verify the universality of the ETC protocol (6)–(9) with respect to different activation functions, the following two representative activation functions are additionally employed for validation. Figure 6a depicts the evolution of PDT projective lag synchronization errors under the saturation function Sat ( x ) = sign ( x ) · min ( | x | , 1 ) , while Figure 6b illustrates the synchronization error evolution under the piecewise linear function PWL ( x ) = 0.5 · ( | x + 1 | | x 1 | ) . The results demonstrate that the synchronization errors converge within T p r e under both activation functions, confirming the generality of our control strategy.

4.2. Performance Evaluation of ETC Scheme

To evaluate the performance of the ETC protocol (6)–(9) and rule out Zeno behavior, we conducted comprehensive simulations comparing it with traditional time-triggered control (TTC).
Table 3 displays the average inter-event times for the four neurons in the OV-BAMNNs. The results show that all neurons exhibit positive and finite inter-event intervals, ranging from 0.0882 to 0.1364 seconds, providing empirical evidence for the exclusion of Zeno behavior.
Furthermore, Table 4 presents a comparative analysis between the proposed ETC scheme (6)–(9) and traditional TTC with a fixed triggering interval of 0.05 seconds. The comparison results demonstrate that our ETC scheme achieves a significant 55% reduction in total triggering events (108 vs. 240) while maintaining the desired synchronization performance. This substantial reduction in communication frequency translates into considerable savings in network bandwidth utilization and energy consumption, highlighting the practical advantages of the proposed ETC mechanism over traditional TTC methods.

4.3. Comparative Experments

To validate the effectiveness of the proposed dynamic ETC scheme (6)–(9), comparative experiments are conducted in this section. The proposed method is compared with the static ETC mechanism in [35] and the dynamic ETC mechanism in [36]. The experimental results can be found in Figure 7 and Table 5. Figure 7 presents a comparison of the triggering instants under the same experimental conditions for the three methods. Table 5 details the statistical results of the triggering times for the three methods. It can be observed that while maintaining the system’s synchronization performance, the number of triggering times of the proposed dynamic ETC mechanism is significantly less than that of the static ETC mechanism in [35]. Compared with the dynamic ETC mechanism in [36], the proposed method exhibits a more uniform distribution of triggering instants and fewer triggering times.
Example 2.
To test the correctness of the theoretical result of Theorem 4, OV-BAMNNs (50) and (51) in Example 1 will continue to be considered. By simple calculation, υ ˜ 11 = 9.794 , υ ˜ 12 = 15.526 , υ ˜ 21 = 15.344 and υ ˜ 22 = 21.68 . Choose the quantizer density ϵ ˜ = 0.7 . The parameters in (33) are selected as α ˜ 11 = 25 , α ˜ 12 = 25 , α ˜ 21 = 25 , α ˜ 22 = 30 , β ˜ 11 = β ˜ 12 = β ˜ 21 = β ˜ 22 = 0.6 , w ˜ = 0.6 . The parameters in (34) are selected as δ ˜ 11 = δ ˜ 12 = δ ˜ 21 = δ ˜ 22 = 2 . The parameters in (36) are selected as γ ˜ 11 = γ ˜ 12 = γ ˜ 21 = γ ˜ 22 = 8 , μ ˜ 11 = μ ˜ 12 = μ ˜ 21 = μ ˜ 22 = 5 , Γ ˜ 11 ( 0 ) = 10 , Γ ˜ 12 ( 0 ) = 30 , Γ ˜ 21 ( 0 ) = 50 and Γ ˜ 22 ( 0 ) = 70 . According to the selection of the above parameters, it is straightforward to calculate that k ˜ 1 = 2.88 , k ˜ 2 = 16 and k ˜ 3 = 6.65 . Obviously, the inequality 0 < k ˜ 1 < min { k ˜ 2 , k ˜ 3 4 1 2 w } holds and T ˜ max = T ˜ max * * = 2.6 . So, we take T ˜ p = 1 . According to Theorem 1, systems (50) and (51) can achieve PDT projective lag synchronization in T ˜ p r e = 1 , where ρ = 0.9 and ε = 1 . The trajectories of synchronization errors ξ 1 p ( t ) and ξ 2 r ( t ) are presented in Figure 8a. The triggering moments of each neuron in systems (50) and (51) are plotted in Figure 8b. The trajectories of dynamic variables Γ ˜ 1 p ( t ) and Γ ˜ 2 r ( t ) are presented in Figure 8c.

5. Application to Image Encryption

As a practical example, an image encryption algorithm is proposed in accordance with the PDT projective lag synchronization results in Example 1 of Numerical simulations. The architecture for image encryption and decryption is depicted in Figure 9.

5.1. Image Encryption Algorithm

The encryption algorithm is as stated below:
Step 1: Image pre-processing. Three images, namely baboon, flower and retina [39], are selected, and the following pre-processing is performed on each respectively to convert them into two-dimensional matrices. Specifically, each input color image W 1 ( x 1 , y 1 , r ) with dimensions S × Z × 3 is reshaped into a 2D matrix W 2 ( x 2 , y 2 ) of size 3 S × Z through channel concatenation:
W 2 ( x 2 , y 2 ) = W 1 ( x 2 , y 2 , 1 ) , x 2 { 1 , , S } , W 1 ( x 2 , y 2 , 2 ) , x 2 { S + 1 , , 2 S } , W 1 ( x 2 , y 2 , 3 ) , x 2 { 2 S + 1 , , 3 S } ,
for y 2 { 1 , , Z } .
Step 2: Permutation operation. After the networks achieve PDT projective lag synchronization, permutation keys are generated from the state variables of network (50):
K e y 1 ( x 2 ) = ( 10 12 × | ( z 11 R ( t x 2 ) + z 12 R ( t y 2 ) ) z 11 R ( t x 2 ) + z 12 R ( t x 2 ) | ) mod 3 S + 1 , K e y 2 ( y 2 ) = ( 10 12 × | ( z 12 R ( t y 2 ) + z 13 R ( t y 2 ) ) z 12 R ( t y 2 ) + z 13 R ( t y 2 ) | ) mod Z + 1 ,
where t x 2 { t 1 , , t 3 S } , t y 2 { t 1 , , t Z } . The rows and columns of W 2 are permuted according to these keys, and the resulting matrix is converted to a sequence P 1 ( a ) R 1 × 3 SZ , where a = 1 , , 3 S Z .
Step 3: Diffusion operation. Diffusion keys are derived from synchronized network states:
K e y 3 ( a ) = ( 10 12 × | z 11 R ( t a ) z 11 R ( t a ) | ) mod 256 , a { 1 , , SZ } , ( 10 12 × | z 12 R ( t a SZ ) z 12 R ( t a SZ ) | ) mod 256 , a { SZ + 1 , , 2 SZ } , ( 10 12 × | z 21 R ( t a 2 SZ ) z 21 R ( t a 2 SZ ) | ) mod 256 , x { 2 SZ + 1 , , 3 SZ } ,
with t a { t 1 , , t 3 SZ } . The diffusion process generates a sequence P 2 ( a ) :
P 2 ( a ) = P 1 ( a ) ( P 1 ( a ) + K e y 3 ( a ) ) P 2 ( a 1 ) ,
where ⊕ denotes XOR, a = 1 , , 3 SZ , and P 2 ( 0 ) is a prescribed constant.
Step 4: Iteration and output. Steps 2–3 are repeated m times to strengthen the encryption effect. After the final iteration, the resulting sequence is reshaped into a matrix W 2 of size 3 S × Z , which is then reshaped to S × Z × 3 to obtain the final ciphertext image W 1 .
The decrypted image is obtained by inversely applying the encryption algorithm, utilizing the identical keys generated by the synchronized response system (51) at the receiver end. Figure 10 shows the raw, ciphertext, and decrypted images.

5.2. Experimental Results and Security Analyses

To evaluate the security of the proposed encryption algorithm based on PDT projective lag synchronization, three images (baboon, flower, and retina) are encrypted. Histograms of the raw and ciphertext images are given in Figure 11. The uniform distribution of the ciphertext histograms confirms effective pixel randomization, indicating strong resistance to statistical attacks. Furthermore, the information entropy, key space, correlation of adjacent pixels, and resistance to differential attacks are tested to further analyze the security. To avoid redundancy, only the results for the baboon image are presented.

5.2.1. Information Entropy

Information entropy is a crucial metric for evaluating the randomness and unpredictability of encrypted images, calculated as:
H ( m ) = i = 0 255 P ( m i ) log 2 P ( m i )
where P ( m i ) represents the probability of symbol m i . Table 6 lists the information entropy of the raw and ciphertext images for different color channels. The results show that the entropy of the ciphertext images is close to 8, demonstrating significantly improved randomness and security.

5.2.2. Correlation Coefficient

Raw images typically exhibit strong correlations between adjacent pixels, and an effective image encryption system must effectively break this correlation. The correlation coefficient is calculated as:
r x y = i = 1 N ( x i x ¯ ) ( y i y ¯ ) i = 1 N ( x i x ¯ ) 2 i = 1 N ( y i y ¯ ) 2
where x i and y i are adjacent pixel values, x ¯ and y ¯ are their mean values, and N is the total number of pixel pairs. Using channel B as an example, we randomly select 10 , 000 pairs of adjacent pixels from both the raw and ciphertext images in the horizontal, vertical, and diagonal directions for analysis. The results are shown in Table 7 and Figure 12. As shown, the correlation coefficients in the raw image are close to 1, while those in the ciphertext image are reduced to near zero. This demonstrates that the encryption system can effectively resist statistical analysis attacks.

5.2.3. Key Space

Key space is a crucial metric for evaluating the security of an image encryption algorithm. To resist brute-force attacks, the key space must be sufficiently large. According to current security standards, a secure key space should be at least on the order of 2 100 [39]. In our algorithm, the keys include the initial values z 11 R ( 0 ) , z 12 R ( 0 ) , and z 21 R ( 0 ) of the driving system (50), the initial values z ˜ 11 R ( 0 ) , z ˜ 12 R ( 0 ) , and z ˜ 21 R ( 0 ) of the response system (51), the algorithm parameter P 2 ( 0 ) , and other system parameters. When the parameter accuracy reaches 10 14 , the key space far exceeds the security threshold of 2 100 . Therefore, this algorithm has a large enough key space to effectively defend against brute force attacks.

5.2.4. Differential Attacks

Differential attacks occur when an attacker attempts to crack a cipher by analyzing changes in the ciphertext after making minor modifications to the plaintext image, such as altering a single pixel. A secure encryption algorithm must resist such attacks. This is typically evaluated using the number of pixels change rate (NPCR) and the unified average changing intensity (UACI), which measure the effect of a single-pixel change in the raw image on the ciphertext. The metrics are defined as follows:
NPCR = i = 1 M j = 1 N k = 1 L F ( i , j , k ) M × N × L × 100
UACI = i = 1 M j = 1 N k = 1 L | E 1 ( i , j , k ) E 2 ( i , j , k ) | 255 M × N × L × 100
where E 1 ( i , j , k ) and E 2 ( i , j , k ) , represent the pixel values of two ciphertext images, and F ( i , j , k ) is defined as:
F ( i , j , k ) = 0 , if E 1 ( i , j , k ) = E 2 ( i , j , k ) , 1 , if E 1 ( i , j , k ) E 2 ( i , j , k ) .
For the test, we use two raw images: the raw image in Figure 10a, and a modified version where the blue channel value at position ( 200 , 200 ) is increased by 1, with all other pixels unchanged. Both images are encrypted using the same algorithm and key. Table 8 presents the NPCR and UACI results as the number of encryption rounds m increases. A robust encryption algorithm should achieve NPCR = 99.61% and UACI = 33.33%. The results in Table 8 show that when m = 3 , the proposed method reaches these ideal values, confirming its resistance to differential attacks.
Remark 10.
It is noted that the encryption algorithms proposed in [25,38,40] lack an analysis of differential attacks. Calculations reveal that the UACI and NPCR values for these encryption algorithms are merely 0.5984 × 10 7 and 0.1526 × 10 5 , respectively. This indicates that these algorithms cannot effectively resist differential attacks. In contrast, the image encryption algorithm proposed in this paper, which is based on PDT projective lag synchronization, effectively resists differential attacks.
Remark 11.
PDT synchronization mechanism is the basis of the security of encryption scheme. In this framework, the drive system (50) generates a basic chaotic sequence for encryption. The core innovation is to ensure that the response system (51) and the drive system (50) are synchronized within a preassigned time. Once the PDT synchronization is achieved, the response system can replicate the same chaotic sequence originally generated by the drive system. This deterministic and timely synchronization ensures the perfect matching of highly random and complex sequences used for scrambling and diffusion between the sender and the authorized receiver, thus establishing a safe and reliable basis for the encryption process.
Remark 12.
The decryption process is the precise inverse of the encryption algorithm. Upon receiving the ciphertext, the authorized receiver utilizes its response system (51), which has achieved PDT projective lag synchronization with the drive system (50), to regenerate the identical permutation keys ( K e y 1 , K e y 2 ) and diffusion keys ( K e y 3 ). The decryption then proceeds in reverse order: first, the inverse diffusion operation is applied to the ciphertext sequence using the regenerated K e y 3 and the known initial value P 2 ( 0 ) ; subsequently, the resulting sequence is reshaped into a matrix and undergoes inverse permutation using K e y 1 and K e y 2 to restore the original pixel positions. Finally, the matrix is restructured to recover the raw image. Correct decryption is therefore strictly contingent upon perfect synchronization between the drive and response systems.

6. Conclusions

In this study, exponential quantized ETC is employed to investigate the PDT projective lag synchronization in OV-BAMNNs incorporating discontinuous activation functions and time-varying delays. By adopting a non-separation approach and leveraging various exponential quantized ETC strategies, sufficient conditions are derived to ensure the PDT projective lag synchronization of OV-BAMNNs, while simultaneously excluding Zeno behavior. Compared with existing FDT and PDT schemes, the controller designed in this paper is more concise and resource-efficient, as it incorporates only a single exponential term and eliminates the conventional linear and power-law components.
In practical applications, communication networks are often susceptible to various external disturbances, such as denial-of-service attacks. Therefore, future research will focus on the PDT synchronization of OV-BAMNNs under such conditions.

Author Contributions

Conceptualization, formal analysis, writing-original draft preparation, software. X.Q.; supervision, methodology, formal analysis, funding acquisition, validation. X.L.; methodology, formal analysis, validation. L.H.; software, supervision, validation. C.H.; review-editing, supervision, methodology. H.J. All authors have read and agreed to the published version of the manuscript.

Funding

This work was supported jointly by Natural Science Foundation of Xinjiang Uygur Autonomous Region, China (2024D01B18), by the Innovative Talent Project of Karamay, China (2025DB0129, 2024hjcxrc0086), by the Scientific Research Project of Xinjiang Second Medical College, China (ZR202428), by Scientific Research Program of the Higher Education Institution of XinJiang, China (XJEDU2024P097), and by the Talent Program of Chengdu Technological University, China (2025RC044).

Data Availability Statement

All the pertinent data is available in the article.

Acknowledgments

Our sincere thanks go to the editor and anonymous reviewers for their constructive remarks and helpful suggestions, which significantly contribute to improving this work.

Conflicts of Interest

The authors declare no conflicts of interest.

References

  1. Hirose, A. Complex-Valued Neural Networks; Springer: Berlin/Heidelberg, Germany, 2006. [Google Scholar]
  2. Parcollet, T.; Morchid, M.; Linares, G. A survey of quaternion neural networks. Artif. Intell. Rev. 2020, 53, 2957–2982. [Google Scholar] [CrossRef]
  3. Liu, L.; Bao, H.; Cao, J. Fixed-time event-triggered impulsive secure synchronization of quaternion-valued fuzzy neural networks subject to stochastic cyber attacks. IEEE Trans. Fuzzy Syst. 2025, 33, 559–569. [Google Scholar] [CrossRef]
  4. Popa, C.A. Global exponential stability of octonion-valued neural networks with leakage delay and mixed delays. Neural Netw. 2018, 105, 277–293. [Google Scholar] [CrossRef] [PubMed]
  5. Chouhan, S.S.; Das, S.; Cao, J. Fixed time synchronization of octonion valued neural networks with time varying delays. Eng. Appl. Artif. Intell. 2023, 118, 105684. [Google Scholar] [CrossRef]
  6. Zhao, N.; Qiao, Y.; Miao, J.; Duan, L. Fixed-time synchronization of impulsive octonion-valued fuzzy inertial neural networks via improving fixed-time stability. IEEE Trans. Fuzzy Syst. 2024, 32, 1978–1990. [Google Scholar] [CrossRef]
  7. Zhao, N.; Qiao, Y.; Miao, J.; Duan, L. New fixed-time/preassigned-time stability results of impulsive systems and its application to synchronization of delayed octonion-valued neural networks. Neurocomputing 2024, 600, 128174. [Google Scholar] [CrossRef]
  8. Yan, H.; Qiao, Y.; Wang, L.; Li, Q. Synchronization in predefined time of octonion-valued competitive neural networks: Aperiodic complete intermittent control and non-separation method. Commun. Nonlinear Sci. Numer. Simul. 2025, 145, 108746. [Google Scholar] [CrossRef]
  9. Kosko, B. Bidirectional associative memories. IEEE Trans. Syst. Man, Cybern. 2002, 18, 49–60. [Google Scholar] [CrossRef]
  10. Xiao, J.; Guo, X.; Li, Y.; Wen, S.; Shi, K.; Tang, Y. Extended analysis on the global Mittag-Leffler synchronization problem for fractional-order octonion-valued BAM neural networks. Neural Netw. 2022, 154, 491–507. [Google Scholar] [CrossRef] [PubMed]
  11. Xiao, J.; Guo, X.; Li, Y.; Wen, S. Further research on the problems of synchronization for fractional-order BAM neural networks in octonion-valued domain. Neural Process. Lett. 2023, 55, 11173–11208. [Google Scholar] [CrossRef]
  12. Zhang, Y.; Kou, K.I.; Zhang, Y.; Liu, L. Fast fixed/preassigned-time synchronization of Clifford-valued neural networks for medical image decryption. Neurocomputing 2025, 651, 130984. [Google Scholar] [CrossRef]
  13. Han, J.; Zhou, L. Fixed-time synchronization of proportional delay memristive complex-valued competitive neural networks. Neural Netw. 2025, 188, 107411. [Google Scholar] [CrossRef]
  14. Tamil Thendral, M.; Ganesh Babu, T.R.; Chandrasekar, A.; Cao, Y. Synchronization of Markovian jump neural networks for sampled data control systems with additive delay components: Analysis of image encryption technique. Math. Methods Appl. Sci. 2022. [Google Scholar] [CrossRef]
  15. Wang, H.; Liu, S.; Wu, X.; Qiao, W.; Sun, J. Projective lag synchronization of fractional delayed memristive neural networks via event-based hybrid pinning impulsive controller. J. Frankl. Inst. 2024, 361, 107297. [Google Scholar] [CrossRef]
  16. Wang, Y.; Li, B.; Pan, Q.; Zhong, J.; Li, N. Asymptotic synchronization in coupled Boolean and probabilistic Boolean networks with delays. Nonlinear Anal. Hybrid Syst. 2025, 55, 101552. [Google Scholar] [CrossRef]
  17. Wang, Z.; Zheng, B. Saturation function-based finite-time synchronization control for fractional-order coupled neural networks. IEEE Trans. Autom. Sci. Eng. 2025, 22, 16658–16667. [Google Scholar] [CrossRef]
  18. Agrawal, V.; Singh, S.; Singh, V.K.; Das, S. Fixed-time synchronization of octonion-valued neural networks with mixed delays: A non-separation norm approach. Neurocomputing 2025, 652, 130995. [Google Scholar] [CrossRef]
  19. Zhang, J.; Wang, J.A.; Zhang, J.; Li, M.; Zhao, Z.; Wen, X. Fixed-time event-triggered pinning synchronization of complex network via aperiodically intermittent control. Neurocomputing 2025, 614, 128818. [Google Scholar] [CrossRef]
  20. Hu, C.; He, H.; Jiang, H. Fixed/Preassigned-time synchronization of complex networks via improving fixed-time stability. IEEE Trans. Cybern. 2021, 51, 2882–2892. [Google Scholar] [CrossRef]
  21. Qin, X.; Jiang, H.; Qiu, J.; Hu, C. Fixed/Prescribed-time synchronization of quaternion-valued fuzzy BAM neural networks under aperiodic intermittent pinning control: A non-separation approach. Neurocomputing 2023, 549, 126460. [Google Scholar] [CrossRef]
  22. Liu, A.; Zhao, H.; Wang, Q.; Niu, S.; Gao, X.; Chen, C.; Li, L. A new predefined-time stability theorem and its application in the synchronization of memristive complex-valued BAM neural networks. Neural Netw. 2022, 153, 152–163. [Google Scholar] [CrossRef]
  23. Zhou, H.; Liu, J.; Wu, Y.; Xue, L.; Sun, C. Event-triggered predefined-time synchronization for complex networks with Markov switching topologies under stochastic DoS attacks. IEEE Trans. Circuits Syst. I Regul. Pap. 2025, 72, 7319–7331. [Google Scholar] [CrossRef]
  24. Ju, X.; Jiang, Y.; Jing, L.; Liu, P. Quantized predefined-time control for heavy-lift launch vehicles under actuator faults and rate gyro malfunctions. ISA Trans. 2023, 138, 133–150. [Google Scholar] [CrossRef] [PubMed]
  25. Tang, Q.; Qu, S.; Zheng, W.; Tu, Z. Fast finite-time quantized control of multi-layer networks and its applications in secure communication. Neural Netw. 2025, 185, 107225. [Google Scholar] [CrossRef]
  26. Tang, S.; Li, J.; Jiang, H.; Wang, J. Fixed-time aperiodic intermittent control for quasi-bipartite synchronization of competitive neural networks. Entropy 2024, 26, 199. [Google Scholar] [CrossRef]
  27. Hu, J.; Chen, B.; Ghosh, B.K. Formation–circumnavigation switching control of multiple ODIN systems via finite-time intermittent control strategies. IEEE Trans. Control Netw. Syst. 2024, 11, 1986–1997. [Google Scholar] [CrossRef]
  28. Bao, Y.; Zhang, Y.; Zhang, B. Fixed-time synchronization of coupled memristive neural networks via event-triggered control. Appl. Math. Comput. 2021, 411, 126542. [Google Scholar] [CrossRef]
  29. Ping, J.; Zhu, S.; Liu, X. Finite/fixed-time synchronization of memristive neural networks via event-triggered control. Knowl. Based Syst. 2022, 258, 110013. [Google Scholar] [CrossRef]
  30. Ping, J.; Zhu, S.; Shi, M.; Wu, S.; Shen, M.; Liu, X.; Wen, S. Event-triggered finite-time synchronization control for quaternion-valued memristive neural networks by an non-decomposition method. IEEE Trans. Netw. Sci. Eng. 2023, 10, 3609–3619. [Google Scholar] [CrossRef]
  31. Guan, J.C.; Ren, H.W.; Tan, G.L. Distributed dynamic event-triggered control to leader-following consensus of nonlinear multi-agent systems with directed graphs. Entropy 2024, 26, 113. [Google Scholar] [CrossRef]
  32. Zhang, G.; Rakkiyappan, R.; Wang, L. Event-triggered-based fixed/preassigned-time synchronization control of second-order neural networks with distributed delays. Commun. Nonlinear Sci. Numer. Simul. 2024, 139, 108301. [Google Scholar] [CrossRef]
  33. Ma, J.; Zhang, H.; Zhang, J.; Wang, L. Event-based predefined-time anti-synchronization for unified chaotic systems and the application to Chua’s circuit. Chaos Solitons Fractals 2024, 188, 115534. [Google Scholar] [CrossRef]
  34. Qing, S.; Wang, H.; Wen, S. Fixed/preassigned-time non-chattering synchronization of nonlinear coupled Cohen–Grossberg neural networks via event-triggered control. Neurocomputing 2025, 617, 129069. [Google Scholar] [CrossRef]
  35. He, Q.; Li, C.; Ma, Y. Fixed-time and preassigned-time stochastic synchronization of complex networks via quantized event-triggered strategy. Nonlinear Dyn. 2021, 106, 543–564. [Google Scholar] [CrossRef]
  36. Jia, S.; Hu, C.; Feng, L.; Shi, T.; Jiang, H. Fixed/Preassigned-time synchronization of quaternion-valued BAM neural networks: An event-based non-separation control method. Commun. Nonlinear Sci. Numer. Simul. 2024, 137, 108145. [Google Scholar] [CrossRef]
  37. Jia, S.; Hu, C.; Jiang, H. Fixed/Preassigned-time synchronization of fuzzy memristive fully quaternion-valued neural networks based on event-triggered control. Mathematics 2024, 12, 1276. [Google Scholar] [CrossRef]
  38. Wen, S.; Zeng, Z.; Huang, T.; Meng, Q.; Yao, W. Lag synchronization of switched neural networks via neural activation function and applications in image encryption. IEEE Trans. Neural Netw. Learn. Syst. 2015, 26, 1493–1502. [Google Scholar] [CrossRef]
  39. Alvarez, G.; Li, S. Some basic cryptographic requirements for chaos-based cryptosystems. Int. J. Bifurc. Chaos 2006, 16, 2129–2151. [Google Scholar] [CrossRef]
  40. Prakash, M.; Balasubramaniam, P.; Lakshmanan, S. Synchronization of Markovian jumping inertial neural networks and its applications in image encryption. Neural Netw. 2016, 83, 86–93. [Google Scholar] [CrossRef]
Figure 1. The diagrams of the activation functions.
Figure 1. The diagrams of the activation functions.
Mathematics 13 03719 g001
Figure 2. Dynamic behavior of network (50).
Figure 2. Dynamic behavior of network (50).
Mathematics 13 03719 g002aMathematics 13 03719 g002bMathematics 13 03719 g002c
Figure 3. State trajectories of networks (50) and (51) without controllers.
Figure 3. State trajectories of networks (50) and (51) without controllers.
Mathematics 13 03719 g003
Figure 4. PDT projective lag synchronization of OV-BAMNNs (50) and (51) under control scheme (6) and dynamic ETC mechanism (7)–(9): (a) Synchronization error; (b) Triggering moments of neurons; (c) Dynamic variables.
Figure 4. PDT projective lag synchronization of OV-BAMNNs (50) and (51) under control scheme (6) and dynamic ETC mechanism (7)–(9): (a) Synchronization error; (b) Triggering moments of neurons; (c) Dynamic variables.
Mathematics 13 03719 g004
Figure 5. Evolution of networks (50) and (51) with ρ = 0.9 and ε = 1 .
Figure 5. Evolution of networks (50) and (51) with ρ = 0.9 and ε = 1 .
Mathematics 13 03719 g005aMathematics 13 03719 g005b
Figure 6. Synchronization error evolution with distinct activation functions: (a) Saturation function: Sat ( x ) = sign ( x ) · min ( | x | , 1 ) ; (b) Piecewise linear function: PWL ( x ) = 0.5 · ( | x + 1 | | x 1 | ) .
Figure 6. Synchronization error evolution with distinct activation functions: (a) Saturation function: Sat ( x ) = sign ( x ) · min ( | x | , 1 ) ; (b) Piecewise linear function: PWL ( x ) = 0.5 · ( | x + 1 | | x 1 | ) .
Mathematics 13 03719 g006
Figure 7. Comparisons of triggering times: (a) In [35] (static); (b) In [36] (dynamic); (c) Proposed method.
Figure 7. Comparisons of triggering times: (a) In [35] (static); (b) In [36] (dynamic); (c) Proposed method.
Mathematics 13 03719 g007
Figure 8. PDT projective lag synchronization of OV-BAMNNs (50) and (51) under control scheme (33) and dynamic ETC mechanism (34)–(36): (a) Synchronization error; (b) Triggering moments of neurons; (c) Dynamic variables.
Figure 8. PDT projective lag synchronization of OV-BAMNNs (50) and (51) under control scheme (33) and dynamic ETC mechanism (34)–(36): (a) Synchronization error; (b) Triggering moments of neurons; (c) Dynamic variables.
Mathematics 13 03719 g008
Figure 9. The framework for image encryption and decryption.
Figure 9. The framework for image encryption and decryption.
Mathematics 13 03719 g009
Figure 10. Experimental results of image encryption and decryption: (a) Baboon; (b) Flower; (c) Retina.
Figure 10. Experimental results of image encryption and decryption: (a) Baboon; (b) Flower; (c) Retina.
Mathematics 13 03719 g010
Figure 11. Histograms of the raw and ciphertext images for the red, green, and blue channels: (a) Baboon; (b) Flower; (c) Retina.
Figure 11. Histograms of the raw and ciphertext images for the red, green, and blue channels: (a) Baboon; (b) Flower; (c) Retina.
Mathematics 13 03719 g011
Figure 12. Correlation analysis of channel B: (a) Horizontal correlation of raw image; (b) Vertical correlation of raw image; (c) Diagonal correlation of raw image; (d) Horizontal correlation of ciphertext image; (e) Vertical correlation of ciphertext image; (f) Diagonal correlation of ciphertext image.
Figure 12. Correlation analysis of channel B: (a) Horizontal correlation of raw image; (b) Vertical correlation of raw image; (c) Diagonal correlation of raw image; (d) Horizontal correlation of ciphertext image; (e) Vertical correlation of ciphertext image; (f) Diagonal correlation of ciphertext image.
Mathematics 13 03719 g012
Table 1. Research progress on PDT Synchronization under ETC.
Table 1. Research progress on PDT Synchronization under ETC.
Ref.Number FieldETC Strategy
[34] R γ 1 ξ 1 p ( t σ ) T max T p r e ( α 1 p ξ 1 p m 1 m 2 ( t σ ) + β 1 p ξ 1 p m 3 m 4 ( t σ ) )
[35] R γ 1 Q ( ξ 1 p ( t σ ) ) T max T p r e α 1 p s i g n ( Q ( ξ 1 p ( t σ ) ) ) | Q ( ξ 1 p ( t σ ) ) | w + β 1 p s i g n ( Q ( ξ 1 p ( t σ ) )
[36,37] Q T max T p r e ( α 1 p Sign ( ξ 1 p ( t σ ) ) + β 1 p Sign ( ξ 1 p ( t σ ) ) | ξ 1 p ( t σ ) | 1 w ^ )
This paper O T max T p r e α 1 p Sign ( ξ 1 p ( t σ ) ) e β 1 p | Q ( ξ 1 p ( t σ ) ) | 1 w
Table 2. Comparisons with the state-of-art works.
Table 2. Comparisons with the state-of-art works.
Ref.Number
Field
Convergence
Rate
Synchronization
Type
ETCQuantized
Control
Non-Separation
Approach
[36] Q FDT/PDTComplete synchronization××
[37] Q FDT/PDTComplete synchronization×
[5] O FDTComplete synchronization×××
[6,18] O FDTComplete synchronization××
[7,8] O FDT/PDTComplete synchronization××
This paper O FDT/PDTProjective lag synchronization
Table 3. Average inter-event time of dynamic ETC Scheme.
Table 3. Average inter-event time of dynamic ETC Scheme.
NeuronTotal EventsSimulation Time (s)Average Inter-Event Time (s)
X-layer neuron 1283.00.1071
X-layer neuron 2223.00.1364
Y-layer neuron 1243.00.1250
Y-layer neuron 2343.00.0882
Overall1083.00.0278
Table 4. Comparisons between ETC and TTC.
Table 4. Comparisons between ETC and TTC.
Control SchemeX-LayerY-Layer
Neuron 1Neuron 2Neuron 1Neuron 2
ETC Count28222434
TTC Count60606060
Reduction53.3%63.3%60.0%43.3%
Total reduction: 55.0% (108 vs. 240)
Table 5. Statistics of the triggering times.
Table 5. Statistics of the triggering times.
NeuronIn [35] (Static)In [36] (Dynamic)Proposed Method
X-layer neuron 14742928
X-layer neuron 24772622
Y-layer neuron 13324824
Y-layer neuron 23243934
Total1607142108
Table 6. Information entropy of baboon image.
Table 6. Information entropy of baboon image.
ImageR ChannelG ChannelB Channel
Raw image7.60587.35817.6665
Ciphertext images7.99767.99757.9971
Table 7. Correlation coefficient of baboon image.
Table 7. Correlation coefficient of baboon image.
ImageChannelHorizontalVerticalDiagonal
Raw imageR0.88720.93310.8693
G0.79380.85510.7438
B0.88810.91700.8587
Ciphertext imageR0.00640.0035−0.0012
G0.00550.00610.0025
B0.00110.00110.0009
Table 8. Differential attacks of baboon image.
Table 8. Differential attacks of baboon image.
m = 1 m = 2 m = 3
NPCR0.76580.99710.9958
UACI0.01210.34120.3355
Disclaimer/Publisher’s Note: The statements, opinions and data contained in all publications are solely those of the individual author(s) and contributor(s) and not of MDPI and/or the editor(s). MDPI and/or the editor(s) disclaim responsibility for any injury to people or property resulting from any ideas, methods, instructions or products referred to in the content.

Share and Cite

MDPI and ACS Style

Qin, X.; Li, X.; Hu, L.; Hu, C.; Jiang, H. Preassigned-Time Projective Lag Synchronization of Octonion-Valued BAM Neural Networks via Exponential Quantized Event-Triggered Control. Mathematics 2025, 13, 3719. https://doi.org/10.3390/math13223719

AMA Style

Qin X, Li X, Hu L, Hu C, Jiang H. Preassigned-Time Projective Lag Synchronization of Octonion-Valued BAM Neural Networks via Exponential Quantized Event-Triggered Control. Mathematics. 2025; 13(22):3719. https://doi.org/10.3390/math13223719

Chicago/Turabian Style

Qin, Xuejiao, Xinman Li, Lianyang Hu, Cheng Hu, and Haijun Jiang. 2025. "Preassigned-Time Projective Lag Synchronization of Octonion-Valued BAM Neural Networks via Exponential Quantized Event-Triggered Control" Mathematics 13, no. 22: 3719. https://doi.org/10.3390/math13223719

APA Style

Qin, X., Li, X., Hu, L., Hu, C., & Jiang, H. (2025). Preassigned-Time Projective Lag Synchronization of Octonion-Valued BAM Neural Networks via Exponential Quantized Event-Triggered Control. Mathematics, 13(22), 3719. https://doi.org/10.3390/math13223719

Note that from the first issue of 2016, this journal uses article numbers instead of page numbers. See further details here.

Article Metrics

Back to TopTop